当前位置:首页>文档>专题13电磁感应(计算题)学易金卷:三年(2021-2023)高考物理真题分项汇编(全国通用)(解析版)_2024年4月_其他

专题13电磁感应(计算题)学易金卷:三年(2021-2023)高考物理真题分项汇编(全国通用)(解析版)_2024年4月_其他

  • 2026-03-23 13:25:13 2026-02-15 03:15:27

文档预览

专题13电磁感应(计算题)学易金卷:三年(2021-2023)高考物理真题分项汇编(全国通用)(解析版)_2024年4月_其他
专题13电磁感应(计算题)学易金卷:三年(2021-2023)高考物理真题分项汇编(全国通用)(解析版)_2024年4月_其他
专题13电磁感应(计算题)学易金卷:三年(2021-2023)高考物理真题分项汇编(全国通用)(解析版)_2024年4月_其他
专题13电磁感应(计算题)学易金卷:三年(2021-2023)高考物理真题分项汇编(全国通用)(解析版)_2024年4月_其他
专题13电磁感应(计算题)学易金卷:三年(2021-2023)高考物理真题分项汇编(全国通用)(解析版)_2024年4月_其他
专题13电磁感应(计算题)学易金卷:三年(2021-2023)高考物理真题分项汇编(全国通用)(解析版)_2024年4月_其他
专题13电磁感应(计算题)学易金卷:三年(2021-2023)高考物理真题分项汇编(全国通用)(解析版)_2024年4月_其他
专题13电磁感应(计算题)学易金卷:三年(2021-2023)高考物理真题分项汇编(全国通用)(解析版)_2024年4月_其他
专题13电磁感应(计算题)学易金卷:三年(2021-2023)高考物理真题分项汇编(全国通用)(解析版)_2024年4月_其他
专题13电磁感应(计算题)学易金卷:三年(2021-2023)高考物理真题分项汇编(全国通用)(解析版)_2024年4月_其他
专题13电磁感应(计算题)学易金卷:三年(2021-2023)高考物理真题分项汇编(全国通用)(解析版)_2024年4月_其他
专题13电磁感应(计算题)学易金卷:三年(2021-2023)高考物理真题分项汇编(全国通用)(解析版)_2024年4月_其他
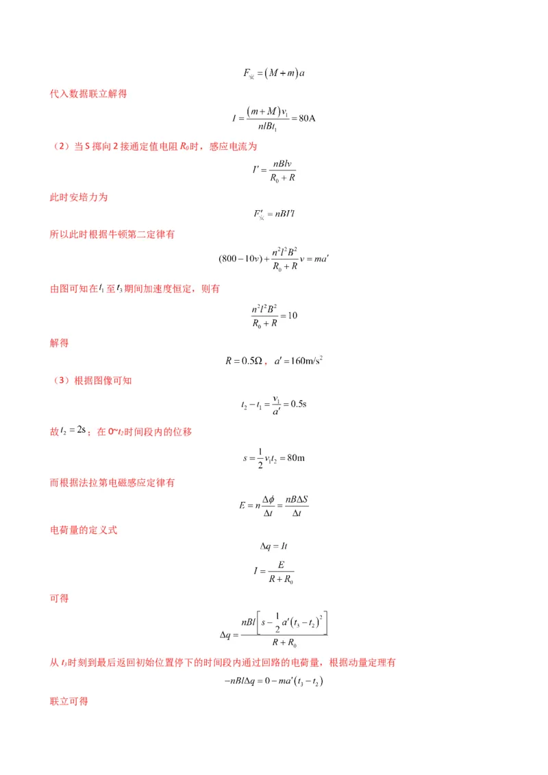
专题13电磁感应(计算题)学易金卷:三年(2021-2023)高考物理真题分项汇编(全国通用)(解析版)_2024年4月_其他
专题13电磁感应(计算题)学易金卷:三年(2021-2023)高考物理真题分项汇编(全国通用)(解析版)_2024年4月_其他
专题13电磁感应(计算题)学易金卷:三年(2021-2023)高考物理真题分项汇编(全国通用)(解析版)_2024年4月_其他
专题13电磁感应(计算题)学易金卷:三年(2021-2023)高考物理真题分项汇编(全国通用)(解析版)_2024年4月_其他
专题13电磁感应(计算题)学易金卷:三年(2021-2023)高考物理真题分项汇编(全国通用)(解析版)_2024年4月_其他
专题13电磁感应(计算题)学易金卷:三年(2021-2023)高考物理真题分项汇编(全国通用)(解析版)_2024年4月_其他
专题13电磁感应(计算题)学易金卷:三年(2021-2023)高考物理真题分项汇编(全国通用)(解析版)_2024年4月_其他
专题13电磁感应(计算题)学易金卷:三年(2021-2023)高考物理真题分项汇编(全国通用)(解析版)_2024年4月_其他
专题13电磁感应(计算题)学易金卷:三年(2021-2023)高考物理真题分项汇编(全国通用)(解析版)_2024年4月_其他
专题13电磁感应(计算题)学易金卷:三年(2021-2023)高考物理真题分项汇编(全国通用)(解析版)_2024年4月_其他
专题13电磁感应(计算题)学易金卷:三年(2021-2023)高考物理真题分项汇编(全国通用)(解析版)_2024年4月_其他
专题13电磁感应(计算题)学易金卷:三年(2021-2023)高考物理真题分项汇编(全国通用)(解析版)_2024年4月_其他
专题13电磁感应(计算题)学易金卷:三年(2021-2023)高考物理真题分项汇编(全国通用)(解析版)_2024年4月_其他
专题13电磁感应(计算题)学易金卷:三年(2021-2023)高考物理真题分项汇编(全国通用)(解析版)_2024年4月_其他
专题13电磁感应(计算题)学易金卷:三年(2021-2023)高考物理真题分项汇编(全国通用)(解析版)_2024年4月_其他
专题13电磁感应(计算题)学易金卷:三年(2021-2023)高考物理真题分项汇编(全国通用)(解析版)_2024年4月_其他
专题13电磁感应(计算题)学易金卷:三年(2021-2023)高考物理真题分项汇编(全国通用)(解析版)_2024年4月_其他
专题13电磁感应(计算题)学易金卷:三年(2021-2023)高考物理真题分项汇编(全国通用)(解析版)_2024年4月_其他
