当前位置:首页>文档>圆锥曲线大题综合(解析版)_2024-2026高三(6-6月题库)_2025年12月高三试卷_251219圆锥曲线大题综合(解析版)

圆锥曲线大题综合(解析版)_2024-2026高三(6-6月题库)_2025年12月高三试卷_251219圆锥曲线大题综合(解析版)

  • 2026-03-22 20:17:33 2026-02-19 13:43:49

文档预览

圆锥曲线大题综合(解析版)_2024-2026高三(6-6月题库)_2025年12月高三试卷_251219圆锥曲线大题综合(解析版)
圆锥曲线大题综合(解析版)_2024-2026高三(6-6月题库)_2025年12月高三试卷_251219圆锥曲线大题综合(解析版)
圆锥曲线大题综合(解析版)_2024-2026高三(6-6月题库)_2025年12月高三试卷_251219圆锥曲线大题综合(解析版)
圆锥曲线大题综合(解析版)_2024-2026高三(6-6月题库)_2025年12月高三试卷_251219圆锥曲线大题综合(解析版)
圆锥曲线大题综合(解析版)_2024-2026高三(6-6月题库)_2025年12月高三试卷_251219圆锥曲线大题综合(解析版)
圆锥曲线大题综合(解析版)_2024-2026高三(6-6月题库)_2025年12月高三试卷_251219圆锥曲线大题综合(解析版)
圆锥曲线大题综合(解析版)_2024-2026高三(6-6月题库)_2025年12月高三试卷_251219圆锥曲线大题综合(解析版)
圆锥曲线大题综合(解析版)_2024-2026高三(6-6月题库)_2025年12月高三试卷_251219圆锥曲线大题综合(解析版)
圆锥曲线大题综合(解析版)_2024-2026高三(6-6月题库)_2025年12月高三试卷_251219圆锥曲线大题综合(解析版)
圆锥曲线大题综合(解析版)_2024-2026高三(6-6月题库)_2025年12月高三试卷_251219圆锥曲线大题综合(解析版)
圆锥曲线大题综合(解析版)_2024-2026高三(6-6月题库)_2025年12月高三试卷_251219圆锥曲线大题综合(解析版)
圆锥曲线大题综合(解析版)_2024-2026高三(6-6月题库)_2025年12月高三试卷_251219圆锥曲线大题综合(解析版)
圆锥曲线大题综合(解析版)_2024-2026高三(6-6月题库)_2025年12月高三试卷_251219圆锥曲线大题综合(解析版)
圆锥曲线大题综合(解析版)_2024-2026高三(6-6月题库)_2025年12月高三试卷_251219圆锥曲线大题综合(解析版)
圆锥曲线大题综合(解析版)_2024-2026高三(6-6月题库)_2025年12月高三试卷_251219圆锥曲线大题综合(解析版)
圆锥曲线大题综合(解析版)_2024-2026高三(6-6月题库)_2025年12月高三试卷_251219圆锥曲线大题综合(解析版)
圆锥曲线大题综合(解析版)_2024-2026高三(6-6月题库)_2025年12月高三试卷_251219圆锥曲线大题综合(解析版)
圆锥曲线大题综合(解析版)_2024-2026高三(6-6月题库)_2025年12月高三试卷_251219圆锥曲线大题综合(解析版)
圆锥曲线大题综合(解析版)_2024-2026高三(6-6月题库)_2025年12月高三试卷_251219圆锥曲线大题综合(解析版)
圆锥曲线大题综合(解析版)_2024-2026高三(6-6月题库)_2025年12月高三试卷_251219圆锥曲线大题综合(解析版)
圆锥曲线大题综合(解析版)_2024-2026高三(6-6月题库)_2025年12月高三试卷_251219圆锥曲线大题综合(解析版)
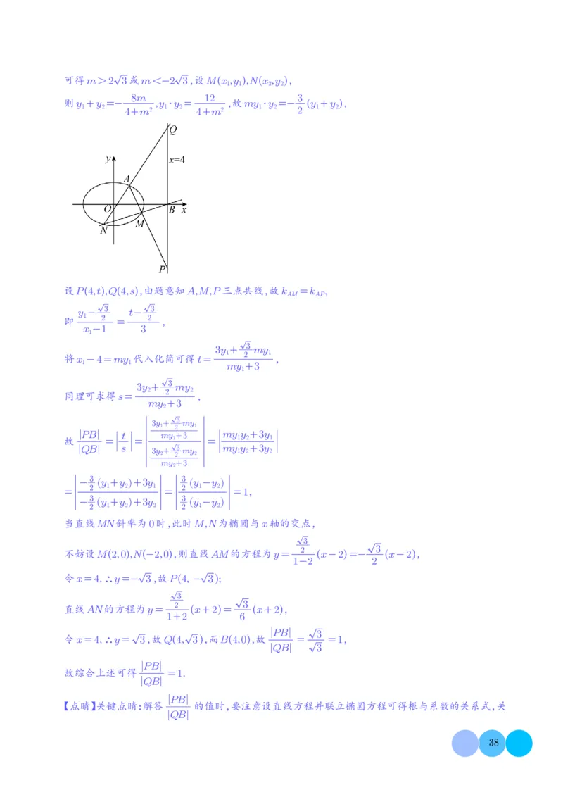
圆锥曲线大题综合(解析版)_2024-2026高三(6-6月题库)_2025年12月高三试卷_251219圆锥曲线大题综合(解析版)
圆锥曲线大题综合(解析版)_2024-2026高三(6-6月题库)_2025年12月高三试卷_251219圆锥曲线大题综合(解析版)
圆锥曲线大题综合(解析版)_2024-2026高三(6-6月题库)_2025年12月高三试卷_251219圆锥曲线大题综合(解析版)
圆锥曲线大题综合(解析版)_2024-2026高三(6-6月题库)_2025年12月高三试卷_251219圆锥曲线大题综合(解析版)
圆锥曲线大题综合(解析版)_2024-2026高三(6-6月题库)_2025年12月高三试卷_251219圆锥曲线大题综合(解析版)
圆锥曲线大题综合(解析版)_2024-2026高三(6-6月题库)_2025年12月高三试卷_251219圆锥曲线大题综合(解析版)
圆锥曲线大题综合(解析版)_2024-2026高三(6-6月题库)_2025年12月高三试卷_251219圆锥曲线大题综合(解析版)
圆锥曲线大题综合(解析版)_2024-2026高三(6-6月题库)_2025年12月高三试卷_251219圆锥曲线大题综合(解析版)
圆锥曲线大题综合(解析版)_2024-2026高三(6-6月题库)_2025年12月高三试卷_251219圆锥曲线大题综合(解析版)
圆锥曲线大题综合(解析版)_2024-2026高三(6-6月题库)_2025年12月高三试卷_251219圆锥曲线大题综合(解析版)
圆锥曲线大题综合(解析版)_2024-2026高三(6-6月题库)_2025年12月高三试卷_251219圆锥曲线大题综合(解析版)
圆锥曲线大题综合(解析版)_2024-2026高三(6-6月题库)_2025年12月高三试卷_251219圆锥曲线大题综合(解析版)
圆锥曲线大题综合(解析版)_2024-2026高三(6-6月题库)_2025年12月高三试卷_251219圆锥曲线大题综合(解析版)
圆锥曲线大题综合(解析版)_2024-2026高三(6-6月题库)_2025年12月高三试卷_251219圆锥曲线大题综合(解析版)
圆锥曲线大题综合(解析版)_2024-2026高三(6-6月题库)_2025年12月高三试卷_251219圆锥曲线大题综合(解析版)
圆锥曲线大题综合(解析版)_2024-2026高三(6-6月题库)_2025年12月高三试卷_251219圆锥曲线大题综合(解析版)
圆锥曲线大题综合(解析版)_2024-2026高三(6-6月题库)_2025年12月高三试卷_251219圆锥曲线大题综合(解析版)
圆锥曲线大题综合(解析版)_2024-2026高三(6-6月题库)_2025年12月高三试卷_251219圆锥曲线大题综合(解析版)
圆锥曲线大题综合(解析版)_2024-2026高三(6-6月题库)_2025年12月高三试卷_251219圆锥曲线大题综合(解析版)
圆锥曲线大题综合(解析版)_2024-2026高三(6-6月题库)_2025年12月高三试卷_251219圆锥曲线大题综合(解析版)
圆锥曲线大题综合(解析版)_2024-2026高三(6-6月题库)_2025年12月高三试卷_251219圆锥曲线大题综合(解析版)
圆锥曲线大题综合(解析版)_2024-2026高三(6-6月题库)_2025年12月高三试卷_251219圆锥曲线大题综合(解析版)
圆锥曲线大题综合(解析版)_2024-2026高三(6-6月题库)_2025年12月高三试卷_251219圆锥曲线大题综合(解析版)
圆锥曲线大题综合(解析版)_2024-2026高三(6-6月题库)_2025年12月高三试卷_251219圆锥曲线大题综合(解析版)
圆锥曲线大题综合(解析版)_2024-2026高三(6-6月题库)_2025年12月高三试卷_251219圆锥曲线大题综合(解析版)
圆锥曲线大题综合(解析版)_2024-2026高三(6-6月题库)_2025年12月高三试卷_251219圆锥曲线大题综合(解析版)

文档信息

文档格式
pdf
文档大小
1.114 MB
文档页数
47 页
上传时间
2026-02-19 13:43:49

文档内容

圆锥曲线大题综合 冲刺秘籍 1. 利用韦达定理法解决直线与圆锥曲线相交问题的基本步骤: (1)设直线方程,设交点坐标为x 1 ,y 1 1  、x 2 ,y 2  ; (2)联立直线与圆锥曲线的方程,得到关于x(或y)的一元二次方程,必要时计算Δ; (3)列出韦达定理; (4)将所求问题或题中的关系转化为x +x 、x x (或y +y 、y y )的形式; 1 2 1 2 1 2 1 2 (5)代入韦达定理求解 2. 若直线l:y=kx+b与圆雉曲线相交于A(x ,y ),B(x ,y )两点, 1 1 2 2 由直线与圆锥曲线联立,消元得到Ax2+Bx+C=0(Δ>0) B C 则:x +x =- ,x x = 1 2 A 1 2 A 则:弦长 AB  = x 1 -x 2  2+y 1 -y 2  2= x 1 -x 2  2+kx 1 -kx 2  2 = 1+k2x -x 1 2  = 1+k2 x 1 +x 2  2-4x x 1 2 = 1+k2  B - A   2 4C  -  A  = 1+k2  B2-4AC  A2  1+k2 =  ⋅Δ A  1 或|AB|= 1+ k2 ⋅ y 1 -y 2  1 2= 1+ ⋅y -y k2 1 2  3. 处理定点问题的思路: (1)确定题目中的核心变量(此处设为k), (2)利用条件找到k与过定点的曲线Fx,y  =0的联系,得到有关k与x,y的等式, (3)所谓定点,是指存在一个特殊的点x 0 ,y 0  ,使得无论k的值如何变化,等式恒成立,此时要将关于 k与x,y的等式进行变形,直至找到x 0 ,y 0  , ①若等式的形式为整式,则考虑将含k的式子归为一组,变形为“k⋅  ”的形式,让括号中式子等于0, 求出定点; ②若等式的形式是分式,一方面可考虑让分子等于0,一方面考虑分子和分母为倍数关系,可消去k变 为常数. 4. 处理定值问题的思路: 联立方程,用韦达定理得到x +x 、x x (或y +y 、y y )的形式,代入方程和原式化简即可. 1 2 1 2 1 2 1 2冲刺训练 一、解答题 6 4 1 已知点A(2,0),B- ,- 5 5 2  x2 y2 在椭圆M: + =1(a>b>0) 上. a2 b2 (1)求椭圆M的方程; (2)直线l与椭圆M交于C,D两个不同的点(异于A,B),过C作x轴的垂线分别交直线AB,AD于点 P,Q,当P是CQ中点时,证明.直线l过定点. x2 【答案】(1) +y2=1 4 (2)证明见解析 【分析】(1)根据椭圆所经过的点列方程求出其方程;(2)设出CD方程,结合韦达定理和P是CQ中点 的条件,找到直线CD中两个参数的关系,从而求出定点. 