当前位置:首页>文档>专题06功和能(解析版)_2024年4月_其他_240413学易金卷:三年(2021-2023)高考物理真题分项汇编(全国通用)

专题06功和能(解析版)_2024年4月_其他_240413学易金卷:三年(2021-2023)高考物理真题分项汇编(全国通用)

  • 2026-04-04 06:42:11 2026-02-15 01:55:49

文档预览

专题06功和能(解析版)_2024年4月_其他_240413学易金卷:三年(2021-2023)高考物理真题分项汇编(全国通用)
专题06功和能(解析版)_2024年4月_其他_240413学易金卷:三年(2021-2023)高考物理真题分项汇编(全国通用)
专题06功和能(解析版)_2024年4月_其他_240413学易金卷:三年(2021-2023)高考物理真题分项汇编(全国通用)
专题06功和能(解析版)_2024年4月_其他_240413学易金卷:三年(2021-2023)高考物理真题分项汇编(全国通用)
专题06功和能(解析版)_2024年4月_其他_240413学易金卷:三年(2021-2023)高考物理真题分项汇编(全国通用)
专题06功和能(解析版)_2024年4月_其他_240413学易金卷:三年(2021-2023)高考物理真题分项汇编(全国通用)
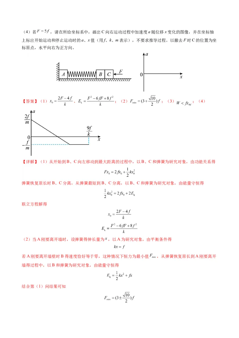
专题06功和能(解析版)_2024年4月_其他_240413学易金卷:三年(2021-2023)高考物理真题分项汇编(全国通用)
专题06功和能(解析版)_2024年4月_其他_240413学易金卷:三年(2021-2023)高考物理真题分项汇编(全国通用)
专题06功和能(解析版)_2024年4月_其他_240413学易金卷:三年(2021-2023)高考物理真题分项汇编(全国通用)
专题06功和能(解析版)_2024年4月_其他_240413学易金卷:三年(2021-2023)高考物理真题分项汇编(全国通用)
专题06功和能(解析版)_2024年4月_其他_240413学易金卷:三年(2021-2023)高考物理真题分项汇编(全国通用)
专题06功和能(解析版)_2024年4月_其他_240413学易金卷:三年(2021-2023)高考物理真题分项汇编(全国通用)
专题06功和能(解析版)_2024年4月_其他_240413学易金卷:三年(2021-2023)高考物理真题分项汇编(全国通用)
专题06功和能(解析版)_2024年4月_其他_240413学易金卷:三年(2021-2023)高考物理真题分项汇编(全国通用)
专题06功和能(解析版)_2024年4月_其他_240413学易金卷:三年(2021-2023)高考物理真题分项汇编(全国通用)
专题06功和能(解析版)_2024年4月_其他_240413学易金卷:三年(2021-2023)高考物理真题分项汇编(全国通用)
专题06功和能(解析版)_2024年4月_其他_240413学易金卷:三年(2021-2023)高考物理真题分项汇编(全国通用)
专题06功和能(解析版)_2024年4月_其他_240413学易金卷:三年(2021-2023)高考物理真题分项汇编(全国通用)
专题06功和能(解析版)_2024年4月_其他_240413学易金卷:三年(2021-2023)高考物理真题分项汇编(全国通用)
专题06功和能(解析版)_2024年4月_其他_240413学易金卷:三年(2021-2023)高考物理真题分项汇编(全国通用)
专题06功和能(解析版)_2024年4月_其他_240413学易金卷:三年(2021-2023)高考物理真题分项汇编(全国通用)
专题06功和能(解析版)_2024年4月_其他_240413学易金卷:三年(2021-2023)高考物理真题分项汇编(全国通用)
专题06功和能(解析版)_2024年4月_其他_240413学易金卷:三年(2021-2023)高考物理真题分项汇编(全国通用)
专题06功和能(解析版)_2024年4月_其他_240413学易金卷:三年(2021-2023)高考物理真题分项汇编(全国通用)
专题06功和能(解析版)_2024年4月_其他_240413学易金卷:三年(2021-2023)高考物理真题分项汇编(全国通用)
专题06功和能(解析版)_2024年4月_其他_240413学易金卷:三年(2021-2023)高考物理真题分项汇编(全国通用)
专题06功和能(解析版)_2024年4月_其他_240413学易金卷:三年(2021-2023)高考物理真题分项汇编(全国通用)
专题06功和能(解析版)_2024年4月_其他_240413学易金卷:三年(2021-2023)高考物理真题分项汇编(全国通用)
专题06功和能(解析版)_2024年4月_其他_240413学易金卷:三年(2021-2023)高考物理真题分项汇编(全国通用)
专题06功和能(解析版)_2024年4月_其他_240413学易金卷:三年(2021-2023)高考物理真题分项汇编(全国通用)
专题06功和能(解析版)_2024年4月_其他_240413学易金卷:三年(2021-2023)高考物理真题分项汇编(全国通用)
专题06功和能(解析版)_2024年4月_其他_240413学易金卷:三年(2021-2023)高考物理真题分项汇编(全国通用)
专题06功和能(解析版)_2024年4月_其他_240413学易金卷:三年(2021-2023)高考物理真题分项汇编(全国通用)
专题06功和能(解析版)_2024年4月_其他_240413学易金卷:三年(2021-2023)高考物理真题分项汇编(全国通用)
专题06功和能(解析版)_2024年4月_其他_240413学易金卷:三年(2021-2023)高考物理真题分项汇编(全国通用)
专题06功和能(解析版)_2024年4月_其他_240413学易金卷:三年(2021-2023)高考物理真题分项汇编(全国通用)
专题06功和能(解析版)_2024年4月_其他_240413学易金卷:三年(2021-2023)高考物理真题分项汇编(全国通用)
专题06功和能(解析版)_2024年4月_其他_240413学易金卷:三年(2021-2023)高考物理真题分项汇编(全国通用)
专题06功和能(解析版)_2024年4月_其他_240413学易金卷:三年(2021-2023)高考物理真题分项汇编(全国通用)
专题06功和能(解析版)_2024年4月_其他_240413学易金卷:三年(2021-2023)高考物理真题分项汇编(全国通用)
专题06功和能(解析版)_2024年4月_其他_240413学易金卷:三年(2021-2023)高考物理真题分项汇编(全国通用)
专题06功和能(解析版)_2024年4月_其他_240413学易金卷:三年(2021-2023)高考物理真题分项汇编(全国通用)
专题06功和能(解析版)_2024年4月_其他_240413学易金卷:三年(2021-2023)高考物理真题分项汇编(全国通用)