专题13电磁感应(计算题)学易金卷:三年(2021-2023)高考物理真题分项汇编(全国通用)(解析版)_2024年4月_其他
专题13电磁感应(计算题)学易金卷:三年(2021-2023)高考物理真题分项汇编(全国通用)(解析版)_2024年4月_其他
专题13电磁感应(计算题)学易金卷:三年(2021-2023)高考物理真题分项汇编(全国通用)(解析版)_2024年4月_其他
专题13电磁感应(计算题)学易金卷:三年(2021-2023)高考物理真题分项汇编(全国通用)(解析版)_2024年4月_其他
专题13电磁感应(计算题)学易金卷:三年(2021-2023)高考物理真题分项汇编(全国通用)(解析版)_2024年4月_其他

文档信息

文档格式
docx
文档大小
3.487 MB
文档页数
35 页
上传时间
2026-02-15 03:15:27

文档内容

专题 13 电磁感应 目录 考点01 法拉第电磁感应定律 自感和涡流................................................................1 考点02 线框进入磁场类问题....................................................................................10 考点03 导体棒在导轨上运动问题............................................................................13 考点 01 法拉第电磁感应定律 自感和涡流 1.(2023·广东·统考高考真题)光滑绝缘的水平面上有垂直平面的匀强磁场,磁场被分成区域Ⅰ和Ⅱ,宽 度均为 ,其俯视图如图(a)所示,两磁场磁感应强度随时间 的变化如图(b)所示, 时间内,两 区域磁场恒定,方向相反,磁感应强度大小分别为 和 ,一电阻为 ,边长为 的刚性正方形金属框 ,平放在水平面上, 边与磁场边界平行. 时,线框 边刚好跨过区域Ⅰ的左边界以速度 向右运动.在 时刻, 边运动到距区域Ⅰ的左边界 处,线框的速度近似为零,此时线框被固定,如 图(a)中的虚线框所示。随后在 时间内,Ⅰ区磁感应强度线性减小到0,Ⅱ区磁场保持不变; 时间内,Ⅱ区磁感应强度也线性减小到0。求: (1) 时线框所受的安培力 ; (2) 时穿过线框的磁通量 ; (3) 时间内,线框中产生的热量 。 【答案】(1) ,方向水平向左;(2) ;(3) 【详解】(1)由图可知 时线框切割磁感线的感应电动势为则感应电流大小为 所受的安培力为 方向水平向左; (2)在 时刻, 边运动到距区域Ⅰ的左边界 处,线框的速度近似为零,此时线框被固定,则 时穿过线框的磁通量为 方向垂直纸面向里; (3) 时间内,Ⅱ区磁感应强度也线性减小到0,则有 感应电流大小为 则 时间内,线框中产生的热量为 2.(2023·天津·统考高考真题)如图,有一正方形线框,质量为m,电阻为R,边长为l,静止悬挂着,一 个三角形磁场垂直于线框所在平面,磁感线垂直纸面向里,且线框中磁区面积为线框面积一半,磁感应强 度变化B = kt(k > 0),已知重力加速度g,求: (1)感应电动势E; (2)线框开始向上运动的时刻t; 0【答案】(1) ;(2) 【详解】(1)根据法拉第电磁感应定律有 (2)由图可知线框受到的安培力为 当线框开始向上运动时有 mg = F A 解得 3.(2022·重庆·高考真题)某同学以金属戒指为研究对象,探究金属物品在变化磁场中的热效应。如图所 示,戒指可视为周长为L、横截面积为S、电阻率为 的单匝圆形线圈,放置在匀强磁场中,磁感应强度 方向垂直于戒指平面。若磁感应强度大小在 时间内从0均匀增加到 ,求: (1)戒指中的感应电动势和电流; (2)戒指中电流的热功率。【答案】(1) , ;(2) 【详解】(1)设戒指的半径为 ,则有 磁感应强度大小在 时间内从0均匀增加到 ,产生的感应电动势为 可得 戒指的电阻为 则戒指中的感应电流为 (2)戒指中电流的热功率为 4.(2021·浙江·高考真题)一种探测气体放电过程的装置如图甲所示,充满氖气( )的电离室中有两 电极与长直导线连接,并通过两水平长导线与高压电源相连。在与长直导线垂直的平面内,以导线为对称 轴安装一个用阻值 的细导线绕制、匝数 的圆环形螺线管,细导线的始末两端c、d与阻 值 的电阻连接。螺线管的横截面是半径 的圆,其中心与长直导线的距离 。 气体被电离后在长直导线回路中产生顺时针方向的电流I,其 图像如图乙所示。为便于计算,螺线管 内各处的磁感应强度大小均可视为 ,其中 。 (1)求 内通过长直导线横截面的电荷量Q; (2)求 时,通过螺线管某一匝线圈的磁通量 ; (3)若规定 为电流的正方向,在不考虑线圈自感的情况下,通过计算,画出通过电阻R的 图像; (4)若规定 为电流的正方向,考虑线圈自感,定性画出通过电阻R的 图像。