6 4 【详解】(1)由题知a=2,又椭圆经过B- ,- 5 5  1 6 ,代入可得 - 4 5  2 1 4 + - b2 5  2 =1,解得b2=1, x2 故椭圆的方程为: +y2=1 4 (2) 由题意知,当l⊥x轴时,不符合题意,故l的斜率存在,设l的方程为y=kx+m, y=kx+m  联立 x2 +y2=1 消去y得4k2+1 4  x2+8kmx+4m2-4=0, 则Δ=64k2m2-16m2-1  4k2+1  =164k2-m2+1  >0, 即4k2+1>m2 设 Cx 1 ,y 1  ,Dx 2 ,y 2  -8km 4m2-4 ,x +x = ,x x = 1 2 4k2+1 1 2 4k2+1 1 x -2 AB的方程为y= (x-2),令x=x 得Px , 1 4 1 1 4  , y x -2 AD的方程为y= 2 (x-2),令x=x 得Qx , 1 y x -2 1 1 x -2 2 2 2  ,x -2 x -2 y y 1 由P是CQ中点,得 1 =y + 1 ⋅y ,即 1 + 2 = , 2 1 x -2 2 x -2 x -2 2 2 1 2 即kx 1 +m 3  x 2 -2  +kx 2 +m  x 1 -2  1 = 2 x 1 x 2 -2x 1 +x 2   +4  , 即(1-4k)x 1 x 2 +(4k-2m-2)x 1 +x 2  +4+8m=0, 即4m2+(16k+8)m+16k2+16k=0,所以 (m+2k)(m+2k+2)=0, 得m=-2k-2或m=-2k, 3 当m=-2k-2,此时由Δ>0,得k<- ,符合题意; 8 当m=-2k,此时直线l经过点A,与题意不符,舍去. 所以l的方程为y=kx-2k-2,即y=k(x-2)-2, 所以l过定点(2,-2). x2 y2 2 2 已知椭圆C: + =1(a>b>0)的离心率e= ,且点4,1 a2 b2 2  在椭圆C上. (1)求椭圆C的方程; (2)若经过定点0,-1  的直线l与椭圆C交于P,Q两点,记椭圆的上顶点为M,当直线l的斜率变化 时,求△MPQ面积的最大值. x2 y2 【答案】(1) + =1 18 9 (2)16 【分析】(1)根据离心率的值和定义可以求出a,b之间的关系式,待定系数法设出椭圆方程后把已知点 代入求解即可. 4k -16 (2)设出直线方程后,联立直线和椭圆方程,消元化简后,可得x +x = ,x x = ,利用弦 1 2 2k2+1 1 2 2k2+1 长公式求出弦长,再利用点到直线距离公式求出三角形的高,△MPQ的面积可用直线斜率k进行表 达,通过换元转化为一元二次函数,求出最值即可. 2 【详解】(1)椭圆C的离心率e= , 2 2 c b2 b2 1 则 = = 1- ,即 = , 2 a a2 a2 2 x2 y2 所以a= 2b= 2c,椭圆方程为 + =1. 2b2 b2 将点4,1  代入方程得b2=9, x2 y2 故所求方程为 + =1. 18 9 (2)点0,-1  在椭圆C内,直线l的斜率存在,设直线l的方程为y=kx-1, x2 + y2 =1, 由18 9 得2k2+1 y=kx-1,  x2-4kx-16=0.设Px 1 ,y 1 4  ,Qx 2 ,y 2  4k -16 ,则x +x = ,x x = ,Δ>0. 1 2 2k2+1 1 2 2k2+1 PQ  = k2+1  x 1 +x 2   2-4x x 1 2  4 k2+1 =  9k2+4  . 2k2+1 点M0,3  4 1 到l的距离d= ,S = PQ k2+1 △MPQ 2  8 9k2+4 ⋅d= . 2k2+1 令t=2k2+1t≥1  9(t-1) +4 ,则k2= t-1 ,则S =8 2 =8 81 - 1  1 - 9 2 △MPQ t2 8 2 t 2  2 . 1 1 因为0< ≤1,所以当 =1k=0 t t  时,S =16是所求最大值. △MPQ x2 y2 3 已知椭圆C: + =1a>b>0 a2 b2  2 的短轴长为2 2,离心率为 . 2 (1)求椭圆C的方程; (2)过点P4,1  的动直线l与椭圆C相交于不同的A,B两点,在线段AB上取点Q,满足AP  ⋅QB  =AQ  ⋅PB  ,证明:点Q总在某定直线上. x2 y2 【答案】(1) + =1 4 2 (2)证明见解析 2b=2 2  【分析】(1)根据题意得 c 2 ,再结合a2=b2+c2可求出a,b,从而可求得椭圆方程, = a 2 (2)设Ax 1 ,y 1  ,Bx 2 ,y 2  ,Qx,y  ,P4,t  ,设AB的方程为y=kx-4  +1,代入椭圆方程化简,利用 根与系数的关系,由AP  ⋅QB  =AQ  ⋅PB  可得2x 1 x 2 -x 1 +x 2  4+x  +8x=0,再结合前面的式 子化简可求出关于x,y的方程,从而可证得结论. 2b=2 2  【详解】(1)由题意可知 c 2 ,因为a2=b2+c2,所以解得a=2,b= 2. = a 2 x2 y2 所以所求椭圆的方程为 + =1 4 2 (2)设Ax 1 ,y 1  ,Bx 2 ,y 2  ,Qx,y  ,P4,t  , 直线AB的斜率显然存在,设为k,则AB的方程为y=kx-4  +1. 因为A,P,B,Q四点共线,不妨设x 0,得12k2-8k-1<0, 4k1-4k 由韦达定理,得x +x =- 1 2 5  21-4k ,x x = 2k2+1 1 2  2-4 .代入(*) 2k2+1 4k+1 5 7 化简得x= =4- ,即 =4-x. k+2 k+2 k+2 y-1 7 又k= ,代入上式,得 =4-x,化简得2x+y-2=0. x-4 y-1 +2 x-4 所以点Q总在一条定直线2x+y-2=0上. 【点睛】关键点睛:本题解题的关键是设出直线AB的方程,利用弦长公式表示出AP  ,QB  ,AQ  , PB  ,代入AP  ⋅QB  =AQ  ⋅PB  化简,再将直线方程代入椭圆方程化简,利用根与系数的关系,几 个式子相结合可证得结论. 4 已知抛物线E:y2=4x,过点P(1,1)作斜率互为相反数的直线m,n,分别交抛物线E于A,B及 C,D两点.   (1)若PA=3BP,求直线AB的方程; (2)求证:∠CAP=∠BDP. 【答案】(1)y=x (2)证明见解析   x =4-3x 【分析】(1)设A(x 1 ,y 1 ),B(x 2 ,y 2 ),由PA=3BP,得   y 1 =4-3y 2,又y2 1 =4x 1 ,y2 2 =4x 2 ,解得A,B两点的 1 2 坐标,进而可得答案. (2)设直线AB:y=k(x-1)+1,则直线CD:y=-k(x-1)+1,设A(x ,y ),B(x ,y ),C(x ,y ),D 1 1 2 2 3 3 (x ,y ),联立直线AB与抛物线的方程,结合韦达定理由弦长公式计算AP 4 4  ⋅BP  ,同理可得CP  ⋅ DP  ,进而可得△APC∽△BPD,即可得出答案.   【详解】(1)设A(x ,y ),B(x ,y ),∵P(1,1),∴BP=(1-x ,1-y ),PA=(x -1,y -1), 1 1 2 2 2 2 1 1   3(1-x )=x -1 x =4-3x ∵PA=3BP,∴   2 1 ,   1 2. 3(1-y )=y -1 y =4-3y 2 1 1 2 又∵y2=4x ,∴(4-3y )2=4(4-3x ),即3y2-8y =-4x , 1 1 2 2 2 2 2 又∵y2=4x ,∴4y2-8y =0,y =0或y =2, 2 2 2 2 2 2 当y =0时,x =0,∴x =4,y =4; 2 2 1 1当y =2时,x =1,∴x =1,y =-2,此时直线AB的斜率不存在,舍去, 2 2 1 1 ∴A(4,4),B(0,0),∴直线AB的方程为:y=x. (2)设直线AB:y=k(x-1)+1,则直线CD:y=-k(x-1)+1, 设A(x ,y ),B(x ,y ),C(x ,y ),D(x ,y ), 1 1 2 2 3 3 4 4 1 由  y y2 = = k 4 ( x x-1)+1 ,即   x y2 = = k 4x (y-1)+1 ,则y2- k 4 y+ k 4 -4=0,所以y 1 +y 2 = k 4 ,y 1 y 2 = k 4 -4, 1 1 又∵|AP|= 1+ |y -1|,|BP|= 1+ |y -1|, k2 1 k2 2 1 ∴|AP|⋅|BP|=1+ k2 6  (y -1)(y -1) 1 2  1 =1+ k2  y y -(y +y )+1 1 2 1 2  1 =1+ k2  4 4  -4- +1 k k  1 =31+ k2   1 ,同理可证:|CP|⋅|DP|=31+   (-k)2  1 =31+ k2  , |AP| |CP| ∴|AP|⋅|BP|=|CP|⋅|DP|,∴ = , |DP| |BP| 又∵∠CPA=∠BPD,∴△APC∽△BPD,∴∠CAP=∠BDP. 【点睛】方法点睛: 解答直线与抛物线的题目时,时常把两个曲线的方程联立,消去x(或y)建立一元二次方程,然后借助 根与系数的关系,并结合题设条件建立有关参变量的等量关系.涉及到直线方程的设法时,务必考虑 全面,不要忽略直线斜率为0或不存在等特殊情形.强化有关直线与抛物线联立得出一元二次方程 后的运算能力,重视根与系数之间的关系、弦长、斜率、三角形的面积等问题. y2 5 已知双曲线M:x2- =1,在双曲线M的右支上存在不同于点A(2,3)的两点P,Q,记直线 3 AP,AQ,PQ的斜率分别为k ,k ,k,且k ,k,k 成等差数列. 1 2 1 2 (1)求k的取值范围; (2)若△OPQ的面积为 6(O为坐标原点),求直线PQ的方程. 【答案】(1)k<-2或k>2 (2)y= 6x- 6或y=- 6x+ 6【分析】(1)设Px 1 ,y 1 7  ,Qx 2 ,y 2  ,直线PQ:y=kx+m,代入双曲线方程,根据Δ>0,x +x >0, 1 2 k2>3  6-2k2 x x >0得m2+3>k2,根据2k=k +k 以及斜率公式推出x +x =4,m= ,代入m2+3> 1 2 1 2 1 2 k mk<0 k2可求出结果; (2)利用弦长公式求出|PQ|,利用点到直线距离公式求出点O到直线PQ的距离,再利用三角形面积 列式求出k,m可得直线PQ的方程. 