专题06功和能(解析版)_2024年4月_其他_240413学易金卷:三年(2021-2023)高考物理真题分项汇编(全国通用)
专题06功和能(解析版)_2024年4月_其他_240413学易金卷:三年(2021-2023)高考物理真题分项汇编(全国通用)

文档信息

文档格式
docx
文档大小
3.234 MB
文档页数
45 页
上传时间
2026-02-15 01:55:49

文档内容

专题 06 功和能 目录 考点01 功和功率.......................................................................................................................................................1 考点02 动能定理及其应用.....................................................................................................................................10 考点03 机械能守恒及其应用.................................................................................................................................22 考点04 功能关系及能量守恒定律.........................................................................................................................32 考点 01 功和功率 一、单选题 1.(2023·全国·统考高考真题)小车在水平地面上沿轨道从左向右运动,动能一直增加。如果用带箭头的 线段表示小车在轨道上相应位置处所受合力,下列四幅图可能正确的是( ) A. B. C. D. 【答案】D 【详解】AB.小车做曲线运动,所受合外力指向曲线的凹侧,故AB错误; CD.小车沿轨道从左向右运动,动能一直增加,故合外力与运动方向夹角为锐角,C错误,D正确。 故选D。 2.(2023·北京·统考高考真题)如图所示,一物体在力F作用下沿水平桌面做匀加速直线运动。已知物体 质量为m,加速度大小为a,物体和桌面之间的动摩擦因数为 ,重力加速度为g,在物体移动距离为x的 过程中( ) A.摩擦力做功大小与F方向无关 B.合力做功大小与F方向有关 C.F为水平方向时,F做功为 D.F做功的最小值为 【答案】D 【详解】A.设力F与水平方向的夹角为θ,则摩擦力为摩擦力的功 即摩擦力的功与F的方向有关,选项A错误; B.合力功 可知合力功与力F方向无关,选项B错误; C.当力F水平时,则 力F做功为 选项C错误; D.因合外力功为max大小一定,而合外力的功等于力F与摩擦力f做功的代数和,而当 时, 摩擦力f=0,则此时摩擦力做功为零,此时力F做功最小,最小值为max,选项D正确。 故选D。 3.(2023·山东·统考高考真题)《天工开物》中记载了古人借助水力使用高转筒车往稻田里引水的场景。 引水过程简化如下:两个半径均为R的水轮,以角速度ω匀速转动。水筒在筒车上均匀排布,单位长度上 有n个,与水轮间无相对滑动。每个水筒离开水面时装有质量为m的水,其中的60%被输送到高出水面H 处灌入稻田。当地的重力加速度为g,则筒车对灌入稻田的水做功的功率为( ) A. B. C. D.nmgωRH 【答案】B 【详解】由题知,水筒在筒车上均匀排布,单位长度上有n个,且每个水筒离开水面时装有质量为m的水、 其中的60%被输送到高出水面H处灌入稻田,则水轮转一圈灌入农田的水的总质量为 m = 2πRnm × 60% = 1.2πRnm 总 则水轮转一圈灌入稻田的水克服重力做的功 W = 1.2πRnmgH 则筒车对灌入稻田的水做功的功率为联立有 故选B。 4.(2022·福建·高考真题)福建土楼兼具居住和防御的功能,承启楼是圆形土楼的典型代表,如图(a) 所示。承启楼外楼共四层,各楼层高度如图(b)所示。同一楼层内部通过直径约 的圆形廊道连接。 若将质量为 的防御物资先从二楼仓库搬到四楼楼梯口M处,再用 沿廊道运送到N处,如图 (c)所示。重力加速度大小取 ,则( ) A.该物资从二楼地面被运送到四楼M处的过程中,克服重力所做的功为 B.该物资从M处被运送到N处的过程中,克服重力所做的功为 C.从M处沿圆形廊道运动到N处,位移大小为 D.从M处沿圆形廊道运动到N处,平均速率为 【答案】A 【详解】A.该物资从二楼地面被运送到四楼M处的过程中,克服重力所做的功为 故A正确; B.该物资从M处被运送到N处的过程中,由于M、N高度差为零,所以克服重力做功为零,故B错误;C.从M处沿圆形廊道运动到N处,位移大小为 ,故C错误; D.从M处沿圆形廊道运动到N处,平均速率为 故D错误。 故选A。 5.(2022·北京·高考真题)我国航天员在“天宫课堂”中演示了多种有趣的实验,提高了青少年科学探索 的兴趣。某同学设计了如下实验:细绳一端固定,另一端系一小球,给小球一初速度使其在竖直平面内做 圆周运动。无论在“天宫”还是在地面做此实验( ) A.小球的速度大小均发生变化 B.小球的向心加速度大小均发生变化 C.细绳的拉力对小球均不做功 D.细绳的拉力大小均发生变化 【答案】C 【详解】AC.在地面上做此实验,忽略空气阻力,小球受到重力和绳子拉力的作用,拉力始终和小球的速 度垂直,不做功,重力会改变小球速度的大小;在“天宫”上,小球处于完全失重的状态,小球仅在绳子 拉力作用下做匀速圆周运动,绳子拉力仍然不做功,A错误,C正确; BD.在地面上小球运动的速度大小改变,根据 和 (重力不变)可知小球的向心加速度和拉 力的大小发生改变,在“天宫”上小球的向心加速度和拉力的大小不发生改变,BD错误。 故选C。 6.(2023·山东·统考高考真题)质量为M的玩具动力小车在水平面上运动时,牵引力F和受到的阻力f均 为恒力,如图所示,小车用一根不可伸长的轻绳拉着质量为m的物体由静止开始运动。当小车拖动物体行 驶的位移为 时,小车达到额定功率,轻绳从物体上脱落。物体继续滑行一段时间后停下,其总位移为 。 物体与地面间的动摩擦因数不变,不计空气阻力。小车的额定功率P 为( ) 0 A. B. C. D.【答案】A 【详解】设物体与地面间的动摩擦因数为μ,当小车拖动物体行驶的位移为S 的过程中有 1 F-f-μmg = (m+M)a v2= 2aS 1 P= Fv 0 轻绳从物体上脱落后 a= μg 2 v2= 2a(S-S) 2 2 1 联立有 故选A。 7.(2023·湖北·统考高考真题)两节动车的额定功率分别为 和 ,在某平直铁轨上能达到的最大速度分 别为 和 。现将它们编成动车组,设每节动车运行时受到的阻力在编组前后不变,则该动车组在此铁轨 上能达到的最大速度为( ) A. B. C. D. 【答案】D 【详解】由题意可知两节动车分别有 当将它们编组后有 联立可得 故选D。 