当前位置:首页>文档>物理-四川省成都七中高2026届高二10月阶段检测_2024-2025高二(7-7月题库)_2024年10月试卷_1019四川省成都七中高2026届高二10月阶段检测

物理-四川省成都七中高2026届高二10月阶段检测_2024-2025高二(7-7月题库)_2024年10月试卷_1019四川省成都七中高2026届高二10月阶段检测

  • 2026-03-23 20:02:20 2026-02-18 23:48:42

文档预览

物理-四川省成都七中高2026届高二10月阶段检测_2024-2025高二(7-7月题库)_2024年10月试卷_1019四川省成都七中高2026届高二10月阶段检测
物理-四川省成都七中高2026届高二10月阶段检测_2024-2025高二(7-7月题库)_2024年10月试卷_1019四川省成都七中高2026届高二10月阶段检测
物理-四川省成都七中高2026届高二10月阶段检测_2024-2025高二(7-7月题库)_2024年10月试卷_1019四川省成都七中高2026届高二10月阶段检测
物理-四川省成都七中高2026届高二10月阶段检测_2024-2025高二(7-7月题库)_2024年10月试卷_1019四川省成都七中高2026届高二10月阶段检测
物理-四川省成都七中高2026届高二10月阶段检测_2024-2025高二(7-7月题库)_2024年10月试卷_1019四川省成都七中高2026届高二10月阶段检测
物理-四川省成都七中高2026届高二10月阶段检测_2024-2025高二(7-7月题库)_2024年10月试卷_1019四川省成都七中高2026届高二10月阶段检测
物理-四川省成都七中高2026届高二10月阶段检测_2024-2025高二(7-7月题库)_2024年10月试卷_1019四川省成都七中高2026届高二10月阶段检测
物理-四川省成都七中高2026届高二10月阶段检测_2024-2025高二(7-7月题库)_2024年10月试卷_1019四川省成都七中高2026届高二10月阶段检测
物理-四川省成都七中高2026届高二10月阶段检测_2024-2025高二(7-7月题库)_2024年10月试卷_1019四川省成都七中高2026届高二10月阶段检测
物理-四川省成都七中高2026届高二10月阶段检测_2024-2025高二(7-7月题库)_2024年10月试卷_1019四川省成都七中高2026届高二10月阶段检测
物理-四川省成都七中高2026届高二10月阶段检测_2024-2025高二(7-7月题库)_2024年10月试卷_1019四川省成都七中高2026届高二10月阶段检测
物理-四川省成都七中高2026届高二10月阶段检测_2024-2025高二(7-7月题库)_2024年10月试卷_1019四川省成都七中高2026届高二10月阶段检测

文档信息

文档格式
pdf
文档大小
4.875 MB
文档页数
12 页
上传时间
2026-02-18 23:48:42

