当前位置:首页>文档>惠州市2025届高三第一次调研考试化学试题_2024-2025高三(6-6月题库)_2024年07月试卷_2407102025届广东省惠州市高三第一次调研考试(惠州高二期末考)

惠州市2025届高三第一次调研考试化学试题_2024-2025高三(6-6月题库)_2024年07月试卷_2407102025届广东省惠州市高三第一次调研考试(惠州高二期末考)

  • 2026-03-21 22:01:06 2026-02-18 16:38:02

文档预览

惠州市2025届高三第一次调研考试化学试题_2024-2025高三(6-6月题库)_2024年07月试卷_2407102025届广东省惠州市高三第一次调研考试(惠州高二期末考)
惠州市2025届高三第一次调研考试化学试题_2024-2025高三(6-6月题库)_2024年07月试卷_2407102025届广东省惠州市高三第一次调研考试(惠州高二期末考)
惠州市2025届高三第一次调研考试化学试题_2024-2025高三(6-6月题库)_2024年07月试卷_2407102025届广东省惠州市高三第一次调研考试(惠州高二期末考)
惠州市2025届高三第一次调研考试化学试题_2024-2025高三(6-6月题库)_2024年07月试卷_2407102025届广东省惠州市高三第一次调研考试(惠州高二期末考)
惠州市2025届高三第一次调研考试化学试题_2024-2025高三(6-6月题库)_2024年07月试卷_2407102025届广东省惠州市高三第一次调研考试(惠州高二期末考)
惠州市2025届高三第一次调研考试化学试题_2024-2025高三(6-6月题库)_2024年07月试卷_2407102025届广东省惠州市高三第一次调研考试(惠州高二期末考)
惠州市2025届高三第一次调研考试化学试题_2024-2025高三(6-6月题库)_2024年07月试卷_2407102025届广东省惠州市高三第一次调研考试(惠州高二期末考)
惠州市2025届高三第一次调研考试化学试题_2024-2025高三(6-6月题库)_2024年07月试卷_2407102025届广东省惠州市高三第一次调研考试(惠州高二期末考)

文档信息

文档格式
pdf
文档大小
1.505 MB
文档页数
8 页
上传时间
2026-02-18 16:38:02

文档内容

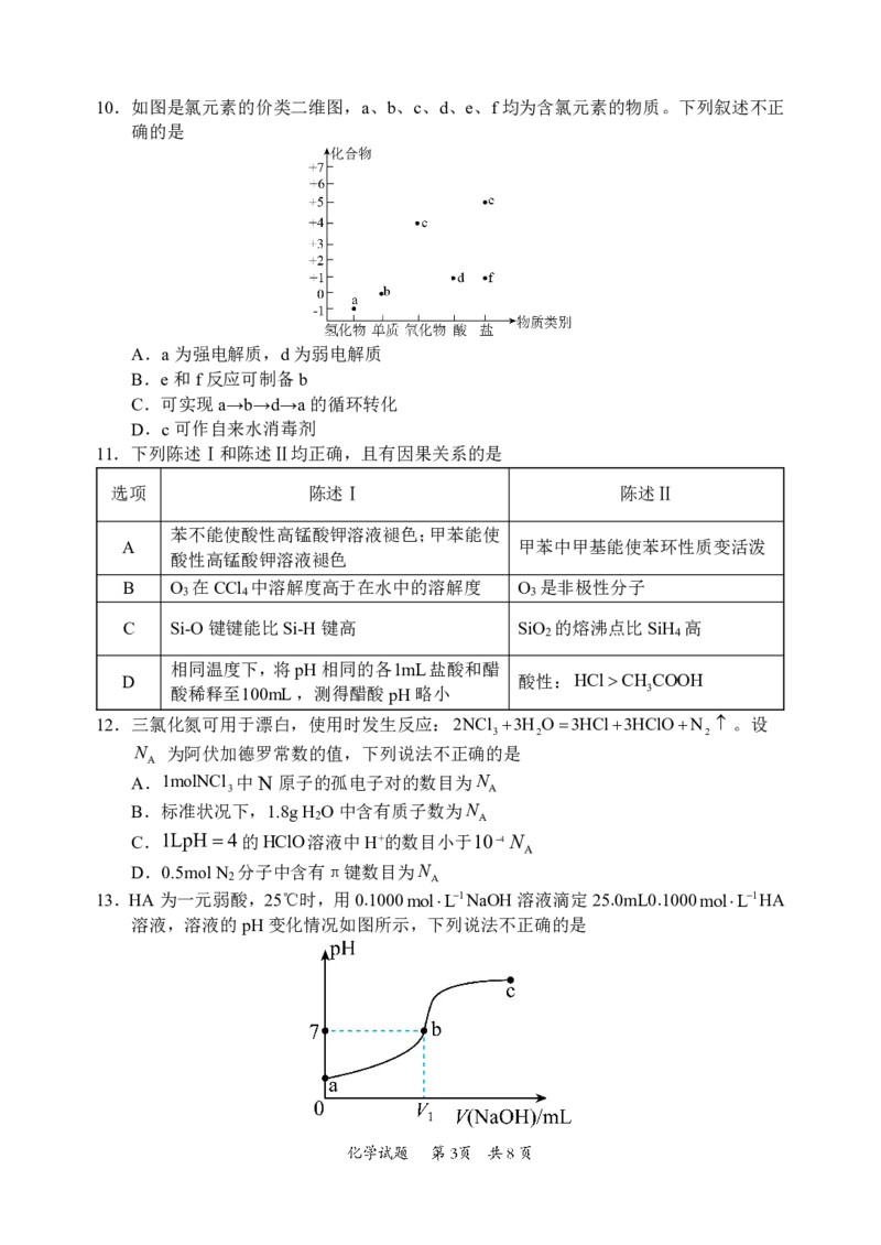
惠州市 2025 届高三第一次调研考试试题 化 学 本试卷共8页,20道小题 考试时间:75分钟 满分:100分 可能用到的相对原子质量:H-1 N-14 O-16 Fe-56 Co-59 一、选择题:本题共16小题,共44分。第1~10题,每小题2分;第11~16题,每小 题4分。在每小题给出的四个选项中,只有一个选项符合题意。 1.中华文化源远流长。下列文物主要由硅酸盐材料制成的是 A.战国青铜双翼神龙 B.西汉“直裾素纱禅衣” C.珐华彩莲纹梅瓶 D.金漆木雕如意 2.