8.(2021·北京·高考真题)如图所示,高速公路上汽车定速巡航(即保持汽车的速率不变)通过路面 abcd,其中ab段为平直上坡路面,bc段为水平路面,cd段为平直下坡路面。不考虑整个过程中空气阻力 和摩擦阻力的大小变化。下列说法正确的是( ) A.在ab段汽车的输出功率逐渐减小 B.汽车在ab段的输出功率比bc段的大 C.在cd段汽车的输出功率逐渐减小 D.汽车在cd段的输出功率比bc段的大 【答案】B【详解】AB.在ab段,根据平衡条件可知,牵引力 所以在ab段汽车的输出功率 不变,在bc段牵引力 bc段的输出功率 故A错误B正确; CD.在cd段牵引力 汽车的输出 在cd段汽车的输出功率不变,且小于bc段,故CD错误。 故选B。 9.(2021·浙江·统考高考真题)如图所示是我国自主研发的全自动无人值守望远镜,它安装在位于南极大 陆的昆仑站,电力供应仅为1×103W。若用国际单位制基本单位的符号来表示W,正确的是( ) A.N・s B.N・m/s C.kg・m/s D.kg・m2/s3 【答案】D 【详解】A. 不是国际单位制基本单位,根据冲量的定义 可知, 是冲量的的单位,A错误; B.根据功率的计算公式 可知功率的单位可以表示为 ,但 不是国际单位制基本单位,B错 误; C.根据动量的定义 可知, 是动量的单位,C错误; D.根据 可知功率的单位可以表示为 ,结合 可知 ,则功率得单位 ,D正确。 故选D。 二、多选题 10.(2022·广东·高考真题)如图所示,载有防疫物资的无人驾驶小车,在水平 段以恒定功率 、 速度 匀速行驶,在斜坡 段以恒定功率 、速度 匀速行驶。已知小车总质量为 ,, 段的倾角为 ,重力加速度g取 ,不计空气阻力。下列说法正确的有 ( ) A.从M到N,小车牵引力大小为 B.从M到N,小车克服摩擦力做功 C.从P到Q,小车重力势能增加 D.从P到Q,小车克服摩擦力做功 【答案】ABD 【详解】A.小车从M到N,依题意有 代入数据解得 故A正确; B.依题意,小车从M到N,因匀速,小车所受的摩擦力大小为 则摩擦力做功为 则小车克服摩擦力做功为800J,故B正确; C.依题意,从P到Q,重力势能增加量为 故C错误; D.依题意,小车从P到Q,摩擦力为f,有 2 摩擦力做功为 联立解得 则小车克服摩擦力做功为700J,故D正确。 故选ABD。 11.(2021·重庆·高考真题)额定功率相同的甲、乙两车在同一水平路面上从静止启动,其发动机的牵引 力随时间的变化曲线如图所示。两车分别从 和 时刻开始以额定功率行驶,从 和 时刻开始牵引力均视为不变。若两车行驶时所受的阻力大小与重力成正比,且比例系数相同,则( ) A.甲车的总重比乙车大 B.甲车比乙车先开始运动 C.甲车在 时刻和乙车在 时刻的速率相同 D.甲车在 时刻和乙车在 时刻的速率相同 【答案】ABC 【详解】A.根据题述,两车额定功率P相同,匀速运动后牵引力等于阻力,因此甲车阻力大于乙车阻力, 根据甲车 时刻后和乙车 时刻后两车牵引力不变,甲车牵引力大于乙车可知 可知甲车的总重比乙车大,故A正确; B.如图所示 甲车在A点所对应的时刻牵引力与阻力瞬间相等,所以甲车从这个时刻开始,做加速运动;乙车在B点所 对应的时刻牵引力与阻力瞬间相等,乙车从这个时刻开始加速,所以甲车比乙车先开始运动,故B正确; C.两车分别从 和 时刻开始以额定功率行驶,这两个时刻,两车的牵引力等大,由 可知,甲车在 时刻和乙车在 时刻的速率相同,故C正确; D. 时刻甲车达到最大速度, 时刻乙车达到最大速度,根据汽车的额定功率 可知由于甲车的总重比乙车大,所以甲车在 时刻的速率小于乙车在 时刻的速率,故D错误。 故选ABC。 三、解答题 12.(2021·浙江·统考高考真题)如图所示,质量m=2kg的滑块以v=16m/s的初速度沿倾角θ=37°的斜面 0 上滑,经t=2s滑行到最高点。然后,滑块返回到出发点。已知sin37°=0.6,cos37°=0.8,求滑块 (1)最大位移值x;(2)与斜面间的动摩擦因数; (3)从最高点返回到出发点的过程中重力的平均功率P。 【答案】(1)16m;(2)0.25;(3)67.9W 【详解】(1)小车向上做匀减速直线运动,有 得 (2)加速度 上滑过程 得 (3)下滑过程 由运动学公式 重力的平均功率 考点 02 动能定理及其应用 一、单选题 1.(2023·辽宁·统考高考真题)如图(a),从高处M点到地面N点有Ⅰ、Ⅱ两条光滑轨道。两相同小物 块甲、乙同时从M点由静止释放,沿不同轨道滑到N点,其速率v与时间t的关系如图(b)所示。由图可知,两物块在离开M点后、到达N点前的下滑过程中( ) A.甲沿I下滑且同一时刻甲的动能比乙的大 B.甲沿Ⅱ下滑且同一时刻甲的动能比乙的小 C.乙沿I下滑且乙的重力功率一直不变 D.乙沿Ⅱ下滑且乙的重力功率一直增大 【答案】B 【详解】AB.由图乙可知,甲下滑过程中,甲做匀加速直线运动,则甲沿Ⅱ下滑,乙做加速度逐渐减小的 加速运动,乙沿I下滑,任意时刻甲的速度都小于乙的速度,可知同一时刻甲的动能比乙的小,A错误,B 正确; CD.乙沿I下滑,开始时乙速度为0,到 点时乙竖直方向速度为零,根据瞬时功率公式 可知重 力瞬时功率先增大后减小,CD错误。 故选B。 2.(2023·江苏·统考高考真题)滑块以一定的初速度沿粗糙斜面从底端上滑,到达最高点B后返回到底端。 利用频闪仪分别对上滑和下滑过程进行拍摄,频闪照片示意图如图所示。与图乙中相比,图甲中滑块( ) A.受到的合力较小 B.经过A点的动能较小 C.在A、B之间的运动时间较短 D.在A、B之间克服摩擦力做的功较小 【答案】C 【详解】A.因为频闪照片时间间隔相同,对比图甲和乙可知图甲中滑块加速度大,是上滑阶段;根据牛 顿第二定律可知图甲中滑块收到的合力较大;故A错误; B.从图甲中的A点到图乙中的A点,先上升后下降,重力做功为0,摩擦力做负功;根据动能定理可知图 甲经过A点的动能较大,故B错误; C.由于图甲中滑块加速度大,根据可知图甲在A、B之间的运动时间较短,故C正确; D.由于无论上滑或下滑均受到滑动摩擦力大小相等,故图甲和图乙在A、B之间克服摩擦力做的功相等, 故D错误; 故选C。 3.(2023·山西·统考高考真题)无风时,雨滴受空气阻力的作用在地面附近会以恒定的速率竖直下落。一 质量为m的雨滴在地面附近以速率v下落高度h的过程中,克服空气阻力做的功为(重力加速度大小为 g)( ) A.0 B.mgh C. D. 【答案】B 【详解】在地面附近雨滴做匀速运动,根据动能定理得 故雨滴克服空气阻力做功为 。 故选B。 4.(2022·江苏·高考真题)某滑雪赛道如图所示,滑雪运动员从静止开始沿斜面下滑,经圆弧滑道起跳。 将运动员视为质点,不计摩擦力及空气阻力,此过程中,运动员的动能 与水平位移x的关系图像正确的 是( ) A. B. C. D. 【答案】A 【详解】设斜面倾角为θ,不计摩擦力和空气阻力,由题意可知运动员在沿斜面下滑过程中根据动能定理 有即 下滑过程中开始阶段倾角θ不变,E-x图像为一条直线;经过圆弧轨道过程中θ先减小后增大,即图像斜 k 率先减小后增大。 