当前位置:首页>文档>专题03圆锥曲线中的三角形(四边形)面积问题(典型题型归类训练)(解析版)_02高考数学_2025年新高考资料_专项复习_解题思路训练2025年高考数学复习解答题提优秘籍(新高考专用)

专题03圆锥曲线中的三角形(四边形)面积问题(典型题型归类训练)(解析版)_02高考数学_2025年新高考资料_专项复习_解题思路训练2025年高考数学复习解答题提优秘籍(新高考专用)

  • 2026-05-01 08:10:16 2026-04-07 15:43:30

文档预览

专题03圆锥曲线中的三角形(四边形)面积问题(典型题型归类训练)(解析版)_02高考数学_2025年新高考资料_专项复习_解题思路训练2025年高考数学复习解答题提优秘籍(新高考专用)
专题03圆锥曲线中的三角形(四边形)面积问题(典型题型归类训练)(解析版)_02高考数学_2025年新高考资料_专项复习_解题思路训练2025年高考数学复习解答题提优秘籍(新高考专用)
专题03圆锥曲线中的三角形(四边形)面积问题(典型题型归类训练)(解析版)_02高考数学_2025年新高考资料_专项复习_解题思路训练2025年高考数学复习解答题提优秘籍(新高考专用)
专题03圆锥曲线中的三角形(四边形)面积问题(典型题型归类训练)(解析版)_02高考数学_2025年新高考资料_专项复习_解题思路训练2025年高考数学复习解答题提优秘籍(新高考专用)
专题03圆锥曲线中的三角形(四边形)面积问题(典型题型归类训练)(解析版)_02高考数学_2025年新高考资料_专项复习_解题思路训练2025年高考数学复习解答题提优秘籍(新高考专用)
专题03圆锥曲线中的三角形(四边形)面积问题(典型题型归类训练)(解析版)_02高考数学_2025年新高考资料_专项复习_解题思路训练2025年高考数学复习解答题提优秘籍(新高考专用)
专题03圆锥曲线中的三角形(四边形)面积问题(典型题型归类训练)(解析版)_02高考数学_2025年新高考资料_专项复习_解题思路训练2025年高考数学复习解答题提优秘籍(新高考专用)
专题03圆锥曲线中的三角形(四边形)面积问题(典型题型归类训练)(解析版)_02高考数学_2025年新高考资料_专项复习_解题思路训练2025年高考数学复习解答题提优秘籍(新高考专用)
专题03圆锥曲线中的三角形(四边形)面积问题(典型题型归类训练)(解析版)_02高考数学_2025年新高考资料_专项复习_解题思路训练2025年高考数学复习解答题提优秘籍(新高考专用)
专题03圆锥曲线中的三角形(四边形)面积问题(典型题型归类训练)(解析版)_02高考数学_2025年新高考资料_专项复习_解题思路训练2025年高考数学复习解答题提优秘籍(新高考专用)
专题03圆锥曲线中的三角形(四边形)面积问题(典型题型归类训练)(解析版)_02高考数学_2025年新高考资料_专项复习_解题思路训练2025年高考数学复习解答题提优秘籍(新高考专用)
专题03圆锥曲线中的三角形(四边形)面积问题(典型题型归类训练)(解析版)_02高考数学_2025年新高考资料_专项复习_解题思路训练2025年高考数学复习解答题提优秘籍(新高考专用)
专题03圆锥曲线中的三角形(四边形)面积问题(典型题型归类训练)(解析版)_02高考数学_2025年新高考资料_专项复习_解题思路训练2025年高考数学复习解答题提优秘籍(新高考专用)
专题03圆锥曲线中的三角形(四边形)面积问题(典型题型归类训练)(解析版)_02高考数学_2025年新高考资料_专项复习_解题思路训练2025年高考数学复习解答题提优秘籍(新高考专用)
专题03圆锥曲线中的三角形(四边形)面积问题(典型题型归类训练)(解析版)_02高考数学_2025年新高考资料_专项复习_解题思路训练2025年高考数学复习解答题提优秘籍(新高考专用)
专题03圆锥曲线中的三角形(四边形)面积问题(典型题型归类训练)(解析版)_02高考数学_2025年新高考资料_专项复习_解题思路训练2025年高考数学复习解答题提优秘籍(新高考专用)
专题03圆锥曲线中的三角形(四边形)面积问题(典型题型归类训练)(解析版)_02高考数学_2025年新高考资料_专项复习_解题思路训练2025年高考数学复习解答题提优秘籍(新高考专用)
专题03圆锥曲线中的三角形(四边形)面积问题(典型题型归类训练)(解析版)_02高考数学_2025年新高考资料_专项复习_解题思路训练2025年高考数学复习解答题提优秘籍(新高考专用)
专题03圆锥曲线中的三角形(四边形)面积问题(典型题型归类训练)(解析版)_02高考数学_2025年新高考资料_专项复习_解题思路训练2025年高考数学复习解答题提优秘籍(新高考专用)
专题03圆锥曲线中的三角形(四边形)面积问题(典型题型归类训练)(解析版)_02高考数学_2025年新高考资料_专项复习_解题思路训练2025年高考数学复习解答题提优秘籍(新高考专用)
专题03圆锥曲线中的三角形(四边形)面积问题(典型题型归类训练)(解析版)_02高考数学_2025年新高考资料_专项复习_解题思路训练2025年高考数学复习解答题提优秘籍(新高考专用)
专题03圆锥曲线中的三角形(四边形)面积问题(典型题型归类训练)(解析版)_02高考数学_2025年新高考资料_专项复习_解题思路训练2025年高考数学复习解答题提优秘籍(新高考专用)
专题03圆锥曲线中的三角形(四边形)面积问题(典型题型归类训练)(解析版)_02高考数学_2025年新高考资料_专项复习_解题思路训练2025年高考数学复习解答题提优秘籍(新高考专用)
专题03圆锥曲线中的三角形(四边形)面积问题(典型题型归类训练)(解析版)_02高考数学_2025年新高考资料_专项复习_解题思路训练2025年高考数学复习解答题提优秘籍(新高考专用)
专题03圆锥曲线中的三角形(四边形)面积问题(典型题型归类训练)(解析版)_02高考数学_2025年新高考资料_专项复习_解题思路训练2025年高考数学复习解答题提优秘籍(新高考专用)
专题03圆锥曲线中的三角形(四边形)面积问题(典型题型归类训练)(解析版)_02高考数学_2025年新高考资料_专项复习_解题思路训练2025年高考数学复习解答题提优秘籍(新高考专用)
专题03圆锥曲线中的三角形(四边形)面积问题(典型题型归类训练)(解析版)_02高考数学_2025年新高考资料_专项复习_解题思路训练2025年高考数学复习解答题提优秘籍(新高考专用)
专题03圆锥曲线中的三角形(四边形)面积问题(典型题型归类训练)(解析版)_02高考数学_2025年新高考资料_专项复习_解题思路训练2025年高考数学复习解答题提优秘籍(新高考专用)
专题03圆锥曲线中的三角形(四边形)面积问题(典型题型归类训练)(解析版)_02高考数学_2025年新高考资料_专项复习_解题思路训练2025年高考数学复习解答题提优秘籍(新高考专用)
专题03圆锥曲线中的三角形(四边形)面积问题(典型题型归类训练)(解析版)_02高考数学_2025年新高考资料_专项复习_解题思路训练2025年高考数学复习解答题提优秘籍(新高考专用)
专题03圆锥曲线中的三角形(四边形)面积问题(典型题型归类训练)(解析版)_02高考数学_2025年新高考资料_专项复习_解题思路训练2025年高考数学复习解答题提优秘籍(新高考专用)
专题03圆锥曲线中的三角形(四边形)面积问题(典型题型归类训练)(解析版)_02高考数学_2025年新高考资料_专项复习_解题思路训练2025年高考数学复习解答题提优秘籍(新高考专用)
专题03圆锥曲线中的三角形(四边形)面积问题(典型题型归类训练)(解析版)_02高考数学_2025年新高考资料_专项复习_解题思路训练2025年高考数学复习解答题提优秘籍(新高考专用)
专题03圆锥曲线中的三角形(四边形)面积问题(典型题型归类训练)(解析版)_02高考数学_2025年新高考资料_专项复习_解题思路训练2025年高考数学复习解答题提优秘籍(新高考专用)
专题03圆锥曲线中的三角形(四边形)面积问题(典型题型归类训练)(解析版)_02高考数学_2025年新高考资料_专项复习_解题思路训练2025年高考数学复习解答题提优秘籍(新高考专用)