【答案】(1) ;(2) ;(3)见解析;(4)见解析 【详解】(1)由电量和电流的关系 可知 图像下方的面积表示电荷量,因此有 代入数据解得 (2)由磁通量的定义可得 代入数据可得 (3)在 时间内电流均匀增加,有楞次定律可知感应电流的方向 ,产生恒定的感应 电动势 由闭合回路欧姆定律可得 代入数据解得 在 电流恒定,穿过圆形螺旋管的磁场恒定,因此感应电动势为零,感应电流为零,而 在 时间内电流随时间均匀变化,斜率大小和 大小相同,因此电流大小相 同,由楞次定律可知感应电流的方向为 ,则图像如图所示(4)考虑自感的情况下,线框会产生自感电动势阻碍电流的变化,因此开始时电流是缓慢增加的,过一 段时间电路达到稳定后自感消失,电流的峰值和之前大小相同,在 时间内电路中的磁 通量不变化电流要减小为零,因此自感电动势会阻碍电流的减小,使得电流缓慢减小为零。同理,在 内电流缓慢增加,过一段时间电路达到稳定后自感消失,在 之后,电路中 的磁通量不变化电流要减小为零,因此自感电动势会阻碍电流的减小,使得电流缓慢减小为零。图像如图 5.(2022·全国·统考高考真题)如图,一不可伸长的细绳的上端固定,下端系在边长为 的正方形 金属框的一个顶点上。金属框的一条对角线水平,其下方有方向垂直于金属框所在平面的匀强磁场。已知 构成金属框的导线单位长度的阻值为 ;在 到 时间内,磁感应强度大小随时间 t的变化关系为 。求: (1) 时金属框所受安培力的大小; (2)在 到 时间内金属框产生的焦耳热。 【答案】(1) ;(2)0.016J 【详解】(1)金属框的总电阻为 金属框中产生的感应电动势为金属框中的电流为 t=2.0s时磁感应强度为 金属框处于磁场中的有效长度为 此时金属框所受安培力大小为 (2) 内金属框产生的焦耳热为 6.(2023·浙江·高考真题)如图1所示,刚性导体线框由长为L、质量均为m的两根竖杆,与长为 的两 轻质横杆组成,且 。线框通有恒定电流 ,可以绕其中心竖直轴转动。以线框中心O为原点、转轴 为z轴建立直角坐标系,在y轴上距离O为a处,固定放置一半径远小于a,面积为S、电阻为R的小圆环, 其平面垂直于y轴。在外力作用下,通电线框绕转轴以角速度 匀速转动,当线框平面与 平面重合时 为计时零点,圆环处的磁感应强度的y分量 与时间的近似关系如图2所示,图中 已知。 (1)求0到 时间内,流过圆环横截面的电荷量q; (2)沿y轴正方向看以逆时针为电流正方向,在 时间内,求圆环中的电流与时间的关系; (3)求圆环中电流的有效值; (4)当撤去外力,线框将缓慢减速,经 时间角速度减小量为 ,设线框与圆环的能量转换 效率为k,求 的值(当 ,有 )。【答案】(1) ;(2) ;(3) ;(4) 【详解】(1)由法拉第电磁感应定律 由闭合电路欧姆定律 由电流定义式 联立可得 (2)在 时 在 时 (3)从能量角度解得 (4)由能量传递 化简可得 即 解得 7.(2021·北京·高考真题)类比是研究问题的常用方法。 (1)情境1:物体从静止开始下落,除受到重力作用外,还受到一个与运动方向相反的空气阻力 (k 为常量)的作用。其速率v随时间t的变化规律可用方程 (①式)描述,其中m为物体质量, G为其重力。求物体下落的最大速率 。 (2)情境2:如图1所示,电源电动势为E,线圈自感系数为L,电路中的总电阻为R。闭合开关S,发现 电路中电流I随时间t的变化规律与情境1中物体速率v随时间t的变化规律类似。类比①式,写出电流I 随时间t变化的方程;并在图2中定性画出I - t图线。 (3)类比情境1和情境2中的能量转化情况,完成下表。 情境1 情境2 物体重力势能的减少量 物体动能的增加量电阻R上消耗的电能 【答案】(1) ;(2)a. ,b. ;(3)见解析 【详解】(1)当物体下落速度达到最大速度 时,加速度为零,有 得 (2)a.由闭合电路的欧姆定理有 b.由自感规律可知,线圈产生的自感电动势阻碍电流,使它逐渐变大,电路稳定后自感现象消失,I - t图 线如答图2 (3)各种能量转化的规律如图所示 情境1 情境2 电源提供的电能 线圈磁场能的增加量 克服阻力做功消耗的机械 能 考点 02 线框进入磁场类问题 8.(2023·山西·统考高考真题)一边长为L、质量为m的正方形金属细框,每边电阻为R,置于光滑的绝 0 缘水平桌面(纸面)上。宽度为2L的区域内存在方向垂直于纸面的匀强磁场,磁感应强度大小为B,两虚 线为磁场边界,如图(a)所示。 (1)使金属框以一定的初速度向右运动,进入磁场。运动过程中金属框的左、右边框始终与磁场边界平行,金属框完全穿过磁场区域后,速度大小降为它初速度的一半,求金属框的初速度大小。 (2)在桌面上固定两条光滑长直金属导轨,导轨与磁场边界垂直,左端连接电阻R = 2R,导轨电阻可 1 0 忽略,金属框置于导轨上,如图(b)所示。让金属框以与(1)中相同的初速度向右运动,进入磁场。运 动过程中金属框的上、下边框处处与导轨始终接触良好。求在金属框整个运动过程中,电阻R 产生的热量。 