【详解】(1)设Px 1 ,y 1  ,Qx 2 ,y 2  ,直线PQ:y=kx+m, y=kx+m  由 y2 ,消去y得3-k2 x2- =1 3  x2-2kmx-m2-3=0, 3-k2≠0 Δ=4k2m2+43-k2 依题意可得  m2+3    >0 k2>3   x +x = 2km >0 ,得m2+3>k2,  1 2 3-k2 mk<0 m2+3 x x =- >0  1 2 3-k2 又k ,k,k 成等差数列, 1 2 y -3 y -3 kx +m-3 kx +m-3 所以2k=k +k = 1 + 2 = 1 + 2 1 2 x -2 x -2 x -2 x -2 1 2 1 2 k(x -2)+2k+m-3 k(x -2)+2k+m-3 = 1 + 2 x -2 x -2 1 2 1 1 =2k+(2k+m-3) + x -2 x -2 1 2  , 1 1 所以(2k+m-3) + x -2 x -2 1 2  =0, 因为P,Q不同于A,即A(2,3)不在直线PQ:y=kx+m上, 所以3≠2k+m,即2k+m-3≠0, 1 1 x -2+x -2 所以 + =0,即 1 2 =0,即x +x =4, x -2 x -2 (x -2)(x -2) 1 2 1 2 1 2 2km 6-2k2 6-2k2 所以 =4,即m= ,代入m2+3>k2,得 3-k2 k k  2 +3>k2, 得4(k2-3)2>k2(k2-3),因为k2>3,所以4(k2-3)>k2,即k2>4, 所以k<-2或k>2. 2km (2)|PQ|= 1+k2× (x +x )2-4x x = 1+k2×  1 2 1 2 3-k2  2 4(m2+3) - k2-3 2 3⋅ 1+k2 = m2+3-k2, k2-3 m 点O到直线PQ的距离d=  , 1+k21 |m| 2 3⋅ 1+k2 S = × × m2+3-k2= 6, △OPQ 2 1+k2 k2-3 所以|m| m2+3-k2= 2(k2-3), 两边平方得m2(m2+3-k2)=2(k2-3)2, 2km k2m2 由 =4得(k2-3)2= ,代入m2(m2+3-k2)=2(k2-3)2, 3-k2 4 k2m2 k2 得m2(m2+3-k2)=2× ,因为m2>0,所以m2+3-k2= , 4 2 6-2k2 6-2k2 将m= 代入得 k k 8  2 k2 +3-k2= ,整理得5k4-42k2+72=0, 2 12 所以(5k2-12)(k2-6)=0,解得k2=6或k2= , 5 由(1)知,k2>4,所以k2=6,k=± 6, 6-2×6 当k= 6时,m= =- 6,直线PQ的方程为y= 6x- 6, 6 6-2×6 当k=- 6时,m= = 6,直线PQ的方程为y=- 6x+ 6, - 6 综上所述:直线PQ方程为y= 6x- 6或y=- 6x+ 6. 【点睛】关键点点睛:根据2k=k +k 以及斜率公式推出x +x =4是本题解题关键. 1 2 1 2 6 已知O为坐标原点,定点F 1-1,0  ,F 21,0  ,圆O:x2+y2=2,M是圆内或圆上一动点,圆O与 以线段FM为直径的圆O 内切. 2 1 (1)求动点M的轨迹方程; (2)设M的轨迹为曲线E,若直线l与曲线E相切,过点F 作直线l的垂线,垂足为N,证明:ON 2  为定 值. x2 【答案】(1) +y2=1 2 (2)证明见解析 【分析】(1)依题意可得MF 1  +MF 2  =2 2>FF 1 2  ,根据椭圆的定义可知动点M是以F 1-1,0  , F 21,0  为焦点的椭圆,即可求出椭圆方程;(2)分直线l的斜率存在不为0,斜率为0,斜率不存在三种情况讨论,当直线l的斜率存在且不为零时, 设直线方程为y=kx+mk≠0 9  ,联立直线与椭圆方程,根据Δ=0得到m2=2k2+1,表示出NF 的方 2 程,联立求出N的坐标,即可求出ON  ,其它情形直接求出ON  ,即可得证. 【详解】(1)圆O:x2+y2=2的圆心为O0,0  ,半径为 2, 依题意圆O 的半径r=O F 1 1 2  ,又两圆相内切,所以圆心距OO 1  = 2-r, 所以MF 1  +MF 2  =2OO 1  +MF 2  =2 2-r  +2r=2 2>FF 1 2  =2, 根据椭圆的定义可知动点M是以F 1-1,0  ,F 21,0  为焦点的椭圆, 且c=1,a= 2,则b= a2-c2=1, x2 所以动点M的轨迹方程为 +y2=1. 2 (2)当直线l的斜率存在且不为零时,设直线方程为y=kx+mk≠0  , y=kx+m  联立直线l和椭圆E的方程得 x2 +y2=1 ,消去y并整理得2k2+1 2  x2+4kmx+2m2-2=0, 因为直线l与曲线E相切,所以Δ=16k2m2-42k2+1  2m2-2  =0,整理得m2=2k2+1, 1 因为NF 2 与直线l垂直,所以NF 2 的方程为y=- k x-1  , 1 y=- x-1 由 k  1-km x=   ,解得   1+k2 ,即N 1-km , k+m y=kx+m y= k+m 1+k2 1+k2 1+k2  , 所以ON  1-km 2= 1+k2  2 k+m + 1+k2  2 k2m2+k2+m2+1 = 1+k2  k2+1 = 2  m2+1  1+k2  m2+1 = =2, 2 1+k2 所以ON  = 2, 当直线l的斜率为0时,则直线l的方程为y=±1,过点F 21,0  作直线l的垂线,则垂线方程为x=1,此时N1,1 10  或N1,-1  ,则ON  = 2, 当直线l的斜率不存在时,则直线l的方程为x=± 2,过点F 21,0  作直线l的垂线, 则垂线方程为y=0,此时N- 2,0  或N 2,0  ,则ON  = 2, 综上可得ON  = 2为定值. 【点睛】关键点睛:本题关键是由平面几何的性质及椭圆的定义求出椭圆方程,再对直线的斜率分类讨 论,分别求出ON  的值. x2 7 已知双曲线 3 -y2=1,F 1 ,F 2 为其左右焦点,点Px 0 ,y 0  为其右支上一点,在P处作双曲线的 切线l. (1)若P的坐标为3, 2  ,求证:l为∠FPF 的角平分线; 1 2 (2)过F,F 分别作l的平行线l ,l ,其中l 交双曲线于A、B两点,l 交双曲线于C、D两点,求△PAB 1 2 1 2 1 2 和△PCD的面积之积S ⋅S 的最小值. △PAB △PCD 【答案】(1)证明见解析 1 (2) 3 【分析】(1)易得点3, 2  处的切线方程l:x- 2y=1,根据l:x- 2y=1交x轴于点Q1,0  ,由 QF 1  QF 2  PF = 1  PF 2  判断; (2)过Px 0 ,y 0  的切线l: x 0 x-y ⋅y=1,由y ≠0时,得到k= x 0 ,联立 l 1 :y=kx+2 3 0 0 3y 0    ,得到AB x2-3y2-3=0  = 1+k2x -x 1 2  2 31+k2 =  =CD 3k2-1  ,再由d ⋅d =d ⋅d =1,然后由S ⋅S = P-l 1 P-l 2 F 1 -l F 2 -l △PAB △PCD1 AB 2 11  1 ⋅d ⋅ CD P-l 1 2  1 ⋅d = |AB|2⋅1求解. P-l 2 4 【详解】(1)解:由题意点Px 0 ,y 0  x 处的切线为l: 0 x-y ⋅y=1, 3 0 所以过点3, 2  处的切线方程为l:x- 2y=1, l:x- 2y=1交x轴于点Q1,0  QF ,则 1  QF 2  3 PF = , 1 1  PF 2  3 3 3 = = , 3 1 QF 即 1  QF 2  PF = 1  PF 2  ,所以l为∠FPF 的角平分线; 1 2 (2)过Px 0 ,y 0  x 的切线l: 0 x-y ⋅y=1, 3 0 x 当y ≠0时,即P不为右顶点时,k= 0 , 0 3y 0 x2 3+3y2 1 1 1 即k2= 0 = 0 = + > , 9y2 9y2 3 3y2 3 0 0 0 (或由直线与单支有两个交点,则k  >k 渐近线  1 = 也可) 3 联立 l 1 :y=kx+2  ⇒1-3k2 x2-3y2-3=0    x2-12k2x-12k2-3=0 设Ax 1 ,y 1  ,Bx 2 ,y 2  12k2 x +x = 1 2 1-3k2 ,则 -12k2-3 x ⋅x = , 1 2 1-3k2 Δ=12k2+1         所以AB  = 1+k2x -x 1 2  2 31+k2 =  =CD 3k2-1  x 0 -2 3 又d ⋅d =d ⋅d = P-l P-l F-l F-l 1 2 1 2   -1  x  0 ⋅2-1 3 ⋅ x2 y2+ 0 0 9  =1 x2 y2+ 0 0 9 1 所以S ⋅S = AB △PAB △PCD 2  1 ⋅d ⋅ CD P-l 1 2  1 ⋅d = |AB|2⋅1, P-l 2 4 k2+1 =3  2 3k2-1  4  1 3 = 1+  2 3  k2- 1 3  2 1 > , 3 当y =0时,即点P为右顶点时,AB 0  =CD  2b2 2 = = ,PF a 3 1  =a+c=2+ 3,PF 2  =c-a=2 - 3, 1 所以S ⋅S = AB △PAB △PCD 2  ⋅PF 1  1 ⋅ CD 2  ⋅PF 2  1 2 = × ×2+ 3 2 3  1 2 ⋅ × ×2- 3 2 3  1 = , 3 1 所以S ⋅S 的最小值为 . △PAB △PCD 38 已知圆E:x+1 12  2+y2=16,点F1,0  ,G是圆E上任意一点,线段GF的垂直平分线和半径 GE相交于H (1)求动点H的轨迹Γ的方程; (2)经过点F和T7,0  的圆与直线l:x=4交于P,Q,已知点A2,0  ,且AP、AQ分别与Γ交于M、 N.试探究直线MN是否经过定点.如果有,请求出定点;如果没有,请说明理由. x2 y2 【答案】(1) + =1 4 3 (2)经过定点,定点坐标为1,0  【分析】(1)利用椭圆的定义即可求出动点H的轨迹Γ的方程; (2)设Mx 1 ,y 1  ,Nx 2 ,y 2  ,直线MN的方程为:x=my+n,与椭圆方程联立,根据韦达定理列出x , 1 2y y ,x ,y 之间的关系,再利用两点式写出直线MA的方程,求出点P4, 1 1 2 2 x -2 1  2y ,Q4, 2 x -2 2  ,再写出 以PQ为直径的圆的方程,根据圆的方程经过点T7,0  ,得到关系式,进而求得n为定值,从而得到直 线MN过定点. 【详解】(1)如图所示, ∵HE  +HF  =HE  +HG  =4,且EF  =2<4, ∴点H的轨迹是以E,F为焦点的椭圆, x2 y2 设椭圆方程 + =1,则2a=4,c=1,∴a=2,b= a2-c2= 3. a2 b2 x2 y2 所以点H的轨迹方程为: + =1. 4 3 (2)设直线MN的方程为:x=my+n,x2 + y2 =1 由 4 3 ,得3m2+4 x=my+n 13  y2+6mny+3n2-12=0 设Mx 1 ,y 1  ,Nx 2 ,y 2  6mn 3n2-12 ,则y +y =- ,y y = . 