专题03圆锥曲线中的三角形(四边形)面积问题(典型题型归类训练)(解析版)_02高考数学_2025年新高考资料_专项复习_解题思路训练2025年高考数学复习解答题提优秘籍(新高考专用)
专题03圆锥曲线中的三角形(四边形)面积问题(典型题型归类训练)(解析版)_02高考数学_2025年新高考资料_专项复习_解题思路训练2025年高考数学复习解答题提优秘籍(新高考专用)
专题03圆锥曲线中的三角形(四边形)面积问题(典型题型归类训练)(解析版)_02高考数学_2025年新高考资料_专项复习_解题思路训练2025年高考数学复习解答题提优秘籍(新高考专用)
专题03圆锥曲线中的三角形(四边形)面积问题(典型题型归类训练)(解析版)_02高考数学_2025年新高考资料_专项复习_解题思路训练2025年高考数学复习解答题提优秘籍(新高考专用)
专题03圆锥曲线中的三角形(四边形)面积问题(典型题型归类训练)(解析版)_02高考数学_2025年新高考资料_专项复习_解题思路训练2025年高考数学复习解答题提优秘籍(新高考专用)
专题03圆锥曲线中的三角形(四边形)面积问题(典型题型归类训练)(解析版)_02高考数学_2025年新高考资料_专项复习_解题思路训练2025年高考数学复习解答题提优秘籍(新高考专用)
专题03圆锥曲线中的三角形(四边形)面积问题(典型题型归类训练)(解析版)_02高考数学_2025年新高考资料_专项复习_解题思路训练2025年高考数学复习解答题提优秘籍(新高考专用)
专题03圆锥曲线中的三角形(四边形)面积问题(典型题型归类训练)(解析版)_02高考数学_2025年新高考资料_专项复习_解题思路训练2025年高考数学复习解答题提优秘籍(新高考专用)
专题03圆锥曲线中的三角形(四边形)面积问题(典型题型归类训练)(解析版)_02高考数学_2025年新高考资料_专项复习_解题思路训练2025年高考数学复习解答题提优秘籍(新高考专用)
专题03圆锥曲线中的三角形(四边形)面积问题(典型题型归类训练)(解析版)_02高考数学_2025年新高考资料_专项复习_解题思路训练2025年高考数学复习解答题提优秘籍(新高考专用)
专题03圆锥曲线中的三角形(四边形)面积问题(典型题型归类训练)(解析版)_02高考数学_2025年新高考资料_专项复习_解题思路训练2025年高考数学复习解答题提优秘籍(新高考专用)
专题03圆锥曲线中的三角形(四边形)面积问题(典型题型归类训练)(解析版)_02高考数学_2025年新高考资料_专项复习_解题思路训练2025年高考数学复习解答题提优秘籍(新高考专用)
专题03圆锥曲线中的三角形(四边形)面积问题(典型题型归类训练)(解析版)_02高考数学_2025年新高考资料_专项复习_解题思路训练2025年高考数学复习解答题提优秘籍(新高考专用)
专题03圆锥曲线中的三角形(四边形)面积问题(典型题型归类训练)(解析版)_02高考数学_2025年新高考资料_专项复习_解题思路训练2025年高考数学复习解答题提优秘籍(新高考专用)
专题03圆锥曲线中的三角形(四边形)面积问题(典型题型归类训练)(解析版)_02高考数学_2025年新高考资料_专项复习_解题思路训练2025年高考数学复习解答题提优秘籍(新高考专用)
专题03圆锥曲线中的三角形(四边形)面积问题(典型题型归类训练)(解析版)_02高考数学_2025年新高考资料_专项复习_解题思路训练2025年高考数学复习解答题提优秘籍(新高考专用)
专题03圆锥曲线中的三角形(四边形)面积问题(典型题型归类训练)(解析版)_02高考数学_2025年新高考资料_专项复习_解题思路训练2025年高考数学复习解答题提优秘籍(新高考专用)
专题03圆锥曲线中的三角形(四边形)面积问题(典型题型归类训练)(解析版)_02高考数学_2025年新高考资料_专项复习_解题思路训练2025年高考数学复习解答题提优秘籍(新高考专用)
专题03圆锥曲线中的三角形(四边形)面积问题(典型题型归类训练)(解析版)_02高考数学_2025年新高考资料_专项复习_解题思路训练2025年高考数学复习解答题提优秘籍(新高考专用)
专题03圆锥曲线中的三角形(四边形)面积问题(典型题型归类训练)(解析版)_02高考数学_2025年新高考资料_专项复习_解题思路训练2025年高考数学复习解答题提优秘籍(新高考专用)
专题03圆锥曲线中的三角形(四边形)面积问题(典型题型归类训练)(解析版)_02高考数学_2025年新高考资料_专项复习_解题思路训练2025年高考数学复习解答题提优秘籍(新高考专用)
专题03圆锥曲线中的三角形(四边形)面积问题(典型题型归类训练)(解析版)_02高考数学_2025年新高考资料_专项复习_解题思路训练2025年高考数学复习解答题提优秘籍(新高考专用)
专题03圆锥曲线中的三角形(四边形)面积问题(典型题型归类训练)(解析版)_02高考数学_2025年新高考资料_专项复习_解题思路训练2025年高考数学复习解答题提优秘籍(新高考专用)
专题03圆锥曲线中的三角形(四边形)面积问题(典型题型归类训练)(解析版)_02高考数学_2025年新高考资料_专项复习_解题思路训练2025年高考数学复习解答题提优秘籍(新高考专用)
专题03圆锥曲线中的三角形(四边形)面积问题(典型题型归类训练)(解析版)_02高考数学_2025年新高考资料_专项复习_解题思路训练2025年高考数学复习解答题提优秘籍(新高考专用)
专题03圆锥曲线中的三角形(四边形)面积问题(典型题型归类训练)(解析版)_02高考数学_2025年新高考资料_专项复习_解题思路训练2025年高考数学复习解答题提优秘籍(新高考专用)
专题03圆锥曲线中的三角形(四边形)面积问题(典型题型归类训练)(解析版)_02高考数学_2025年新高考资料_专项复习_解题思路训练2025年高考数学复习解答题提优秘籍(新高考专用)
专题03圆锥曲线中的三角形(四边形)面积问题(典型题型归类训练)(解析版)_02高考数学_2025年新高考资料_专项复习_解题思路训练2025年高考数学复习解答题提优秘籍(新高考专用)
专题03圆锥曲线中的三角形(四边形)面积问题(典型题型归类训练)(解析版)_02高考数学_2025年新高考资料_专项复习_解题思路训练2025年高考数学复习解答题提优秘籍(新高考专用)
专题03圆锥曲线中的三角形(四边形)面积问题(典型题型归类训练)(解析版)_02高考数学_2025年新高考资料_专项复习_解题思路训练2025年高考数学复习解答题提优秘籍(新高考专用)
专题03圆锥曲线中的三角形(四边形)面积问题(典型题型归类训练)(解析版)_02高考数学_2025年新高考资料_专项复习_解题思路训练2025年高考数学复习解答题提优秘籍(新高考专用)
专题03圆锥曲线中的三角形(四边形)面积问题(典型题型归类训练)(解析版)_02高考数学_2025年新高考资料_专项复习_解题思路训练2025年高考数学复习解答题提优秘籍(新高考专用)
专题03圆锥曲线中的三角形(四边形)面积问题(典型题型归类训练)(解析版)_02高考数学_2025年新高考资料_专项复习_解题思路训练2025年高考数学复习解答题提优秘籍(新高考专用)
专题03圆锥曲线中的三角形(四边形)面积问题(典型题型归类训练)(解析版)_02高考数学_2025年新高考资料_专项复习_解题思路训练2025年高考数学复习解答题提优秘籍(新高考专用)
专题03圆锥曲线中的三角形(四边形)面积问题(典型题型归类训练)(解析版)_02高考数学_2025年新高考资料_专项复习_解题思路训练2025年高考数学复习解答题提优秘籍(新高考专用)

文档信息

文档格式
docx
文档大小
4.148 MB
文档页数
66 页
上传时间
2026-04-07 15:43:30

文档内容

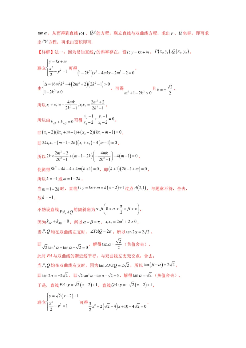
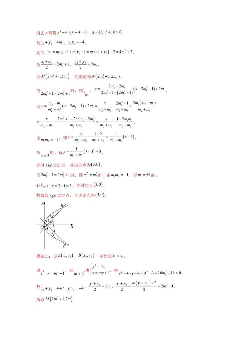
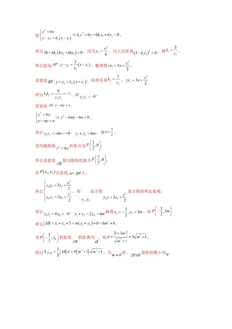