1 【答案】(1) ;(2) 【详解】(1)金属框进入磁场过程中有 则金属框进入磁场过程中流过回路的电荷量为 则金属框完全穿过磁场区域的过程中流过回路的电荷量为 且有 联立有 (2)设金属框的初速度为v,则金属框进入磁场时的末速度为v,向右为正方向。由于导轨电阻可忽略, 0 1 此时金属框上下部分被短路,故电路中的总电 再根据动量定理有 解得 则在此过程中根据能量守恒有解得 其中 此后线框完全进入磁场中,则线框左右两边均作为电源,且等效电路图如下 则此时回路的总电阻 设线框刚离开磁场时的速度为v,再根据动量定理有 2 解得 v= 0 2 则说明线框刚离开磁场时就停止运动了,则再根据能量守恒有 其中 则在金属框整个运动过程中,电阻R 产生的热量 1 9.(2022·湖北·统考高考真题)如图所示,高度足够的匀强磁场区域下边界水平、左右边界竖直,磁场方 向垂直于纸面向里。正方形单匝线框abcd的边长L = 0.2m、回路电阻R = 1.6 × 10 - 3Ω、质量m = 0.2kg。线框平面与磁场方向垂直,线框的ad边与磁场左边界平齐,ab边与磁场下边界的距离也为L。现 对线框施加与水平向右方向成θ = 45°角、大小为 的恒力F,使其在图示竖直平面内由静止开始运动。 从ab边进入磁场开始,在竖直方向线框做匀速运动;dc边进入磁场时,bc边恰好到达磁场右边界。重力 加速度大小取g = 10m/s2,求: (1)ab边进入磁场前,线框在水平方向和竖直方向的加速度大小;(2)磁场的磁感应强度大小和线框进入磁场的整个过程中回路产生的焦耳热; (3)磁场区域的水平宽度。 【答案】(1)ax = 20m/s2,ay = 10m/s2;(2)B = 0.2T,Q = 0.4J;(3)X = 1.1m 【详解】(1)ab边进入磁场前,对线框进行受力分析,在水平方向有 max = Fcosθ 代入数据有 ax = 20m/s2 在竖直方向有 may = Fsinθ - mg 代入数据有 ay = 10m/s2 (2)ab边进入磁场开始,ab边在竖直方向切割磁感线;ad边和bc边的上部分也开始进入磁场,且在水 平方向切割磁感线。但ad和bc边的上部分产生的感应电动势相互抵消,则整个回路的电源为ab,根据右 手定则可知回路的电流为adcba,则ab边进入磁场开始,ab边受到的安培力竖直向下,ad边的上部分受 到的安培力水平向右,bc边的上部分受到的安培力水平向左,则ad边和bc边的上部分受到的安培力相互 抵消,故线框abcd受到的安培力的合力为ab边受到的竖直向下的安培力。由题知,线框从ab边进入磁场 开始,在竖直方向线框做匀速运动,有 Fsinθ - mg - BIL = 0 E = BLvy vy2 = 2ayL 联立有 B = 0.2T 由题知,从ab边进入磁场开始,在竖直方向线框做匀速运动;dc边进入磁场时,bc边恰好到达磁场右边 界。则线框进入磁场的整个过程中,线框受到的安培力为恒力,则有 Q = W = BILy 安 y = L Fsinθ - mg = BIL 联立解得Q = 0.4J (3)线框从开始运动到进入磁场的整个过程中所用的时间为 vy = ayt 1 L = vyt 2 t = t + t 1 2 联立解得 t = 0.3s 由(2)分析可知线框在水平方向一直做匀加速直线运动,则在水平方向有 则磁场区域的水平宽度 X = x + L = 1.1m 考点 03 导体棒在导轨上运动问题 10.(2023·浙江·统考高考真题)某兴趣小组设计了一种火箭落停装置,简化原理如图所示,它由两根竖 直导轨、承载火箭装置(简化为与火箭绝缘的导电杆MN)和装置A组成,并形成闭合回路。装置A能自 动调节其输出电压确保回路电流I恒定,方向如图所示。导轨长度远大于导轨间距,不论导电杆运动到什 么位置,电流I在导电杆以上空间产生的磁场近似为零,在导电杆所在处产生的磁场近似为匀强磁场,大 小 (其中k为常量),方向垂直导轨平面向里;在导电杆以下的两导轨间产生的磁场近似为匀强磁 场,大小 ,方向与B 相同。火箭无动力下降到导轨顶端时与导电杆粘接,以速度v 进入导轨,到 1 0 达绝缘停靠平台时速度恰好为零,完成火箭落停。已知火箭与导电杆的总质量为M,导轨间距 , 导电杆电阻为R。导电杆与导轨保持良好接触滑行,不计空气阻力和摩擦力,不计导轨电阻和装置A的内 阻。在火箭落停过程中, (1)求导电杆所受安培力的大小F和运动的距离L; (2)求回路感应电动势E与运动时间t的关系; (3)求装置A输出电压U与运动时间t的关系和输出的能量W; (4)若R的阻值视为0,装置A用于回收能量,给出装置A可回收能量的来源和大小。【答案】(1)3Mg; ;(2) ;(3) ; ;(4) 装置A可回收火箭的动能和重力势能; 【详解】(1)导体杆受安培力 方向向上,则导体杆向下运动的加速度 解得 a=-2g 导体杆运动的距离 (2)回路的电动势 其中 解得 (3)右手定则和欧姆定律可得: 可得电源输出能量的功率 在 时间内输出的能量对应 图像的面积,可得: (4)装置A可回收火箭的动能和重力势能,及磁场能;从开始火箭从速度v 到平台速度减为零,则 0 若R的阻值视为0 装置A可回收能量为 11.