当前位置:首页>文档>高一下学期期中地理试题(解析版)_E015高中全科试卷_地理试题_必修2_3.期中试卷_高一下学期期中地理试题07

高一下学期期中地理试题(解析版)_E015高中全科试卷_地理试题_必修2_3.期中试卷_高一下学期期中地理试题07

  • 2026-03-19 17:29:10 2026-02-16 13:53:05

文档预览

高一下学期期中地理试题(解析版)_E015高中全科试卷_地理试题_必修2_3.期中试卷_高一下学期期中地理试题07
高一下学期期中地理试题(解析版)_E015高中全科试卷_地理试题_必修2_3.期中试卷_高一下学期期中地理试题07
高一下学期期中地理试题(解析版)_E015高中全科试卷_地理试题_必修2_3.期中试卷_高一下学期期中地理试题07
高一下学期期中地理试题(解析版)_E015高中全科试卷_地理试题_必修2_3.期中试卷_高一下学期期中地理试题07
高一下学期期中地理试题(解析版)_E015高中全科试卷_地理试题_必修2_3.期中试卷_高一下学期期中地理试题07
高一下学期期中地理试题(解析版)_E015高中全科试卷_地理试题_必修2_3.期中试卷_高一下学期期中地理试题07
高一下学期期中地理试题(解析版)_E015高中全科试卷_地理试题_必修2_3.期中试卷_高一下学期期中地理试题07
高一下学期期中地理试题(解析版)_E015高中全科试卷_地理试题_必修2_3.期中试卷_高一下学期期中地理试题07
高一下学期期中地理试题(解析版)_E015高中全科试卷_地理试题_必修2_3.期中试卷_高一下学期期中地理试题07
高一下学期期中地理试题(解析版)_E015高中全科试卷_地理试题_必修2_3.期中试卷_高一下学期期中地理试题07
高一下学期期中地理试题(解析版)_E015高中全科试卷_地理试题_必修2_3.期中试卷_高一下学期期中地理试题07
高一下学期期中地理试题(解析版)_E015高中全科试卷_地理试题_必修2_3.期中试卷_高一下学期期中地理试题07
高一下学期期中地理试题(解析版)_E015高中全科试卷_地理试题_必修2_3.期中试卷_高一下学期期中地理试题07

文档信息

文档格式
doc
文档大小
0.792 MB
文档页数
13 页
上传时间
2026-02-16 13:53:05

文档内容

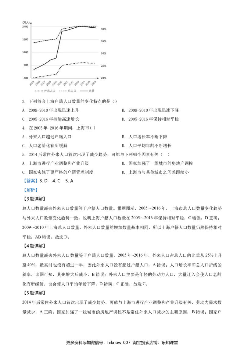
高一年级期中考试地理试题 一、选择题(共25题,每题2分) 下图为“浙江宁波市某区域地形剖面和人口分布相对数变化曲线图”,读图完成下面小题。 1. 据图分析,影响①②③④四个区域人口分布的主要自然因素是 ( ) A. 地形 B. 气候 C. 河流 D. 土壤 2. 该区域人口分布最密集的区域最可能在 ( ) A. ① B. ② C. ③ D. ④ 【答案】1. A 2. D 【解析】 【1题详解】 读浙江宁波市某区域地形剖面和人口分布相对数变化曲线图可知,当地海拔高的地区,人口分布相对数较 低,海拔低的地区,人口分布相对数较高,因此该图反映了地形是影响①、②、③、④四个区域人口分布 的主要自然因素,A符合题意。图中信息不能反映气候、河流、土壤是影响当地人口分布的主要自然因素, 排除B、C、D。故选A。 【2题详解】 读浙江宁波市某区域地形剖面和人口分布相对数变化曲线图可知,图中①区域人口分布相对数低于 1,② 区域人口分布相对数大致为1,③区域人口分布相对数变化大,大约平均为3,④区域人口分布相对数量大 于4,该区域地势低平,临近河流,水源丰富,因此该区域人口分布最密集的区域最可能在④,D符合题 意,排除A、B、C。