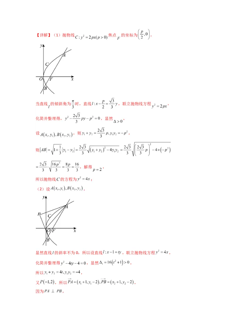
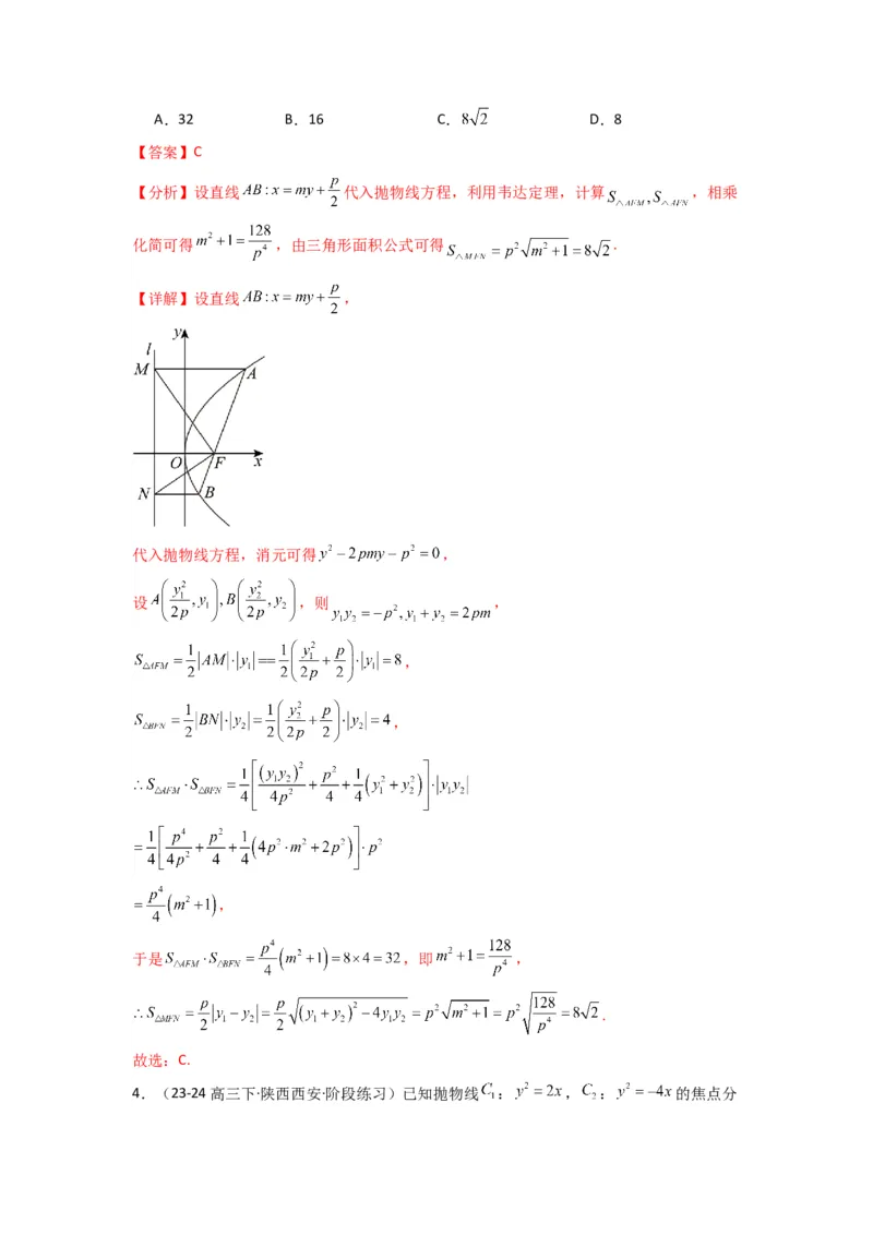
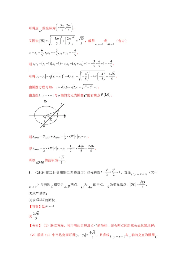
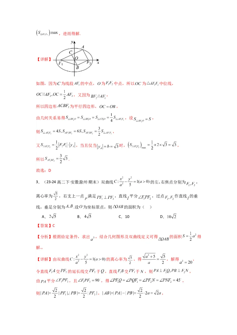
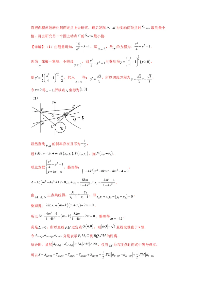
专题 03 圆锥曲线中的三角形(四边形)面积问题 (含定值、最值、范围问题) (典型题型归类训练) 目录 一、必备秘籍.......................................................................................1 二、典型题型.......................................................................................3 题型一:三角形面积(定值问题)...............................................3 题型二:四边形面积(定值问题).............................................11 题型三:三角形面积(最值,范围问题)..................................19 题型四:四边形面积(最值,范围问题)..................................29 三、专项训练.....................................................................................37 一、必备秘籍 1、弦长公式 (最常用公式,使用频率最高)√ 1 = 1+ √ (y +y ) 2 −4 y y k2 1 2 1 2 2、三角形面积问题 直线 方程: 3、焦点三角形的面积 直线 过焦点 的面积为 y A F 1 O F 2 x By C 注意: 为联立消去 后关于 的一元二次方程的二次项系数 A H 4、平行四边形的面积 O x 直线 为 ,直线 为 D B 注意: 为直线与椭圆联立后消去 后的一元二次方程的系数. 5、范围问题 首选均值不等式,其实用二次函数,最后选导数均值不等式 变式: 作用:当两个正数的积为定值时求出这两个正数的和的最小值; 当两个正数的和为定值时求出这两个正数的积的最大值 注意:应用均值不等式求解最值时,应注意“一正二定三相等” 圆锥曲线经常用到的均值不等式形式列举: (1) (注意分 三种情况讨论) (2) 当且仅当 时,等号成立 (3) 当且仅当 时等号成立.(4) 当且仅当 时,等号成立 (5) 当且仅当 时等号成立. 二、典型题型 题型一:三角形面积(定值问题) 1.(24-25高二上·上海·随堂练习)已知椭圆C: 的左、右焦点分别 为 、 ,上顶点为A, ,长轴的长为4.过右焦点 的直线l与椭圆交于 M、N两点(非长轴端点). (1)求椭圆的方程; (2)若直线l过椭圆的上顶点A,求 的面积. 【答案】(1) (2) . 【分析】(1)运用待定系数法求出 , , ,即可得出方程. (2)将直线方程求出来,直线曲线联立求出 ,运用点到直线距离公式求出 到直线l 的距离,即可求出面积【详解】(1)因为 ,长轴的长为4, 所以 , , ,所以椭圆的方程为 . (2)因为 , ,若直线l过椭圆的上顶点A和右焦点 . 所以l: ,则点 到直线l的距离为 , 由 得 , 所以 , ,则 , 所以 . 2.(2024高三下·全国·专题练习)已知椭圆 ,直线 (其中 )与椭圆 相交于 两点, 为 的中点, 为坐标原点, .求 的面 积. 【答案】 【分析】联立椭圆与直线方程,利用韦达定理得 , ,由 即可求出面 积. 【详解】设 两点的坐标分别为 , 联立方程 ,消去 得 . 由 ,且 ,可得 , 则 ,可得点 的坐标为 , 又因为 ,解得 或 (舍去) , 则 , 可得 , 由椭圆方程可知: , 由直线 与 轴的交点为椭圆 的右焦点 , 则 , 即 , 所以 的面积为 . 3.(23-24高二上·贵州铜仁·阶段练习)已知椭圆 ,直线 (其中 )与椭圆 相交于 两点, 为 的中点, 为坐标原点, . (1)求 的值; (2)求 的面积. 【答案】(1) (2) 【分析】(1)联立方程,利用韦达定理求点 的坐标,结合两点间距离公式运算求解; (2)根据(1)中韦达定理可得 ,且直线 与 轴的交点为椭圆的右焦点 ,进而可求面积. 【详解】(1)设 两点的坐标分别为 , 联立方程 ,消去 得 . 由 ,且 ,可得 , 则 , 可得点 的坐标为 , 又因为 ,解得 或 (舍去), 所以 的值为 . (2)由(1)可知: , 则 , 可得 , 由椭圆方程可知: , 由直线 与 轴的交点为椭圆 的右焦点 , 则 , 所以 的面积为 . 【点睛】方法点睛:有关圆锥曲线弦长、面积问题的求解方法 (1)涉及弦长的问题中,应熟练地利用根与系数的关系、设而不求计算弦长;涉及垂直关 系时也往往利用根与系数的关系、设而不求法简化运算;涉及过焦点的弦的问题,可考虑 用圆锥曲线的定义求解.(2)面积问题常采用 底 高,其中底往往是弦长,而高用点到直线距离求解即可, 选择底很重要,选择容易坐标化的弦长为底.有时根据所研究三角形的位置,灵活选择其 面积表达形式,若求多边形的面积问题,常转化为三角形的面积后进行求解. (3)在求解有关直线与圆锥曲线的问题时,应注意数形结合、分类与整合、转化与化归及 函数与方程思想的应用. 4.(24-25高二上·上海·课堂例题)已知双曲线C: 的上、下焦点分别为 、 ,P为双曲线C上一点,且满足 ,求 的面积. 【答案】 【分析】记 , , ,根据双曲线的定义,结合余弦定理可得 ,再利用三角形面积公式可推得 ,即可求得结论. 【详解】解:记 , , , . ∵ , ∴ . 在 中,由余弦定理得 , 配方得: , 即 , ∴ , 由三角形的面积公式得 , ∴ , 而 , , ∴ , 故答案为: .5.(23-24高二下·河南南阳·期末)已知双曲线 的实轴比虚轴长 2,且焦点到渐近线的距离为2. (1)求双曲线 的方程; (2)若动直线 与双曲线 恰有1个公共点,且与双曲线 的两条渐近线分别交于点 , 两 点, 为坐标原点,证明: 的面积为定值. 【答案】(1) (2)证明见解析 【分析】(1)由点到直线的距离公式及实轴与虚轴定义计算即可得; (2)讨论直线 的斜率是否存在,且当直线的斜率存在时,设出直线方程,与双曲线方程 联立,根据 ,找到参数之间的关系,再利用弦长公式求得 ,利用点到直线的距离 公式求出三角形的高,求得面积,即可证明. 【详解】(1)设双曲线 焦点为 ,一条渐近线方程为 , 所以该焦点到渐近线的距离为 , 又双曲线实轴比虚轴长2,故 ,即 , 故双曲线 的方程为 ; (2)当直线 的斜率不存在时,若动直线 与双曲线 恰有1个公共点, 则直线 经过双曲线的顶点,不妨设 ,又渐近线方程为 , 将 代入 ,得 ,将 代入 ,得 , 则 , ; 当直线 的斜率存在,设直线 ,且 ,联立 ,消去 并整理得 , 因为动直线 与双曲线 恰有1个公共点, 所以 ,得 , 设动直线 与 的交点为 ,与 的交点为 , 联立 ,得 ,同理得 , 则 , 因为原点 到直线 的距离 , 所以 , 又因为 ,所以 ,即 , 故 的面积为定值,且定值为 . 【点睛】关键点点睛:利用 ,找到参数之间的关系,再利用弦长公式求得 ,利 用点到直线的距离公式求出三角形的高,进而求出面积是解题关键. 6.(23-24高二下·安徽六安·期末)过抛物线 焦点 的直线 交 于 两点,特别地,当直线 的倾斜角为 时, . (1)求抛物线 的方程; (2)已知点 ,若 ,求 的面积( 为坐标原点). 【答案】(1) (2) 【分析】(1)由题意设直线 ,联立抛物线方程,结合弦长公式即可列方程 求得参数 ,进而得解; (2)由题意设直线 ,联立抛物线方程,结合韦达定理、数量积的坐标公式列方 程即可求得参数 ,进一步即可求解 的面积.