(2023·湖南·统考高考真题)如图,两根足够长的光滑金属直导轨平行放置,导轨间距为 ,两导轨 及其所构成的平面均与水平面成 角,整个装置处于垂直于导轨平面斜向上的匀强磁场中,磁感应强度大 小为 .现将质量均为 的金属棒 垂直导轨放置,每根金属棒接入导轨之间的电阻均为 。运动过程 中金属棒与导轨始终垂直且接触良好,金属棒始终未滑出导轨,导轨电阻忽略不计,重力加速度为 。 (1)先保持棒 静止,将棒 由静止释放,求棒 匀速运动时的速度大小 ; (2)在(1)问中,当棒 匀速运动时,再将棒 由静止释放,求释放瞬间棒 的加速度大小 ; (3)在(2)问中,从棒 释放瞬间开始计时,经过时间 ,两棒恰好达到相同的速度 ,求速度 的大小, 以及时间 内棒 相对于棒 运动的距离 。 【答案】(1) ;(2) ;(3) , 【详解】(1)a导体棒在运动过程中重力沿斜面的分力和a棒的安培力相等时做匀速运动,由法拉第电磁 感应定律可得有闭合电路欧姆定律及安培力公式可得 , a棒受力平衡可得 联立记得 (2)由右手定则可知导体棒b中电流向里,b棒 沿斜面向下的安培力,此时电路中电流不变,则b棒牛 顿第二定律可得 解得 (3)释放b棒后a棒受到沿斜面向上的安培力,在到达共速时对a棒动量定理 b棒受到向下的安培力,对b棒动量定理 联立解得 此过程流过b棒的电荷量为q,则有 由法拉第电磁感应定律可得 联立b棒动量定理可得 12.(2023·全国·统考高考真题)如图,水平桌面上固定一光滑U型金属导轨,其平行部分的间距为 ,导 轨的最右端与桌子右边缘对齐,导轨的电阻忽略不计。导轨所在区域有方向竖直向上的匀强磁场,磁感应 强度大小为 。一质量为 、电阻为 、长度也为 的金属棒P静止在导轨上。导轨上质量为 的绝缘棒 Q位于P的左侧,以大小为 的速度向P运动并与P发生弹性碰撞,碰撞时间很短。碰撞一次后,P和Q 先后从导轨的最右端滑出导轨,并落在地面上同一地点。P在导轨上运动时,两端与导轨接触良好,P与 Q始终平行。不计空气阻力。求 (1)金属棒P滑出导轨时的速度大小;(2)金属棒P在导轨上运动过程中产生的热量; (3)与P碰撞后,绝缘棒Q在导轨上运动的时间。 【答案】(1) ;(2) ;(3) 【详解】(1)由于绝缘棒Q与金属棒P发生弹性碰撞,根据动量守恒和机械能守恒可得 联立解得 , 由题知,碰撞一次后,P和Q先后从导轨的最右端滑出导轨,并落在地面上同一地点,则金属棒P滑出导 轨时的速度大小为 (2)根据能量守恒有 解得 (3)P、Q碰撞后,对金属棒P分析,根据动量定理得 又 , 联立可得 由于Q为绝缘棒,无电流通过,做匀速直线运动,故Q运动的时间为 13.(2022·福建·高考真题)如图(a),一倾角为 的绝缘光滑斜面固定在水平地面上,其顶端与两根相距为L的水平光滑平行金属导轨相连;导轨处于一竖直向下的匀强磁场中,其末端装有挡板M、N.两根 平行金属棒G、H垂直导轨放置,G的中心用一不可伸长绝缘细绳通过轻质定滑轮与斜面底端的物块A相 连;初始时刻绳子处于拉紧状态并与G垂直,滑轮左侧细绳与斜面平行,右侧与水平面平行.从 开 始,H在水平向右拉力作用下向右运动; 时,H与挡板M、N相碰后立即被锁定.G在 后的速 度一时间图线如图(b)所示,其中 段为直线.已知:磁感应强度大小 , ,G、H和 A的质量均为 ,G、H的电阻均为 ;导轨电阻、细绳与滑轮的摩擦力均忽略不计;H与挡板碰撞 时间极短;整个运动过程A未与滑轮相碰,两金属棒始终与导轨垂直且接触良好: , ,重力加速度大小取 ,图(b)中e为自然常数, .求: (1)在 时间段内,棒G的加速度大小和细绳对A的拉力大小; (2) 时,棒H上拉力的瞬时功率; (3)在 时间段内,棒G滑行的距离. 【答案】(1) ; ;(2) ;(3) 【详解】(1)由 图像可得在 内,棒G做匀加速运动,其加速度为 依题意物块A的加速度也为 ,由牛顿第二定律可得 解得细绳受到拉力 (2)由法拉第电磁感应定律与闭合电路欧姆定律推导出“双棒”回路中的电流为 由牛顿运动定律和安培力公式有 由于在 内棒G做匀加速运动,回路中电流恒定为 ,两棒速度差为 保持不变,这说明两棒加速度相同且均为a; 对棒H由牛顿第二定律可求得其受到水平向右拉力由 图像可知 时,棒G的速度为 此刻棒H的速度为 其水平向右拉力的功率 . (3)棒H停止后,回路中电流发生突变,棒G受到安培力大小和方向都发生变化,棒G是否还拉着物块 A一起做减速运动需要通过计算判断,假设绳子立刻松弛无拉力,经过计算棒G加速度为 物块A加速度为 说明棒H停止后绳子松弛,物块A做加速度大小为 的匀减速运动,棒G做加速度越来越小的减速 运动;由动量定理、法拉第电磁感应定律和闭合电路欧姆定律可以求得,在 内 棒G滑行的距离 这段时间内物块A速度始终大于棒G滑行速度,绳子始终松弛。 14.(2022·海南·高考真题)光滑的水平长直轨道放在匀强磁场 中,轨道宽 ,一导体棒长也 为 ,质量 ,电阻 ,它与导轨接触良好。