故选D。 一个城市的总人口由常住户籍人口和常住外来人口组成,下图是上海市2005-2016年总人口、外来人 口和外来人口占总人口的比重变化图。 读图回答下面小题。 更多资料添加微信号:hiknow_007 淘宝搜索店铺:乐知课堂3. 下列符合上海户籍人口数量的变化特点的是() A. 2009-2010年出现迅速上升 B. 2009-2010年出现迅速下降 C. 2005-2016年持续高速增长 D. 2005-2016年保持相对平稳 4. 在2005年-2016年期间,上海市( ) A. 外来人口超过户籍人口 B. 人口增长率不断下降 C. 人口老龄化有所缓解 D. 人口平均年龄不断增长 5. 2014后常住外来人口首次出现了减少趋势,可能与下列哪个因素有关( ) A. 上海市进行产业调整和产业升级 B. 国家加强了一线城市的房地产调控 C. 国家实施了更严格的户籍管理制度 D. 上海市与其他城市之间差距缩小 【答案】3. D 4. C 5. A 【解析】 【3题详解】 总人口数量减去外来人口数量等于户籍人口数量。根据图示,2005~2016年,上海市总人口数量变化趋势 与外来人口数量变化趋势一致,说明上海户籍人口数量在2005~2016年保持相对平稳,C错误,D正确; 2009~2010年上海总人口数量、外来人口数量的增加数量基本相同,所以上海户籍人口数量仍然保持相对 平稳,AB错误,故选D。 【4题详解】 总人口数量减去外来人口数量等于户籍人口数量,2005年~2016年,外来人口占总人口的比重从25%上升 至40%,最高时也没有超过一半,因此外来人口没有超过户籍人口,A错误;人口增长率即总人口折线的 斜率,读图可知,其先增大后减小,B错误;外来人口主要是年轻的劳动力人口,大量迁入会使人口老龄 化有所缓解,也会使人口平均年龄下降,D错误,C正确,故选C。 【5题详解】 2014年后常住外来人口首次出现了减少趋势,可能与上海市进行产业调整和产业升级有关,劳动力需求数 量减少,A正确;国家加强了一线城市的房地产调控不是常住外来人口减少的主要原因,B错误;国家户 更多资料添加微信号:hiknow_007 淘宝搜索店铺:乐知课堂籍管理制度趋于宽松,C错误;上海市与其他城市之间的差距在扩大,D错误,故选A。 下图为我国南方地区某行政村不同年份常住人口年龄结构示意图,其中X、Y、Z分别表示0~14岁、 15~59岁、60岁及以上三个年龄组。甲、乙、丙分别为该村落1980年、2000年、2017年常住人口的年龄 结构。 据此完成下列各题。 6. 与甲相比,该行政村乙年龄结构形成的主要原因是( ) A. 出生率上升 B. 死亡率下降 C. 国家实行计划生育政策 D. 社会经济的发展 7. 导致该行政村年龄结构由乙向丙演变的主导因素是( ) A. 经济因素 B. 气候因素 C. 社会变革 D. 交通和通信 8. 2016年该行政村的小学被撤并,其主要原因可能是( ) A. 该村落生育率低,学生少 B. 学生辍学严重 C. 全部进城求学 D. 师资短缺严重 【答案】6. C 7. A 8. A 【解析】 【6题详解】 从材料中和图中得出,甲、乙分别为该村落1980年、2000年常住人口的年龄结构。前后人口对比,0~14 岁出生人口明显减少,说明出生率明显下降,造成出生率下降主要原因是当时国家实行计划生育政策,C 对。