当前位置:首页>文档>真题重组卷05(新七省专用)(解析版)_2024年3月_013月合集_2024年高考数学冲刺真题重组卷(新结构题型)

真题重组卷05(新七省专用)(解析版)_2024年3月_013月合集_2024年高考数学冲刺真题重组卷(新结构题型)

  • 2026-03-28 17:27:56 2026-02-18 03:10:17

文档预览

真题重组卷05(新七省专用)(解析版)_2024年3月_013月合集_2024年高考数学冲刺真题重组卷(新结构题型)
真题重组卷05(新七省专用)(解析版)_2024年3月_013月合集_2024年高考数学冲刺真题重组卷(新结构题型)
真题重组卷05(新七省专用)(解析版)_2024年3月_013月合集_2024年高考数学冲刺真题重组卷(新结构题型)
真题重组卷05(新七省专用)(解析版)_2024年3月_013月合集_2024年高考数学冲刺真题重组卷(新结构题型)
真题重组卷05(新七省专用)(解析版)_2024年3月_013月合集_2024年高考数学冲刺真题重组卷(新结构题型)
真题重组卷05(新七省专用)(解析版)_2024年3月_013月合集_2024年高考数学冲刺真题重组卷(新结构题型)
真题重组卷05(新七省专用)(解析版)_2024年3月_013月合集_2024年高考数学冲刺真题重组卷(新结构题型)
真题重组卷05(新七省专用)(解析版)_2024年3月_013月合集_2024年高考数学冲刺真题重组卷(新结构题型)
真题重组卷05(新七省专用)(解析版)_2024年3月_013月合集_2024年高考数学冲刺真题重组卷(新结构题型)
真题重组卷05(新七省专用)(解析版)_2024年3月_013月合集_2024年高考数学冲刺真题重组卷(新结构题型)
真题重组卷05(新七省专用)(解析版)_2024年3月_013月合集_2024年高考数学冲刺真题重组卷(新结构题型)
真题重组卷05(新七省专用)(解析版)_2024年3月_013月合集_2024年高考数学冲刺真题重组卷(新结构题型)
真题重组卷05(新七省专用)(解析版)_2024年3月_013月合集_2024年高考数学冲刺真题重组卷(新结构题型)
真题重组卷05(新七省专用)(解析版)_2024年3月_013月合集_2024年高考数学冲刺真题重组卷(新结构题型)
真题重组卷05(新七省专用)(解析版)_2024年3月_013月合集_2024年高考数学冲刺真题重组卷(新结构题型)
真题重组卷05(新七省专用)(解析版)_2024年3月_013月合集_2024年高考数学冲刺真题重组卷(新结构题型)
真题重组卷05(新七省专用)(解析版)_2024年3月_013月合集_2024年高考数学冲刺真题重组卷(新结构题型)
真题重组卷05(新七省专用)(解析版)_2024年3月_013月合集_2024年高考数学冲刺真题重组卷(新结构题型)