文档内容

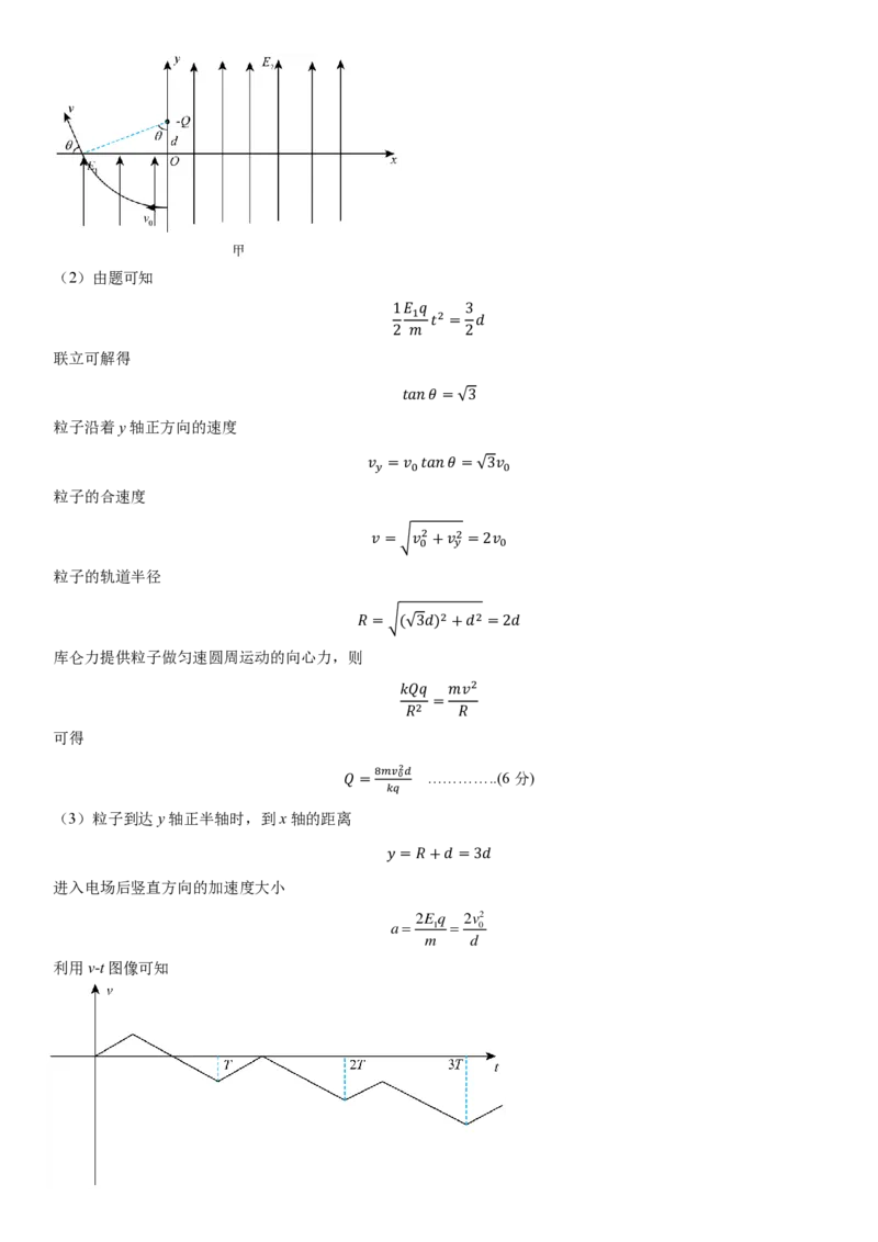
2024-2025 学年度上期高二 10 月测试物理试卷 一.选择题(每小题4分,共40分)(1-7小题为单项选择题。8-10小题为多项选择题) 1.下列四副插图,说法正确的有( ) A.图甲为静电除尘装置的示意图,带负电的尘埃被收集在线状电离器B上 B.图乙为给汽车加油前要触摸一下的静电释放器,其目的是导走加油枪上的静电 C.图丙中摇动起电机,烟雾缭绕的塑料瓶顿时清澈透明,其工作原理为静电吸附 D.图丁的燃气灶中安装了电子点火器,点火应用了静电屏蔽原理 2.如图所示,甲、乙两图中平行板电容器与恒定电源保持连接,甲图中B板接地,乙图中A板接地。 丙、丁两图中平行板电容器充电后与电源断开,丙图中B板接地,丁图中A板接地。P为两板空间中的一 点,现保持A板位置不变,将四个图中的B板均向下平移一小段距离,则四个图中P点的电势不变的是 ( ) A.甲图 B.乙图 C.丙图 D.丁图 3.在绝缘光滑水平面上的 1 x = − 2 L 的A处、 x = 4 L 的 B 处分别固定正电荷Q 、Q ,如图甲所示。图乙是 A B AB之间连线上的电势与位置 x 之间的关系图像,图中x=2L点为电势的最低点。若在x=−L的C点由 静止释放一个带正电小球(可视为质点),下列说法正确的是( ) {#{QQABTQ4EggCgAJAAAAhCQwW4CEMQkBAACYgOQFAAIAAAyAFABCA=}#}{#{QQABTQ4EggCgAJAAAAhCQwW4CEMQkBAACYgOQFAAIAAAyAFABCA=}#}C.两列波相遇后,( 3 0 .5 m ,0)处的质点振动加强 D.若r=0.2m,从两列波在 M 点相遇开始计时, M 点振动方程为z=0.4sin(10t+)m l 6.如图甲所示,一平行板电容器极板长l=10cm,宽a=8cm,两极板间距为d=4cm,距极板右端 处有 2 一竖直放置的荧光屏。在平行板电容器左侧有一长b=8cm的“狭缝”粒子源,可沿着两板中心平面,均 匀、连续不断地向电容器内射入比荷为2×1010C/kg,速度为4×106m/s的带电粒子。现在平行板电容器的两 极板间加上如图乙所示的交流电,已知粒子在电容器中运动所用的时间远小于交流电的周期。下面说法正 确的是( ) A.粒子打到屏上时在竖直方向上偏移的最大距离为6.25cm B.粒子打在屏上的区域面积为32cm2 C.在0~0.02s内,进入电容器内的粒子有64%能够打在屏上 D.在0~0.02s内,屏上出现亮线的时间为0.0126s 7.电偶极子是由两个等量异号点电荷组成的系统。真空中有两对相同电偶极子AB和CD,所带电荷量均 为q,其中A、D带正电荷。将此两对电偶极子的四个点电荷固定在正四面体的四个顶点上,正四面体的 棱长为L,相应棱的中点分别为a、b、c,静电力常量为k,下列说法正确的是( ) A.𝜑 =𝜑 =𝜑 =0 V 𝑎 𝑏 𝑐 B.