故选A。 5.(2021·湖北·统考高考真题)如图(a)所示,一物块以一定初速度沿倾角为30°的固定斜面上滑,运动 过程中摩擦力大小f恒定,物块动能E 与运动路程s的关系如图(b)所示。重力加速度大小取10 m/s2,物 k 块质量m和所受摩擦力大小f分别为( ) A.m=0.7 kg,f=0.5 N B.m=0.7 kg,f=1.0N C.m=0.8kg,f=0.5 N D.m=0.8 kg,f=1.0N 【答案】A 【分析】本题结合 图像考查动能定理。 【详解】0~10m内物块上滑,由动能定理得 整理得 结合0~10m内的图像得,斜率的绝对值 10~20 m内物块下滑,由动能定理得 整理得 结合10~20 m内的图像得,斜率 联立解得故选A。 6.(2021·山东·高考真题)如图所示,粗糙程度处处相同的水平桌面上有一长为L的轻质细杆,一端可绕 竖直光滑轴O转动,另一端与质量为m的小木块相连。木块以水平初速度 出发,恰好能完成一个完整的 圆周运动。在运动过程中,木块所受摩擦力的大小为( ) A. B. C. D. 【答案】B 【详解】在运动过程中,只有摩擦力做功,而摩擦力做功与路径有关,根据动能定理 可得摩擦力的大小 故选B。 7.(2021·湖南·高考真题)“复兴号”动车组用多节车厢提供动力,从而达到提速的目的。总质量为 的 动车组在平直的轨道上行驶。该动车组有四节动力车厢,每节车厢发动机的额定功率均为 ,若动车组所 受的阻力与其速率成正比( , 为常量),动车组能达到的最大速度为 。下列说法正确的是( ) A.动车组在匀加速启动过程中,牵引力恒定不变 B.若四节动力车厢输出功率均为额定值,则动车组从静止开始做匀加速运动 C.若四节动力车厢输出的总功率为 ,则动车组匀速行驶的速度为 D.若四节动力车厢输出功率均为额定值,动车组从静止启动,经过时间 达到最大速度 ,则这一过程 中该动车组克服阻力做的功为 【答案】C 【详解】A.对动车由牛顿第二定律有 若动车组在匀加速启动,即加速度 恒定,但 随速度增大而增大,则牵引力也随阻力增大而变大,故A错误; B.若四节动力车厢输出功率均为额定值,则总功率为4P,由牛顿第二定律有 故可知加速启动的过程,牵引力减小,阻力增大,则加速度逐渐减小,故B错误; C.若四节动力车厢输出的总功率为 ,则动车组匀速行驶时加速度为零,有 而以额定功率匀速时,有 联立解得 故C正确; D.若四节动力车厢输出功率均为额定值,动车组从静止启动,经过时间 达到最大速度 ,由动能定理 可知 可得动车组克服阻力做的功为 故D错误; 故选C。 二、多选题 8.(2022·福建·高考真题)一物块以初速度 自固定斜面底端沿斜面向上运动,一段时间后回到斜面底端。 该物体的动能 随位移x的变化关系如图所示,图中 、 、 均已知。根据图中信息可以求出的物理 量有( ) A.重力加速度大小 B.物体所受滑动摩擦力的大小 C.斜面的倾角 D.沿斜面上滑的时间 【答案】BD【详解】ABC.由动能定义式得 ,则可求解质量m;上滑时,由动能定理 下滑时,由动能定理 x 为上滑的最远距离;由图像的斜率可知 0 , 两式相加可得 相减可知 即可求解gsinθ和所受滑动摩擦力f的大小,但重力加速度大小、斜面的倾角不能求出,故AC错误,B正 确; D.根据牛顿第二定律和运动学关系得 , 故可求解沿斜面上滑的时间,D正确。 故选BD。 9.(2021·辽宁·统考高考真题)冰滑梯是东北地区体验冰雪运动乐趣的设施之一、某冰滑梯的示意图如图 所示,螺旋滑道的摩擦可忽略:倾斜滑道和水平滑道与同一滑板间的动摩擦因数μ相同,因滑板不同μ满 足 。在设计滑梯时,要确保所有游客在倾斜滑道上均减速下滑,且滑行结束时停在水平滑道 上,以下L、L 的组合符合设计要求的是( ) 1 2 A. , B. , C. , D. , 【答案】CD 【详解】设斜面倾角为 ,游客在倾斜滑道上均减速下滑,则需满足可得 即有 因 ,所有游客在倾斜滑道上均减速下滑,可得 滑行结束时停在水平滑道上,由全程的动能定理有 其中 ,可得 , 代入 ,可得 , 综合需满足 和 故选CD。 10.(2021·全国·高考真题)一质量为m的物体自倾角为 的固定斜面底端沿斜面向上滑动。该物体开始 滑动时的动能为 ,向上滑动一段距离后速度减小为零,此后物体向下滑动,到达斜面底端时动能为 。 已知 ,重力加速度大小为g。则( ) A.物体向上滑动的距离为 B.物体向下滑动时的加速度大小为 C.物体与斜面间的动摩擦因数等于0.5 D.物体向上滑动所用的时间比向下滑动的时间长 【答案】BC 【详解】AC.物体从斜面底端回到斜面底端根据动能定理有物体从斜面底端到斜面顶端根据动能定理有 整理得 ; A错误,C正确; B.物体向下滑动时的根据牛顿第二定律有 求解得出 B正确; D.物体向上滑动时的根据牛顿第二定律有 物体向下滑动时的根据牛顿第二定律有 由上式可知 a > a 上 下 由于上升过程中的末速度为零,下滑过程中的初速度为零,且走过相同的位移,根据公式 则可得出 D错误。 故选BC。 三、解答题 11.(2023·湖北·统考高考真题)如图为某游戏装置原理示意图。水平桌面上固定一半圆形竖直挡板,其 半径为2R、内表面光滑,挡板的两端A、B在桌面边缘,B与半径为R的固定光滑圆弧轨道 在同一竖 直平面内,过C点的轨道半径与竖直方向的夹角为60°。小物块以某一水平初速度由A点切入挡板内侧, 从B点飞出桌面后,在C点沿圆弧切线方向进入轨道 内侧,并恰好能到达轨道的最高点D。小物块与 桌面之间的动摩擦因数为 ,重力加速度大小为g,忽略空气阻力,小物块可视为质点。求: (1)小物块到达D点的速度大小; (2)B和D两点的高度差; (3)小物块在A点的初速度大小。【答案】(1) ;(2)0;(3) 【详解】(1)由题知,小物块恰好能到达轨道的最高点D,则在D点有 解得 (2)由题知,小物块从C点沿圆弧切线方向进入轨道 内侧,则在C点有 小物块从C到D的过程中,根据动能定理有 则小物块从B到D的过程中,根据动能定理有 联立解得 ,H = 0 BD (3)小物块从A到B的过程中,根据动能定理有 S = π∙2R 解得 12.(2022·浙江·统考高考真题)如图所示,处于竖直平面内的一探究装置,由倾角 =37°的光滑直轨道 AB、圆心为O 的半圆形光滑轨道BCD、圆心为O 的半圆形光滑细圆管轨道DEF、倾角也为37°的粗糙直 1 2 轨道FG组成,B、D和F为轨道间的相切点,弹性板垂直轨道固定在G点(与B点等高),B、O、D、 1 O 和F点处于同一直线上。已知可视为质点的滑块质量m=0.1kg,轨道BCD和DEF的半径R=0.15m,轨 2 道AB长度 ,滑块与轨道FG间的动摩擦因数 ,滑块与弹性板作用后,以等大速度弹回,sin37°=0.6,cos37°=0.8。滑块开始时均从轨道AB上某点静止释放,( ) (1)若释放点距B点的长度l=0.7m,求滑块到最低点C时轨道对其支持力F 的大小; N (2)设释放点距B点的长度为 ,滑块第一次经F点时的速度v与 之间的关系式; (3)若滑块最终静止在轨道FG的中点,求释放点距B点长度 的值。 