文档信息

文档格式
docx
文档大小
1.206 MB
文档页数
18 页
上传时间
2026-02-18 03:10:17

文档内容

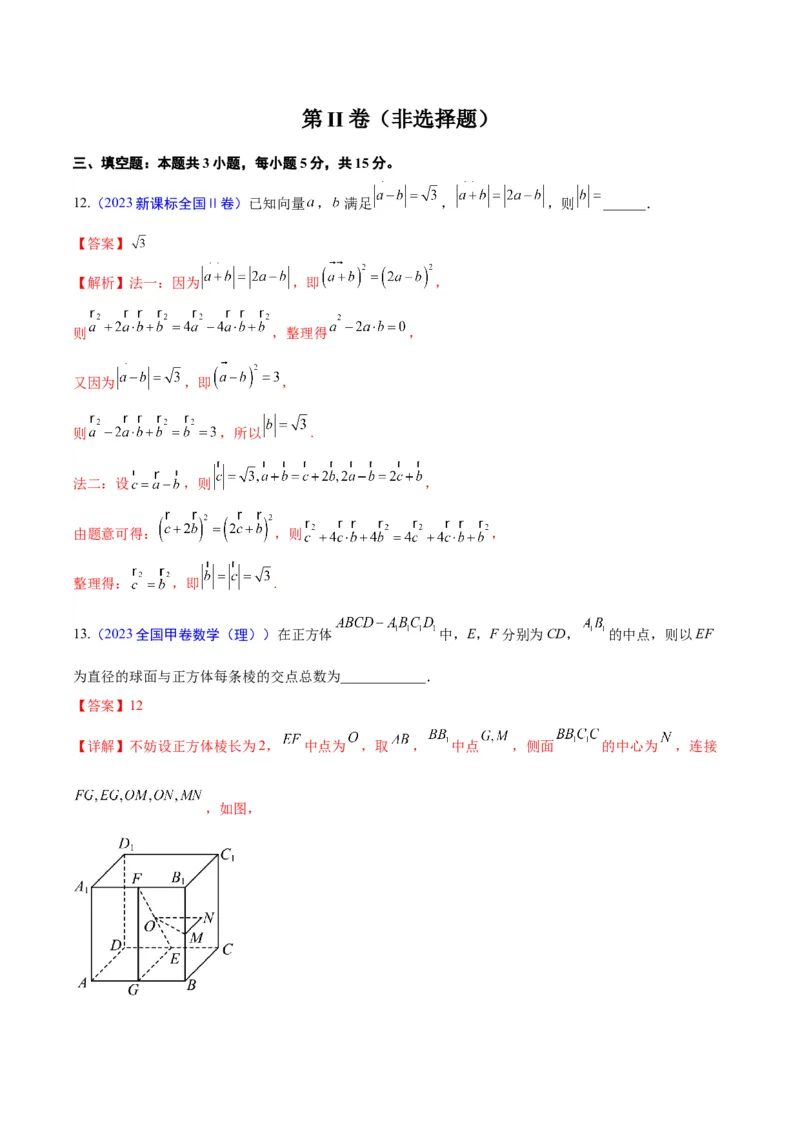
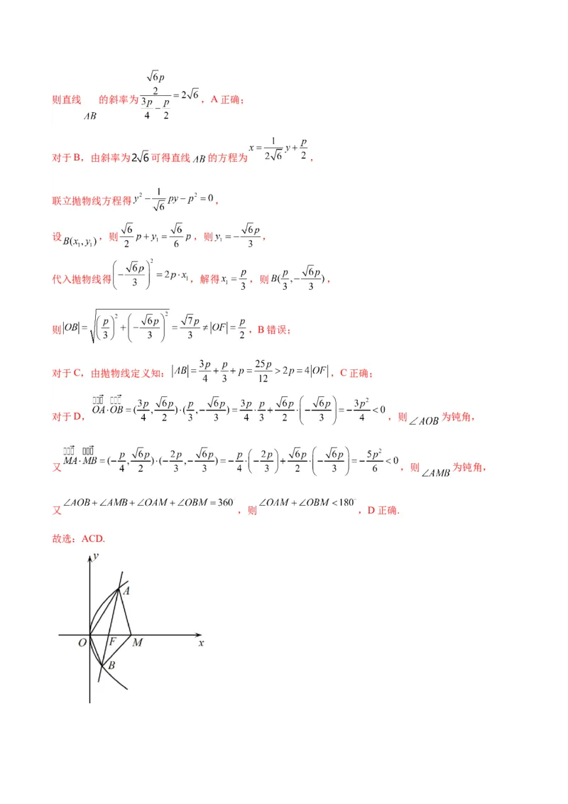
冲刺2024年高考数学真题重组卷 真题重组卷05 (考试时间:120分钟 试卷满分:150分) 第 I 卷(选择题) 一、单项选择题:本题共8小题,每小题5分,共40分,在每小题给出的四个选项中,只有一项是符合要 求的。 1.(2022•新高考Ⅱ)已知集合 ,1,2, , ,则 A. , B. , C. , D. , 【答案】 【解析】 ,解得: , 集合 , .故选: . 2.(2023全国乙卷数学(文)) ( ) A.1 B.2 C. D.5 【答案】C 【详解】由题意可得 , 则 .故选:C. 3.(2023•乙卷)已知 是偶函数,则 A. B. C.1 D.2 【答案】 【解析】 的定义域为 ,又 为偶函数, , , , , .故选: . 4.(2023新课标全国Ⅱ卷)记 为等比数列 的前n项和,若 , ,则 ( ).A.120 B.85 C. D. 【答案】C 【详解】方法一:设等比数列 的公比为 ,首项为 , 若 ,则 ,与题意不符,所以 ; 由 , 可得, , ①, 由①可得, ,解得: , 所以 . 故选:C. 方法二:设等比数列 的公比为 , 因为 , ,所以 ,否则 , 从而, 成等比数列, 所以有, ,解得: 或 , 当 时, ,即为 , 易知, ,即 ; 当 时, , 与 矛盾,舍去. 故选:C. 5.(2023全国甲卷数学(文))曲线 在点 处的切线方程为( ) A. B. C. D.【答案】C 【解析】设曲线 在点 处的切线方程为 , 因为 ,所以 , 所以 所以 所以曲线 在点 处的切线方程为 .故选:C 6.(2023新高考天津卷)函数 的图象如下图所示,则 的解析式可能为( ) A. B. C. D. 【答案】D 【解析】由图知:函数图象关于y轴对称,其为偶函数,且 , 由 且定义域为R,即B中函数为奇函数,排除; 当 时 、 ,即A、C中 上函数值为正,排除; 故选:D 7.(2023新课标全国Ⅰ卷)过点 与圆 相切的两条直线的夹角为 ,则 ( )A.1 B. C. D. 【答案】B 【解析】方法一:因为 ,即 ,可得圆心 ,半径 , 过点 作圆C的切线,切点为 , 因为 ,则 , 可得 , 则 , , 即 为钝角, 所以 ; 法二:圆 的圆心 ,半径 , 过点 作圆C的切线,切点为 ,连接 , 可得 ,则 , 因为 且 ,则 , 即 ,解得 , 即 为钝角,则 ,且 为锐角,所以 8.