出生率是由下降的,A错;死亡率下降从材料和图无法得出,B错;社会经济的发展不是其人口变化的 主要原因,D错。故本题选择C。 【7题详解】 从材料中和图中得出,乙、丙分别为该村落2000年、2017年常住人口 的年龄结构。前后人口对比,得出 15~59岁青壮年人口大量减少,其他年龄结构的人也有相应减少。推断得出是由于外出务工造成的人口迁 移。由于地区经济发展不平衡,相对落后的地区的人口大量迁往发达地区,目的是为了寻找更多的就业机 会,故主导因素是经济因素。气候因素、社会变革和交通和通信无法从材料中推断出。排除 BCD,故本题 更多资料添加微信号:hiknow_007 淘宝搜索店铺:乐知课堂选择A。 【8题详解】 2016年该行政村的小学被撤并,说明适龄的小学年龄人口变少,由于生育率的不断降低,学生越来越少, A对。学生辍学严重、全部进城求学和师资短缺严重从材料中无法推断出,且与常识不符。排除BCD,故本 题选择A。 下图为某年上海人口年龄结构示意图。读图完成下面小题。 9. 上海流入人口比例最大的年龄段是( ) A. 20~24岁 B. 25~29岁 C. 30~34岁 D. 35~39岁 10. 上海是我国人口老龄化程度下降最快的城市之一,主要原因是( ) A. 出生率大幅下降 B. 死亡率迅速上升 C. 大量年轻劳力流入 D. 大量老龄人口迁出 11. 目前上海市流动人口正处在( ) A. 劳动力个体流动阶段 B. 老人跟着孩子流动阶段 C. 夫妻带着孩子流动阶段 D. 农村流动人口回流阶段 【答案】9. A 10. C 11. C 【解析】 【9题详解】 读图可知,流入人口就是外来人口,图示外来人口数量最大的是20~24岁年龄段,所以上海流入人口比例 最大的年龄段是20~24岁年龄段,A正确。故选A。 【10题详解】 图示外来人口占比较大,且外来人口主要是年轻劳动人口,大量年轻劳动人口的流入,使上海人口老龄化 程度快速下降,C正确。故选C。 【11题详解】 图示外来人口构成中,劳动年龄人口和少儿人口都较多,老年人口较少,大量青壮年人口都育有子女,说 更多资料添加微信号:hiknow_007 淘宝搜索店铺:乐知课堂明大量青壮年人口流入使其孩子随父母一块流入上海,即处于夫妻带着孩子流动阶段,C正确。故选C。 。 读江苏省江阴市各种资源可承载规模上限示意图,完成下列问题 12. 江阴市的区域资源环境承载力最大可能为( ) A. 600万人 B. 200万人 C. 700万人 D. 400万人 13. 影响江阴市区域资源环境承载力的主要因素是( ) A. 水资源 B. 能源 C. 水环境 D. 大气环境 【答案】12. B 13. C 【解析】 【12题详解】 根据材料,水环境可承载的人口规模上限为300万人,小于水资源、能源和大气环境可承载的人口规模的 上限,根据木桶原理,江阴市的环境人口容量受水环境影响,要在 300万人以下;则 ACD都不符合题意, 答案选B。 【13题详解】 根据材料,影响区域资源环境承载力的主要因素为可承载人口规模最少的因素,图示选项中水环境可承载 的人口规模上限为300万人,小于水资源、大气环境、能源等可承载的人口规模的上限,因此影响江阴市 资源环境承载力的主要因素是水环境,答案选C。 【点睛】木桶原理指一只水桶能装多少水取决于它最短的那块木板,或称为短板效应。如中国西北地区的 水资源是决定其环境人口容量;图示地区的水环境决定其环境人口容量;要提高环境人口容量,就要针对 更多资料添加微信号:hiknow_007 淘宝搜索店铺:乐知课堂地区的短板资源提出对策,西北地区就要提高水资源利用率、跨流域调水等。 