【答案】(1)7N;(2) ( );(3) , , 【详解】(1)滑块释放运动到C点过程,由动能定理 经过C点时 解得 (2)能过最高点时,则能到F点,则恰到最高点时 解得 而要保证滑块能到达F点,必须要保证它能到达DEF最高点,当小球恰好到达DEF最高点时,由动能定 理 可解得 则要保证小球能到F点, ,带入 可得 (3)设全过程摩擦力对滑块做功为第一次到达中点时做功的n倍,则n=1,3,5,……解得 n=1,3,5, …… 又因为 , 当 时, ,当 时, ,当 时, ,满足要求。 即若滑块最终静止在轨道FG的中点,释放点距B点长度 的值可能为 , , 。 13.(2021·福建·统考高考真题)如图(a),一倾角 的固定斜面的 段粗糙, 段光滑。斜面上一 轻质弹簧的一端固定在底端C处,弹簧的原长与 长度相同。一小滑块在沿斜面向下的拉力T作用下, 由A处从静止开始下滑,当滑块第一次到达B点时撤去T。T随滑块沿斜面下滑的位移s的变化关系如图 (b)所示。已知 段长度为 ,滑块质量为 ,滑块与斜面 段的动摩擦因数为0.5,弹簧始终在 弹性限度内,重力加速度大小取 , 。求: (1)当拉力为 时,滑块的加速度大小; (2)滑块第一次到达B点时的动能; (3)滑块第一次在B点与弹簧脱离后,沿斜面上滑的最大距离。 【答案】(1) ;(2) ;(3) 【详解】(1)设小滑块的质量为m,斜面倾角为 ,滑块与斜面间的动摩擦因数为 ,滑块受斜面的支持 力大小为N,滑动摩擦力大小为f,拉力为 时滑块的加速度大小为 。由牛顿第二定律和滑动摩擦力公 式有 ① ② ③ 联立①②③式并代入题给数据得 ④ (2)设滑块在 段运动的过程中拉力所做的功为W,由功的定义有 ⑤式中 、 和 、 分别对应滑块下滑过程中两阶段所受的拉力及相应的位移大小。依题意, , , , 。设滑块第一次到达B点时的动能为 ,由动能定理有 ⑥ 联立②③⑤⑥式并代入题给数据得 ⑦ (3)由机械能守恒定律可知,滑块第二次到达B点时,动能仍为 。设滑块离B点的最大距离为 , 由动能定理有 ⑧ 联立②③⑦⑧式并代入题给数据得 ⑨ 14.(2021·全国·高考真题)一篮球质量为 ,一运动员使其从距地面高度为 处由静止 自由落下,反弹高度为 。若使篮球从距地面 的高度由静止下落,并在开始下落的同时向 下拍球、球落地后反弹的高度也为 。假设运动员拍球时对球的作用力为恒力,作用时间为 ; 该篮球每次与地面碰撞前后的动能的比值不变。重力加速度大小取 ,不计空气阻力。求: (1)运动员拍球过程中对篮球所做的功; (2)运动员拍球时对篮球的作用力的大小。 【答案】(1) ;(2) 【详解】(1)第一次篮球下落的过程中由动能定理可得 篮球反弹后向上运动的过程由动能定理可得 第二次从1.5m的高度静止下落,同时向下拍球,在篮球反弹上升的过程中,由动能定理可得 第二次从1.5m的高度静止下落,同时向下拍球,篮球下落过程中,由动能定理可得 因篮球每次和地面撞击的前后动能的比值不变,则有比例关系 代入数据可得 (2)因作用力是恒力,在恒力作用下篮球向下做匀加速直线运动,因此有牛顿第二定律可得 在拍球时间内运动的位移为做得功为 联立可得 ( 舍去) 考点 03 机械能守恒及其应用 一、单选题 1.(2022·浙江·统考高考真题)神舟十三号飞船采用“快速返回技术”,在近地轨道上,返回舱脱离天和 核心舱,在圆轨道环绕并择机返回地面。则( ) A.天和核心舱所处的圆轨道距地面高度越高,环绕速度越大 B.返回舱中的宇航员处于失重状态,不受地球的引力 C.质量不同的返回舱与天和核心舱可以在同一轨道运行 D.返回舱穿越大气层返回地面过程中,机械能守恒 【答案】C 【详解】AC.根据 可得 可知圆轨道距地面高度越高,环绕速度越小;而只要环绕速度相同,返回舱和天和核心舱可以在同一轨道 运行,与返回舱和天和核心舱的质量无关,故A错误,C正确; B.返回舱中的宇航员处于失重状态,仍然受到地球引力作用,地球的引力提供宇航员绕地球运动的向心 力,故B错误; D.返回舱穿越大气层返回地面过程中,有阻力做功产生热量,机械能减小,故D错误。 故选C。 2.(2023·浙江·高考真题)一位游客正在体验蹦极,绑上蹦极专用的橡皮绳后从跳台纵身而下。游客从跳 台下落直到最低点过程中( ) A.弹性势能减小 B.重力势能减小 C.机械能保持不变 D.绳一绷紧动能就开始减小 【答案】B 【详解】游客从跳台下落,开始阶段橡皮绳未拉直,只受重力作用做匀加速运动,下落到一定高度时橡皮绳开始绷紧,游客受重力和向上的弹力作用,弹力从零逐渐增大,游客所受合力先向下减小后向上增大, 速度先增大后减小,到最低点时速度减小到零,弹力达到最大值。 A.橡皮绳绷紧后弹性势能一直增大,A错误; B.游客高度一直降低,重力一直做正功,重力势能一直减小,B正确; C.下落阶段橡皮绳对游客做负功,游客机械能减少,转化为弹性势能,C错误; D.绳刚绷紧开始一段时间内,弹力小于重力,合力向下做正功,游客动能在增加;当弹力大于重力后, 合力向上对游客做负功,游客动能逐渐减小,D错误。 故选B。 3.(2023·全国·统考高考真题)一同学将铅球水平推出,不计空气阻力和转动的影响,铅球在平抛运动过 程中( ) A.机械能一直增加 B.加速度保持不变 C.速度大小保持不变D.被推出后瞬间动能最大 【答案】B 【详解】A.铅球做平抛运动,仅受重力,故机械能守恒,A错误; B.铅球的加速度恒为重力加速度保持不变,B正确; CD.铅球做平抛运动,水平方向速度不变,竖直方向做匀加速直线运动,根据运动的合成可知铅球速度变 大,则动能越来越大,CD错误。 故选B。 4.(2021·海南·高考真题)水上乐园有一末段水平的滑梯,人从滑梯顶端由静止开始滑下后落入水中。如 图所示,滑梯顶端到末端的高度 ,末端到水面的高度 。取重力加速度 ,将人 视为质点,不计摩擦和空气阻力。则人的落水点到滑梯末端的水平距离为( ) A. B. C. D. 【答案】A 【详解】人从滑梯由静止滑到滑梯末端速度为 ,根据机械能守恒定律可知 解得 从滑梯末端水平飞出后做平抛运动,竖直方向做自由落体运动,根据 可知落水时间为 水平方向做匀速直线运动,则人的落水点距离滑梯末端的水平距离为故选A。 5.(2023·浙江·统考高考真题)铅球被水平推出后的运动过程中,不计空气阻力,下列关于铅球在空中运 动时的加速度大小a、速度大小v、动能E 和机械能E随运动时间t的变化关系中,正确的是( ) k A. B. C. D. 【答案】D 【详解】A.由于不计空气阻力,铅球被水平推出后只受重力作用,加速度等于重力加速度,不随时间改 变,故A错误; B.铅球被水平推出后做平抛运动,竖直方向有 则抛出后速度大小为 可知速度大小与时间不是一次函数关系,故B错误; C.铅球抛出后的动能 可知动能与时间不是一次函数关系,故C错误; D.铅球水平抛出后由于忽略空气阻力,所以抛出后铅球机械能守恒,故D正确。 故选D。 6.(2021·重庆·高考真题)如图所示,竖直平面内有两个半径为R,而内壁光滑的 圆弧轨道,固定在竖 直平面内,地面水平, 、O'为两圆弧的圆心,两圆弧相切于N点。一小物块从左侧圆弧最高处静止释放, 当通过N点时,速度大小为(重力加速度为g)( )A. B. C. D. 