(2023全国甲卷数学(文)(理))已知 为函数 向左平移 个单位所得函数,则 与 的交点个数为( ) A.1 B.2 C.3 D.4 【答案】C 【解析】因为 向左平移 个单位所得函数为 , 所以 , 而 显然过 与 两点, 作出 与 的部分大致图像如下, 考虑 ,即 处 与 的大小关系, 当 时, , ; 当 时, , ; 当 时, , ;所以由图可知, 与 的交点个数为 . 故选:C. 二、多项选择题:本题共3小题,每小题6分,共18分,在每小题给出的四个选项中,有多项符合题目的 要求,全部选对的得6分,部分选对的得部分分,有选错的得0分。 9.(2020新课标全国Ⅰ卷)已知a>0,b>0,且a+b=1,则( ) A. B. C. D. 【答案】ABD 【解析】对于A, , 当且仅当 时,等号成立,故A正确; 对于B, ,所以 ,故B正确; 对于C, , 当且仅当 时,等号成立,故C不正确; 对于D,因为 , 所以 ,当且仅当 时,等号成立,故D正确; 故选:ABD 10.(2020新课标全国Ⅰ卷)下图是函数y= sin(ωx+φ)的部分图像,则sin(ωx+φ)= ( )A. B. C. D. 【答案】BC 【解析】由函数图像可知: ,则 ,所以不选A, 不妨令 , 当 时, , 解得: , 即函数的解析式为: . 而 故选:BC. 11.(2022新课标全国Ⅱ卷)已知O为坐标原点,过抛物线 焦点F的直线与C交于A, B两点,其中A在第一象限,点 ,若 ,则( ) A.直线 的斜率为 B. C. D. 【答案】ACD 【解析】对于A,易得 ,由 可得点 在 的垂直平分线上, 则 点横坐标为 , 代入抛物线可得 ,则 ,则直线 的斜率为 ,A正确; 对于B,由斜率为 可得直线 的方程为 , 联立抛物线方程得 , 设 ,则 ,则 , 代入抛物线得 ,解得 ,则 , 则 ,B错误; 对于C,由抛物线定义知: ,C正确; 对于D, ,则 为钝角, 又 ,则 为钝角, 又 ,则 ,D正确. 故选:ACD.第 II 卷(非选择题) 三、填空题:本题共3小题,每小题5分,共15分。 12.(2023新课标全国Ⅱ卷)已知向量 , 满足 , ,则 ______. 【答案】 【解析】法一:因为 ,即 , 则 ,整理得 , 又因为 ,即 , 则 ,所以 . 法二:设 ,则 , 由题意可得: ,则 , 整理得: ,即 . 13.(2023全国甲卷数学(理))在正方体 中,E,F分别为CD, 的中点,则以EF 为直径的球面与正方体每条棱的交点总数为____________. 【答案】12 【详解】不妨设正方体棱长为2, 中点为 ,取 , 中点 ,侧面 的中心为 ,连接 ,如图,由题意可知, 为球心,在正方体中, , 即 , 则球心 到 的距离为 , 所以球 与棱 相切,球面与棱 只有1个交点, 同理,根据正方体的对称性知,其余各棱和球面也只有1个交点, 所以以EF为直径的球面与正方体每条棱的交点总数为12. 