1 2 3m2+4 1 2 3m2+4 所以,x 1 +x 2 =my 1 +y 2  8n +2n= 3m2+4 ,x 1 x 2 =my 1 +n  my 2 +n  -12m2+4n2 = 3m2+4 y 因为直线MA的方程为:y= 1 x-2 x -2 1  2y ,令x=4,得y = 1 , P x -2 1 2y 所以,P4, 1 x -2 1  2y ,同理可得Q4, 2 x -2 2  , 以PQ为直径的圆的方程为:x-4  2y 2+y- 1 x -2 1  2y y- 2 x -2 2  =0, 即x-4  2y 2y 2+y2- 1 + 2 x -2 x -2 1 2  2y 2y y+ 1 × 2 =0, x -2 x -2 1 2 因为圆过点7,0  2y 2y ,所以,9+ 1 × 2 =0, x -2 x -2 1 2 4y y 得9+ 1 2 x 1 x 2 -2x 1 +x 2  12n2-48 3m2+4 =0,代入得9+ =0, +4 -12m2+4n2 16n - +4 3m2+4 3m2+4 12n2-48 化简得,9+ =04n2-16n+16≠0,n≠2 4n2-16n+16  ,解得n=1或n=2(舍去), 所以直线MN经过定点1,0  , 当直线MN的斜率为0时,此时直线MN与x轴重合,直线MN经过点1,0  , 综上所述,直线MN经过定点1,0  . 9 已知双曲线x2-y2=1的左、右顶点分别为A ,A ,动直线l:y=kx+m与圆x2+y2=1相切, 1 2 且与双曲线左、右两支的交点分别为P(x ,y ),P(x ,y ). 1 1 1 2 2 2 (1)求k的取值范围; (2)记直线PA 的斜率为k ,直线PA 的斜率为k ,那么k k 是定值吗?证明你的结论. 1 1 1 2 2 2 1 2 【答案】(1)(-1,1) (2)-3-2 2 【分析】(1)根据直线与圆相切,可得m2+1+k2,联立直线与双曲线,根据x x <0可得k的范围; 1 2(2)根据斜率公式以及韦达定理,将k ⋅k 变形化简可得结果. 1 2 m 【详解】(1)∵l与圆相切,∴1= 14  ,∴m2=1+k2, 1+k2 y=kx+m 由  ,得(1-k2)x2-2mkx-(m2+1)=0, x2-y2=1 1-k2≠0 ∴ Δ=4m2k2+41-k2  m2+1  =4m2+1-k2    =8>0,  x ⋅x = m2+1 <0  1 2 k2-1 ∴k2<1,∴-1b>0)的左顶点为A,过右焦点F且平行于y轴的弦PQ=AF a2 b2 =3. (1)求△APQ的内心坐标;     (2)是否存在定点D,使过点D的直线l交C于M,N,交PQ于点R,且满足MR⋅ND=MD⋅RN?若 存在,求出该定点坐标,若不存在,请说明理由. 7-3 5 【答案】(1) ,0 4  (2)存在定点D(4,0) 【分析】(1)由题意,根据椭圆的定义以及a2=b2+c2,列出等式即可求出椭圆C的方程,判断△APQ 的内心在x轴,设直线PT平分∠APQ,交x轴于点T,此时T为△APQ的内心,进行求解即可; (2)设直线l方程为y=k(x-t),M(x ,y ),N(x ,y ),将直线l的方程与椭圆方程联立,得到根的判 1 1 2 2     别式大于零,由点M、R、N、D均在直线l上,得到MR⋅ND=MD⋅RN,此时2t-(1+t)(x +x )+ 1 2 2x x =0,结合韦达定理求出t=4,可得存在定点D(4,0)满足题意. 1 2 2b2 【详解】(1)∵a2=b2+c2, =a+c=3∴a=2,b= 3,c=1 a x2 y2 ∴椭圆C的标准方程为 + =1, 4 3 3 不妨取P1, 2  3 ,Q1,- 2  3 5 3 ,A(-2,0),则AP= ,PF= ; 2 2 因为△APQ中,AP=AQ,所以△APQ的内心在x轴,设直线PT平分∠APQ,交x轴于T,则T为AT AP AT 3 5 7-3 5 △APQ的内心,且 = = 5= ,所以AT= ,则T ,0 TF PF 3-AT 5+1 4 17  ; (2)∵椭圆和弦PQ均关于x轴上下对称.若存在定点D,则点D必在x轴上∴设D(t,0) 当直线l斜率存在时,设方程为y=k(x-t),Mx 1 ,y 1  ,Nx 2 ,y 2  ,直线方程与椭圆方程联立 y=k(x-t)  x2 y2 , + =1 4 3 消去y得4k2+3  x2-8k2tx+4k2t2-3  =0, 则Δ=48k2+3-k2t2  8k2t 4k2t2-3 >0,x +x = ,x x = 1 2 4k2+3 1 2  ① 4k2+3     ∵点R的横坐标为1,M、R、N、D均在直线l上,MR⋅ND=MD⋅RN ∴1+k2  1-x 1  t-x 2  =1+k2  t-x 1  x 2 -1  ∴2t-(1+t)x 1 +x 2  8k2t 4k2t2-3 +2x x =0∴2t-(1+t) +2× 1 2 4k2+3  =0,整理得t=4, 4k2+3 因为点D在椭圆外,则直线l的斜率必存在.∴存在定点D(4,0)满足题意 【点睛】解决曲线过定点问题一般有两种方法:① 探索曲线过定点时,可设出曲线方程 ,然后利用条件 建立等量关系进行消元,借助于曲线系的思想找出定点,或者利用方程恒成立列方程组求出定点坐 标.② 从特殊情况入手,先探求定点,再证明与变量无关. x2 y2 12 椭圆E的方程为 + =1,左、右顶点分别为A-2,0 4 8  ,B2,0  ,点P为椭圆E上的点,且 在第一象限,直线l过点P (1)若直线l分别交x,y轴于C,D两点,若PD=2,求PC的长; (2)若直线l过点-1,0  ,且交椭圆E于另一点Q(异于点A,B),记直线AP与直线BQ交于点M,试 问点M是否在一条定直线上?若是,求出该定直线方程;若不是,说明理由. 【答案】(1)2 2; (2)点M在定直线x=-4上,理由见解析. 【分析】(1)设Px 0 ,y 0  ,D0,y D  x2 y2 ,由题意可得则 4 0 + 8 0 =1,x2 0 +y 0 -y D  y 2=4,从而可得 0 y -y 0 D  = |PC| y 2,根据 = 0 即可求解; |PD| y -y 0 D(2)依题可设直线l的方程为x=my-1,Px 1 ,y 1 18  ,Qx 2 ,y 2  ,Mx 0 ,y 0  .求出直线AP的方程为y= y 1 x+2 x +2 1  y ,直线BQ的方程为y= 2 x-2 x -2 2  2y x -4y +2x y +4y ,联立可得x = 1 2 1 1 2 2 0 x 1 +2  y 2 -x 2 -2  ,联立直线 y 1 l的方程和椭圆方程,结合韦达定理,从而可求解. 【详解】(1)设Px 0 ,y 0  ,D0,y D  , x2 y2 则 4 0 + 8 0 =1①,x2 0 +y 0 -y D  2=4②, y2 由①②可得 2 0 =y 0 -y D  2, y ∵y >0,∴ 0 =y -y 0 0 D 2  y ,即 0 y -y 0 D  = 2, |PC| y ∵ = 0 |PD| y -y 0 D  = 2,∴|PC|=2 2. (2)依题可设直线l的方程为x=my-1,Px 1 ,y 1  ,Qx 2 ,y 2  ,Mx 0 ,y 0  . x=my-1  联立方程组x2 y2 ,整理得2m2+1 + =1 4 8  y2-4my-6=0, Δ=16m2+242m2+1  >0, 4m -6 则y +y = ,y y = 1 2 2m2+1 1 2 2m2+1 y 直线AP的方程为y= 1 x+2 x +2 1  y ,直线BQ的方程为y= 2 x-2 x -2 2  , y y= 1 x+2 x +2 联立方程组 1  y y= 2 x-2 x -2 2   2y x -4y +2x y +4y  ,得x = 1 2 1 1 2 2 0 x 1 +2  y 2 -x 2 -2  , y 1 因为x 1 +2  y 2 -x 2 -2  y =x y +2y -x y +2y 1 1 2 2 2 1 1 =my 1 -1  y 2 +2y 2 -my 2 -1  y +2y =3y +y , 1 1 1 2 2y 1 x 2 -4y 1 +2x 1 y 2 +4y 2 =2y 1my 2 -1  -4y 1 +2my 1 -1  y +4y =4my y -6y +2y , 2 2 1 2 1 2 4my y -6y +2y ∴x = 1 2 1 2 0 3y +y 1 2 4m -6 由y 1 +y 2 = 2m2+1 ,得y 1 y 2 = 2m2+1 ,得2my 1 y 2 =-3y 1 +y 2  . 所以x = 4my 1 y 2 -6y 1 +2y 2 = -6y 1 +y 2 0 3y +y 1 2  -6y +2y -12y -4y 1 2 = 1 2 =-4. 3y +y 3y +y 1 2 1 2 故点M在定直线x=-4上.【点睛】方法点睛:利用韦达定理法解决直线与圆锥曲线相交问题的基本步骤如下: (1)设直线方程,设交点坐标为x 1 ,y 1 19  ,x 2 ,y 2  ; (2)联立直线与圆锥曲线的方程,得到关于x(或y)的一元二次方程,必要时计算Δ; (3)列出韦达定理; (4)将所求问题或题中的关系转化为x +x 、x x (或y +y 、y y )的形式; 1 2 1 2 1 2 1 2 (5)代入韦达定理求解. 13 已知R是圆M:x+ 3  2+y2=8上的动点,点N 3,0  ,直线NR与圆M的另一个交点为 S,点L在直线MR上,MS∥NL,动点L的轨迹为曲线C. (1)求曲线C的方程; (2)若过点P-2,0  的直线l与曲线C相交于A,B两点,且A,B都在x轴上方,问:在x轴上是否存 在定点Q,使得△QAB的内心在一条定直线上?请你给出结论并证明. x2 【答案】(1) -y2=1y≠0 2  (2)答案见解析 【分析】(1)由题意可得点L在以M,N为焦点,2 2为实轴长的双曲线上,且焦距为2 3,从而可求出 曲线C的方程; (2)由条件可设l:x=my-2,代入双曲线方程化简,再利用根与系数的关系,当Q-1,0  时,可求得 k +k =0,则∠AQB的平分线为定直线x=-1,从而可得结论. AQ BQ 【详解】(1)圆M的圆心为M- 3,0  ,半径r=2 2, 因为MS∥NL,所以△MSR∽△LNR,又因为MR  =MS  , 所以LR  =LN  , 所以 LM  -LN    = LM  -LR    =MR  =r=2 2<2 3=MN  , 所以点L在以M,N为焦点,2 2为实轴长的双曲线上, x2 y2 设双曲线的方程为 - =1a>0,b>0,c= a2+b2 a2 b2  , 则2a=2 2,2c=2 3. 