当开关与a接通时,电源可提供恒定的 电流, 电流方向可根据需要进行改变,开关与b接通时,电阻 ,若开关的切换与电流的换向均可在瞬间 完成,求: ①当棒中电流由M流向N时,棒的加速度的大小和方向是怎样的; ②当开关始终接a,要想在最短时间内使棒向左移动 而静止,则棒的最大速度是多少; ③要想棒在最短时间内向左移动 而静止,则棒中产生的焦耳热是多少。 【答案】① ,方向向右;② ;③ 【详解】①当电流从M流向N时,由左手定则可判断安培力向右,故加速度方向向右。根据牛顿第二定律有 代入数据可得 ②开关始终接a时,电流N到M,经过时间 后电流变为M到N,再经时间 速度减为零,前 s,则有 后 s,则有 根据 联立解得 ③先接a一段时间 ,电流由N到M,再接到b端一段时间 ,再接到a端一段时间 ,电流由M到N, 最后接到b静止 第一段,则有 第二段,则有由动量定理 且 则有 第二段末的加速度与第三段相同,则第三段,又 解得 v'=1m/s 故 15.(2022·辽宁·高考真题)如图所示,两平行光滑长直金属导轨水平放置,间距为L。 区域有匀强 磁场,磁感应强度大小为B,方向竖直向上。初始时刻,磁场外的细金属杆M以初速度 向右运动,磁场 内的细金属杆N处于静止状态。两金属杆与导轨接触良好且运动过程中始终与导轨垂直。两杆的质量均为 m,在导轨间的电阻均为R,感应电流产生的磁场及导轨的电阻忽略不计。 (1)求M刚进入磁场时受到的安培力F的大小和方向; (2)若两杆在磁场内未相撞且N出磁场时的速度为 ,求:①N在磁场内运动过程中通过回路的电荷量 q;②初始时刻N到 的最小距离x; (3)初始时刻,若N到 的距离与第(2)问初始时刻的相同、到 的距离为 ,求M出磁场后 不与N相撞条件下k的取值范围。 【答案】(1) ,方向水平向左;(2)① ,② ;(3) 【详解】(1)细金属杆M以初速度 向右刚进入磁场时,产生的动生电动势为 电流方向为 ,电流的大小为 则所受的安培力大小为 安培力的方向由左手定则可知水平向左; (2)①金属杆N在磁场内运动过程中,由动量定理有且 联立解得通过回路的电荷量为 ②设两杆在磁场中相对靠近的位移为 ,有 整理可得 联立可得 若两杆在磁场内刚好相撞,N到 的最小距离为 (3)两杆出磁场后在平行光滑长直金属导轨上运动,若N到 的距离与第(2)问初始时刻的相同、到 的距离为 ,则N到cd边的速度大小恒为 ,根据动量守恒定律可知 解得N出磁场时,M的速度大小为 由题意可知,此时M到cd边的距离为 若要保证M出磁场后不与N相撞,则有两种临界情况: ①M减速出磁场,出磁场的速度刚好等于N的速度,一定不与N相撞,对M根据动量定理有 联立解得②M运动到cd边时,恰好减速到零,则对M由动量定理有 同理解得 综上所述,M出磁场后不与N相撞条件下k的取值范围为 16.(2022·浙江·统考高考真题)舰载机电磁弹射是现在航母最先进的弹射技术,我国在这一领域已达到 世界先进水平。某兴趣小组开展电磁弹射系统的设计研究,如图1所示,用于推动模型飞机的动子(图中 未画出)与线圈绝缘并固定,线圈带动动子,可在水平导轨上无摩擦滑动。线圈位于导轨间的辐向磁场中, 其所在处的磁感应强度大小均为B。开关S与1接通,恒流源与线圈连接,动子从静止开始推动飞机加速, 飞机达到起飞速度时与动子脱离;此时S掷向2接通定值电阻R,同时施加回撤力F,在F和磁场力作用 0 下,动子恰好返回初始位置停下。若动子从静止开始至返回过程的v-t图如图2所示,在t 至t 时间内 1 3 F=(800-10v)N,t 时撤去F。已知起飞速度v=80m/s,t=1.5s,线圈匝数n=100匝,每匝周长l=1m,飞机 3 1 1 的质量M=10kg,动子和线圈的总质量m=5kg,R=9.5Ω,B=0.1T,不计空气阻力和飞机起飞对动子运动速 0 度的影响,求 (1)恒流源的电流I; (2)线圈电阻R; (3)时刻t。 3 【答案】(1)80A;(2) ;(3) 【详解】(1)由题意可知接通恒流源时安培力 动子和线圈在0~t 时间段内做匀加速直线运动,运动的加速度为 1 根据牛顿第二定律有代入数据联立解得 (2)当S掷向2接通定值电阻R 时,感应电流为 0 此时安培力为 所以此时根据牛顿第二定律有 由图可知在 至 期间加速度恒定,则有 解得 , (3)根据图像可知 故 ;在0~t 时间段内的位移 2 而根据法拉第电磁感应定律有 电荷量的定义式 可得 从t 时刻到最后返回初始位置停下的时间段内通过回路的电荷量,根据动量定理有 3 联立可得解得 17.(2022·浙江·统考高考真题)如图所示,水平固定一半径r=0.2m的金属圆环,长均为r,电阻均为R 0 的两金属棒沿直径放置,其中一端与圆环接触良好,另一端固定在过圆心的导电竖直转轴OO′上,并随轴 以角速度 =600rad/s匀速转动,圆环内左半圆均存在磁感应强度大小为B 的匀强磁场。圆环边缘、与转 1 轴良好接触的电刷分别与间距l 的水平放置的平行金属轨道相连,轨道间接有电容C=0.09F的电容器,通 1 过单刀双掷开关S可分别与接线柱1、2相连。电容器左侧宽度也为l、长度为l、磁感应强度大小为B 的 1 2 2 匀强磁场区域。