当前位置:首页>文档>2013年高考数学试卷(理)(大纲版)(空白卷)_历年高考真题合集_数学历年高考真题_新·PDF版2008-2025·高考数学真题_数学(按试卷类型分类)2008-2025_全国卷·数学(2008-2025)

2013年高考数学试卷(理)(大纲版)(空白卷)_历年高考真题合集_数学历年高考真题_新·PDF版2008-2025·高考数学真题_数学(按试卷类型分类)2008-2025_全国卷·数学(2008-2025)

  • 2026-04-01 13:18:02 2026-01-26 07:36:10

文档预览

2013年高考数学试卷(理)(大纲版)(空白卷)_历年高考真题合集_数学历年高考真题_新·PDF版2008-2025·高考数学真题_数学(按试卷类型分类)2008-2025_全国卷·数学(2008-2025)
2013年高考数学试卷(理)(大纲版)(空白卷)_历年高考真题合集_数学历年高考真题_新·PDF版2008-2025·高考数学真题_数学(按试卷类型分类)2008-2025_全国卷·数学(2008-2025)
2013年高考数学试卷(理)(大纲版)(空白卷)_历年高考真题合集_数学历年高考真题_新·PDF版2008-2025·高考数学真题_数学(按试卷类型分类)2008-2025_全国卷·数学(2008-2025)
2013年高考数学试卷(理)(大纲版)(空白卷)_历年高考真题合集_数学历年高考真题_新·PDF版2008-2025·高考数学真题_数学(按试卷类型分类)2008-2025_全国卷·数学(2008-2025)
2013年高考数学试卷(理)(大纲版)(空白卷)_历年高考真题合集_数学历年高考真题_新·PDF版2008-2025·高考数学真题_数学(按试卷类型分类)2008-2025_全国卷·数学(2008-2025)
2013年高考数学试卷(理)(大纲版)(空白卷)_历年高考真题合集_数学历年高考真题_新·PDF版2008-2025·高考数学真题_数学(按试卷类型分类)2008-2025_全国卷·数学(2008-2025)
2013年高考数学试卷(理)(大纲版)(空白卷)_历年高考真题合集_数学历年高考真题_新·PDF版2008-2025·高考数学真题_数学(按试卷类型分类)2008-2025_全国卷·数学(2008-2025)
2013年高考数学试卷(理)(大纲版)(空白卷)_历年高考真题合集_数学历年高考真题_新·PDF版2008-2025·高考数学真题_数学(按试卷类型分类)2008-2025_全国卷·数学(2008-2025)