所以a= 2,c= 3,b=1x2 又L不可能在x轴上,所以曲线C的方程为 -y2=1y≠0 2 20  . (2)在x轴上存在定点Q-1,0  ,使得△QAB的内心在一条定直线上. x2 证明如下:由条件可设l:x=my-2.代入 -y2=1, 2 得m2-2  y2-4my+2=0, 设Ax 1 ,y 1  ,Bx 2 ,y 2  ,则 m2-2≠0   ,得m2≠2, Δ=16m2-8(m2-2)>0 4m 2 所以y +y = >0,y y = >0 1 2 m2-2 1 2 m2-2 所以y +y =2my y , 1 2 1 2 取Q-1,0  , y y y y 则k +k = 1 + 2 = 1 + 2 AQ BQ x +1 x +1 my -2+1 my -2+1 1 2 1 2 = 2my 1 y 2 -y 1 +y 2  my 1 -1  my 2 -1  =0 又A,B都在x轴上方,所以∠AQB的平分线为定直线x=-1, 所以在x轴上存在定点Q-1,0  ,使得△QAB的内心在定直线x=-1上. 【点睛】关键点点睛:此题考查直线与双曲线的位置关系,考查双曲线方程的求解,第(2)问解题的关键 是取Q-1,0  ,通过计算k +k =0,可得定直线为x=-1,考查数学计算能力,属于较难题. AQ BQ x2 y2 14 已知双曲线C: - =1(a>0,b>0)的离心率是 3,实轴长是2,O为坐标原点.设点 a2 b2 Px 0 ,y 0  为双曲线C上任意一点,过点P的直线l与双曲线C的两条渐近线分别交于M,N两点, △OMN的面积为S. x x y y (1)当l的方程为 0 - 0 =1时,求S的值; a2 b2   1+λ (2)设MP=λPN,求证:  2 λ  为定值. ⋅S【答案】(1)S= 2 (2)证明见解析 【分析】(1)首先求双曲线方程,直线l方程与双曲线方程联立,得到x x =1,并利用两 1 2 角和的正切公式表示|tan∠MON|,并求sin∠MON,最后代入三角形面积公式, 即可求解;(2)利用向量的坐标表示关系,点P的坐标用点M,N的坐标表示,并代入双曲线方程求 x x ,再代入面积公式,即可证明定值. 1 2 c 【详解】(1)由题意可知,2a=2, = 3,c2=a2+b2, a y2 则a=1,b= 2.∴双曲线C的方程为x2- =1. 2 设P(x ,y ),M(x ,y ),N(x ,y ), 0 0 1 1 2 2 y y y2 y2 把l:x x- 0 =1代入x2- =0,得(y2-2x2)x2+4x x-2=0,又x2- 0 =1, 0 2 2 0 0 0 0 2 2 ∴Δ=16x2+8(y2-2x2)=8y2≥0,x x = =1, 0 0 0 0 1 2 2x2-y2 0 0 ∵tan∠MON 21  b 2 a = b 1- a  2   π =2 2,∠MON∈0, 2  2 2 ,∴sin∠MON= . 3 1 1 2 2 ∴S= |OM||ON|sin∠MON= 1+ 22|x | 1+ 22|x |× = 2|x x |, 2 2 1 2 3 1 2 ∴S= 2. (2)证明:双曲线渐近线方程为y=± 2x,则y = 2x ,y =- 2x . 1 1 2 2   x +λx y +λy 2x - 2λx 由MP=λPN,得x = 1 2 ,y = 1 2 = 1 2 . 0 1+λ 0 1+λ 1+λ y2 x +λx ∵x2- 0 =1,∴ 1 2 0 2 1+λ  2x - 2λx  1 2 2 1+λ -  2 =1, 2 (1+λ)2 化简可得x x = . 1 2 4λ 1 (1+λ)2 ∴S= |OM||ON|sin∠MON= 2|x x |= 2× , 2 1 2 4|λ| (1+λ)2 ∴ =2 2为定值. |λ|∙S【点睛】关键点点睛:本题考查直线与双曲线相交的综合应用,重点考查弦长公式, 三角恒等变换,以及韦达定理,本题的关键是利用点M,N的坐标,正确表示S= 1 |OM||ON|sin∠MON. 2 x2 y2 15 已知椭圆C: + =1a>b>0 a2 3 22  的左、右顶点分别为M 、M ,T为椭圆上异于M 、M 的 1 2 1 2 3 动点,设直线TM 、TM 的斜率分别为k 、k ,且k ⋅k =- . 1 2 1 2 1 2 4 (1)求椭圆C的标准方程;   (2)设动直线l与椭圆C相交于A、B两点,O为坐标原点,若OA⋅OB=0,△OAB的面积是否存在最 小值?若存在,求出这个最小值;若不存在,请说明理由. x2 y2 【答案】(1) + =1 4 3 12 (2)存在,最小值为 7 【分析】(1)设T的坐标为x 0 ,y 0  3x2 3 ,可得出y2=3- 0 ,利用斜率公式结合k ⋅k =- 可求出a2的 0 a2 1 2 4 值,即可得出椭圆C的标准方程; (2)分析可知OA⊥OB,分两种情况讨论:①当点A、B均为椭圆C的顶点时,直接求出△OAB的面 积;②直线OA、OB的斜率都存在时,设直线OA的方程为y=kxk≠0  ,则直线OB的方程为y= 1 - x,求出OA k  、OB  关于k的表达式,利用基本不等式求出△OAB面积的最小值,综合可得出结 论. 【详解】(1)解:不妨设T的坐标为x 0 ,y 0  x2 y2 3x2 ,则 0 + 0 =1,则y2=3- 0 , a2 3 0 a2 又M 1-a,0  、M 2a,0  3x2 3- 0 ,则k ⋅k = y 0 × y 0 = y2 0 = a2 =- 3 =- 3 . 1 2 x +a x -a x2-a2 x2-a2 a2 4 0 0 0 0 3 3 x2 y2 故可得 = ,可得a2=4,故可得椭圆C的方程为 + =1. a2 4 4 3    (2)解:因为OA⋅OB=0,且OA、OB均为非零向量,则OA⊥OB. 1 当点A、B均为椭圆C的顶点时,则S = ×2× 3= 3; △OAB 2 若直线OA、OB的斜率都存在时,设直线OA的方程为y=kxk≠0 23  , 1 则直线OB的方程为y=- x, k x2= 12 联立  y 3x = 2+ kx 4y2=12 可得   y2= 4 1 k 2 2 k + 2 3 ,所以,OA 4k2+3  121+k2 =  , 4k2+3 同理可得OB  1 12 +1 k2 =  12k2+1 = 4 +3 k2  , 3k2+4 1 此时,S = OA △OAB 2  ⋅OB  1 12k2+1 = 2  12k2+1 ⋅ 4k2+3  6k2+1 = 3k2+4  4k2+3  3k2+4  6k2+1 ≥  4k2+3  +3k2+4  12 = , 7 2 当且仅当4k2+3=3k2+4时,即当k=±1时,等号成立,   12 12 又因为 < 3,故当OA⋅OB=0时,△OAB的面积存在最小值,且最小值为 . 7 7 【点睛】方法点睛:圆锥曲线中的最值问题解决方法一般分两种: 一是几何法,特别是用圆锥曲线的定义和平面几何的有关结论来求最值; 二是代数法,常将圆锥曲线的最值问题转化为二次函数或三角函数的最值问题,然后利用基本不等 式、函数的单调性或三角函数的有界性等求最值. x2 y2 16 已知椭圆C: + =1a>b>0 a2 b2  1 的离心率e= ,短轴长为2 3. 2 (1)求椭圆C的方程; (2)已知经过定点P1,1   3 的直线l与椭圆相交于A,B两点,且与直线y=- x相交于点Q,如果AQ 4    =λAP,QB=μPB,那么λ+μ是否为定值?若是,请求出具体数值;若不是,请说明理由.x2 y2 【答案】(1) + =1; 4 3 24 (2) . 5 【分析】(1)由已知结合椭圆的性质可求a,b,进而可求椭圆方程; (2)先对直线l的斜率是否存在分类讨论,然后联立直线l与已知椭圆方程,结合方程的根与系数关系 及向量的线性坐标表示可求. b= 3  【详解】(1)由题意得 c = 1 , a 2  a2=b2+c2 解得a2=4,b2=3, x2 y2 故椭圆C的方程为 + =1; 4 3 3 (2)当直线l的斜率不存在时,A1, 2 24  3 ,B1,- 2  3 ,Q1,- 4  ,P1,1  ,  9 则AQ=0,- 4   1 ,AP=0,- 2   3 ,QB=0,- 4   5 ,PB=0,- 2  ,     9 3 9 3 24 此时AQ= AP,QB= PB,λ+μ= + = ; 2 10 2 10 5 当直线l的斜率存在时,设斜率为k,则直线l的方程为y=kx-1  +1, y=kx-1 联立  +1  4k-4 3-3k  3 可得Q , y=- x 4k+3 4k+3 4  , 设Ax 1 ,y 1  ,Bx 2 ,y 2  , y=kx+1-k 联立  可得3+4k2 3x2+4y2=12  x2+8k-8k2  x+4k2-8k-8=0, 8k2-8k 4k2-8k-8 则x +x = ,x x = , 1 2 3+4k2 1 2 3+4k2     因为AQ=λAP,QB=μPB, x -x x -x 所以λ= Q 1 ,μ= Q 2 , 1-x 1-x 1 2 所以λ+μ= x Q 2-x 2 -x 1  -x 1 +x 2  +2x x 1 2 1-x 1 +x 2  x 6+8k Q = +x x 1 2  -8k-16 24k-4 = -5  -8k-16 24 = , -5 5【点睛】圆锥曲线中的范围或最值以及定值问题,可根据题意构造关于参数的目标函数,然后根据题目 中给出的范围或由判别式求解,解题中注意函数单调性和基本不等式的作用.另外在解析几何中还 要注意向量的应用,如本题中根据向量的共线得到点的坐标之间的关系,进而为消去变量起到了重要 的作用 17 在平面直角坐标系中,点O为坐标原点,M-1,0 25  ,N1,0  ,Q为线段MN上异于M,N的一 PM 动点,点P满足  QM  PN =  QN  =2. (1)求点P的轨迹E的方程; (2)点A,C是曲线E上两点,且在x轴上方,满足AM⎳NC,求四边形AMNC面积的最大值. x2 y2 【答案】(1) + =1 4 3 (2)3 【分析】(1)由PM  +PN  =2MN  =4,结合椭圆定义可得轨迹方程; (2)连接CO,延长交椭圆E于点B,利用面积桥可知所求四边形面积即为S ,设直线AB:x=my △ABC -1,将直线方程与椭圆方程联立可得韦达定理的结论,代入弦长公式中可得AB  ,利用点到直线距离 公式可求得点N,即点C到直线AB的距离,由此可将所求面积表示为关于m的函数,利用函数求最 值的方法可求得结果. PM 【详解】(1)∵  QM  PN =  QN  =2,∴PM  =2QM  ,PN  =2QN  , ∴PM  +PN  =2 QM  +QN    =2MN  =4, ∴P点轨迹是以M,N为焦点,长轴长为4的椭圆, x2 y2 设椭圆方程为 + =1a>b>0 a2 b2  ,则a=2,c=1,∴b2=a2-c2=3, x2 y2 ∴点P的轨迹E的方程为: + =1. 