在磁场区域内靠近左侧边缘处垂直轨道放置金属棒ab,磁场区域外有间距也为l 的绝缘轨 1 道与金属轨道平滑连接,在绝缘轨道的水平段上放置“[”形金属框fcde。棒ab长度和“[”形框的宽度 也均为l、质量均为m=0.01kg,de与cf长度均为l=0.08m,已知l=0.25m,l=0.068m,B=B=1T、方向均 1 3 1 2 1 2 为竖直向上;棒ab和“[”形框的cd边的电阻均为R=0.1 ,除已给电阻外其他电阻不计,轨道均光滑, 棒ab与轨道接触良好且运动过程中始终与轨道垂直。开始时开关S和接线柱1接通,待电容器充电完毕后, 将S从1拨到2,电容器放电,棒ab被弹出磁场后与“[”形框粘在一起形成闭合框abcd,此时将S与2 断开,已知框abcd在倾斜轨道上重心上升0.2m后返回进入磁场。 (1)求电容器充电完毕后所带的电荷量Q,哪个极板(M或N)带正电? (2)求电容器释放的电荷量 ; (3)求框abcd进入磁场后,ab边与磁场区域左边界的最大距离x。 【答案】(1)0.54C;M板;(2)0.16C;(3)0.14m 【详解】(1)开关S和接线柱1接通,电容器充电充电过程,对绕转轴OO′转动的棒由右手定则可知其动 生电源的电流沿径向向外,即边缘为电源正极,圆心为负极,则M板充正电; 根据法拉第电磁感应定律可知 则电容器的电量为 (2)电容器放电过程有 棒ab被弹出磁场后与“[”形框粘在一起的过程有棒的上滑过程有 联立解得 (3)设导体框在磁场中减速滑行的总路程为 ,由动量定理 可得 匀速运动距离为 则 18.(2021·海南·高考真题)如图,间距为l的光滑平行金属导轨,水平放置在方向竖直向下的匀强磁场中, 磁场的磁感应强度大小为B,导轨左端接有阻值为R的定值电阻,一质量为m的金属杆放在导轨上。金属 杆在水平外力作用下以速度v 向右做匀速直线运动,此时金属杆内自由电子沿杆定向移动的速率为u。设 0 0 金属杆内做定向移动的自由电子总量保持不变,金属杆始终与导轨垂直且接触良好,除了电阻R以外不计 其它电阻。 (1)求金属杆中的电流和水平外力的功率; (2)某时刻撤去外力,经过一段时间,自由电子沿金属杆定向移动的速率变为 ,求: (i)这段时间内电阻R上产生的焦耳热; (ii)这段时间内一直在金属杆内的自由电子沿杆定向移动的距离。 【答案】(1) , ;(2)(i) ,(ii) 【详解】(1)金属棒切割磁感线产生的感应电动势 E = Blv 0 则金属杆中的电流由题知,金属杆在水平外力作用下以速度v 向右做匀速直线运动则有 0 根据功率的计算公式有 (2)(i)设金属杆内单位体积的自由电子数为n,金属杆的横截面积为S,则金属杆在水平外力作用下以 速度v 向右做匀速直线运动时的电流由微观表示为 0 解得 当电子沿金属杆定向移动的速率变为 时,有 解得 v′ = 根据能量守恒定律有 解得 (ii)由(i)可知在这段时间内金属杆的速度由v 变到 ,设这段时间内一直在金属杆内的自由电子沿杆 0 定向移动的距离为d,规定水平向右为正方向,则根据动量定理有 由于 解得 19.(2021·湖北·统考高考真题)如图(a)所示,两根不计电阻、间距为L的足够长平行光滑金属导轨, 竖直固定在匀强磁场中,磁场方向垂直于导轨平面向里,磁感应强度大小为B。导轨上端串联非线性电子元件Z和阻值为R的电阻。元件Z的 图像如图(b)所示,当流过元件Z的电流大于或等于 时,电 压稳定为U 。质量为m、不计电阻的金属棒可沿导轨运动,运动中金属棒始终水平且与导轨保持良好接触。 m 忽略空气阻力及回路中的电流对原磁场的影响,重力加速度大小为g。为了方便计算,取 , 。以下计算结果只能选用m、g、B、L、R表示。 (1)闭合开关S。,由静止释放金属棒,求金属棒下落的最大速度v; 1 (2)断开开关S,由静止释放金属棒,求金属棒下落的最大速度v; 2 (3)先闭合开关S,由静止释放金属棒,金属棒达到最大速度后,再断开开关S。忽略回路中电流突变的 时间,求S断开瞬间金属棒的加速度大小a。 【答案】(1) ;(2) ;(3) 【分析】[关键能力]本题考 查法拉第电磁感应定律、闭合电路欧姆定律等知识,意在考查考生综合电磁学 知识以及力学规律处理问题的能力。 [压轴题透析] 3第(1)问通过对金属棒的受力分析以及运动分析,求出当金属棒的加速度为零时的最大速 度;第(2)问首先应分析比较第(1)问中的电流与图(b)中Z元件的电压达到最大时的电流大小关系, 然后通过定值电阻表示出回路中的最大电流,进而求出金属棒的最大速度;第(3)问的关键在于求出开 关断开瞬间回路中的电流,得出导体棒所受的安培力大小,再根据牛顿第二定律求出金属棒的加速度。 【详解】(1)闭合开关S,金属棒下落的过程中受竖直向下的重力、竖直向上的安培力作用,当重力与安 培力大小相等时,金属棒的加速度为零,速度最大,则 由法拉第电磁感应定律得 由欧姆定律得解得 (2)由第(1)问得 由于 断开开关S后,当金属棒的速度达到最大时,元件Z两端的电压恒为 此时定值电阻两端的电压为 回路中的电流为 又由欧姆定律得 解得 (3)开关S闭合,当金属棒的速度最大时,金属棒产生的感应电动势为 断开开关S的瞬间,元件Z两端的电压为 则定值电阻两端的电压为 电路中的电流为 金属棒受到的安培力为 对金属棒由牛顿第二定律得 解得20.