化学促进科技进步和社会发展,下列说法不正确的是 A.月壤中的“嫦娥石  Ca 8 YFePO 4  7   ”其成分属于无机盐 B.“运-20”机身采用钨碳合金比纯金属钨具有更高的强度和韧性 C.T-碳(T-Carbon)是中科院预言的一种三维碳结构晶体,其与C 互为同位素 60 D.2023年诺贝尔化学奖授予量子点研究,直径为2~20nm硅量子点可用于制备胶体 3.化学与生产、生活密切相关。下列叙述不正确的是 A.农业生产中,氯化铵和草木灰不能一起施用 B.碳酸钡不易被X射线透过,可用作X射线检查的内服药物 C.地瓜放久了比新买地瓜甜因为在久置过程中地瓜中淀粉水解 D.工业生产中,可用氢氟酸生产磨砂玻璃 4.CuBr是常用的催化剂,受热易分解。可通过 SO 2Cu22Br2H O 2CuBrSO24H制备。下列实验室制备CuBr的实验装置 2 2 4 和操作不能达到实验目的的是 A.用装置甲制备SO 气体 B.用装置乙收集SO 气体 2 2 C.用装置丙制备CuBr D.用装置丁吸收多余的SO 气体 25.我国科学家设计的“海泥电池”工作原理如图所示,其中微 生物代谢产物显酸性。下列说法不正确的是 A.电极A上电极反应式为O +4H++4e-=2H O 2 2 B.工作时,B电极附近pH变小 C.H+从海水层通过交接面向海底沉积层移动 D.微生物代谢反应中,氧化剂与还原剂的物质的量之比为1:2 6.“劳动最光荣,勤奋出智慧”。下列劳动项目与所述化学知识有关联的是 选项 劳动项目 化学知识 A 试剂运输:常用铁罐车运输浓硫酸 浓硫酸具有吸水性 B 家务劳动:将小苏打加入面粉中焙制糕点 小苏打能与碱反应 C 社区服务:用“84”消毒液对图书馆桌椅消毒 NaClO溶液呈碱性 D 工业实践:制作补铁剂加少许维生素C 维生素C具有还原性 7.蝗虫分泌的一种信息素的结构如图,下列关于该物质的说法中正确的是 A.分子式为C H O 9 14 2 B.所有的碳原子共平面 C.该物质中含有1个手性碳原子 D.能使溴的四氯化碳溶液褪色 8.对于下列过程中发生的化学反应,相应离子方程式正确的是 A.钠溶于水:Na+H O=Na++OH-+H ↑ 2 2 B.工业废水中的Pb2用FeS去除:Pb2S2 PbS C.醋酸除水垢:CaCO +2H+=Ca2++CO ↑+H O 3 2 2 D.向次氯酸钙溶液通入足量二氧化碳:CO +ClO-+H O=HCO -+HClO 2 2 3 9.实验室在如图所示装置中制取NH ,将NH 通入CuSO 溶液,当生成的蓝色沉淀溶解 3 3 4 为深蓝色溶液,再滴加乙醇可获得  CuNH 3  4   SO 4 H 2 O晶体。已知:  CuH 2 O 4   2 呈 蓝色。下列说法不正确的是 A.在装置甲试管中加入NH Cl和CaOH 固体加热制取NH 4 2 3 B.装置乙中的a和装置丙中的b均可防止倒吸 C.  CuNH 3  4   SO 4 H 2 O晶体在乙醇中的溶解度小于在水中的溶解度 D.与NH 相比,H O更易与Cu2形成配位键 3 210.