文档信息

文档格式
pdf
文档大小
0.135 MB
文档页数
4 页
上传时间
2026-01-26 07:36:10

文档内容

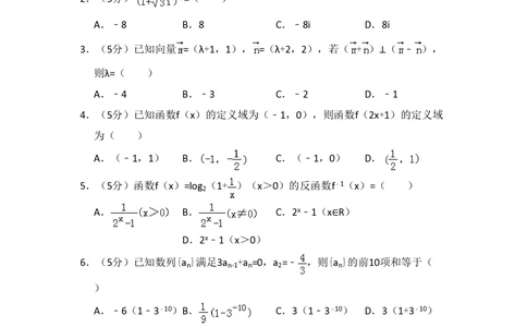
2013年全国统一高考数学试卷(理科)(大纲版) 一、选择题:本大题共12小题,每小题5分.在每小题给出的四个选项中,只有 一项是符合题目要求的. 1.(5分)设集合A={1,2,3},B={4,5},M={x|x=a+b,a∈A,b∈B},则M 中元素的个数为( ) A.3 B.4 C.5 D.6 2.(5分) =( ) A.﹣8 B.8 C.﹣8i D.8i 3.(5分)已知向量 =(λ+1,1), =(λ+2,2),若( + )⊥( ﹣ ), 则λ=( ) A.﹣4 B.﹣3 C.﹣2 D.﹣1 4.(5分)已知函数f(x)的定义域为(﹣1,0),则函数f(2x+1)的定义域 为( ) A.(﹣1,1) B. C.(﹣1,0) D. 5.(5分)函数f(x)=log (1+ )(x>0)的反函数f﹣1(x)=( ) 2 A. B. C.2x﹣1(x∈R) D.2x﹣1(x>0) 6.(5分)已知数列{a }满足3a +a =0,a =﹣ ,则{a }的前10项和等于( n n+1 n 2 n ) A.﹣6(1﹣3﹣10)B. C.3(1﹣3﹣10) D.3(1+3﹣10) 7.(5分)(1+x)3(1+y)4的展开式中x2y2的系数是( ) A.5 B.8 C.12 D.18 8.(5分)椭圆C: 的左、右顶点分别为A 、A ,点P在C上且直线PA 1 2 2 斜率的取值范围是[﹣2,﹣1],那么直线PA 斜率的取值范围是( ) 1 A. B. C. D. 第1页 | 共4页9.(5分)若函数f(x)=x2+ax+ 是增函数,则a的取值范围是( ) A.[﹣1,0] B.[﹣1,+∞) C.[0,3] D.[3,+∞) 10.(5分)已知正四棱柱ABCD﹣A B C D 中,AA =2AB,则CD与平面BDC 所成 1 1 1 1 1 1 角的正弦值等于( ) A. B. C. D. 11.(5分)已知抛物线C:y2=8x的焦点为F,点M(﹣2,2),过点F且斜率为 k的直线与C交于A,B两点,若 ,则k=( ) A. B. C. D.2 12.(5分)已知函数f(x)=cosxsin2x,下列结论中不正确的是( ) A.y=f(x)的图象关于(π,0)中心对称 B. C. D.f(x)既是奇函数,又是周期函数 二、填空题:本大题共4小题,每小题5分. 13.(5分)已知α是第三象限角,sinα=﹣ ,则cotα= . 14.(5分)6个人排成一行,其中甲、乙两人不相邻的不同排法共有 种.(用数字作答) 15.(5分)记不等式组 所表示的平面区域为D.若直线y=a(x+1)与 D有公共点,则a的取值范围是 . 16.(5分)已知圆O和圆K是球O的大圆和小圆,其公共弦长等于球O的半径, ,则球O的表面积等于 . 三、解答题:解答应写出文字说明、证明过程或演算步骤. 17.(10分)等差数列{a }的前n项和为S .已知S =a 2,且S ,S ,S 成等比数 n n 3 2 1 2 4 第2页 | 共4页列,求{a }的通项式. n 18.(12分)设△ABC的内角A,B,C的内角对边分别为a,b,c,满足(a+b+c )(a﹣b+c)=ac. (Ⅰ)求B. (Ⅱ)若sinAsinC= ,求C. 19.(12分)如图,四棱锥P﹣ABCD中,∠ABC=∠BAD=90°,BC=2AD,△PAB与 △PAD都是等边三角形. (Ⅰ)证明:PB⊥CD; (Ⅱ)求二面角A﹣PD﹣C的大小. 20.(12分)甲、乙、丙三人进行羽毛球练习赛,其中两人比赛,另一人当裁 判,每局比赛结束时,负的一方在下一局当裁判,设各局中双方获胜的概率 均为 ,各局比赛的结果都相互独立,第1局甲当裁判. (Ⅰ)求第4局甲当裁判的概率; (Ⅱ)X表示前4局中乙当裁判的次数,求X的数学期望. 第3页 | 共4页21.(12分)已知双曲线C: =1(a>0,b>0)的左、右焦点分别为F 1 ,F ,离心率为3,直线y=2与C的两个交点间的距离为 . 2 (I)求a,b; (II)设过F 的直线l与C的左、右两支分别相交于A、B两点,且|AF |=|BF |, 2 1 1 证明:|AF |、|AB|、|BF |成等比数列. 2 2 22.(12分)已知函数 . (I)若x≥0时,f(x)≤0,求λ的最小值; (II)设数列{a }的通项a =1+ . n n 第4页 | 共4页