当前位置:首页>文档>高中地理人教版(2019)必修一同步课时作业:第二章地球上的大气第一节大气的组成和垂直分层_E015高中全科试卷_地理试题_必修1_2.同步练习_同步练习(第三套)

高中地理人教版(2019)必修一同步课时作业:第二章地球上的大气第一节大气的组成和垂直分层_E015高中全科试卷_地理试题_必修1_2.同步练习_同步练习(第三套)

  • 2026-03-22 03:49:32 2026-02-16 15:41:25

文档预览

高中地理人教版(2019)必修一同步课时作业:第二章地球上的大气第一节大气的组成和垂直分层_E015高中全科试卷_地理试题_必修1_2.同步练习_同步练习(第三套)
高中地理人教版(2019)必修一同步课时作业:第二章地球上的大气第一节大气的组成和垂直分层_E015高中全科试卷_地理试题_必修1_2.同步练习_同步练习(第三套)
高中地理人教版(2019)必修一同步课时作业:第二章地球上的大气第一节大气的组成和垂直分层_E015高中全科试卷_地理试题_必修1_2.同步练习_同步练习(第三套)
高中地理人教版(2019)必修一同步课时作业:第二章地球上的大气第一节大气的组成和垂直分层_E015高中全科试卷_地理试题_必修1_2.同步练习_同步练习(第三套)
高中地理人教版(2019)必修一同步课时作业:第二章地球上的大气第一节大气的组成和垂直分层_E015高中全科试卷_地理试题_必修1_2.同步练习_同步练习(第三套)
高中地理人教版(2019)必修一同步课时作业:第二章地球上的大气第一节大气的组成和垂直分层_E015高中全科试卷_地理试题_必修1_2.同步练习_同步练习(第三套)
高中地理人教版(2019)必修一同步课时作业:第二章地球上的大气第一节大气的组成和垂直分层_E015高中全科试卷_地理试题_必修1_2.同步练习_同步练习(第三套)
高中地理人教版(2019)必修一同步课时作业:第二章地球上的大气第一节大气的组成和垂直分层_E015高中全科试卷_地理试题_必修1_2.同步练习_同步练习(第三套)
高中地理人教版(2019)必修一同步课时作业:第二章地球上的大气第一节大气的组成和垂直分层_E015高中全科试卷_地理试题_必修1_2.同步练习_同步练习(第三套)
高中地理人教版(2019)必修一同步课时作业:第二章地球上的大气第一节大气的组成和垂直分层_E015高中全科试卷_地理试题_必修1_2.同步练习_同步练习(第三套)
高中地理人教版(2019)必修一同步课时作业:第二章地球上的大气第一节大气的组成和垂直分层_E015高中全科试卷_地理试题_必修1_2.同步练习_同步练习(第三套)