如图是氯元素的价类二维图,a、b、c、d、e、f均为含氯元素的物质。下列叙述不正 确的是 A.a为强电解质,d为弱电解质 B.e和f反应可制备b C.可实现a→b→d→a的循环转化 D.c可作自来水消毒剂 11.下列陈述Ⅰ和陈述Ⅱ均正确,且有因果关系的是 选项 陈述Ⅰ 陈述Ⅱ 苯不能使酸性高锰酸钾溶液褪色;甲苯能使 A 甲苯中甲基能使苯环性质变活泼 酸性高锰酸钾溶液褪色 B O 在CCl 中溶解度高于在水中的溶解度 O 是非极性分子 3 4 3 C Si-O键键能比Si-H键高 SiO 的熔沸点比SiH 高 2 4 相同温度下,将pH相同的各1mL盐酸和醋 D 酸性:HClCH COOH 酸稀释至100mL,测得醋酸pH略小 3 12.三氯化氮可用于漂白,使用时发生反应:2NCl 3H O3HCl3HClON  。设 3 2 2 N 为阿伏加德罗常数的值,下列说法不正确的是 A A.1molNCl 中N原子的孤电子对的数目为N 3 A B.标准状况下,1.8gH O中含有质子数为N 2 A C.1LpH4的HClO溶液中H+的数目小于104N A D.0.5molN 分子中含有π键数目为N 2 A 13.HA为一元弱酸,25℃时,用0.1000molL1NaOH溶液滴定25.0mL0.1000molL1HA 溶液,溶液的pH变化情况如图所示,下列说法不正确的是A.V<25 1 B.25℃时,a点溶液中pH >1 C.a、b、c三点溶液中,b点溶液中水的电离程度最大 D.c点溶液中c(A-) > c(Na+) 14.X、Y、Z、M和Q五种主族元素,原子序数依次增大,X原子半径最小,短周期元 素中M电负性最小,Z与Y、Q相邻,基态Z原子的s能级与p能级的电子数相等, 下列说法正确的是 A.沸点:X Z<X Q 2 2 B.M与Q可形成化合物M Q、M Q 2 2 2 C.化学键中离子键成分的百分数:M Q>M Z 2 2 D.YZ -与QZ 2-离子空间结构均为三角锥形 3 3 15.纳米NiPd催化制备甲酸钠的机理如下图所示: 下列说法正确的是 A.HCOOH中C的杂化方式为sp B.反应过程中只有非极性键的断裂与形成 C.反应过程中不需要持续补充CO 2 D.总反应的原子利用率为100% 16.随着现代工农业的发展,水体内氮的含量超标会引发水华现象。科学家探索使用电化 学原理,用铁和石墨作电极进行污水除氮,其工作原理如图所示。下列说法正确的是 A.M极材料为铁,连接太阳能电池的负极 B.阳极电极反应式为2NH 6e 6HN 3 2 C.每生成0.5molN 时,有1.5mol电子发生转移 2 D.电解一段时间后,阳极室的酸性减弱二、非选择题:本题共4小题,共56分。 17.(14分)硝酸铁和硫酸铁为重要的铁盐。某化学兴趣小组展开如下探究: (1)配制硝酸铁溶液 ①实验室配制 250ml 0.2mol•L-1 Fe(NO ) 溶液,需要称取 Fe(NO ) ·9H O 晶体 3 3 3 3 2 g。需要用到的玻璃仪器有玻璃棒、烧杯、量筒、 (填字母)。 