(2021·天津·高考真题)如图所示,两根足够长的平行光滑金属导轨 、 间距 ,其电阻不 计,两导轨及其构成的平面均与水平面成 角,N、Q两端接有 的电阻。一金属棒 垂直导轨 放置, 两端与导轨始终有良好接触,已知 的质量 ,电阻 ,整个装置处在垂直于导轨 平面向上的匀强磁场中,磁感应强度大小 。 在平行于导轨向上的拉力作用下,以初速度 沿导轨向上开始运动,可达到最大速度 。运动过程中拉力的功率恒定不变,重力加速度 。 (1)求拉力的功率P; (2) 开始运动后,经 速度达到 ,此过程中 克服安培力做功 ,求该过程 中 沿导轨的位移大小x。 【答案】(1) ;(2) 【详解】(1)在 运动过程中,由于拉力功率恒定, 做加速度逐渐减小的加速运动,速度达到最大时, 加速度为零,设此时拉力的大小为F,安培力大小为 ,有 设此时回路中的感应电动势为E,由法拉第电磁感应定律,有 设回路中的感应电流为I,由闭合电路欧姆定律,有 受到的安培力 由功率表达式,有 联立上述各式,代入数据解得 (2) 从速度 到 的过程中,由动能定理,有代入数据解得 21.(2021·全国·高考真题)如图,一倾角为 的光滑固定斜面的顶端放有质量 的U型导体框, 导体框的电阻忽略不计;一电阻 的金属棒 的两端置于导体框上,与导体框构成矩形回路 ; 与斜面底边平行,长度 。初始时 与 相距 ,金属棒与导体框同时由静止开始下 滑,金属棒下滑距离 后进入一方向垂直于斜面的匀强磁场区域,磁场边界(图中虚线)与斜面底 边平行;金属棒在磁场中做匀速运动,直至离开磁场区域。当金属棒离开磁场的瞬间,导体框的 边正 好进入磁场,并在匀速运动一段距离后开始加速。已知金属棒与导体框之间始终接触良好,磁场的磁感应 强度大小 ,重力加速度大小取 。求: (1)金属棒在磁场中运动时所受安培力的大小; (2)金属棒的质量以及金属棒与导体框之间的动摩擦因数; (3)导体框匀速运动的距离。 【答案】(1) ;(2) , ;(3) 【分析】、 【详解】(1)根据题意可得金属棒和导体框在没有进入磁场时一起做匀加速直线运动,由动能定理可得 代入数据解得 金属棒在磁场中切割磁场产生感应电动势,由法拉第电磁感应定律可得 由闭合回路的欧姆定律可得 则导体棒刚进入磁场时受到的安培力为 (2)金属棒进入磁场以后因为瞬间受到安培力的作用,根据楞次定律可知金属棒的安培力沿斜面向上, 之后金属棒相对导体框向上运动,因此金属棒受到导体框给的沿斜面向下的滑动摩擦力,因匀速运动,可有 此时导体框向下做匀加速运动,根据牛顿第二定律可得 设磁场区域的宽度为x,则金属棒在磁场中运动的时间为 当金属棒刚好离开磁场区域时,则此时导体框的速度为 则导体框的位移 因此导体框和金属棒的相对位移为 由题意当金属棒离开磁场时金属框的上端EF刚好进入磁场,则有位移关系 金属框进入磁场时匀速运动,此时的电动势为 导体框受到向上的安培力和滑动摩擦力,因此可得 联立以上可得 (3)金属棒出磁场以后,速度小于导体框的速度,因此受到向下的摩擦力,做加速运动,则有 金属棒向下加速,导体框匀速,当共速时导体框不再匀速,则有 导体框匀速运动的距离为 代入数据解得22.(2021·浙江·统考高考真题)嫦娥五号成功实现月球着陆和返回,鼓舞人心。小明知道月球上没有空 气,无法靠降落伞减速降落,于是设计了一种新型着陆装置。如图所示,该装置由船舱、间距为l的平行 导轨、产生垂直船舱导轨平面的磁感应强度大小为B的匀强磁场的磁体和“∧”型刚性线框组成,“∧” 型线框ab边可沿导轨滑动并接触良好。船舱、导轨和磁体固定在一起,总质量为m 整个装置竖直着陆到 1 月球表面前瞬间的速度大小为v,接触月球表面后线框速度立即变为零。经过减速,在导轨下方缓冲弹簧 0 接触月球表面前船舱已可视为匀速。已知船舱电阻为3r,“∧”型线框的质量为m,其7条边的边长均为 2 l,电阻均为r;月球表面的重力加速度为g/6。整个运动过程中只有ab边在磁场中,线框与月球表面绝缘, 不计导轨电阻和摩擦阻力。 (1)求着陆装置接触到月球表面后瞬间线框ab边产生的电动势E; (2)通过画等效电路图,求着陆装置接触到月球表面后瞬间流过ab型线框的电流I; 0 (3)求船舱匀速运动时的速度大小v; (4)同桌小张认为在磁场上方、两导轨之间连接一个电容为C的电容器,在着陆减速过程中还可以回收部分 能量,在其他条件均不变的情况下,求船舱匀速运动时的速度大小 和此时电容器所带电荷量q。 【答案】(1)Blv;(2) ;(3) ;(4) , 0 【详解】(1)导体切割磁感线,电动势 (2)等效电路图如图并联总电阻 电流 (3)匀速运动时线框受到安培力 根据牛顿第三定律,质量为m 的部分受力F=F,方向竖直向上,匀速条件 1 A 得 (4)匀速运动时电容器不充放电,满足 电容器两端电压为 电荷量为