【答案】D 【详解】图中 连线与水平方向的夹角 ,由几何关系可得 可得 设小物块通过N点时速度为v,小物块从左侧圆弧最高点静止释放,由机械能守恒定律可知 解得 故D正确,ABC错误。 故选D。 7.(2022·全国·统考高考真题)北京2022年冬奥会首钢滑雪大跳台局部示意图如图所示。运动员从a处 由静止自由滑下,到b处起跳,c点为a、b之间的最低点,a、c两处的高度差为h。要求运动员经过c点 时对滑雪板的压力不大于自身所受重力的k倍,运动过程中将运动员视为质点并忽略所有阻力,则c点处 这一段圆弧雪道的半径不应小于( ) A. B. C. D. 【答案】D 【详解】运动员从a到c根据动能定理有 在c点有 F c ≤ kmg N 联立有 故选D。8.(2021·浙江·统考高考真题)如图所示,同学们坐在相同的轮胎上,从倾角相同的平直雪道先后由同高 度静止滑下,各轮胎与雪道间的动摩擦因数均相同,不计空气阻力。雪道上的同学们( ) A.沿雪道做匀速直线运动 B.下滑过程中机械能均守恒 C.前后间的距离随时间不断增大 D.所受重力沿雪道向下的分力相同 【答案】C 【详解】A.同学坐在轮胎上从静止开始沿雪道下滑,做加速运动,受力分析如图 根据牛顿第二定律可知加速度 又因为 相同,所以同学们做匀加速直线运动,A错误; B.下滑过程中摩擦力做负功,雪道上的同学们机械能减小,B错误; C.根据匀加速直线运动位移与时间的关系 ,可知同学们前后距离随着时间不断增大,也可以从速 度的角度分析,同学们做匀加速直线运动,随着时间的增加,速度越来越大,相等时时间内通过的位移越 来越大,所以同学们前后距离随着时间不断增大,C正确; D.各同学质量可能不同,所以重力沿雪道向下的分力 也可能不相同,D错误。 故选C。 9.(2021·河北·高考真题)一半径为R的圆柱体水平固定,横截面如图所示,长度为 、不可伸长的轻 细绳,一端固定在圆柱体最高点P处,另一端系一个小球,小球位于P点右侧同一水平高度的Q点时,绳 刚好拉直,将小球从Q点由静止释放,当与圆柱体未接触部分的细绳竖直时,小球的速度大小为(重力加 速度为g,不计空气阻力)( )A. B. C. D. 【答案】A 【详解】小球下落的高度为 h = πR - R + R = R 小球下落过程中,根据动能定理有 mgh = mv2 综上有 v = 故选A。 10.(2022·全国·统考高考真题)固定于竖直平面内的光滑大圆环上套有一个小环,小环从大圆环顶端P 点由静止开始自由下滑,在下滑过程中,小环的速率正比于( ) A.它滑过的弧长 B.它下降的高度 C.它到P点的距离 D.它与P点的连线扫过的面积 【答案】C 【详解】如图所示设圆环下降的高度为 ,圆环的半径为 ,它到P点的距离为 ,根据机械能守恒定律得 由几何关系可得 联立可得 可得 故C正确,ABD错误。 故选C。 二、多选题 11.(2023·湖南·统考高考真题)如图,固定在竖直面内的光滑轨道ABC由直线段AB和圆弧段BC组成, 两段相切于B点,AB段与水平面夹角为θ,BC段圆心为O,最高点为C、A与C的高度差等于圆弧轨道的 直径2R。小球从A点以初速度v 冲上轨道,能沿轨道运动恰好到达C点,下列说法正确的是( ) 0 A.小球从B到C的过程中,对轨道的压力逐渐增大 B.小球从A到C的过程中,重力的功率始终保持不变 C.小球的初速度 D.若小球初速度v 增大,小球有可能从B点脱离轨道 0【答案】AD 【详解】A.由题知,小球能沿轨道运动恰好到达C点,则小球在C点的速度为 v = 0 C 则小球从C到B的过程中,有 联立有 F = 3mgcosα-2mg N 则从C到B的过程中α由0增大到θ,则cosα逐渐减小,故F 逐渐减小,而小球从B到C的过程中,对轨 N 道的压力逐渐增大,A正确; B.由于A到B的过程中小球的速度逐渐减小,则A到B的过程中重力的功率为 P = -mgvsinθ 则A到B的过程中小球重力的功率始终减小,则B错误; C.从A到C的过程中有 解得 C错误; D.小球在B点恰好脱离轨道有 则 则若小球初速度v 增大,小球在B点的速度有可能为 ,故小球有可能从B点脱离轨道,D正确。 0 故选AD。 12.(2021·广东·高考真题)长征途中,为了突破敌方关隘,战士爬上陡销的山头,居高临下向敌方工事 内投掷手榴弹,战士在同一位置先后投出甲、乙两颗质量均为m的手榴弹,手榴弹从投出的位置到落地点 的高度差为h,在空中的运动可视为平抛运动,轨迹如图所示,重力加速度为g,下列说法正确的有 ( )A.甲在空中的运动时间比乙的长 B.两手榴弹在落地前瞬间,重力的功率相等 C.从投出到落地,每颗手榴弹的重力势能减少 D.从投出到落地,每颗手榴弹的机械能变化量为 【答案】BC 【详解】A.由平抛运动规律可知,做平抛运动的时间 因为两手榴弹运动的高度差相同,所以在空中运动时间相等,故A错误; B.做平抛运动的物体落地前瞬间重力的功率 因为两手榴弹运动的高度差相同,质量相同,所以落地前瞬间,两手榴弹重力功率相同,故B正确; C.从投出到落地,手榴弹下降的高度为h,所以手榴弹重力势能减小量 故C正确; D.从投出到落地,手榴弹做平抛运动,只有重力做功,机械能守恒,故D错误。 故选BC。 三、解答题 13.(2023·辽宁·统考高考真题)某大型水陆两柄飞机具有水面滑行汲水和空中投水等功能。某次演练中, 该飞机在水而上由静止开始匀加速直线滑行并汲水,速度达到v₁=80m/s时离开水面,该过程滑行距离 L=1600m、汲水质量m=1.0×10⁴kg。离开水面后,飞机琴升高度h=100m时速度达到v₂=100m/s,之后保持 水平匀速飞行,待接近目标时开始空中投水。取重力加速度g=10m/s²。求: (1)飞机在水面滑行阶段的加速度a的大小及滑行时间t; (2)整个攀升阶段,飞机汲取的水的机械能增加量ΔE。 【答案】(1) , ;(2) 【详解】(1)飞机做从静止开始做匀加速直线运动,平均速度为 ,则 解得飞机滑行的时间为飞机滑行的加速度为 (2)飞机从水面至 处,水的机械能包含水的动能和重力势能,则机械能变化量为 考点 04 功能关系及能量守恒定律 一、单选题 1.(2023·全国·统考高考真题)一同学将排球自O点垫起,排球竖直向上运动,随后下落回到O点。设排 球在运动过程中所受空气阻力大小和速度大小成正比。则该排球( ) A.上升时间等于下落时间 B.被垫起后瞬间的速度最大 C.达到最高点时加速度为零 D.下落过程中做匀加速运动 【答案】B 【详解】A.上升过程和下降过程的位移大小相同,上升过程的末状态和下降过程的初状态速度均为零。 对排球受力分析,上升过程的重力和阻力方向相同,下降过程中重力和阻力方向相反,根据牛顿第二定律 可知,上升过程中任意位置的加速度比下降过程中对应位置的加速度大,则上升过程的平均加速度较大。 由位移与时间关系可知,上升时间比下落时间短,A错误; B.上升过程排球做减速运动,下降过程排球做加速运动。在整个过程中空气阻力一直做负功,小球机械 能一直在减小,下降过程中的最低点的速度小于上升过程的最低点的速度,故排球被垫起时的速度最大, B正确; C.达到最高点速度为零,空气阻力为零,此刻排球重力提供加速度不为零,C错误; D.