A B C D ②溶解过程中,将浅紫色的Fe(NO ) ·9H O晶体溶于水后,再加入适量稀硝酸,充 3 3 2 分振荡。加入稀硝酸的目的是 。 (2)探究用铁盐溶液溶解银镜实验后的银: ①实验i:甲同学向有银镜的试管中逐滴加入过量0.2mol•L-1Fe(NO ) 溶液(pH=2), 3 3 银镜消失,溶液变为澄清,得出Fe3+能与Ag反应的结论。乙同学认为该实验不够严 谨,原因是 (用离子方程式表示)。 ②实验ii:乙同学改进实验,向另一支含有等量银镜的试管中逐滴加入过量0.1mol•L-1 的Fe (SO ) 溶液(pH=2),充分振荡,银镜逐渐消失,溶液黄色明显变浅,产生较 2 4 3 多白色沉淀。取少量上层清液,加入下列 溶液(填字母),若出现 现 象,则充分说明Fe3+能与Ag反应。 A.KSCN B.K [Fe(CN) ] C.BaCl 3 6 2 (3)丙同学查阅资料发现,Ag+、Fe3+的氧化性差异不大,一定条件下,Ag和Fe3+反应 是可逆反应,设计如下电化学装置进行验证。 按上图组装好仪器并加入药品,观察到银电极有灰黑色固体析出,电流表A指针向右 偏转,一段时间后指针归零,再向左池加入较浓 溶液,产生的现象为 , 则说明Ag和Fe3+的反应为可逆反应。18.(14分)从废旧锂离子电池回收的LiCoO 粗品,使用微波辅助“低共熔溶剂法”制备 2 LiCoO 产品,可实现有价金属的循环利用,其工艺流程如下: 2 已知:①氯化胆碱[HOCH CH N+(CH ) ·Cl-]是一种铵盐,易溶于水并电离出Cl-; 2 2 3 3 ②LiCoO 难溶于水;Co2+在溶液中常以[CoCl ]2-(蓝色)和[Co(H O) ]2+(紫红色)形式 2 4 2 6 存在; ③25℃时,Ksp[Co(OH) ]=1.6×10-15,Ksp(CoC O )=6.3×10-8。 2 2 4 回答下列问题: (1)基态Co原子价电子排布式为 。 (2)“微波共熔”中氯化胆碱-草酸和LiCoO 粗品以不同的液固比在120℃下微波处理10 2 min后,锂和钴的浸取率如下图,则最佳液固比为 mL/g,草酸加入过多反而 会导致钴的浸取率下降,原因是 。 (3)“水浸”操作中得到较浓的滤液(pH=2)呈深蓝色,同时有CO 气体逸出,该过程发 2 生的离子方程式为 。 (4)25℃时,“沉钴”反应完成后溶液pH=10,此时c(Co2+)= mol•L-1。 (5)“滤饼2”与Co O 混合后,鼓入空气,经高温烧结得到LiCoO 的化学方程式为 3 4 2 。 (6)Co O 晶体的晶胞如图所示( 表示晶胞中O2-的位置),一半 3 4 Co3+填充在O2-构成的正四面体空隙中,Co2+和另一半Co3+ 填充在O2-构成的正八面体空隙中。 ①O2-周围紧邻的O2-数目为 。 ②已知晶胞参数为apm,阿伏加德罗常数为N ,则晶体密度 A 为 g·cm-3(用含a和N 的代数式表示) A 19.(14分)空间站的生命保障系统功能之一是实现氧循环,下图 是空间站利用Sabatier反应再生氧气的大体流程。