【详解】(1)抛物线 焦点 的坐标为 , 当直线 的倾斜角为 时,直线 ,联立抛物线方程 , 化简并整理得, ,显然 , 设 ,则 , 则 ,解得 , 所以抛物线 的方程为 ; (2)设 , 显然直线 的斜率不为0,所以设直线 ,联立抛物线方程 , 化简并整理得 ,显然 , 所以 , 又 ,所以 , 因为 ,所以 , 所以 ,则 , 设 的面积为 , 则 , 所以 的面积为 . 题型二:四边形面积(定值问题) 1.(2024·天津武清·模拟预测)已知 为坐标原点,双曲线 的右焦点 为 ,以 为直径的圆与 的两条渐近线分别交于与原点不重合的两点 , ,若 ,则四边形 的面积为( ) A.6 B. C. D.4 【答案】B 【分析】结合双曲线图像对称性,可得 轴,根据圆的性质和双曲线 , , 的关 系可计算出 , , , 的长度,进而求出四边形 的面积. 【详解】设 与 轴交于点 ,由双曲线的对称性可知 轴, , , 又因为 ,所以 ,即 , 所以 ,因为点 在以 为直径的圆上,所以 , 所在的渐近线方 程为 , 点 到渐近线 距离为 ,所以 , 所以 , ,则 , 所以 , 故选:B 2.(23-24高二上·内蒙古包头·期末) 、 是双曲线 上关于原点 对称的两 点, 、 是左、右焦点.若 ,则四边形 的面积是( ) A. B.3 C.4 D.6 【答案】D 【分析】判断四边形 为矩形,设 , ,可得 ,结合双曲线定义可得 ,化简得 ,即可求得四边形 的面积. 【详解】解:由 可知 , ,所以 , 因为 , 是 上关于原点对称的两点,且 ,所以四边形 为矩形, 设 , ,由双曲线的定义可得 , 所以 , 又因为 ,所以 ,所以 , 所以四边形 的面积 . 故选:D. 3.(2024·湖北武汉·二模)已知抛物线 的焦点为 ,过 作直线交抛物 线 于 两点,过 分别作准线 的垂线,垂足分别为 ,若 和 的面 积分别为8和4,则 的面积为( )A.32 B.16 C. D.8 【答案】C 【分析】设直线 代入抛物线方程,利用韦达定理,计算 ,相乘 化简可得 ,由三角形面积公式可得 . 【详解】设直线 , 代入抛物线方程,消元可得 , 设 ,则 , , , , 于是 ,即 , . 故选:C. 4.(23-24高三下·陕西西安·阶段练习)已知抛物线 : , : 的焦点分别为 , ,一条平行于x轴的直线与 , 分别交于点A,B,若 ,则四边 形 的面积为 . 【答案】 【分析】根据 ,结合焦半径公式,求得 ,进而求得 ,再结合平行四 边形面积公式即可求得结果. 【详解】设 , ,根据题意可知 ,故 ,即 , 又由抛物线的定义可知 , , 当 时, ,故 , , , 所以 ,四边形 是平行四边形, 故四边形 的面积为 . 故答案为: . 5.(2024·河北·模拟预测)已知 ,平面内动点 满足直线 的 斜率之积为 . (1)求动点 的轨迹方程; (2)过点 的直线交 的轨迹 于 两点,以 为邻边作平行四边形 ( 为坐标原点),若 恰为轨迹 上一点,求四边形 的面积. 【答案】(1) (2)【分析】(1)根据题意得 ,化简可得轨迹方程. (2)先设直线再联立直线与轨迹方程,得关于x的一元二次方程,结合韦达定理及点到直 线距离公式计算面积即可. 【详解】(1)设 ,则 ,化简可得 (2)以 为邻边作平行四边形 ,则直线 与x轴不重合,设直线 的方程为 ,直线的方程与椭圆方程联立, 设 , , 联立 ,消去x得 , 所以 , 则 . 求得O到直线 的距离 , 因为平行四边形 的对角线互相平分 所以 所以 在椭圆 上,可得 所以平行四边形 面积 所以四边形 面积是 .【点睛】方法点睛:利用平行四边形对角线互相平分,对角线共中点求参进而求出面积. 6.(2024·全国·模拟预测)已知椭圆 的离心率为 ,且点 在椭圆 上. (1)求椭圆 的方程; (2)已知 为椭圆上三个点, 为坐标原点,若四边形 为矩形,求四边形 的面积. 【答案】(1) (2) 【分析】(1)利用椭圆离心率和椭圆上的点,列方程组求出 ,可得椭圆 的方程; (2)由四边形 为矩形,设出直线 方程为 ,直线 方程为 ,与 椭圆方程联立解得 两点坐标,表示出 点坐标,代入椭圆方程求出 ,得 两点坐 标的数据,可求四边形 的面积. 【详解】(1)由题知 解得 所以椭圆 的方程为 . (2)由椭圆的图形可知,当直线 的斜率为0或不存在时,矩形 不存在,不符合 题意. 设直线 的斜率为 ,则直线 的斜率为 . 由椭圆的对称性,只需考虑 的情况.不妨设点 在第一象限,则点 在第四象限. 由 消去 整理得 ,解得 ,所以 . 由 消去 整理得 ,解得 ,所以 . 因为四边形 是矩形,线段 的中点坐标为 , 所以线段 的中点坐标为 ,所以 . 又因为点 在椭圆 上,所以 , 即 . 又 ,所以 . 将 的值代入,得 , 即 ,整理得 ,解得 ,又 ,所以 , 此时 , , , , , 所以四边形 的面积 . 【点睛】方法点睛: 解答直线与椭圆的题目时,时常把两个曲线的方程联立,消去x(或y)建立一元二次方程, 解出方程或借助根与系数的关系,结合题设条件建立有关参变量的等量关系.涉及到直线 方程的设法时,务必考虑全面,不要忽略直线斜率为0或不存在等特殊情形.要强化有关 直线与椭圆联立得出一元二次方程后的运算能力,重视根与系数之间的关系、弦长、斜率、三角形的面积等问题. 7.(23-24高二上·云南昆明·期末)已知离心率为 的双曲线 经 过点 . (1)求 的方程; (2)如图,点 为双曲线上的任意一点, 为原点,过点 作双曲线两渐近线的平行线,分 别与两渐近线交于 、 两点,求证:平行四边形 的面积为定值. 【答案】(1) (2)证明见解析 【分析】(1)求出 的值,结合双曲线的离心率可求得 的值,进而可求得 的值,由此 可得出双曲线 的方程; (2)设点 ,则 ,求出 以及点 到直线 的距离,利用平行四边 形的面积公式可证得结论成立. 【详解】(1)解:因为 ,则 , 因为双曲线 经过点 ,则 ,则 , 所以, , 故双曲线 的方程为 . (2)证明:设点 ,则 , 由图可知,直线 的方程为 ,直线 的方程为 ,因为 ,则直线 的方程为 , 联立 可得 , 所以, , 点 到直线 的距离为 , 所以,平行四边形 的面积为 为定值. 【点睛】方法点睛:求定值问题常见的方法有两种: (1)从特殊入手,求出定值,再证明这个值与变量无关; (2)直接推理、计算,并在计算推理的过程中消去变量,从而得到定值. 题型三:三角形面积(最值,范围问题) 1.(2024高三·全国·专题练习)已知A,B是椭圆C: 的左、右顶点,直线l交 椭圆C于M,N两点,记AM的斜率为 ,BN的斜率为 ,且 . (1)求证:直线l过定点; (2)记 的面积为 , 的面积为 ,求 的最大值. 【答案】(1)证明见解析; (2) . 【分析】(1)求出直线 交点 的横坐标,进而求出 交点 的极线,求出点 坐标即可得证. (2)设出直线 的方程,现椭圆方程联立,求出 的函数关系,进而求出最大值. 【详解】(1)设AM与BN交于点P,AB与MN交于点G,则点G对应的极线过点P, 由题意知直线AM的方程为 ,直线BN的方程为 . 由 ,解得 ,点G对应的极线为 . 设 ,则对应的极线方程为 ,即 , 所以 ,直线l过定点 . (2)设直线l: ,代入椭圆C: ,得 , 即 , 设 , 则 . 令 ,则 , 故 时, 取得最大值为 . 2.(23-24高二下·云南曲靖·期末)已知椭圆 的左、右焦点分别为 ,短轴长为 ,点 在 上. (1)求椭圆 的标准方程; (2)已知点 ,点 为椭圆 上一点,求 周长的最大值; (3)过 的左焦点 ,且斜率不为零的直线 交 于 两点,求 面积的最大值. 【答案】(1) ;(2) ; (3)3. 【分析】(1)根据给定条件,求出 即得椭圆 的标准方程. (2)由椭圆的定义可求出 的最大值,从而可得周长最大值. (3)设直线 的方程为 ,与椭圆方程联立,借助根与系数的关系列出三角形面积 的关系式,利用对勾函数性质求出最大值. 