14.(2021•新高考Ⅰ)函数 的最小值为 . 【答案】1. 【解析】法一、函数 的定义域为 . 当 时, , 此时函数 在 , 上为减函数, 当 时, , 则 , 当 , 时, , 单调递减, 当 时, , 单调递增, 在 上是连续函数, 当 时, 单调递减,当 时, 单调递增. 当 时 取得最小值为 (1) . 故答案为:1. 法二、令 , ,分别作出两函数的图象如图: 由图可知, (1) , 则数 的最小值为1. 四、解答题:本题共5小题,共77分,解答应写出必要的文字说明、证明过程及验算步骤。 15.(本小题满分15分)(新题型)设函数 , (1)若 ,求 在 处的切线方程; (2)若 是 的极大值,求a的取值范围. 【解】(1)若 ,则 ,所以 ,故 , 又 ,所以 在 处的切线方程 . (2)由题意,从而 , ①当 时, ,所以 , 从而 在 上单调递增,在 上单调递减,故 是 的极大值点,满足题意; ②当 时, ,所以 或 , , 故 在 上单调递增,在 上单调递减,在 上单调递增,从而 是 的极大值点,满足题意; ③当 时, ,所以 在 上单调递增,不合题意; ④当 时, ,所以 或 , , 从而 在 上单调递增,在 上单调递减,在 上单调递增, 故 是 的极小值点,不合题意; 综上所述,实数a的取值范围是 . 16.(本小题满分15分)(2022•北京)如图,在三棱柱 中,侧面 为正方形,平面 平面 , , , 分别为 , 的中点. (Ⅰ)求证: 平面 ; (Ⅱ)再从条件①、条件②这两个条件中选择一个作为已知,求直线 与平面 所成角的正弦值. 条件①: ; 条件②: . 注:如果选择条件①和条件②分别解答,按第一个解答计分. 【解析】 证明:取 中点 ,连接 , ,为 的中点. ,且 , 四边形 是平行四边形,故 , 平面 ; 平面 , 平面 , 是 中点, 是 的点, , 平面 ; 平面 , 平面 ,又 , 平面 平面 , 又 平面 , 平面 ; 侧面 为正方形,平面 平面 ,平面 平面 , 平面 , ,又 , , 若选①: ;又 , 平面 , 又 平面 , ,又 , , , , 两两垂直, 若选②: 平面 , , 平面 , 平面 , ,又 , , , , , ,又 , , , , 两两垂直,以 为坐标原点, , , 为坐标轴建立如图所示的空间直角坐标系, 则 ,0, , ,1, , ,1, , ,2, , ,1, , ,1, , 设平面 的一个法向量为 , , , 则 ,令 ,则 , , 平面 的一个法向量为 , , , 又 ,2, , 设直线 与平面 所成角为 , , . 直线 与平面 所成角的正弦值为 . 17.(本小题满分15分)(2021•新高考Ⅱ)资料来源: 微信公众号 智慧学库 已知椭圆 的方程为 ,右焦点为 , ,且离心率为 . (Ⅰ)求椭圆 的方程; (Ⅱ)设 , 是椭圆 上的两点,直线 与曲线 相切.