文档信息

文档格式
doc
文档大小
0.101 MB
文档页数
11 页
上传时间
2026-02-16 15:41:25

文档内容

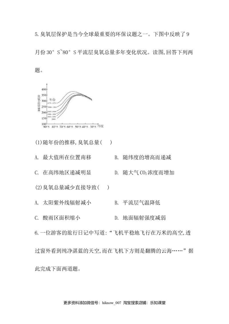
高一 地理 人教版(2019) 必修一 同步课时作业(5) 大气的组成和垂直分层 1.读大气垂直分层示意图,回答下面两道题。 (1)b层在30千米以上,气温随高度变化很大,其主要原因是( ) A.地面是该层大气的主要直接热源 B.对流强盛,输送热量多 C.臭氧吸收大量太阳紫外线 D.吸收大量地面辐射 (2)关于图中各层大气的叙述,正确的是( ) A.a层大气厚度随纬度增加而增厚 B.b层大气随高度增加温度逐渐降低 C.c层云雨天气现象不利于飞行 D.c层有电离层,对无线电通信有重要作用 更多资料添加微信号:hiknow_007 淘宝搜索店铺:乐知课堂2.读下图,回答下面两道题。 (1)从大气垂直分层看,图示大气层是( ) A.低纬度的对流层 B.中纬度的平流 层 C.高纬度的平流层 D.低纬度的平流 层 (2)该层大气( ) A.随高度增加,温度增幅变小 B.能够大量吸收紫外线长波辐射 C.以平流运动为主,有利于飞机高空飞行 D.受强烈的太阳辐射而呈电离状态 3.下图是大气垂直分层示意图。读图,完成下面两道题。 更多资料添加微信号:hiknow_007 淘宝搜索店铺:乐知课堂(1)人类排放的氟氯烃,对大气层中哪层影响最大( ) A.A层 B.B层 C.C层 D.D层 (2)“蓝蓝的天上白云飘”歌词中的蓝天白云发生在( ) A.A层 B.B层 C.C层 D.D层 4.下图为探空气球示意图。读图,回答下面两道题。 (1)探空气球记录的随高度增加气温变化的规律可能是( ) A.一直递减 B.一直递增 C递增→递减→递增→递减 D.递减→递增→递减→递增 (2)探空气球探测到水汽集中的层次是( ) A.对流层 B.平流层 C.高层大气 D.电离层 更多资料添加微信号:hiknow_007 淘宝搜索店铺:乐知课堂5.臭氧层保护是当今全球最重要的环保议题之一。下图中反映了9 月份30°S~80°S平流层臭氧总量多年变化状况。读图,回答下列两 题。 (1)随年份的推移,臭氧总量( ) A. 最大值所在位置南移 B. 随纬度的增高而递减 C. 在高纬地区递减明显 D. 随大气CO 浓度而增加 2 (2)臭氧总量减少直接导致( ) A. 太阳紫外线辐射减小 B. 平流层气温降低 C. 酸雨区面积缩小 D. 地面辐射强度减弱 6.一位游客的旅行日记中写道:“飞机平稳地飞行在万米的高空,透 过窗外看到纯净湛蓝的天空,而在飞机下方则是翻腾的云海……”据 此完成下面两道题。 更多资料添加微信号:hiknow_007 淘宝搜索店铺:乐知课堂(1)该旅客乘坐的飞机此时所在的大气层,之所以适宜飞行是因为该 层大气( ) A.有若干电离层,方便通信 B.空气密度极低、近于真空 C.天气晴朗,大气的能见度高 D.气温上冷下热、气流平稳 (2)在飞机上看到的“翻腾的云海”所在的大气层的大气运动特点是 ( ) A.对流运动显著 B.水平运动显著 C.上升运动显著 D.下沉运动显著 7.下图是大气垂直分层高度、温度和气压变化图。读图,完成下面两 道题。 (1)下列关于图中内容的叙述正确的是( ) 更多资料添加微信号:hiknow_007 淘宝搜索店铺:乐知课堂A.大气垂直分层的依据是高度、温度和气压的变化 B.随高度增加气温渐高,气压渐低 C.距地面20千米处气压降为地面的一半 D.对流层垂直方向上温度变化范围大致是-60~20℃ (2)关于图中①②两层大气的叙述正确的是( ) A.①层大气厚度随纬度增加而增厚 B.②层因氧原子吸收紫外线而增温 C.大气中的污染物多集中于①层 D.②层复杂的天气现象不利于飞行 8.下图表示近地面空气若上升到3000米高度时,理论温度为T,高空 的实际温度为T 。当T ≥T时,近地面空气上升将受阻,即出现逆温 S S 现象。读“某城市春季气温日变化图”,完成下列问题。 更多资料添加微信号:hiknow_007 淘宝搜索店铺:乐知课堂(1).若T 稳定在-8℃,该城市气温至少上升到__________℃以上时, S 逆温现象才会结束,这时的时间约为__________时。 (2).一般逆温结束后2小时,近地面对流才能起到“净化”空气的 作用。所以,在图示的情况下,仅考虑空气洁净的因素,上午体育锻炼 的时间宜选在__________时以后。 答案以及解析 1.答案:(1)C;(2)D 解析:(1)b层为平流层,含有臭氧,能吸收大量太阳紫外线,所以 该层气温随高度的增加而升高。选C。 (2)a层大气厚度随纬度增加而变薄,A错。b层大气的温度随高度增 加而增加, B错。c层为高层大气,无云雨等天气现象,C错。c层 有电离层,可反射无线电波,对无线电通信有重要作用,D正确。 2.答案:(1)B;(2)C 更多资料添加微信号:hiknow_007 淘宝搜索店铺:乐知课堂解析:(1)图示大气层从12千米高空向上气温逐渐降低,图示大气层 是中纬度的平流层,B正确。选B。 (2)该层大气以水平运动为主,有利于飞机高空飞行,C正确。 3.答案:(1)B;(2)A 解析:(1)人类排放的氟氯烃,对大气层中影响最大的是臭氧,臭氧 浓度最高的部分分布在22~27千米处的平流层中,符合的是B层。 选B。 (2)风、云、雨、雾、雪等天气现象都发生在对流层,符合的是A。 4.答案:(1)D;(2)A 解析:(1)从图中看到,该气球所在高度为100千米左右,位于高层 大气,所以该气球飞越了对流层、平流层和高层大气,气温变化符 合D项。 (2)大气总质量的四分之三集中在对流层,对流层以上云雨绝迹,故 几乎所有的水汽和固体杂质都集中在对流层。选A。 5.答案:(1)C;(2)B 更多资料添加微信号:hiknow_007 淘宝搜索店铺:乐知课堂解析:(1)由图中信息可知,臭氧含量是由50°S~60°S向两侧递减; 最大值所在位置北移;在高纬地区递减明显;臭氧总量与大气CO 浓度 2 无关。 (2)臭氧减少,到达地面紫外线增加,地面辐射加强,与酸雨的形成没 有关系,因平流层的臭氧减少,平流层吸取太阳辐射的能量减少从而 导致平流层气温降低。 6.答案:(1)C;(2)A 解析:(1)读题目材料可知,飞机“平稳地飞行”的大气层是平流层, 平流层之所以适宜飞行是因为该层大气以平流运动为主,天气晴朗, 大气的能见度高,C对。电离层分布在高层大气,A错。空气密度极 低、近于真空是高层大气的特点,B错。气温上冷下热,空气对流 运动显著,D错。 (2)由在飞机上看到的“翻腾的云海”可知“翻腾的云海”所在的大 气层是对流层,该层的大气运动特点是对流运动显著,A对。平流 更多资料添加微信号:hiknow_007 淘宝搜索店铺:乐知课堂层大气以平流运动为主,气流水平运动显著,无云海,B错。对流 运动不是单独的上升运动显著或下沉运动显著,C、D错。 7.答案:(1)D;(2)C 解析:(1)大气垂直分层的依据是温度、密度等物理性质和大气运动 状况。随髙度增加气温并非都增高,距地面20千米处气压约为地面 的十分之一。A、B、C说法错误,D说法正确。选D。 (2)对流层厚度与纬度成负相关;平流层升温是因为臭氧吸收紫外线, 该层天气晴朗,以水平运动为主,有利于飞行。大气中的污染物多 集中于对流层,选C。 8.答案:(1).10; 8; (2).10 解析:(1).对流层高度每升高100m,气温降低0. 6°C„ 当T >T时, s 近地面空气上升受阻,出现逆溫现象,则逆溫结束的条件是Ts