4 3 (2)连接CO,延长交椭圆E于点B,连接BM,AN,CM, 由椭圆对称性可知:OC  =OB  ,又OM  =ON  ,∴四边形CMBN为平行四边形, ∴CN⎳BM,CN  =BM  ,∴S =S 且A,M,B三点共线 △BOM △CON ∴四边形AMNC的面积S=S +S +S =S +S +S =S , △ACM △COM △CON △ACM △COM △BOM △ABC设直线AB:x=my-1,Ax 1 ,y 1 26  ,Bx 2 ,y 2  y 1 >0  , x2 + y2 =1 由 4 3 得:3m2+4 x=my-1  y2-6my-9=0, 6m 9 ∴y +y = ,y y =- , 1 2 3m2+4 1 2 3m2+4 ∴AB  = 1+m2⋅ y 1 +y 2  1+m2⋅ 483m2+3 2-4y y = 1 2  121+m2 = 3m2+4  , 3m2+4 又AM⎳NC,∴点C到直线AB的距离即为点N到直线AB的距离, 2 1 ∵点N到直线AB的距离d= ,∴S= AB 1+m2 2  12 1+m2 1+m2 ⋅d= =12 3m2+4 3m2+4  , 2 t-4 1+ 设3m2+4=t,则m2= t-4 ,t≥4,∴S=12 3 =12 t-1 =4 3⋅ - 1 + 1 =4 3⋅ 3 t2 3t2 t2 t 1 1 - - t 2  2 1 + , 4 1 1 1 1 又 ≤ ,∴当 = ,即m=0时,四边形AMNC面积取得最大值,最大值为3. t 4 t 4 【点睛】思路点睛:求解直线与椭圆综合应用中的三角形或四边形面积最值(取值范围)问题的基本思 路如下: ①假设直线方程,与椭圆方程联立,整理为关于x或y的一元二次方程的形式; ②利用Δ>0求得变量的取值范围,得到韦达定理的形式; ③利用韦达定理和点到直线距离表示出所求三角形的面积;用面积桥结合三角形面积表示出四边形 面积; ④将所求面积转化为关于某一变量的函数的形式,利用函数的单调性或基本不等式求解出最值(范 围). x2 y2 18 已知双曲线C: - =1a>0,b>0 a2 b2  的离心率为2. (1)求双曲线C的渐近线方程; a (2)若双曲线C的右焦点为F,若直线EF与C的左,右两支分别交于E,D两点,过E作l:x= 的垂 2 线,垂足为R,试判断直线DR是否过定点,若是,求出定点的坐标;若不是,请说明理由. 【答案】(1)y=± 3x; 5a (2)直线DR是否过定点 ,0 4  ,证明见解析. c b2 【分析】(1)根据题意可得e= = 1+ =2,即可得出答案; a a2 (2)设直线EF的方程x=my+2a,直线EF与双曲线C的左右两支分别交于E,D点,则m∈ 3 -∞,- 3  3 ∪ ,+∞ 3  ,联立直线EF与双曲线的方程,设Dx 1 ,y 1  ,Ex 2 ,y 2  a ,R ,y 2 2  ,y 1 ≠y 2  ,结合韦达定理可得y +y ,y y ,写出直线DR的方程,令y=0,解得x,即可得出答案. 1 2 1 2 x2 y2 【详解】(1)由双曲线C: - =1a>0,b>0 a2 b2 27  的离心率为2, c c2 b2 b 所以e= = = 1+ =2,所以 = 3, a a2 a2 a 所以双曲线C的渐近线方程为y=± 3x. (2)由题意可得直线EF的斜率不为0,设直线EF的方程x=my+2a, 因为直线EF与双曲线C的左右两支分别交于E,D点, 3 则m∈-∞,- 3  3 ∪ ,+∞ 3  , x=my+2a  联立x2 y2 ,得3m2-1 - =1 a2 3a2  y2+12may+9a2=0, 设Dx 1 ,y 1  ,Ex 2 ,y 2  a ,R ,y 2 2  ,y 1 ≠y 2  , 12ma 9a2 y -y a 则y +y =- ,y y = ,直线DR的方程y-y = 2 1 x- 1 2 3m2-1 1 2 3m2-1 2 a -x 2 2 1  , a x 1 y 2 - 2 y 1 my 1 +2a 令y=0,得x= = y -y 2 1  a a y - y my y +2ay - y 2 2 1 1 2 2 2 1 = = y -y y -y 2 1 2 1 3 - 4 ay 1 +y 2  a +2ay - y 2 2 1 y -y 2 1 5a 4 y 2 -y 1 =  5a = , y -y 4 2 1 5a 所以直线DR过定点 ,0 4  . 【点睛】方法点睛:求解直线过定点问题常用方法如下: (1)“特殊探路,一般证明”:即先通过特殊情况确定定点,再转化为有方向、有目的的一般性证明; (2)“一般推理,特殊求解”:即设出定点坐标,根据题设条件选择参数,建立一个直线系或曲线的方程, 再根据参数的任意性得到一个关于定点坐标的方程组,以这个方程组的解为坐标的点即为所求点; (3)求证直线过定点x 0 ,y 0  ,常利用直线的点斜式方程y-y 0 =kx-x 0  或截距式y=kx+b来证明.19 已知点P4,3 28  x2 y2 为双曲线E: - =1(a>0,b>0)上一点,E的左焦点F 到一条渐近线的 a2 b2 1 距离为 3. (1)求双曲线E的标准方程; (2)不过点P的直线y=kx+t与双曲线E交于A,B两点,若直线PA,PB的斜率和为1,证明:直线y =kx+t过定点,并求该定点的坐标. x2 y2 【答案】(1) - =1 4 3 (2)证明见解析,定点为(-2,3). 【分析】(1)由点到直线的距离公式求出b= 3,再将点P4,3  代入双曲线方程求出a2=4,可得双曲 线E的标准方程; (2)联立直线与双曲线方程,利用韦达定理得x +x 、x x ,再根据斜率和为1列式,推出t=2k+3,从 1 2 1 2 而可得直线y=kx+t过定点(-2,3). b 【详解】(1)设F(-c,0)(c>0)到渐近线y= x,即bx-ay=0的距离为 3, 1 a |-bc| 则 3= ,结合a2+b2=c2得b= 3, b2+a2 x2 y2 16 9 又P(4,3)在双曲线 - =1上,所以 - =1,得a2=4, a2 3 a2 3 x2 y2 所以双曲线E的标准方程为 - =1. 4 3 y=kx+t  (2)联立x2 y2 ,消去y并整理得3-4k2 - =1 4 3  x2-8ktx-4t2-12=0, 则3-4k2≠0,Δ=64k2t2+4(3-4k2)(4t2+12)>0,即t2+3>4k2, 设A(x ,y ),B(x ,y ), 1 1 2 2 8kt 4t2+12 则x +x = ,x x =- , 1 2 3-4k2 1 2 3-4k2 y -3 y -3 kx +t-3 kx +t-3 则k +k = 1 + 2 = 1 + 2 PA PB x -4 x -4 x -4 x -4 1 2 1 2 = kx 1 +t-3  x 2 -4  +kx 2 +t-3  x 1 -4  x 1 -4  x 2 -4  = 2kx 1 x 2 +t-4k-3  x 1 +x 2  -8t+24 =1, x x -4(x +x )+16 1 2 1 2 所以2kx 1 x 2 +t-4k-3  x 1 +x 2  -8t+24=x x -4(x +x )+16, 1 2 1 2 所以2k-1  x 1 x 2 +t-4k+1  x 1 +x 2  -8t+8=0, 2k-1 所以-  4t2+12  t-4k+1 + 3-4k2  ⋅8kt -8t+8=0, 3-4k2 整理得t2-6k+2kt-6t-8k2+9=0,所以(t-3)2+2k(t-3)-8k2=0, 所以t-3-2k 29  t-3+4k  =0, 因为直线y=kx+t不过P(4,3),即3≠4k+t,t-3+4k≠0, 所以t-3-2k=0,即t=2k+3, 所以直线y=kx+t=kx+2k+3,即y-3=k(x+2)过定点(-2,3). 【点睛】关键点点睛:利用韦达定理和斜率公式推出t=2k+3是解题关键. x2 y2 20 已知双曲线C: - =1a>0,b>0 a2 b2  的右焦点,右顶点分别为F,A,B0,b  ,AF  =1,点 M在线段AB上,且满足BM  = 3MA  ,直线OM的斜率为1,O为坐标原点. (1)求双曲线C的方程. (2)过点F的直线l与双曲线C的右支相交于P,Q两点,在x轴上是否存在与F不同的定点E,使得 EP  ⋅FQ  =EQ  ⋅FP  恒成立?若存在,求出点E的坐标;若不存在,请说明理由. y2 【答案】(1)x2- =1 3 1 (2)存在,E ,0 2  【分析】(1)由AF  =1,BM  = 3MA  ,直线OM的斜率为1,求得a,b,c之间的关系式,解得a,b的 值,进而求出双曲线的方程; (2)设直线PQ的方程,与双曲线的方程联立,可得两根之和及两根之积,由等式成立,可得EF为 ∠PEQ的角平分线,可得直线EP,EQ的斜率之和为0,整理可得参数的值,即求出E的坐标. 【详解】(1)设c2=a2+b2c>0  ,所以Fc,0  ,Aa,0  ,B0,b  , 因为点M在线段AB上,且满足BM  = 3MA  3 1 ,所以点M a, b 3+1 3+1  , 1 b 3+1 b 因为直线OM的斜率为1,所以 =1,所以 = 3, 3 a a 3+1 因为AF  =1,所以c-a=1,解得a=1,b= 3,c=2.y2 所以双曲线C的方程为x2- =1. 3 (2)假设在x轴上存在与F不同的定点E,使得EP 30  ⋅FQ  =EQ  ⋅FP  恒成立, 当直线l的斜率不存在时,E在x轴上任意位置,都有EP  ⋅FQ  =EQ  ⋅FP  ; 当直线l的斜率存在且不为0时,设Et,0  ,直线l的方程为x=ky+2, 3 3 直线l与双曲线C的右支相交于P,Q两点,则- 0, 12k 9 所以y +y =- ,y y = , 1 2 3k2-1 1 2 3k2-1 因为EP  ⋅FQ  =EQ  ⋅FP  EP ,即  EQ  FP =  FQ  ,所以EF平分∠PEQ,k +k =0, EP EQ y y y y 有 x - 1 t + x - 2 t =0,即 ky + 1 2-t + ky + 2 2-t =0,得2ky 1 y 2 +2-t 1 2 1 2  y 1 +y 2  =0, 9 所以2k +2-t 3k2-1  12k - 3k2-1  1 =0,由k≠0,解得t= . 2 综上所述,存在与F不同的定点E,使得EP  ⋅FQ  =EQ  ⋅FP  1 恒成立,且E ,0 2  . 【点睛】方法点睛: 解答直线与双曲线的题目时,时常把两个曲线的方程联立,消去x(或y)建立一元二次方程,然后借助 根与系数的关系,并结合题设条件建立有关参变量的等量关系,涉及到直线方程的设法时,务必考虑 全面,不要忽略直线斜率为0或不存在等特殊情形,要强化有关直线与双曲线联立得出一元二次方程 后的运算能力,重视根与系数之间的关系、弦长、斜率、三角形的面积等问题. 