将同一个检验电荷从b点移到a点和从b点移到c点,电场力做功相等 4√6𝑘𝑞 16√21𝑘𝑞 C.a点的电场强度大小为 D.b点的电场强度大小为 9𝐿2 9𝐿2 {#{QQABTQ4EggCgAJAAAAhCQwW4CEMQkBAACYgOQFAAIAAAyAFABCA=}#}8.一列简谐横波沿x轴传播,波源的振动频率为 4 2 H z ,某时刻波形图如图所示,中间有一部分被遮挡,则 该波的波速大小可能为( ) 20 20 A. m/s B. m/s C. 7 9 2 1 0 1 m /s D. 2 1 0 3 m /s 9.如图所示,在 O 点固定一个负点电荷 Q ,长度为 L 的不可伸长轻质绝缘丝线一端也固定在 O 点,另一 端拴一个质量为 m 、带电荷量为 + q 1 ( q 1  0 ) 的带电小球P。对小球施加一个水平向右的拉力,小球静止, 此时丝线与竖直方向的夹角为 =   5 3 。某时刻撤去拉力,撤去拉力瞬间小球的加速度大小为 a 1 ,丝线恰好 对小球无拉力,此后小球做圆周运动,运动到最低点时,小球的加速度大小为 a 2 ,点电荷 Q 所带电荷量绝 对值为q 。已知重力加速度为 2 g ,静电力常量为 k , s in 5 3  = 0 .8 ,cos53=0.6,不计空气阻力,下列判断 正确的是( ) 4 6 3mgL2 A.a = g B.a = g C.qq = 1 5 2 5 1 2 5k D.若点电荷Q电荷量缓慢减少,小球到最低点时的加速度减小 10.如图所示,在空间𝑥轴上方有沿负𝑦方向的匀强电场,电场强度大小为𝐸,在𝑥轴下方有方向与𝑥轴成 45°角的匀强电场,电场强度大小为√2𝐸。现有一带正电量q,质量为m的粒子从(0,ℎ)以沿𝑥方向的速度 𝑣 射出,忽略粒子所受的重力。若粒子第一次经过𝑥轴时速度方向与𝑥轴成45°角,则( ) 0 A.𝑣 与𝐸满足𝑣 =√ 𝐸𝑞ℎ 0 0 𝑚 B.粒子第2次经过𝑥轴时的位置为(10ℎ,0) C.粒子第20次经过𝑥轴时的位置为(838ℎ,0) D.粒子第20次经过𝑥轴时速度大小为√401𝑣 0 {#{QQABTQ4EggCgAJAAAAhCQwW4CEMQkBAACYgOQFAAIAAAyAFABCA=}#}二.实验题(共15分) 11.(5分)在“用传感器观察电容器的充放电过程”实验中,按图1所示连接电路,单刀双掷开关S先跟2 相接,某时刻开关改接1,一段时间后,把开关再改接2。实验中使用了电流传感器来采集电流随时间的 变化情况。 (1)开关S改接2后,电容器进行的是 (选填“充电”或“放电”)过程,如果不改变电路其他参 数,只减小电阻R的阻值,则此过程的I−t曲线与坐标轴所围成的面积将 (选填“减小”、“不变” 或“增大”)。 (2)若实验中测得该电容器充电结束时两极间的电压为8.0V,在整个放电过程中释放的电荷量 Q=3.210−3C,则该电容器充电结束时储存的电能为 J。(结果保留三位有效数字) 12.(10分)美国物理学家密立根于1910年利用如图所示的实验装置,确定了电荷量的不连续性,并测定 了元电荷的数值。