【详解】(1)依题意, ,且 ,解得 , 所以椭圆 的标准方程为 . (2)由(1)知, ,而 ,则 , 周长 , 当且仅当点 是线段 的延长线与椭圆 的交点时取等号, 所以 周长的最大值为 . (3)设直线 的方程为 , , 由 消去 得: ,显然 , , , 因此 面积 , 令 , ,显然函数 在 上单调递增,则当 ,即 时, 取得最小值 , 所以当 时, 面积取得最大值3. 【点睛】结论点睛:过定点 的直线l:y=kx+b交圆锥曲线于点 , , 则 面积 ; 过定点 直线l:x=ty+a交圆锥曲线于点 , ,则 面积 . 3.(23-24高二上·辽宁沈阳·期末)双曲线 : ,已知 为坐标原 点, 为双曲线 上一动点,过 作 、 分别垂直于两条渐近线,垂足为 、 , 设 , , (1)求证: (2)若双曲线实轴长为4,虚轴长为2,过 分别作 、 平行于渐近线且与渐近线交于 、 两点,设 的面积为 , 的面积为 ,求 的范围. 【答案】(1)证明见解析 (2) 【分析】(1)设出 点坐标,根据点到直线的距离公式表示出 ,由此可求 并完 成证明; (2)设 ,在直角三角形中利用角度关系表示出 ,然后根据 表示出 ,结合(1)的结论和基本不等式求解出取值范围. 【详解】(1)设 ,渐近线方程为 ,且 , 则 , ∴ . (2)由题意可知,双曲线方程为 , 设 ,则 ,∴ , 由题可知: , , ∴ , , ∴ , 由(1)知 , ∴ ,当且仅当 时等号成立, 综上所述, . 4.(23-24高二下·重庆沙坪坝·阶段练习)已知双曲线 的离心率为e,点A的 坐标是 ,O为坐标原点. (1)若双曲线E的离心率 ,求实数m的取值范围; (2)当 时,设过点A的直线与双曲线的左支交于P,Q两个不同的点,线段 的中点 为M点,求 的面积 的取值范围. 【答案】(1) (2) 【分析】(1)由离心率公式得出 ,进而解得实数m的取值范围; (2)先得出双曲线E的方程,再联立直线和双曲线方程,利用韦达定理得出 ,再由 的范围得出 的取值范围.【详解】(1) , , ,解得 (2)由(1)可知, ,双曲线E的方程为 设 ,过点A的直线方程为 由 可得 , 由 ,解得 故 5.(23-24高二下·福建泉州·期末)已知抛物线 经过点 ,直线 与 的交点为 ,且直线 与 倾斜角互补. (1)求 的值; (2)若 ,求 面积的最大值. 【答案】(1) (2) 【分析】(1)由点 在抛物线上,得 ,联立直线 与抛物线 方程得 ,再通过 计算即可; (2)先求弦长 ,再求 到直线 的距离,可表示出 ,再结合基本不等式可求面 积的最大值. 【详解】(1)由题意可知, ,所以 ,所以抛物线 的方程为 ; 如图:设 , 将直线 的方程代入 ,得 , 所以 , 因为直线 与 倾斜角互补, 所以 , 即 , 所以 , 即 , 所以 . (2)由(1)可知 , 所以 , 则 , 因为 , 所以 ,即 , 又点 到直线 的距离为 , 所以 , 因为 , 所以 ,当且仅当 ,即 时,等号成立, 所以 面积最大值为 .6.(23-24高三下·上海·阶段练习)已知抛物线C: 的焦点为F,过F的直线 交C 于A,B两点,过F与 垂直的直线交C于D,E两点,其中B,D在x轴上方,M,N分别 为 , 的中点. (1)若 ,求点M的横坐标; (2)证明:直线 过定点; (3)设G为直线 与直线 的交点,求 面积的最小值. 【答案】(1)2 (2)证明见解析 (3)8 【分析】(1)由抛物线焦半径公式可得; (2)思路一设出两直线 、 方程,直曲联立,用韦达定理表示 坐标,点斜式写 出直线方程,再由两直线垂直得到 ,找到定点;思路二设出 两点坐标,直曲 联立,用韦达定理得到 坐标,再得到直线方程,找到定点; (3)法一表示出 ,用基本不等式得到 ,用直线过 定点得到 ,最后得到面积的最小值;法二由图形的几何关系得到 ,再由(2)中的法2可得 ,最后由基本不等式得到面积的最小 值. 【详解】(1)由题意知 (2)思路一:由 : ,故 ,由直线 与直线 垂直, 故两只直线斜率都存在且不为0, 设直线 、 分别为 , ,有 , 、 、 、 , 联立 : 与直线 ,即有 ,消去x可得 , , 故 、 , 则 , 故 , , 即 ,同理可得 , 当 时,则 : , 即 , 由 ,即 , 故 时,有 , 此时 过定点,且该定点为 , 当 时,即 时,由 ,即 时, 有 : ,亦过定点 , 故直线 过定点,且该定点为 ; 思路二:设 , ,不妨设 . 设 : ,则 .由 ,得 , 故 , , , . 所以 .同理可得 . 若 ,则直线 : , 过点 . 若 ,则直线 : , 过点 . 综上,直线 过定点 . (3)思路一:由 、 、 、 , 则 : ,由 、 , 故 , 同理可得 : ,联立两直线,即 , 有 , 即 , 有 ,由 ,同理 , 故 , 故 , 过点 作 轴,交直线 于点 ,则 , 由 、 , 故 , 当且仅当 时,等号成立, 下证 ; 由抛物线的对称性,不妨设 ,则 ,当 时,有 ,则点G在x轴上方,点Q亦在x轴上方, 有 ,由直线 过定点 , 此时 , 同理,当 时,有点G在x轴下方,点Q亦在x轴下方, 有 ,故此时 , 当且仅当 时, , 故 恒成立,且 时,等号成立, 故 . 思路二:设 为 的中点, 为直线 与 的交点. 由 , 分别为 , 的中点知 ,所以 ,故 . 设 为直线 与 的交点,同理可得 . 所以 . 由(2)中的法2可得 ,同理可得 . 所以 , 当且仅当 时等号成立. 因此 的面积的最小值为8.题型四:四边形面积(最值,范围问题) 1.(23-24高二下·浙江·阶段练习)已知双曲线 ,过该曲线上的点 作不 平行于坐标轴的直线 交双曲线的右支于另一点 ,作直线 交双曲线的渐近线于两点 A,B(A在第一象限),其渐近线方程为 ,且 , (1)求双曲线方程. (2)证明:直线 过定点. (3)当 的斜率为负数时,求四边形 的面积的取值范围. 【答案】(1) (2)证明见解析 (3) 【分析】(1)根据渐近线方程可得 ,结合双曲线所过的点可求 ,故可得双 曲线方程. (2)联立直线 方程和双曲线方程,结合判别式可得 的斜率的范围,再由渐近线方程 可得 的坐标,由平行四边形可求出 的方程,故可得定点. (3)利用(2)的结果结合弦长公式可用 的斜率表示面积,结合斜率的范围可求面积的 范围. 【详解】(1)因为渐近线 ,则 ,代入点 可得 , 故 ,即双曲线方程为: . (2)设 , 由 可得 , 故 且 , 故 或 且 , 又 ,故 , 由 解得 ,则 , 同理可得 , 故 , 而 ,可得 , 故 ,故 , 故 , , 设直线 的斜率为 ,则 , 直线 的方程为 ,即 , 所以过定点 . (3)由(2)可得直线 与 的距离为 ,故 ,由题意可得四边形 是平行四边形, 而 , 故四边形 的面积为 , ,结合(2)中 的取值范围可得 .故 , 故 . 【点睛】方法点睛:圆锥曲线中的范围问题,往往需要联立不同类型的方程,用合适的变 量变式目标函数,而后者的最值往往可以通过函数的单调性或基本不等式来处理. 2.(23-24高二上·山西大同·期末)已知椭圆 经过点 ,一个 焦点在直线 上. (1)求椭圆 的方程; (2)设经过原点 的两条互相垂直的直线分别与椭圆 相交于 , 两点和 , 两点.求 四边形 的面积的最小值. 【答案】(1) (2) 【分析】(1)由题设易得 ,结合椭圆定义及两点距离公式求得 ,进而可得椭 圆方程; (2)讨论直线斜率,设直线方程并联立椭圆求相交弦长,进而得到四边形 的面积关 于直线斜率的表达式,即可得求最小值. 【详解】(1)由题意,椭圆 的左、右焦点分别为 , ,即 , 所以 , 即 , ,所以椭圆 的方程为 . (2)①当直线 的斜率不存在或为0时, , , , 分别为椭圆的四个顶点,所以 . ②当直线 的斜率存在且不为0时,设 ,则 ,设 , , , , 联立 ,解得 ,即 , 所以 ,同理 , 所以 . 令 ,则 , , 所以 , , 当 时 ,又 , 所以四边形 的面积的最小值为 . 3.(2024·山东济南·二模)已知点 是双曲线 上一点, 在点 处的 切线与 轴交于点 . (1)求双曲线 的方程及点 的坐标; (2)过 且斜率非负的直线与 的左、右支分别交于 .