(1)已知:2H (g)+O (g)=2H O(g) ∆H=﹣483.6kJ·mol-1 2 2 2 CH (g)+2O (g)=CO (g)+2H O(g) ∆H=﹣802.3kJ·mol-1 4 2 2 2 则Sabatier反应CO (g)+4H (g)⇌ CH (g)+2H O(g)的∆H= 。 2 2 4 2 (2)一定条件下,进行上述Sabatier反应CO (g)+4H (g)⇌ CH (g)+2H O(g): 2 2 4 2 ①在恒温恒压装置中,下列能说明反应达到平衡状态的是 。 a.v (CO )=2v (H O) b.混合气体的密度不再改变 正 2 逆 2 c.混合气体平均摩尔质量不再改变 d.混合气体的总质量不再改变 ②在温度为T、压强恒定为P 的条件下,按n(CO )∶n(H )=1∶4投料进行反应,平 0 2 2 衡时CO 的转化率为50%,K = (用P 表示)。(已知K 是以分压表示的 2 p 0 p 平衡常数,分压=总压×物质的量分数。) ③科学家研究在催化剂表面上CO 与H 的反应,前三步历程如图所示,吸附在催化 2 2 剂表面上的物种用“•”标注,Ts表示过渡态。下列说法中正确的是 (填字母)。 A.该转化反应的速率取决于Ts1的能垒 B.•HOCO转化为•CO和•OH的反应△H<0 C.第一步历程中只发生了非极性共价键的断裂 D.催化剂能降低反应的活化能,提高反应物的平衡转化率 (3)氧再生反应可以通过酸性条件下半导体光催化转化实现,反应如图甲所示: 100℃ 200℃ 300℃ 400℃ ①光催化CO 转化为CH 的阴极的电极反应式为 , 2 4 理论上每生成1molCH ,阳极生成氧气的质量为 g。 4 ②催化剂的催化效率和CH 的生成速率随温度的变化关系如图乙所示。300℃到400℃ 4 之间,CH 生成速率加快的原因是 。 420.(14分)化合物ⅸ是一种烯丙胺类抗真菌药物,可用于皮肤浅部真菌感染的治疗,它 的一种合成路线如下(加料顺序、反应条件略): v (1)化合物ⅴ中含氧官能团的名称是 ,反应⑤的类型是 。 (2)反应①中,化合物ⅰ与有机物x反应,生成化合物ⅱ,原子利用率为100%,x为 (写结构简式)。 (3)根据化合物ⅳ( )的结构特征,分析预测其可能的化学性质,完成下表: 序号 反应试剂、条件 反应形成的新结构 反应类型 a CH =CH—COO— _____________ 2 b H ,催化剂,加热 加成反应 2 (4)化合物ⅲ有多种同分异构体,其中含 结构,且核磁共振氢谱图上只 有两组峰的结构简式为 。 (5)以苯乙烯和乙醛为含碳原料,利用反应③的原理,通过四步反应合成化合物y(结构 如下图),基于你设计的合成路线,回答下列问题: (a)从苯乙烯出发,第一步反应的有机产物为 (写结构简式)。 (b)相关步骤涉及到卤代烃制炔反应,其化学方程式为__________________________。 (c)合成路线中涉及两步消去反应,最后一步通过消去反应得到产物的反应条件为 ______________。