图中雾状小油滴被喷到水平放置的两块平行金属板上方的空间。两平行金属板中的上板 有一小孔,小孔很小不会影响两平行板之间的电场。当油滴穿过小孔进入两板间的空间后,通过显微镜可 测出在两板间不加电压时油滴下降的速率,从而算出油滴质量𝑚。再用X射线照射两板间的空气使之电 离,从而使油滴带上负电荷,电荷量的绝对值为𝑞。在两金属板上加电压并进行调节,使油滴受到的电场 力等于它所受的重力,油滴达到平衡,就能求出油滴所带电荷量𝑞。 (1) 下列关于密立根油滴实验的叙述中正确的是( ) A.平行极板一定要水平,通电时上极板接电源负极; B.实验时要选择质量小一些的油滴; 5 {#{QQABTQ4EggCgAJAAAAhCQwW4CEMQkBAACYgOQFAAIAAAyAFABCA=}#}C.密立根油滴实验证明了任何带电体所带电荷都是1.6×10−19C的整数倍; D.为了测量两板之间匀强电场的大小,必须测量的量有两板间的电压𝑈,两板间的距离𝑑以及两板的长度 𝐿。 (2)油滴近似看成密度为𝜌,半径为𝑟的球形。油滴受到的空气阻力可以表示为𝑓 =6𝜋𝑟𝜂𝑣,其中𝜂是空气的黏 滞系数,𝑣为油滴下降的速率。重力加速度为𝑔,不考虑空气浮力。油滴的半径𝑟在当时的条件下无法准确 测得,但油滴匀速运动时的速率𝑣可以测得,请写出油滴质量𝑚的表达式𝑚 = (可用物理量: 𝜌、𝑔、𝑣、𝜂)。 (3)若已测得一个油滴的质量为𝑚。调节两板间的电压,使得该油滴恰好悬浮静止,此时两板间的电压为 𝑈。同时测得两板间的距离𝑑以及两板的长度𝐿。请写出油滴带电量𝑞的表达式𝑞 = (可用物理 量:𝑚、𝑔、𝑈、𝑑、𝐿)。 (4)实验结束后,需要让漂浮在两板之间的油滴尽快下落收集。则下列做法可以达到目的的有( )。 A.保持两极板电压不变,把下极板向下移 B.保持两极板电压不变,在两极板间插入导体板 C.断开电源,在两极板间充入某种相对介电常数更大的气体 D.断开电源,把下极板向右移 三.解答题(共45分) 13.(10分)如图所示,小球A的质量为m、B的质量为2m,两球均带正电荷,B的带电量是A的4 倍,用长均为L的a、b绝缘细线悬挂于O点,两小球均处于静止状态,细线b中的拉力是细绳a中的拉 力的2倍,已知重力加速度大小为g,静电力常量为k,sin53°=0.8,cos53°=0.6。求: (1)小球A的带电量q; (2)若给小球A、B同时施加方向相反、大小始终相等的水平拉力,且两力从0开始缓慢增大,此过程两小 球电荷量保持不变。求细线b与竖直方向的夹角从0°缓慢增加到53°的过程中两个拉力所做的总功W。 6 {#{QQABTQ4EggCgAJAAAAhCQwW4CEMQkBAACYgOQFAAIAAAyAFABCA=}#}14.(15分)如图所示,空间中有两块带电平行金属板M、N,两板间距为d =0.5m,两板间的电压 U =10V。小球以 7 v 0 = 3 m /s 的水平速度从两板间的A点飞入,A点到上极板左端点的竖直距离为 h=0.1m,然后从下极板的右端点B点飞出,并沿切线方向飞入竖直光滑圆轨道。 