过 做 垂直于 轴交 于 (当 位于左顶点时认为 与 重合). 为圆 上任意一点,求四边 形 的面积 的最小值. 【答案】(1) , (2) 【分析】(1)利用待定系数法求双曲线方程,利用导数法来求切线方程即可得A点坐标; (2)先设直线 的方程,再利用 三点共线,可求出直线 过定点 ,从而把面积问题转化到两定点上去研究,最后发现 为实轴两顶点时 取到最小 值,再去研究另一个圆上动点 的 最小值. 【详解】(1)由题意可知, ,即 ,故 的方程为: . 因为 在第一象限,不妨设 ,则 可变形为 , 则 ,代入 得: ,所以切线方程为 , 令 得 ,所以点 坐标为 . (2) 显然直线 的斜率存在且不为 , 设 ,则 , 联立方程 ,整理得: , , 由 三点共线得: ,即 , 整理得: , 所以 ,整理得 , 满足 ,所以直线 过定点 ,则 且线段垂直于x轴, 令 分别表示 到 的距离, 结合图,显然 ,仅当 为右顶点时两式中等号成立, 所以,当且仅当 时等号成立. 【点睛】关键点点睛:利用导数思想来研究某点处的切线方程;对于面积问题,本题是要 转移到一边已知,从而把面积问题转化为点到这边距离的最小值问题. 4.(23-24高二上·湖南长沙·期中)已知双曲线 的左、右焦点分别为 , ,点 在双曲线 上. (1)求 的方程; (2)过 作两条相互垂直的直线 和 ,与 的右支分别交 , 两点和 , 两点,求四 边形 面积的最小值. 【答案】(1) (2) 【分析】 (1)设双曲线 ,依题意可得 ,解得即可; (2)设直线 , ,求得 ,联立方程组,利用弦长公 式,求得 , ,得到 ,令 ,结合二次函数的性质,即可求解. 【详解】(1)设双曲线 ,则 ,解得 , 所以双曲线 的方程为 . (2)根据题意,直线 , 的斜率都存在且不为0, 设直线 , ,其中 , 双曲线的渐近线为 , 因为 , 均与 的右支有两个交点,所以 , ,所以 ,将 的方程与 联立,可得 , 设 ,则 , , 所以 , 用 替换 ,可得 , 所以 . 令 ,所以 , 则 , 当 ,即 时,等号成立, 故四边形 面积的最小值为 . 【点睛】解答圆锥曲线的最值问题的方法与策略: (1)几何转化代数法:若题目的条件和结论能明显体现几何特征和意义,则考虑利用圆锥 曲线的定义、图形、几何性质来解决; (2)函数取值法:若题目的条件和结论的几何特征不明显,则可以建立目标函数,再求这 个函数的最值(或值域),常用方法:(1)配方法;(2)基本不等式法;(3)单调性 法;(4)三角换元法;(5)导数法等,要特别注意自变量的取值范围. 5.(2024·江苏连云港·模拟预测)已知A,B是抛物线E: 上不同的两点,点P在x 轴下方,PA,PB与抛物线E分别交于C,D两点,C,D恰好为PA,PB的中点.设AB, CD的中点分别为点M,N.(1)证明: 轴; (2)若点P为半椭圆 上的动点,求四边形ABDC面积的最大值. 【答案】(1)证明见解析 (2) 【分析】(1)根据题意可得 ,结合斜率分析可得 ,即可得 轴; (2)根据题意利用韦达定理求长度,可得面积 ,结合二 次函数分析运算即可. 【详解】(1) 由C,D分别为PA,PB的中点,则 , 所以直线AB和直线CD的斜率相等,即 , 设 , , , , 则点M的横坐标 ,点N的横坐标 , 由 ,得 , 因式分解得 ,约分得 , 所以 ,即 ,所以 轴. (2)设 ,则 ,且 , 由 , ,所以 , 整理得 ,同理得 ,所以 , 是方程 的两个根, ,得 , , 有 ,得 轴,又 , 所以 , 因为 , 所以 , , ,当 时, 取得最大值 , 所以四边形ABDC面积的最大值为 . 【点睛】方法点睛:解决圆锥曲线中范围最值问题的方法:一般题目中没有给出明确的不 等关系,首先需要根据已知条件进行转化,利用圆锥曲线的几何性质及曲线上点的坐标确 定不等关系;然后构造目标函数,把原问题转化为求函数的值域或引入参数根据参数范围 求解,解题时应注意挖掘题目中的隐含条件,寻找量与量之间的转化. 三、专项训练 1.(2024·全国·模拟预测)已知O为坐标原点,直线 与双曲线 相交且只有一个交点,与椭圆 交于M,N两点,则 面积的最大值 为( ) A.10 B.12 C.14 D.16 【答案】A 【分析】根据题意确定 ,联立方程组,利用弦长公式和面积公式,最后求最值. 【详解】由题意知 与双曲线的渐近线 平行,故 , 设 , ,将 代入 , 得 ,故 ,, , 所以 , 点O到l的距离 , 所以 的面积 , 当且仅当 (满足 )时等号成立. 故选:A. 【点睛】方法点睛:利用韦达定理法解决直线与圆锥曲线相交问题的基本步骤如下: (1)设直线方程,设交点坐标为 , ; (2)联立直线与圆锥曲线的方程,得到关于x(或y)的一元二次方程,必要时计算 ; (3)列出韦达定理; (4)将所求问题或题中的关系转化为 的形式; (5)代入韦达定理求解. 2.(23-24高三下·河北保定·开学考试)已知 是左、右焦点分别为 的椭圆 上异于左、右顶点的一点, 是线段 的中点, 是坐标原点,过 作 的平行线交直线 于 点,则四边形 的面积的最大值为( ) A.2 B. C. D. 【答案】D 【分析】作出图形,由几何关系易判断 ,求出,进而得解. 【详解】 如图,因为 为线段 的中点, 为 中点,所以 为 中位线, ,又因为 , 所以四边形 为平行四边形, , 由几何关系易得 ,设 , 则 , 又 ,当且仅当 时, , 所以 . 故选:D 3.(23-24高二下·安徽滁州·期末)双曲线 的左、右焦点分别为 , 离心率为 ,右支上一点 满足 ,直线 平分 ,过点 作直线 的垂 线,垂足分别为 .设 为坐标原点,则 的面积为( ) A. B. C.10 D. 【答案】C 【分析】根据给定条件,求出 ,结合几何图形及双曲线定义可得 的面积 得 解., 【详解】由双曲线 的离心率为 ,得 ,解得 , 令直线 交 的延长线交 于 ,直线 交 于 ,则 , 由 平分 ,且 ,得 , 则 , ,显然 分别为线段 的中点,而 是 的中点,于是 , ,即 , , 所以 的面积 . 故选:C 【点睛】关键点点睛:本题求出 面积的关键是作出点 ,借助几何图形的特征,结 合双曲线定义求得 . 4.(2024·江西宜春·一模)已知双曲线 的左、右焦点分别为 ,过右焦点 的直线 与双曲线的右支交于 两点,若 的内心分别为 ,则 与 面积之和的取值范围是( ) A. B. C. D. 【答案】A 【分析】根据圆的切线长相等的性质,结合双曲线定义可求得两内切圆与 轴均相切于点 ,由 ∽ 可求得 ,结合双曲线渐近线斜率可确定直线 倾斜角的 范围,结合 可求得 的范围;由对勾函数单调性可确定所求面积之和的取值范围. 【详解】由双曲线方程得: , ,则 , 设 内切圆与三边相切于点 , , , , , 又 , , , 设 ,则 ,解得: ,即 ; 同理可知: 内切圆与 轴相切于点 ; 分别为 的角平分线, , 又 , ∽ ,则 , 设 内切圆半径分别为 , , ,即 ,, 双曲线的渐近线斜率 , 直线 的倾斜角 , ,则 , ,解得: , 又 在 上单调递减,在 上单调递增, 当 时, ;当 时, ;当 时, ; , . 故选:A. 【点睛】关键点点睛:本题考查直线与双曲线中三角形面积相关问题的求解,解题关键是 能够利用相似三角形的知识求得两内切圆半径之间满足的等量关系,从而将所求面积之和 转化为关于一个变量的函数的形式,利用函数单调性求得结果. 5.(23-24高二下·河南驻马店·阶段练习)已知抛物线 的焦点为F,过 点 作C的两条切线,切点为A,B,且Q为C上一动点,若 的最小值为 5,则△PAB的面积为( ) A.75 B. C. D. 【答案】D 【分析】根据抛物线定义得到 ,再利用导数得到切点弦所在直线方程,再求出直线 的长和点 到直线 的距离,最后利用三角形面积公式即可. 【详解】当F,Q,P三点共线时, 取得最小值,且 , 所以 ,解得 ,所以 . 由 ,得 . 设 , ,则曲线 在 处的切线方程为 , 即 .因为切线过点 ,所以 .同理可得 ,所以直线AB的方程为 ,即 . 