图1、图2分别为我国某地不同海拔、不同坡度的乡村聚落数量统计图。读图并结合所学知识,完成下面 小题。 14. 由图可知,下列描述符合该地乡村聚落数量空间分布特点的是( ) A. 在各海拔段中,海拔1250~1400米的区域聚落数量最少 B. 在各坡度段中,坡度<2°的区域聚落数量最多 C. 在各海拔段中,海拔1550~1700米的区域聚落数量最多 D. 在各坡度段中,坡度15°~20°的区域聚落数量最少 15. 该地最有可能位于我国( ) A. 黄土高原 B. 三江平原 C. 塔里木盆地 D. 江南丘陵 16. 该地大部分乡村内部的空间结构( ) A. 结构复杂 B. 功能分化明显 C. 土地利用以农业生产用地及住宅用地为主 D. 居住区统一规划 【答案】14. C 15. A 16. C 【解析】 【14题详解】 读图可知,对照不同海拔和不同坡度所对应的聚落数量的大小,可知在各海拔段中,海拔 1250-1400m的 区域聚落数量不是最少的,A错误;坡度大于20°的区域聚落数量最少,坡度10-15°的区域聚落数量最 多,BD错误;海拔1550-1700m的区域聚落数量最多,C正确。故选C。 【15题详解】 根据该地聚落空间分布都是在1250m以上的地区,说明位于高原上,所以最有可能位于我国黄土高原,A 正确;三江平原与江南丘陵海拔较低,BD错误;塔里木盆地的聚落主要分布在坡度很小的盆地边缘山麓 绿洲地带,C错误,故选A。 【16题详解】 黄土高原地区经济欠发达,乡村内部空间结构相对简单,乡村土地利用以耕地、园地、林地、草地等生产 用地及住宅用地为主,功能分区较为简单。相对发达地区庭院正由过去的分散居住转变为统一规划的居住 更多资料添加微信号:hiknow_007 淘宝搜索店铺:乐知课堂区。所以选C。 下面两图分别为某城市三个不同区域的土地利用结构示意图和城市功能区付租能力示意图。读图,完成下 列各题。 17. 表示住宅区土地利用状况的是( ) A. 甲 B. 乙 C. 丙 D. 丁 18. 右图中能正确表示乙功能区理论付租能力的是( ) A. ① B. ② C. ③ D. ④ 【答案】17. C 18. A 【解析】 【17题详解】 读图可知,乙地靠近市中心且所占比重最大,为商业用地;丁地靠近城市边缘且所占比重最大,为工业用 地;而丙地处于市中心和城市边缘的中间地带且所占比重最大,可知为住宅用地,这样既方便购物又方便 工人上下班,故C正确。 【18题详解】 乙功能区为商业区,其在市中心及其附近的付租能力最强,故A正确。 读欧洲西部某沿海城镇功能分布图,图中的海防堤是为应对海平面上升1 m而设计的。据此完成下面小题。 更多资料添加微信号:hiknow_007 淘宝搜索店铺:乐知课堂19. 从服务功能、环境保护等角度考虑,图中①②③功能分区最合理的布局是( ) A. ①住宅区 ②工业区 ③商业区 B. ①工业区 ②住宅区 ③商业区 C. ①商业区 ②住宅区 ③工业区 D. ①住宅区 ②商业区 ③工业区 20. 随着城市功能区的分化,高级住宅区最可能出现在( ) A. 城市西南部 B. 城市东南部 C. 城市东北部 D. 城市西北部 21. 有关城市功能区的叙述,正确的是( ) A. 城市各功能区是在人口规模不断扩大的情况下出现的 B. 城市功能区是城市不同土地利用类型不断集中的体现 C. 城市功能区中,工业区的用地面积比例是最大的 D. 