证明: , , 三点共线的充要条件是 . 【解析】(Ⅰ)由题意可得,椭圆的离心率 ,又 , 所以 ,则 , 故椭圆的标准方程为 ; (Ⅱ)证明:先证明充分性, 当 时,设直线 的方程为 , 此时圆心 到直线 的距离 ,则 , 联立方程组 ,可得 , 则△ , 因为 , 所以 , , 因为直线 与曲线 相切, 所以 ,则 , 则直线 的方程为 恒过焦点 , 故 , , 三点共线, 所以充分性得证. 若 , , 三点共线时,设直线 的方程为 ,则圆心 到直线 的距离为 ,解得 , 联立方程组 ,可得 , 即 , 所以 ; 所以必要性成立; 综上所述, , , 三点共线的充要条件是 . 18.(本小题满分17分)(2021•新高考Ⅱ)一种微生物群体可以经过自身繁殖不断生存下来,设一个这 种微生物为第0代,经过一次繁殖后为第1代,再经过一次繁殖后为第2代, ,该微生物每代繁殖的 个数是相互独立的且有相同的分布列,设 表示1个微生物个体繁殖下一代的个数, , 1,2, . (Ⅰ)已知 , , , ,求 ; ( Ⅱ ) 设 表 示 该 种 微 生 物 经 过 多 代 繁 殖 后 临 近 灭 绝 的 概 率 , 是 关 于 的 方 程 : 的一个最小正实根,求证:当 时, ,当 时, ; (Ⅲ)根据你的理解说明(2)问结论的实际含义.【解析】(Ⅰ)由题意, , , , , 故 ; (Ⅱ)证明:由题意可知, ,则 , 所以 ,变形为 , 所以 , 即 , 即 , 令 , 若 时,则 的对称轴为 , 注意到 , (1) , 若 时, (1) , 当 时, (1) , 的正实根 ,原方程的最小正实根 , 当 时, (1) , 的正实根 ,原方程的最小正实根 , (Ⅲ)当1个微生物个体繁殖下一代的期望小于等于1时,这种微生物经过多代繁殖后临近灭绝; 当1个微生物个体繁殖下一代的期望大于1时,这种微生物经过多代繁殖后还有继续繁殖的可能. 19.(本小题满分17分)(新题型)若一个两位正整数 的个位数为4,则称 为“好数”. (1)求证:对任意“好数” 一定为20的倍数; (2)若 ,且 为正整数,则称数对 为“友好数对”,规定: ,例如 , 称数对 为“友好数对”,则 ,求小于70的“好数”中,所有“友好数对”的 的最大值. 【解】(1)证明:设 , 且 为整数, ∴ ∵ ,且 为整数,∴ 是正整数, ∴ 一定是20的倍数; (2)∵ ,且 为正整数,∴ , 当 时, ,没有满足条件的 , 当 时, , ∴满足条件的有 或 , 解得 或 ,∴ 或 , 当 时, ,没有满足条件的 , 当 时, , ∴满足条件的有 ,解得 ,∴ , 当 时, ,没有满足条件的 , 当 时, , ∴满足条件的有 或 , 解得 或 ,∴ 或 , ∴小于70的“好数”中,所有“友好数对”的 的最大值为 .