联立方程组 得 , ,则 . 因为直线AB过焦点F,所以 , 点P到直线 的距离 , 所以 . 故选:D. 【点睛】关键点点睛:本题的关键之一是利用抛物线定义和三点共线得到 ,再然后是利 用导数得到切点弦所在直线方程,最后再求出 和点 到直线 的距离. 6.(2024·四川宜宾·模拟预测)已知拋物线 ,过动点 作两条相互垂直的直 线,分别与抛物线 相切于点 ,则 面积的最小值是( ) A.6 B.9 C.12 D.18 【答案】B 【分析】设直线 与抛物线联立方程,建立等式化简计算可得 , ,同理可得 , ,有 ,设直线 与抛物 线联立方程,建立等式计算可得 ,而 在直线 , 上,建立等式计算可得 ,根据三角形面积公式计算即可. 【详解】设 , 因为点 作两条相互垂直的直线,分别与抛物线 相切于点 , 所以直线 , 斜率均存在, 故设直线 ,则 , 所以 ,因为 ,代入化简得 ,得 , 所以直线 ,整理得 , 设直线 ,同理可得 , 所以 ,即 , 设直线 , , 所以 , ,得 , 因为抛物线 的焦点为 , 所以设直线 恒过抛物线焦点 , 而 在直线 , 上, 所以 ,即 是方程 是方程的两实数根, 所以 , 解得 ,即 所以 , 设 到直线 的距离为 ,则 , 所以 ,当 时, 面积的最小为 .故选:B 【点睛】关键点点睛:本题的关键根据切线方程与抛物线建立等式计算可得 ,直 线 与抛物线建立等式可得直线 经过抛物线的焦点; 在直线 , 上,得 是方程 方程的两相异实数根,利用根与系数的关系建立等式求得 ,最后根据三角形面积公式计算可得. 7.(23-24高三下·山西大同·阶段练习)过抛物线 的焦点 且倾斜角为 的直线 交抛物线于 两点,以 为直径的圆分别与 轴相切于点 ,则 的面积 为( ) A. B. C. D. 【答案】D 【分析】如图所示,直线 : ,联立方程得到 ,计算 ,得到答 案. 【详解】如图所示: ,连接 , ,过点 作 于 , 直线 : ,故 ,故 , . 故 , 故 . 故选: .【点睛】本题考查了抛物线中的面积问题,意在考查学生的计算能力和综合应用能力. 8.(2024·内蒙古呼和浩特·二模)已知椭圆 ,经过坐标原点的两条直线分别 与椭圆 相交于 、 、 、 四个点,若该两条直线的斜率分别为 、 ,且 ,则 的面积为 . 【答案】 【分析】设出点 的坐标,将△ 的面积用坐标表示,再利用已知条件及点在椭圆 上进行坐标运算求解即可. 【详解】设 ,因为 , 所以 的斜率存在且不为 ,即 , 直线 方程: ,即 , 所以点 到 的距离为 , 因此△ 的面积为 , 而点 在椭圆 上,且 所以,化简得 , 所以 , 所以 . 故答案为: . 【点睛】方法点睛:直线与圆锥曲线相交,一般先设出点的坐标并进行坐标运算,关键是 利用已知条件将所求的式子进行化简,本题中主要利用点在椭圆上满足椭圆的方程以及斜 率之积这两个条件进行化简. 9.(2024·湖南·模拟预测)过椭圆C: ( )上的动点P向圆O: 引两条切线 .设切点分别是A,B,若直线 与x轴、y轴分别交于M, N两点,则 面积的最小值是 . 【答案】 【分析】设点 ,首先求出直线 方程 ,然后求得 坐标,由两 点间距离公式得 ,由点到直线距离公式表示出原点 到直线 (即直线 的距 离),从而表示出 面积,结合点 在椭圆上,即它的坐标满足条件等式 ,进一步结合基本不等式求得 即可得解. 【详解】 设点 ,则以 为直径的圆的方程为 ,与圆O的方程 相减得 ,即 是过切点 的直线方程, , 令 ,得 ,所以 ,令 ,得 ,所以 , 所以 , 所以点 到直线 的距离 , 所以 , 因为点 在椭圆C: ( )上, 所以 , 即 ,等号成立当且仅当 , 所以 ,等号成立当且仅当 , 综上所述, 面积的最小值是 . 故答案为: . 【点睛】关键点点睛:关键是表示出 面积,即 ,由此即可顺利得解. 10.(2024高三·全国·专题练习)已知点 在双曲线 上,直线l交C于 P,Q两点,直线 的斜率之和为0,若 ,则 的面积为 . 【答案】 【分析】设 , ,联立直线与双曲线方程,消元、列出韦达定 理,依题意 ,即可求出 与 的关系,不妨设直线 的倾斜角为 ,依题意可得 ,再由 及二倍角公式求出,从而得到直线 、 的方程,联立直线与双曲线方程,求出 、 坐标,即可求 出 方程,再求出面积即可. 【详解】法一:因为易知直线 的斜率存在,设 , , 联立 可得 , 由 ,可得 且 . 所以 , 所以由 可得 , 即 , 即 , 所以 , 化简得 ,即 , 所以 或 , 当 时,直线 过点 ,与题意不符,舍去, 故 . 不妨设直线 的倾斜角为 , 因为 ,所以 , , 当 均在双曲线左支时, ,所以 , 即 ,解得 (负值舍去), 此时PA与双曲线的渐近线平行,与双曲线左支无交点,舍去; 当 均在双曲线右支时,因为 ,所以 , 即 ,即 ,解得 (负值舍去), 于是,直线 ,直线 , 联立 可得 ,因为方程有一个根为 ,所以 , , 同理可得, , . 所以 , 且直线 ,整理得: , 所以点 到直线 的距离 , 故 的面积为 . 法二: 设直线 的倾斜角为 , , , , 由 ,则 ,解得 (负值已舍去), 由 ,即 ,得 , 即 , 联立 及 得 , , 同理, , , 故 , ,而 , ,由 , 即 ,解得 (负值已舍去), 故 故答案为: 11.(23-24高三下·云南·阶段练习)已知 , 分别为双曲线C: 的 左、右焦点,O为坐标原点,过 作渐近线 的垂线,垂足为P,且 ,过双曲线C上一点Q作两渐近线的平行线分别交渐近线于M,N两点, 则四边形OMQN的面积为 . 【答案】 【分析】先求得双曲线方程为 ,设 到两渐近线的距离之积 ,结合双曲线的方程,求得 ,结合面积公式,即可求解. 【详解】过 作渐近线 的垂线,垂足为 ,如图所示,因为 , ,所以 , 因为 ,所以 , 在直角在 中, ,所以 ,所以 , 又因为 ,所以 ,所以双曲线方程为 , 因为 ,所以 , 设 到两渐近线的距离为 ,则 , 又因为 ,所以 ,所以 . 故答案为: . 12.(23-24高二下·四川凉山·期末)已知椭圆 的长轴长为4,离心率 . (1)求椭圆的标准方程; (2)若椭圆的左、右顶点分别为 ,过椭圆的左焦点 的直线交椭圆于 两点,求 与 的面积之比的取值范围. 【答案】(1) (2) 【分析】(1)根据离心率列式求 ,即可得椭圆方程; (2)设线 ,联立方程,利用韦达定理可得 ,再根据面积关系运算求解即可. 【详解】(1)由题意可知: ,解得 , 所以椭圆的标准方程为 . (2)由(1)可知: , 因为直线 的斜率可以不存在,但不为0,且直线 与椭圆必相交,设直线 , 联立方程 ,消去x可得 , 则 , 可得 ,整理可得 , 因为 ,可得 令 ,则 ,解得 ,即 , 由题意可知: , 因为 , 所以 与 的面积之比的取值范围为 . 【点睛】方法点睛:利用韦达定理法解决直线与圆锥曲线相交问题的基本步骤如下: (1)设直线方程,设交点坐标为 ; (2)联立直线与圆锥曲线的方程,得到关于 (或 )的一元二次方程,注意 的判断; (3)列出韦达定理; (4)将所求问题或题中的关系转化为 、 (或 、 )的形式; (5)代入韦达定理求解. 13.(23-24高二下·湖南永州·阶段练习)已知椭圆 过点 ,离心率为 .不过原点的直线 交椭圆 于 两点,记直线 的斜率为 , 直线 的斜率为 ,且 . (1)证明:直线 的斜率 为定值; (2)求 面积的最大值. 【答案】(1)证明见解析 (2) 【分析】(1)根据题意求出椭圆方程,设 ,联立方程,利用韦达定理 求出 ,再根据 化简即可得出结论; (2)由(1)得 ,根据 求出 的范围,利用 弦长公式求出 ,利用点到直线的距离公式求出点 到直线 的距离,列出 面 积的的表达式,进而可得出答案. 【详解】(1)由题意 ,解得 , 所以椭圆的标准方程为 , 设 , 由 得 , , ,解得 , 所以直线 的斜率 为定值; (2)由(1)得 , 与椭圆方程联立得 , 则 , , 点 到直线 的距离 , 的面积 , 令 , 则 , 令 ,解得 ,即 在 上单调递增, 令 ,解得 或 ,即 在 和 上单调递减, 又 , 所以当 时,取到最大值 , 所以 的面积得最大值为 . 