下落过程中,排球速度在变,所受空气阻力在变,故排球所受的合外力在变化,排球在下落过程中做 变加速运动,D错误。 故选B。 2.(2021·浙江·统考高考真题)一辆汽车在水平高速公路上以80km/h的速度匀速行驶,其1s内能量分配 情况如图所示则汽车( )A.发动机的输出功率为70kW B.每1s消耗的燃料最终转化成的内能是5.7×104J C.每1s消耗的燃料最终转化成的内能是6.9×104J D.每1s消耗的燃料最终转化成的内能是7.0×104J 【答案】C 【详解】A.由图可知,发动机1s内克服转动阻力做功为1.7×104J,则输出功率为 选项A错误; BCD.每1s消耗的燃料有6.9×104J进入发动机,则最终转化成的内能的量为6.9×104J,选项C正确,BD 错误。 故选C。 3.(2022·江苏·高考真题)如图所示,轻质弹簧一端固定,另一端与物块A连接在一起,处于压缩状态, A由静止释放后沿斜面向上运动到最大位移时,立即将物块B轻放在A右侧,A、B由静止开始一起沿斜 面向下运动,下滑过程中A、B始终不分离,当A回到初始位置时速度为零,A、B与斜面间的动摩擦因 数相同、弹簧未超过弹性限度,则( ) A.当上滑到最大位移的一半时,A的加速度方向沿斜面向下 B.A上滑时、弹簧的弹力方向不发生变化 C.下滑时,B对A的压力先减小后增大 D.整个过程中A、B克服摩擦力所做的总功大于B的重力势能减小量 【答案】B 【详解】B.由于A、B在下滑过程中不分离,设在最高点的弹力为F,方向沿斜面向下为正方向,斜面倾角为θ,AB之间的弹力为F ,摩擦因素为μ,刚下滑时根据牛顿第二定律对AB有 AB 对B有 联立可得 由于A对B的弹力F 方向沿斜面向上,故可知在最高点F的方向沿斜面向上;由于在最开始弹簧弹力也 AB 是沿斜面向上的,弹簧一直处于压缩状态,所以A上滑时、弹簧的弹力方向一直沿斜面向上,不发生变化, 故B正确; A.设弹簧原长在O点,A刚开始运动时距离O点为x,A运动到最高点时距离O点为x;下滑过程AB 1 2 不分离,则弹簧一直处于压缩状态,上滑过程根据能量守恒定律可得 化简得 当位移为最大位移的一半时有 带入k值可知F =0,即此时加速度为0,故A错误; 合 C.根据B的分析可知 再结合B选项的结论可知下滑过程中F向上且逐渐变大,则下滑过程F 逐渐变大,根据牛顿第三定律可 AB 知B对A的压力逐渐变大,故C错误; D.整个过程中弹力做的功为0,A重力做的功为0,当A回到初始位置时速度为零,根据功能关系可知整 个过程中A、B克服摩擦力所做的总功等于B的重力势能减小量,故D错误。 故选B。 4.(2022·湖北·统考高考真题)如图所示,质量分别为m和2m的小物块Р和Q,用轻质弹簧连接后放在 水平地面上,Р通过一根水平轻绳连接到墙上。P的下表面光滑,Q与地面间的动摩擦因数为μ,最大静摩 擦力等于滑动摩擦力。用水平拉力将Q向右缓慢拉开一段距离,撤去拉力后,Q恰好能保持静止。弹簧形 变始终在弹性限度内,弹簧的劲度系数为k,重力加速度大小为g。若剪断轻绳,Р在随后的运动过程中相 对于其初始位置的最大位移大小为( )A.μmgk B. C. D. 【答案】C 【详解】Q恰好能保持静止时,设弹簧的伸长量为x,满足 若剪断轻绳后,物块P与弹簧组成的系统机械能守恒,弹簧的最大压缩量也为x,因此Р相对于其初始位 置的最大位移大小为 故选C。 5.(2021·浙江·高考真题)中国制造的某一型号泵车如图所示,表中列出了其部分技术参数。已知混凝土 密度为 ,假设泵车的泵送系统以 的输送量给 高处输送混凝土,则每小时泵送系 统对混凝土做的功至少为( ) 发动机最大输出功率( 332 最大输送高度(m) 63 ) 最大输送量( 整车满载质量( ) 180 ) A. B. C. D. 【答案】C 【详解】泵车的泵送系统以 的输送量给 高处输送混凝土,每小时泵送系统对混凝土做的功 故选C。 6.(2022·浙江·统考高考真题)风力发电已成为我国实现“双碳”目标的重要途径之一。如图所示,风力 发电机是一种将风能转化为电能的装置。某风力发电机在风速为 时,输出电功率为 ,风速在 范围内,转化效率可视为不变。该风机叶片旋转一周扫过的面积为 ,空气密度为 ,风场风 速为 ,并保持风正面吹向叶片。下列说法正确的是( )A.该风力发电机的输出电功率与风速成正比 B.单位时间流过面积 的流动空气动能为 C.若每天平均有 的风能资源,则每天发电量为 D.若风场每年有 风速在 范围内,则该发电机年发电量至少为 【答案】D 【详解】AB.单位时间流过面积 的流动空气体积为 单位时间流过面积 的流动空气质量为 单位时间流过面积 的流动空气动能为 风速在 范围内,转化效率可视为不变,可知该风力发电机的输出电功率与风速的三次方成正比, AB错误; C.由于风力发电存在转化效率,若每天平均有 的风能资源,则每天发电量应满足 C错误; D.若风场每年有 风速在 的风能资源,当风速取最小值 时,该发电机年发电量具有 最小值,根据题意,风速为 时,输出电功率为 ,风速在 范围内,转化效率可视为不 变,可知风速为 时,输出电功率为 则该发电机年发电量至少为 D正确; 故选D。 二、多选题 7.(2022·河北·统考高考真题)如图,轻质定滑轮固定在天花板上,物体 和 用不可伸长的轻绳相连, 悬挂在定滑轮上,质量 , 时刻将两物体由静止释放,物体 的加速度大小为 。 时刻轻绳 突然断开,物体 能够达到的最高点恰与物体 释放位置处于同一高度,取 时刻物体 所在水平面为 零势能面,此时物体 的机械能为 。重力加速度大小为 ,不计摩擦和空气阻力,两物体均可视为质点。 下列说法正确的是( )A.物体 和 的质量之比为 B. 时刻物体 的机械能为 C. 时刻物体 重力的功率为 D. 时刻物体 的速度大小 【答案】BCD 【详解】A.开始释放时物体Q的加速度为 ,则 解得 选项A错误; B.在T时刻,两物体的速度 P上升的距离 细线断后P能上升的高度 可知开始时PQ距离为 若设开始时P所处的位置为零势能面,则开始时Q的机械能为从开始到绳子断裂,绳子的拉力对Q做负功,大小为 则此时物体Q的机械能 此后物块Q的机械能守恒,则在2T时刻物块Q的机械能仍为 ,选项B正确; CD.在2T时刻,重物P的速度 方向向下;此时物体P重力的瞬时功率 选项CD正确。 故选BCD。 8.(2023·全国·统考高考真题)如图,一质量为M、长为l的木板静止在光滑水平桌面上,另一质量为m 的小物块(可视为质点)从木板上的左端以速度v 开始运动。已知物块与木板间的滑动摩擦力大小为f, 0 当物块从木板右端离开时( ) A.木板的动能一定等于fl B.木板的动能一定小于fl C.物块的动能一定大于 D.物块的动能一定小于 【答案】BD 【详解】设物块离开木板时的速度为 ,此时木板的速度为 ,由题意可知 设物块的对地位移为 ,木板的对地位移为 CD.根据能量守恒定律可得 整理可得D正确,C错误; AB.因摩擦产生的摩擦热 根据运动学公式 因为 可得 则 所以 B正确,A错误。 故选BD。 三、解答题 9.