21 已知P为圆C:x2+y2-2x-15=0上一动点,点N-1,0  ,线段PN的垂直平分线交线段 PC于点Q. (1)求点Q的轨迹方程;(2)点M在圆x2+y2=3上,且M在第一象限,过点M作圆x2+y2=3的切线交Q点轨迹于A,B两 点,问△ABC的周长是否为定值?若是,求出定值;若不是,说明理由. x2 y2 【答案】(1) + =1 4 3 (2)△ABC的周长为定值4 【分析】(1)根据垂直平分线性质可知PQ 31  =QN  ,可得QN  +QC  =4>CN  ,满足椭圆定义,由此 可求得Q点轨迹方程; (2)设Ax 1 ,y 1  ,Bx 2 ,y 2  ,x 1 ,x 2 ∈0,2  ,分别求出AC  ,BC  ,再根据AB⊥OM,利用勾股定理分别求 出AM  ,BM  ,即可得出结论. 【详解】(1)由题意得:圆C:x-1  2+y2=16,则圆心C1,0  ,半径r=4, 设PN中点为K,则QK为线段PN的垂直平分线,则PQ  =QN  , 所以QN  +QC  =QP  +QC  =r=4>NC  =2, 所以Q点轨迹是以C,N为焦点,长轴长为4的椭圆, 即a=2,c=1,则b2=a2-c2=3, x2 y2 所以Q点轨迹方程为: + =1; 4 3 (2)设Ax 1 ,y 1  ,Bx 2 ,y 2  ,由题意可得x 1 ,x 2 ∈0,2  , x2 y2 x2 y2 3x2 3x2 则 1 + 1 =1, 2 + 2 =1,故y2=3- 1 ,y2=3- 2 , 4 3 4 3 1 4 2 4 故AC  = x 1 -1  3 1 2+y2 1 = x2 1 -2x 1 +1+3- 4 x2 1 = 4 4-x 1  1 2=2- x , 2 1 同理可得BC  1 =2- x , 2 2 因为AB⊥OM,OM  = 3, 所以AM  = OA  2-OM  3 1 2= x2+y2-3= x2+3- x2-3= x , 1 1 1 4 1 2 1 同理可得BM  1 = x , 2 2 所以AB  +AC  +BC  =AM  +BM  +AC  +BC  1 1 1 1 = x + x +2- x +2- x =4, 2 1 2 2 2 1 2 2 即△ABC的周长为定值4.【点睛】方法点睛:求定值问题常见的方法有两种: (1)从特殊入手,求出定值,再证明这个值与变量无关; (2)直接推理、计算,并在计算推理的过程中消去变量,从而得到定值. x2 y2 22 已知椭圆C: + =1(a>b>0)的左顶点为A,椭圆C的中心O关于直线2x-y-5=0 a2 b2 6 的对称点落在直线x=a2上,且椭圆C过点M1, 2 32  . (1)求椭圆C的方程; 1 (2)P,Q为椭圆C上两个动点,且直线AP与AQ的斜率之积为- ,MD⊥PQ,D为垂足,求AD 6  的 最大值. x2 y2 【答案】(1) + =1 4 2 3 6 (2) 2 6 【分析】(1)由点关于直线对称,以及椭圆过点M1, 2  ,构造方程解a,b得答案; 1 (2)设直线PQ方程,联立椭圆方程,根据韦达定理,利用直线AP与AQ的斜率之积为- ,整理化简 6 证明直线过定点,进而求出D的轨迹是圆,把问题转化为圆上的点到椭圆左顶点距离的最大值问题, 使问题得到解决. 【详解】(1)设椭圆C的中心O关于直线2x-y-5=0的对称点m,n  , n  ×2=-1, 则有 m m n 2× - -5=0 2 2 ∴m=4,n=-2,∵椭圆C的中心O关于直线2x-y-5=0的对称点落在直线x=a2上, ∴a2=4, 6 又椭圆C过点M1, 2  1 3 ,可得 + =1,解得b2=2, 4 2b2 x2 y2 所以椭圆C的方程 + =1. 4 2(2)设Px 1 ,y 1 33  ,Qx 2 ,y 2  ,由题意得直线PQ斜率不为零,设l :x=my+t, PQ x=my+t,  由x2 y2 得(my+t)2+2y2-4=0,即m2+2 + =1, 4 2  y2+2mty+t2-4=0, -2mt y +y = ,  1 2 m2+2 所以 t2-4 y y = , 1 2 m2+2 1 y y 1 由k AP k AQ =- 6 ,得 x + 1 2 ⋅ x + 2 2 =- 6 ,即6y 1 y 2 +x 1 +2 1 2  x 2 +2  =0, 所以6y 1 y 2 +my 1 +t+2  my 2 +t+2  =0,所以 6+m2  y 1 y 2 +mt+2  y 1 +y 2  +(t+2)2=0, 所以6+m2  t2-4 +mt+2 m2+2  -2mt +(t+2)2=0,化简得t2+t-2=0, m2+2 所以t=1或t=-2, 若t=-2,则直线l :x=my-2过椭圆的左顶点,不适合题意,所以t=1, PQ 所以l :x=my+1过定点S1,0 PQ  ,因为MD⊥PQ,D为垂足, 所以D在以MS为直径的圆上,MS  6 6 = ,MS的中点为T1, 2 4  ,又A-2,0  , 所以AT  6 = 32+ 4  2 5 6 = , 4 所以AD  的最大值为AT  MS +  5 6 6 3 6 = + = , 2 4 4 2 即AD  3 6 的最大值为 . 2 【点睛】关键点点睛:本题是圆锥曲线过定点问题,属于难题,解决问题的关键点有两个,一是过定点问 题不是显性的,比较隐晦,识别出来有困难,第二在由斜率的乘积是常数进行化简整理的过程中,计算 直线过定点难度比较大,容易形成畏难心理导致计算失败. 23 如图,在平面直角坐标系xOy中,F为x轴正半轴上的一个动点.以F为焦点、O为顶点作抛 物线C:y2=2px(p>0).设P为第一象限内抛物线C上的一点,Q为x轴负半轴上一点,设 Q-a,0  ,使得PQ为拋物线C的切线,且PQ  =2.圆C 、C 均与直线OP切于点P,且均与x轴相 1 2切. (1)试求出a,p之间的关系; (2)是否存在点F,使圆C 与C 的面积之和取到最小值.若存在,求出点F的坐标;若不存在,请说明 1 2 理由. 【答案】(1)4a2+2pa=4 1 (2)存在, ,0 3- 3 34  【分析】(1)由题意,设出直线方程,联立其与椭圆方程,根据相切,利用根的判别式为零,求得m= 2a ,表示出直线方程,写出P的坐标,利用弦长公式,可得答案; p (2)根据切线长定理,可得线段相等与三角形相似,建立方程,表示出y y ,利用O ,P,O 三点共线,建 1 2 1 2 立方程,可得y +y 与y y 的等量关系,利用圆的面积公式,整理其函数关系,结合基本不等式,可得 1 2 1 2 答案. 【详解】(1)由条件抛物线C:y2=2px(p>0),点Q-a,0  (a>0), 设l :x=my-a(m>0),将其与抛物线C的方程联立,消去x得y2-2pmy+2pa=0.① PQ 2a 因为PQ与抛物线C切于点P,所以,方程①的判别式为Δ=4p2m2-4×2pa=0,解得m= . p 进而,点Pa, 2pa  .故PQ  = 1+m2y -0 P  2a = 1+ 2pa= 4a2+2pa. p 由PQ  =2,则4a2+2pa=4.②∴4a2+2pa=4. (2)设C 1 、C 2 的圆心分别为O 1x 1 ,y 1  、O 2x 2 ,y 2  . 注意到,OP与C 、C 圆切于点P.故OP⊥O O . 1 2 1 2 设圆C 、C 与x轴分别切于M、N,如图所示: 1 2则OO 、OO 分别为∠POM、∠PON的角平分线,故O M 1 2 1 35  =O P 1  ,O N 2  =O P 2  ,∠O OO =90°, 1 2 O P 易知△OPO ∼△O PO,则 1 2 1  OP  OP =  O P 2  , y y =O M 1 2 1  ⋅O N 2  =O P 1  ⋅O P 2  =|OP|2=x2+y2=a2+2pa. p p 结合式②有y y =a2+2pa=4-3a2.③ 1 2 y - 2pa y -y O P 由O 、P、O 三点共线得 1 = 1 P = 1 1 2 2pa-y y -y 2 P 2  PO 2  O M = 1  O N 2  y = 1 ,化简可得y +y = y 1 2 2 2 y y .④ 1 2 2pa 令T=y2+y2,于是,圆C 、C 的面积之和πT. 1 2 1 2 根据题意,仅需考虑T取最小值的情形,根据③、④知 T=y 1 +y 2  4 4 2-2y 1 y 2 = 2pa ·y2 1 y2 2 -2y 1 y 2 = 4-4a2 4-3a2  2-24-3a2  4-3a2 =  2-a2  . 1-a2 3t+1 令t=1-a2.由4t=4-4a2=2pa>0,t>0,T=  t+1  1 1 =3t+ +4≥2 3t⋅ +4= t t t 2 3+4. 3 1 当且仅当t= 时,上式等号成立.此时,a= 1-t= 1- . 3 3 p 1-a2 t 3t 1 p 结合式②得 = = = = .故点F ,0 2 a 1- 1 3- 3 3- 3 2 3  1 = ,0 3- 3  . x2 y2 24 已知O为坐标原点,椭圆 + =1a>b>0 a2 b2  3 的离心率为 ,椭圆的上顶点到右顶点的 2 距离为 5. (1)求椭圆的方程; (2)若椭圆的左、右顶点分别为E、F,过点D(-2,2)作直线与椭圆交于A、B两点,且A、B位于第一 象限,A在线段BD上,直线OD与直线FA相交于点C,连接EB、EC,直线EB、EC的斜率分别记为 k 、k ,求k ⋅k 的值. 1 2 1 2x2 【答案】(1) +y2=1 4 1 (2)k k =- 1 2 4 【分析】(1)由已知条件可得出关于a、b、c的方程组,解出这三个量的值,即可得出椭圆的方程; (2)不妨设Ax 1 ,y 1 36  、Bx 2 ,y 2  ,设直线AB的方程为y=kx+m,可得m=2k+2,将直线AB的方程 与椭圆方程联立,列出韦达定理,设C-x 0 ,x 0  2y ,根据点C在直线FA上,得出x =- 1 ,然后利 0 x +y -2 1 1 用斜率公式以及韦达定理可求出k k 的值. 1 2 c 3 【详解】(1)解:由题意知, = ,椭圆的上顶点到右顶点的距离为 a2+b2= 5, a 2 c = 3 a 2 即 ,解得a=2,b=1,c= 3,  a2+b2= 5  a2=b2+c2 x2 因此,椭圆的方程为 +y2=1. 