【点睛】方法点睛:圆锥曲线中的最值问题解决方法一般分两种: 一是几何法,特别是用圆锥曲线的定义和平面几何的有关结论来求最值; 二是代数法,常将圆锥曲线的最值问题转化为二次函数或三角函数的最值问题,然后利用 基本不等式、函数的单调性或三角函数的有界性等求最值. 14.(23-24高二下·河南南阳·期末)已知双曲线 的实轴比虚轴长 2,且焦点到渐近线的距离为2. (1)求双曲线 的方程; (2)若动直线 与双曲线 恰有1个公共点,且与双曲线 的两条渐近线分别交于点 , 两点, 为坐标原点,证明: 的面积为定值. 【答案】(1) (2)证明见解析 【分析】(1)由点到直线的距离公式及实轴与虚轴定义计算即可得; (2)讨论直线 的斜率是否存在,且当直线的斜率存在时,设出直线方程,与双曲线方程 联立,根据 ,找到参数之间的关系,再利用弦长公式求得 ,利用点到直线的距离 公式求出三角形的高,求得面积,即可证明. 【详解】(1)设双曲线 焦点为 ,一条渐近线方程为 , 所以该焦点到渐近线的距离为 , 又双曲线实轴比虚轴长2,故 ,即 , 故双曲线 的方程为 ; (2)当直线 的斜率不存在时,若动直线 与双曲线 恰有1个公共点, 则直线 经过双曲线的顶点,不妨设 ,又渐近线方程为 , 将 代入 ,得 ,将 代入 ,得 , 则 , ; 当直线 的斜率存在,设直线 ,且 , 联立 ,消去 并整理得 , 因为动直线 与双曲线 恰有1个公共点,所以 ,得 , 设动直线 与 的交点为 ,与 的交点为 , 联立 ,得 ,同理得 , 则 , 因为原点 到直线 的距离 , 所以 , 又因为 ,所以 ,即 , 故 的面积为定值,且定值为 . 【点睛】关键点点睛:利用 ,找到参数之间的关系,再利用弦长公式求得 ,利 用点到直线的距离公式求出三角形的高,进而求出面积是解题关键. 15.(2024·陕西西安·二模)已知双曲线 的一条渐近线方程为 ,且虚轴长为2. (1)求双曲线 的标准方程; (2)若动直线 与双曲线 恰有1个公共点,且与双曲线 的两条渐近线分别交于 , 两 点, 为坐标原点,证明: 的面积为定值. 【答案】(1) (2)证明见解析 【分析】 (1)依题意可得 、 ,即可求出 、 的值,从而得到双曲线方程; (2)讨论直线 的斜率是否存在,且当直线的斜率存在时,设出直线方程,与双曲线方程 联立,根据 ,找到参数之间的关系,再利用弦长公式求得 ,利用点到直线的距 离公式求出三角形的高,求得面积,即可证明. 【详解】(1)双曲线 的渐近线为 ,又双曲线的一条渐近线方程为 , 即 ,又 ,所以 , , 则双曲线方程为 . (2)当直线 的斜率不存在时,若动直线 与双曲线 恰有1个公共点, 则直线 经过双曲线的顶点,不妨设 ,又渐近线方程为 , 将 代入 ,得 ,将 代入 ,得 , 则 , . 当直线 的斜率存在,设直线 ,且 , 联立 ,消去 并整理得 , 因为动直线 与双曲线 恰有1个公共点, 所以 ,得 , 设动直线 与 的交点为 ,与 的交点为 , 联立 ,得 ,同理得 , 则 因为原点 到直线 的距离 , 所以 , 又因为 ,所以 ,即 , 故 的面积为定值,且定值为 .【点睛】关键点点睛:利用 ,找到参数之间的关系,再利用弦长公式求得 ,利 用点到直线的距离公式求出三角形的高,进而求出面积是解题关键. 16.(23-24高二下·甘肃天水·开学考试)已知双曲线 的两条渐近线互相垂直,且经过点 . (1)求双曲线 的标准方程; (2)若过点 的直线交双曲线同一支于两点 ,设 中点为 ,求 面积 的取值范围. 【答案】(1) (2) 【分析】(1)先由渐近线的性质判断得双曲线为等轴双曲线,从而利用待定系数法即可得 解; (2)依题意设直线 的方程为 ,与双曲线C方程联立,由韦达定理求 出中点的纵坐标,同时由其条件求得m的范围,进而求出 的面积表达式,根据函数 的单调性即可得解. 【详解】(1)依题意,设双曲线 的渐近线方程为 , 则 ,解得 ,故双曲线 为等轴双曲线, 不妨设双曲线 的方程为 , 因为双曲线 经过点 ,所以 ,则 , 所以双曲线 的方程为 ,即标准方程为 . (2)由题意,易知直线 斜率存在且不为 , 设直线 的方程为 ,联立 ,消去 ,得 , 由于双曲线的对称性,不妨设 , 则 ,解得 , 设点 的纵坐标为 ,因为点 为 的中点,则 , 所以 , 因为 在 上单调递增,所以 , 所以 ,故 面积的取值范围为 . 【点睛】方法点睛:利用韦达定理法解决直线与圆锥曲线相交问题的基本步骤如下: (1)设直线方程,设交点坐标为 ; (2)联立直线与圆锥曲线的方程,得到关于 (或 )的一元二次方程,注意 的判断; (3)列出韦达定理; (4)将所求问题或题中的关系转化为 、 (或 、 )的形式; (5)代入韦达定理求解. 17.(23-24高二下·广东·期末)已知抛物线 的焦点 到点 的距 离为 , , 为抛物线 上两个动点,且线段 的中点 在直线 上. (1)求抛物线 的方程;(2)求 面积的取值范围. 【答案】(1) (2) 【分析】(1)求出焦点坐标,再利用两点间的距离公式列方程可求出 ,从而可求出抛物 线 的方程; (2)设直线 的方程为: , , ,将直线方程代入抛物线方程 化简利用根与系数的关系结合中点坐标公式表示出点 的坐标,将 两点的坐标代入抛 物线方程,两式相加化简结合前面的式子可得 ,再结合判别式可得 , 利用弦长公式表示出 ,再表示出点 到直线 的距离,从而可表示出 面积, 化简后结合 可求出其范围. 【详解】(1)焦点 , ,由焦点 到点 的距离为 , 得 ,解得 所以抛物线方程为 . (2)如图所示,显然,直线 的斜率不为0, 设直线 的方程为: , , , 联立方程组 ,消去 得 , 所以 , ,且 (*), 所以线段 的中点 的纵坐标为 , 因为点 在直线 上,所以 ,所以 , 因为 , ,所以 ,即 , 将 , 代入上式,所以 , 代入(*)得 ,化简得 ,所以 , 点 到 的距离 , , 所以 , 将 代入上式,得 , 因为 所以 . 【点睛】关键点点睛:此题考查直线与抛物线的位置关系,考查抛物线中的三角形面积问 题,解题的关键是设出直线方程代入抛物线方程化简结合根与系数的关系和中点坐标公式 表示出点 的坐标,考查计算能力和数形结合的思想,属于较难题. 18.(23-24高二下·安徽芜湖·期末)抛物线 的准线方程为 ,抛物线 上的三个点 构成一个以 为直角顶点的直角三角形. (1)求拋物线 的标准方程; (2)若点 坐标为 ,证明:直线 过定点; (3)若 ,求 面积的最小值. 【答案】(1) (2)证明见解析 (3)1 【分析】(1)根据准线方程求出抛物线方程; (2)设 点的坐标分别为 ,直线 的方程为 ,联立直线与抛 物线方程,消元、列出韦达定理,依题意 ,即可得到 、 的关系,从而求出 直线过定点坐标; (3)不妨设 , , 三点的坐标分别为 ,且 ,不妨记 直线 的斜率为 ,且 ,再由弦长公式得到 ,再求出 的最小值,即可得解. 【详解】(1) 拋物线 的准线方程为 , 所以 且焦点在 轴的非负半轴上,则 , 抛物线 的标准方程为 ; (2)设 点的坐标分别为 ,直线 的方程为 , 联立 得 ,显然 , , 因为 构成一个以 为直角顶点的直角三角形, , , , 直线 的方程为 , 当 时 ,所以直线 过定点 ; (3)由拋物线的对称性,不妨设 , , 三点的坐标分别为 ,且 , 不妨记直线 的斜率为 ,且 , 则直线 的斜率为 ,则 , 结合(*)得 , (当且仅当 时取得等号),(此时 为坐标原点), 即 面积的最小值为 . 【点睛】方法点睛:求解直线过定点问题常用方法如下: (1)“特殊探路,一般证明”:即先通过特殊情况确定定点,再转化为有方向、有目的的 一般性证明; (2)“一般推理,特殊求解”:即设出定点坐标,根据题设条件选择参数,建立一个直线 系或曲线的方程,再根据参数的任意性得到一个关于定点坐标的方程组,以这个方程组的 解为坐标的点即为所求点; (3)求证直线过定点 ,常利用直线的点斜式方程 或截距式 来证明.