(2021·北京·高考真题)秋千由踏板和绳构成,人在秋千上的摆动过程可以简化为单摆的摆动,等效 “摆球”的质量为m,人蹲在踏板上时摆长为 ,人站立时摆长为 。不计空气阻力,重力加速度大小为 g。 (1)如果摆长为 ,“摆球”通过最低点时的速度为v,求此时“摆球”受到拉力T的大小。 (2)在没有别人帮助的情况下,人可以通过在低处站起、在高处蹲下的方式使“摆球”摆得越来越高。 a.人蹲在踏板上从最大摆角 开始运动,到最低点时突然站起,此后保持站立姿势摆到另一边的最大摆角 为 。假定人在最低点站起前后“摆球”摆动速度大小不变,通过计算证明 。 b.实际上人在最低点快速站起后“摆球”摆动速度的大小会增大。随着摆动越来越高,达到某个最大摆角 后,如果再次经过最低点时,通过一次站起并保持站立姿势就能实现在竖直平面内做完整的圆周运动, 求在最低点“摆球”增加的动能 应满足的条件。 【答案】(1) ;(2)a.见解析;b. 【详解】(1)根据牛顿运动定律解得 (2)a.设人在最低点站起前后“摆球”的摆动速度大小分别为v、v,根据功能关系得 1 2 已知v = v,得 1 2 因为 ,得 所以 b.设“摆球”由最大摆角 摆至最低点时动能为 ,根据功能关系得 “摆球”在竖直平面内做完整的圆周运动,通过最高点最小速度为 ,根据牛顿运动定律得 “摆球”在竖直平面内做完整的圆周运动,根据功能关系得 得 10.(2021·山东·高考真题)如图所示,三个质量均为m的小物块A、B、C,放置在水平地面上,A紧靠 竖直墙壁,一劲度系数为k的轻弹簧将A、B连接,C紧靠B,开始时弹簧处于原长,A、B、C均静止。 现给C施加一水平向左、大小为F的恒力,使B、C一起向左运动,当速度为零时,立即撤去恒力,一段 时间后A离开墙壁,最终三物块都停止运动。已知A、B、C与地面间的滑动摩擦力大小均为f,最大静摩 擦力等于滑动摩擦力,弹簧始终在弹性限度内。(弹簧的弹性势能可表示为: ,k为弹簧的劲度 系数,x为弹簧的形变量) (1)求B、C向左移动的最大距离 和B、C分离时B的动能 ; (2)为保证A能离开墙壁,求恒力的最小值 ; (3)若三物块都停止时B、C间的距离为 ,从B、C分离到B停止运动的整个过程,B克服弹簧弹力 做的功为W,通过推导比较W与 的大小;(4)若 ,请在所给坐标系中,画出C向右运动过程中加速度a随位移x变化的图像,并在坐标轴 上标出开始运动和停止运动时的a、x值(用f、k、m表示),不要求推导过程。以撤去F时C的位置为坐 标原点,水平向右为正方向。 【答案】(1) 、 ;(2) ;(3) ;(4) 【详解】(1)从开始到B、C向左移动到最大距离的过程中,以B、C和弹簧为研究对象,由功能关系得 弹簧恢复原长时B、C分离,从弹簧最短到B、C分离,以B、C和弹簧为研究对象,由能量守恒得 联立方程解得 (2)当A刚要离开墙时,设弹簧得伸长量为 ,以A为研究对象,由平衡条件得 若A刚要离开墙壁时B得速度恰好等于零,这种情况下恒力为最小值 ,从弹簧恢复原长到A刚要离开 墙得过程中,以B和弹簧为研究对象,由能量守恒得 结合第(1)问结果可知根据题意舍去 ,所以恒力得最小值为 (3)从B、C分离到B停止运动,设B的路程为 ,C的位移为 ,以B为研究对象,由动能定理得 以C为研究对象,由动能定理得 由B、C得运动关系得 联立可知 (4)小物块B、C向左运动过程中,由动能定理得 解得撤去恒力瞬间弹簧弹力为 则坐标原点的加速度为 之后C开始向右运动过程(B、C系统未脱离弹簧)加速度为 可知加速度随位移 为线性关系,随着弹簧逐渐恢复原长, 减小, 减小,弹簧恢复原长时,B和C分 离,之后C只受地面的滑动摩擦力,加速度为 负号表示C的加速度方向水平向左;从撤去恒力之后到弹簧恢复原长,以B、C为研究对象,由动能定理 得 脱离弹簧瞬间后C速度为 ,之后C受到滑动摩擦力减速至0,由能量守恒得 解得脱离弹簧后,C运动的距离为则C最后停止的位移为 所以C向右运动的图象为 11.(2021·全国·高考真题)如图,一倾角为 的光滑斜面上有50个减速带(图中未完全画出),相邻减 速带间的距离均为d,减速带的宽度远小于d;一质量为m的无动力小车(可视为质点)从距第一个减速 带L处由静止释放。已知小车通过减速带损失的机械能与到达减速带时的速度有关。观察发现,小车通过 第30个减速带后,在相邻减速带间的平均速度均相同。小车通过第50个减速带后立刻进入与斜面光滑连 接的水平地面,继续滑行距离s后停下。已知小车与地面间的动摩擦因数为 ,重力加速度大小为g。 (1)求小车通过第30个减速带后,经过每一个减速带时损失的机械能; (2)求小车通过前30个减速带的过程中在每一个减速带上平均损失的机械能; (3)若小车在前30个减速带上平均每一个损失的机械能大于之后每一个减速带上损失的机械能,则L应 满足什么条件? 【答案】(1) ;(2) ;(3) 【详解】(1)由题意可知小车在光滑斜面上滑行时根据牛顿第二定律有 设小车通过第30个减速带后速度为v,到达第31个减速带时的速度为v,则有 1 2 因为小车通过第30个减速带后,在相邻减速带间的平均速度均相同,故后面过减速带后的速度与到达下一 个减速带均为v 和v;经过每一个减速带时损失的机械能为 1 2 联立以上各式解得(2)由(1)知小车通过第50个减速带后的速度为v,则在水平地面上根据动能定理有 1 从小车开始下滑到通过第30个减速带,根据动能定理有 联立解得 故在每一个减速带上平均损失的机械能为 (3)由题意可知 可得 12.(2023·全国·统考高考真题)如图,光滑水平桌面上有一轻质弹簧,其一端固定在墙上。用质量为m 的小球压弹簧的另一端,使弹簧的弹性势能为 。释放后,小球在弹簧作用下从静止开始在桌面上运动, 与弹簧分离后,从桌面水平飞出。小球与水平地面碰撞后瞬间,其平行于地面的速度分量与碰撞前瞬间相 等;垂直于地面的速度分量大小变为碰撞前瞬间的 。小球与地面碰撞后,弹起的最大高度为h。重力加 速度大小为g,忽略空气阻力。求 (1)小球离开桌面时的速度大小; (2)小球第一次落地点距桌面上其飞出点的水平距离。 【答案】(1) ;(2) 【详解】(1)由小球和弹簧组成的系统机械能守恒可知 得小球离开桌面时速度大小为(2)离开桌面后由平抛运动规律可得 第一次碰撞前速度的竖直分量为 ,由题可知 离开桌面后由平抛运动规律得 , 解得小球第一次落地点距桌面上其飞出的水平距离为 13.(2021·江苏·高考真题)如图所示的离心装置中,光滑水平轻杆固定在竖直转轴的O点,小圆环A和 轻质弹簧套在轻杆上,长为 的细线和弹簧两端分别固定于O和A,质量为m的小球B固定在细线的中 点,装置静止时,细线与竖直方向的夹角为 ,现将装置由静止缓慢加速转动,当细线与竖直方向的夹 角增大到 时,A、B间细线的拉力恰好减小到零,弹簧弹力与静止时大小相等、方向相反,重力加速度 为g,取 , ,求: (1)装置静止时,弹簧弹力的大小F; (2)环A的质量M; (3)上述过程中装置对A、B所做的总功W。 【答案】(1) ;(2) ;(3) 【详解】(1)设 、 的张力分别为 、 ,A受力平衡 B受力平衡 解得(2)设装置转动的角速度为 ,对A 对B 解得 (3)B上升的高度 ,A、B的动能分别为 ; 根据能量守恒定律可知 解得