城市的商业区只形成于城市中心位置 【答案】19. C 20. A 21. B 【解析】 【19题详解】 根据城市各功能区分布特点进行判断,功能区①位于城市中心,应该是商业区;功能区②分布于商业区外 围,且面积大,应该是住宅区;功能区③位于城市边缘,应该是工业区。C正确。故选C。 【20题详解】 高级住宅区要求环境条件优越,交通便利。该城市为欧洲西部沿海城市,西南部临海,位于上风向地带, 有公园,因此最可能形成高级住宅区,A正确。故选A。 【21题详解】 随着城市功能增多,规模扩大,各类功能用地日趋分化,从而形成较为明显的功能区,A错误。在各功能 区中,住宅区的面积比例是最大的,C错误。城市中心区往往形成商业区,但并不是所有的商业区只形成 于城市中心区,D错误。城市功能区是城市不同土地利用类型不断集中的体现,B正确。故选B。 下图中曲线①②③表示某发达国家大城市人口密度、地租水平和气温 的变化示意图,纵坐标的箭头方向表 示数值越来越大,读图完成下列小题。 更多资料添加微信号:hiknow_007 淘宝搜索店铺:乐知课堂22. 图中表示该城市人口密度、地租水平和气温变化的分别是() A. ①②③ B. ③①② C. ③②① D. ①③② 23. 下列关于三条曲线变化的叙述,正确的是( ) A. ①曲线的起伏主要是由工业的分布引起的 B. ②曲线的起伏是逆城市化的结果 C. ③曲线的起伏主要是由交通通达性决定的 D. ①②③曲线的起伏是城市化的必然产物 【答案】22. C 23. D 【解析】 【22题详解】 受城市热岛效应影响,城市气温由市中心向郊区递减,则①表示气温变化曲线;受距市中心的远近和交通 通达度的决定,城市地租曲线最高峰出现在市中心,且在交通便利处形成地租次高峰,则②表示地租水平 曲线;城市人口密度最大处应位于住宅区,位于市中心的商业区和郊区的工业区之间,出现最高值,则③ 表示城市人口密度曲线,故表示该城市人口密度、地租水平和气温变化的分别是③②①,所以C正确。 【23题详解】 ①曲线的变化是表示气温变化,不是由人口密度影响的,A错误;②曲线表示地租水平,受距市中心的远 近和交通通达度的共同决定,起伏受交通通达度的影响,B错误;③曲线表示城市人口密度,其起伏主要 受城市功能区的布局影响,也就是地租水平的影响,C错误;①②③曲线的起伏是城市化的必然产物,D 正确。 在人口老龄化过程中,许多国家表现出农村人口老龄化程度高于城市的特点,即“城乡倒置”现象。读图 回答下列问题。 24. 造成我国人口老龄化“城乡倒置”现象的原因是() A. 农村地区出生率低 B. 城市地区医疗卫生条件好 C. 出现逆城市化 D. 城市化过程的推进 更多资料添加微信号:hiknow_007 淘宝搜索店铺:乐知课堂25. 2016年1月1日起我国开始全面实施一对夫妇可以生育两个孩子的政策,以此积极开展应对人口老龄 化行动。至2025年前,实施该政策的影响可能有() A. 减少老龄人口数量 B. 减轻家庭及社会的养老负担 C. 影响劳动人口的职业构成 D. 改变我国人口增长模式 【答案】24. D 25. C 【解析】 【24题详解】 农村和城市的经济发展存在不均衡性,城市与农村相比拥有更多的就业机会,很多农村劳动力到大城市谋 生,从而出现了“留守儿童”和“留守老人”,使农村老年人口占农村总人口的比例大于城市老年占总人 口的比例的现象,即老龄化城乡倒置问题,导致城乡倒置原因是城市化过程的推进,故选D。 【25题详解】 全面实施一对夫妇可以生育两个孩子,对老年人口数量没有影响,A错;不会减轻社会养老负担,B错; 由于少年儿童人口增多,与育儿有关的职业就业人数增多,影响劳动人口职业构成,C对;对于我国的人 口增长模式不会有太大影响,仍然为现代型增长模式,D错,故选C。 