B 点与光滑竖直圆轨道 平滑连接,圆轨道的半径 R = 1 m 。平行金属板M、N的右侧垂线 C D 的右侧区域存在水平向右的匀强电 场,电场强度 E = 1 5 N /C 。已知小球带正电,质量 m = 1 .0 k g ,电荷量 q = 0 .5 C ,重力加速度 g 取 1 0 m /s 2 , sin37°=0.6,不计空气阻力。求: (1)小球在 B 点的速度大小v ; B (2)极板的长度L; (3)小球在竖直圆轨道上滚动时的最大速度 v m 。 15.(20分)如图甲所示,在整个第三象限内,有平行于y轴向上的匀强电场,电场强度为E 但大小未 1 知。一质量为m,电荷量为q的正离子(不计重力)可从y轴负半轴的某位置平行于x轴负方向以速度v 0 射入第三象限,离子刚进入第二象限的时候在y轴正半轴距离坐标原点O为d的地方放一个负点电荷,电 量Q未知,同时撤去E ,离子随即做匀速圆周运动,随后当离子经过y轴时,立即撤去Q,在第一、四象 1 限加上如图乙所示的周期性变化的电场 E 2 ,取平行于y轴正方向为 E 2 3d 的正方向,其周期T = , 4v 0 E 2 与 时间t的关系如图乙所示,已知静电力常量为k。 (1)求第三象限电场强度E 的大小; 1 3 (2)若正离子在y轴负半轴距坐标原点 d处沿x轴负方向以速度v 射入第三象限,为使离子在第二象限 2 0 做匀速圆周运动,求固定的负点电荷的电量Q; {#{QQABTQ4EggCgAJAAAAhCQwW4CEMQkBAACYgOQFAAIAAAyAFABCA=}#}(3)以第(2)问为前提条件,求离子从y轴正半轴到x轴的时间(结果用d和v 表示) 0 ,1414 8 {#{QQABTQ4EggCgAJAAAAhCQwW4CEMQkBAACYgOQFAAIAAAyAFABCA=}#}2024-2025 学年度上期高二 10 月测试物理试卷答案 一.选择题(每小题4分,共40分)(1-7小题为单项选择题。8-10小题为多项选择题) 1. C 2. D 3. C 4. D 5. D 6. C 7. D 8. AB 9. AC 10. BC 二.实验题(共15分) 11.【答案】 放电(1分) 不变(1分) 1 .2 8  1 0 − 2 J (3分) 12.【答案】 BC(2分) 9√2𝜋𝜂 3 2𝑣 3 2𝜌− 1 2𝑔− 3 2 (4分) 𝑚𝑔𝑑(2分) AC(2分) 𝑈 三.解答题(共45分) 13.【答案】(1)𝑞 =√ 𝑚𝑔𝐿2 (2)0.8mgL 𝑘 【详解】(1)设小球AB的质量分别为m和2m,带电量分别为q和4q,细绳a的拉力为T,则细绳b的拉力为 2T,对A、B整体研究,细线a的拉力 T=3mg 对小球B研究,根据力的平衡 𝑞×4𝑞 2𝑇 =2𝑚𝑔+𝑘 𝐿2 解得 𝑚𝑔𝐿2 𝑞 =√ …………..(5分) 𝑘 (2)对A、B施加等大反向的水平拉力后,A、B组成的系统始终处于平衡状态,对两球的整体分析可知,水平 方向受合力为零,因此细线a始终处于竖直,当细线b与竖直方向的夹角为53°时,小球A保持静止,小球B和 A间的距离始终保持不变,电场力不做功,作用在A上的拉力不做功,根据功能关系知,拉力对小球B做功,即 两个拉力做的总功为B的重力势能增加量,则 W=2mg(L-Lcos53°)=0.8mgL…………..