二、综合题 。 26. 阅读材料,完成下列问题 材料一 新中国成立后,北京成为全国政治中心。20世纪50~70年代的发展,北京从一个消费城市 变成一个工业化城市。改革开放后,北京的产业结构发生了很大的变化。目前,北京已被确定为全国的 “政治中心、文化教育中心、国际交往中心和宜居城市”。 材料二 北京城市空间变化图(图甲)和北京人口数量变化图(图乙)。 更多资料添加微信号:hiknow_007 淘宝搜索店铺:乐知课堂(1)依据图甲,分别说出第Ⅱ、Ⅲ阶段北京城市空间发展最快的方向。 (2)说出图甲、图乙中能直接反映出的北京城市化发展的主要特点。 (3)1949~1958年和1998~2008年是北京人口两个快速增长阶段,请任选其中一个阶段,简述人口快速增 长的主要原因。 (4)说出北京人口迅速增长对城市地理环境的不利影响。 【答案】(1)第Ⅱ阶段:向北(或西北)。第Ⅲ阶段:向东。 (2)城市用地规模不断扩大;城市人口数量增加。 (3)1949~1958年:政治中心的确立;医疗条件的改善;社会经济的发展;人口自然增长量大。1998~ 2008年:就业机会多,经济收入高,城市服务功能强(或医疗条件好,教育水平高),吸引大量人口迁入。 (4)住房紧张;交通拥挤;就业困难;环境污染加剧等。 【解析】 【分析】 本题主要通过北京城市的发展考查城市化的含义、表现以及城市化对地理环境的影响;掌握其含义是解题 的关键,城市化是指农业人口转化为非农业人口,农村地区转化为城市地区,农业活动转化为非农业活动 的过程。表现为城市人口增加、城市人口在总人口中的比重上升和城市数量增加及城市用地规模扩大。 【详解】(1)主要考察学生对地图的观察、分析能力。通过图例,对比第Ⅰ、Ⅱ、Ⅲ阶段的城市空间分布 即可得出答案。根据图中的图例分析:北京城市空间发展最快的方向为第Ⅱ阶段:向北(西北),第Ⅲ阶 段:向东。 (2)本题主要考察城市化的表现。即城市规模扩大、城市人口增多、城市人口占总人口比重增大。通过 甲图北京市城市空间变化图可得出城市用地规模不断扩大的结论,通过图乙北京人口数量变化图可得出城 市人口数量增加的结论。图中反映北京城市用地规模不断扩大、城市人口数量增加。 (3)本题需结合我国历史发展状况作答。1949年新中国成立,北京 的政治中心被确立,内战结束,国内 社会经济稳定发展,医疗卫生事业的进步导致人口自然增长率高,人口增长快。1998年~2008年,我国改 革开放已经历十年,国家已经确立市场经济体制,使北京经济迅速发展,就业机会多,经济收入高,并且 更多资料添加微信号:hiknow_007 淘宝搜索店铺:乐知课堂北京的教育水平高,医疗条件好,从而吸引了大量外来人员迁入。 (4)本题主要考查城市发展对地理环境的影响。城市化对地理环境的不利影响主要从资源、环境、社会 三个方面进行描述。主要表现为淡水资源短缺、环境污染严重,交通拥挤,住房紧张等。 【点睛】城市化是经济发展的必然结果,城市化发展应该和经济发展水平相适应。如果城市化的发展与经 济发展水平不相适应,将出现严重的生态和社会问题。本题目主要考察学生的图文转换能力,对知识点迁 移和运用能力。要求学生能够对教材的基本知识点(城市化的概念、含义、表现、以及影响)熟记于心并 且结合具体题目的历史背景答题。 更多资料添加微信号:hiknow_007 淘宝搜索店铺:乐知课堂更多资料添加微信号:hiknow_007 淘宝搜索店铺:乐知课堂