(5分) 14.【答案】(1)5m s (2) 0 .6 m (3) 5 2 m s 【详解】(1)小球从A点到B点由动能定理可得 1 1 qU +mg(d−h)= mv2 − mv2 AN 2 B 2 0 解得 v =5m s …………..(3分) B (2)小球在两板间做类平抛运动,则有 L=vt 0 1 (d−h)= (a+g)t2 2 其中 U a= q=10m s2 dm {#{QQABTQ4EggCgAJAAAAhCQwW4CEMQkBAACYgOQFAAIAAAyAFABCA=}#}{#{QQABTQ4EggCgAJAAAAhCQwW4CEMQkBAACYgOQFAAIAAAyAFABCA=}#}(2)由题可知 1𝐸 𝑞 3 1 𝑡2 = 𝑑 2 𝑚 2 联立可解得 𝑡𝑎𝑛𝜃 =√3 粒子沿着y轴正方向的速度 𝑣 =𝑣 𝑡𝑎𝑛𝜃 =√3𝑣 𝑦 0 0 粒子的合速度 𝑣 =√𝑣2+𝑣2 =2𝑣 0 𝑦 0 粒子的轨道半径 𝑅 =√(√3𝑑)2+𝑑2 =2𝑑 库仑力提供粒子做匀速圆周运动的向心力,则 𝑘𝑄𝑞 𝑚𝑣2 = 𝑅2 𝑅 可得 𝑄 = 8𝑚𝑣0 2𝑑 …………..(6分) 𝑘𝑞 (3)粒子到达y轴正半轴时,到x轴的距离 𝑦 =𝑅+𝑑 =3𝑑 进入电场后竖直方向的加速度大小 2Eq 2v2 a= 1 = 0 m d 利用v-t图像可知 {#{QQABTQ4EggCgAJAAAAhCQwW4CEMQkBAACYgOQFAAIAAAyAFABCA=}#}第一个周期向上运动的距离 1 1 2v2 d d y = at2 =  0 ( )2 = 1 2 2 d 4v 16 0 每个周期比前一个周期向下多移动的距离为 𝑣 3 𝛥𝑦 = 0 𝑇 = 𝑑 2 8 设经过n个周期,则向下移动的距离 𝑛(𝑛−1) 𝑦 =𝑛(−𝑦 )+ 𝛥𝑦 =3𝑑 1 2 解得 4n5 因此n只能取4,此时向下位移为 n(n−1) d 4(4−1)3d y =n(−y )+ y=4(− )+ =2d 4 1 2 16 2 8 根据动量定理 2 1 4(Eq T−Eq T)=mv 3 3 4 可知此时的速度 v =2v 4 0 1 接下来在4T ~4 T时间内向下减速运动的位移 3 T 1 T 7 y =v  − a( )2 = d 51 4 3 2 3 16 此时的速度 3v v =v −at = 0 5 4 5 2 再运动的时间为t到达x轴,则 1 vt+ at2 = y−y −y 5 2 4 51 代入数据解得 3(√2−1) 𝑑 𝑡 = 4 𝑣 0 因此总的时间为 𝑡 =4𝑇+ 𝑇 +𝑡 = 10+3√2 𝑑 …………..(10分) 总 3 4 𝑣0 {#{QQABTQ4EggCgAJAAAAhCQwW4CEMQkBAACYgOQFAAIAAAyAFABCA=}#}