4 (2)解:如下图所示: 不妨设Ax 1 ,y 1  、Bx 2 ,y 2  ,由图可知,直线AB的斜率存在, 设直线AB的方程为y=kx+m,因为点D-2,2  ,则-2k+m=2,则m=2k+2, y=kx+m 联立  可得4k2+1 x2+4y2=4  x2+8kmx+4m2-4=0, Δ=64k2m2-164k2+1  m2-1  >0,可得m2<4k2+1,即2k+2  2<4k2+1, 3 解得k<- , 8 x +x =- 8km =- 16kk+1 由韦达定理可得 1 2 4k2+1  >0 4k2+1 x x = 4m2-4 = 42k+1 1 2 4k2+1  2k+3   1  ,解得- 0 4k2+1 1 3 所以,- b>0 a2 b2  3 3 的离心率为 ,且经过点A1, 2 2  . (1)求椭圆C的方程; (2)过点B4,0  PB 的直线与C交于M,N两点,直线AM,AN分别与直线x=4交于点P,Q,求  QB  的值. x2 【答案】(1) +y2=1 4 (2)1 【分析】(1)根据椭圆离心率以及椭圆上的点,列出方程,求得a2,b2,即得答案; x2 (2)当斜率不为0,设直线MN的方程为x-4=my,联立 +y2=1,可得根与系数的关系,设P(4, 4 PB t),Q(4,s),由题意知A,M,P三点共线推出t的表达式,同理得s的表达式,即可得到  QB  的表达式, 化简可得答案,当斜率为0时,求出P,Q的纵坐标即可. x2 y2 【详解】(1)由椭圆C: + =1a>b>0 a2 b2  3 c 3 的离心率为 ,可得 = , 2 a 2 a2-b2 3 所以 = ,∴a2=4b2, a2 4 3 A1, 2  1 3 在椭圆上,则 + =1, a2 4b2 x2 解得a2=4,b2=1,故椭圆C的方程为 +y2=1. 4 x2 (2)由题意,当直线MN的斜率不为0时,设其方程为x-4=my,联立 +y2=1, 4 可得4+m2  y2+8my+12=0,需满足Δ=64m2-484+m2  =16m2-12  >0,可得m>2 3或m<-2 3,设M(x ,y ),N(x ,y ), 1 1 2 2 8m 12 3 则y +y =- ,y ⋅y = ,故my ⋅y =- (y +y ), 1 2 4+m2 1 2 4+m2 1 2 2 1 2 设P(4,t),Q(4,s),由题意知A,M,P三点共线,故k =k , AM AP 3 3 y - t- 1 2 2 即 = , x -1 3 1 3 3y + my 1 2 1 将x -4=my 代入化简可得t= , 1 1 my +3 1 3 3y + my 2 2 2 同理可求得s= , my +3 2 3y + 3my  1 2 1  故 |PB| = t = my 1 +3 = my 1 y 2 +3y 1  |QB| s 3y 2 + 2 3my 2 my 1 y 2 +3y 2 my +3 2 3 - 2 y 1 +y 2 = 38  +3y 1 3 - 2 y 1 +y 2  3   2 y 1 -y 2 = +3y 2  3 2 y 1 -y 2    =1, 当直线MN斜率为0时,此时M,N为椭圆与x轴的交点, 3 2 3 不妨设M(2,0),N(-2,0),则直线AM的方程为y= (x-2)=- (x-2), 1-2 2 令x=4,∴y=- 3,故P(4,- 3); 3 2 3 直线AN的方程为y= (x+2)= (x+2), 1+2 6 PB 令x=4,∴y= 3,故Q(4, 3),而B(4,0),故  QB  3 = =1, 3 PB 故综合上述可得  QB  =1. PB 【点睛】关键点睛:解答  QB  的值时,要注意设直线方程并联立椭圆方程可得根与系数的关系式,关PB 键是设P(4,t),Q(4,s),要利用A,M,P以及A,N,Q三点共线求得t,s的表达式,进而可得 39  QB  的表 达式,化简即可求得答案. x2 y2 26 已知椭圆C: + =1(a>b>0)与直线l:y=kx相交于A,B两点,椭圆上一动点M,满足 a2 b2 1 k ⋅k =- (其中k表示两点连线的斜率),且F,F 为椭圆C的左、右焦点,△MFF 面积的最大值 MA MB 4 1 2 1 2 为 3. (1)求椭圆C的标准方程; (2)过点F 的直线l交椭圆C于P,Q两点,求△FPQ的内切圆面积的最大值. 2 1 x2 【答案】(1) +y2=1 4 π (2) 4 【分析】(1)根据面积的最大值为 3,得bc= 3,再利用点差法和斜率公式得a2=4b2,结合c2=a2+ b2,求出a2=4,b2=1,可得椭圆C的标准方程; x2 1 (2)设直线l:x=my+ 3,代入 +y2=1,得y +y ,y y ,根据S = |FF|(|y |+|y |),求出 4 2 3 2 3 △F 1 PQ 2 1 2 2 3 S △FPQ的最大值,再利用三角形面积关系,求出内切圆半径r= △F 1 PQ ,进而求出内切圆面积的最大 1 4 值. 1 【详解】(1)设M(x ,y ),|y |≤b,则S = |FF|⋅|y |=c|y |≤bc,所以bc= 3, 0 0 0 △MF 1 F 2 2 1 2 0 0 依题意可知,A,B两点关于原点对称,设A(x ,y ),则B(-x ,-y ), 1 1 1 1 x2 y2 由   a2 1 + b2 1 =1 ,得 x2 1 -x2 0 =- y2 1 -y2 0 ,所以 y2 1 -y2 0 =- b2 , x2 0 + y2 0 =1 a2 b2 x2 1 -x2 0 a2 a2 b2 y -y -y -y y2-y2 b2 1 所以k ⋅k = 1 0 ⋅ 1 0 = 1 0 =- =- , MA MB x -x -x -x x2-x2 a2 4 1 0 1 0 1 0 所以a2=4b2,又bc= 3,所以b2c2=3,所以b2(a2-b2)=3, 所以b2(4b2-b2)=3,所以b2=1,所以a2=4, x2 所以椭圆C的标准方程为 +y2=1. 4(2)易得F( 3,0),设直线l:x=my+ 3, 2 x2 代入 +y2=1,得(m2+4)y2+2 3my-1=0, 4 则Δ=12m2+4(m2+4)=16m2+16>0, 2 3m 1 设P(x ,y ),Q(x ,y ),则y +y =- ,y y =- , 2 2 3 3 2 3 m2+4 2 3 m2+4 1 所以S = |FF|(|y |+|y |)= 3|y -y |= 3⋅ (y +y )2-4y y △F 1 PQ 2 1 2 2 3 2 3 2 3 2 3 12m2 4 m2+1 m2+1 = 3⋅ + =4 3 =4 3 (m2+4)2 m2+4 (m2+4)2 (m2+1)2+6(m2+1)+9 1 1 =4 3 ≤4 3 =2,当且仅当m2=2时,等号成立, m2+1+ 9 +6 2 (m2+1)⋅ 9 +6 m2+1 m2+1 所以S 的最大值为2. △FPQ 1 1 1 设△FPQ的内切圆半径为r,则S = r(|PF|+|PQ|+|QF|)= r⋅4a=2ar=4r, 1 △F 1 PQ 2 1 1 2 所以r= S △F 1 PQ ≤ 2 = 1 ,所以△FPQ的内切圆面积πr2≤ π . 4 4 2 1 4 π 所以△FPQ的内切圆面积的最大值为 . 1 4 x2 y2 27 已知椭圆C: + =1a>b>0 a2 b2 40  的左、右焦点分别为F,F,A,B分别是C的右、上顶点, 1 2 且AB  = 7,D是C上一点,△BFD周长的最大值为8. 2 (1)求C的方程; (2)C的弦DE过F,直线AE,AD分别交直线x=-4于M,N两点,P是线段MN的中点,证明:以 1 PD为直径的圆过定点. x2 y2 【答案】(1) + =1; 4 3 (2)证明见解析. 【分析】(1)根据椭圆的定义结合三角形不等式求解即可; (2)设Dx 1 ,y 1  ,Ex 2 ,y 2  ,直线DE:x=my-1,联立直线与椭圆的方程,根据过两点圆的方程,结合图 形的对称性可得定点在x轴上,代入韦达定理求解即可. 【详解】(1)依题意,a2+b2=7,△BFD周长DB 2 41  +DF 2  +a=DB  +2a-DF 1  +a≤BF 1  +3a=4a,当且仅当B,F,D三点共线时 1 等号成立,故4a=8, x2 y2 所以a2=4,b2=3,所以C的方程 + =1; 4 3 (2)设Dx 1 ,y 1  ,Ex 2 ,y 2  x2 y2 ,直线DE:x=my-1,代入 + =1,整理得3m2+4 4 3  y2-6my-9=0, Δ=36m2+363m2+4  6m -9 >0,y +y = ,y y = , 1 2 3m2+4 1 2 3m2+4 y 易知AD:y= 1 x-2 x -2 1  -6y ,令x=-4,得N-4, 1 x -2 1  -6y ,同得M-4, 2 x -2 2  , y y 从而中点P -4,-3 1 + 2 x -2 x -2 1 2    , 以PD为直径的圆为x+4  x-x 1  y y + y+3 1 + 2 x -2 x -2 1 2    y-y 1  =0, 由对称性可知,定点必在x轴上, 令y=0得,x+4  x-x 1  y y -3y  1 + 2 1 x -2 x -2 1 2  =0, y 1 + y 2 = y 1 + y 2 = 2my 1 y 2 -3y 1 +y 2 x -2 x -2 my -3 my -3 1 2 1 2  m2y 1 y 2 -3my 1 +y 2  +9 -18m 18m - 3m2+4 3m2+4 -36m = = =-m, -9m2 18m2 36 - +9 3m2+4 3m2+4 所以x+4  x-x 1  +3my 1 =0,即x2+4-x 1  x-4x +3my =0,因为x =my -1, 1 1 1 1 所以x2+5-my 1  x-my 1 +4=0,即x+1  x-my 1 +4  =0, 解得x=-1,所以圆过定点-1,0  .【点睛】方法点睛:利用韦达定理法解决直线与圆锥曲线相交问题的基本步骤如下: (1)设直线方程,设交点坐标为x 1 ,y 1 42  ,x 2 ,y 2  ; (2)联立直线与圆锥曲线的方程,得到关于x(或y)的一元二次方程,必要时计算Δ; (3)列出韦达定理; (4)将所求问题或题中的关系转化为x +x ,x x (或y +y ,y y )的形式; 1 2 1 2 1 2 1 2 (5)代入韦达定理求解. 28 如图,已知抛物线C:y2=2pxp>0  ,F为其焦点,点A2,y 0  在C上,△OAF的面积为4. (1)求抛物线C的方程; (2)过点Pm,0  m>0  作斜率为-1的直线l 交抛物线C于点M,N,直线MF交抛物线C于点Q, 1 以Q为切点作抛物线C的切线l ,且l ⎳l ,求△MNQ的面积. 2 2 1 【答案】(1)y2=8x (2)64 【分析】(1)根据题意列式求解p,即可得结果; (2)根据题意联立方程结合韦达定理求点Q的坐标,根据切线结合Δ判别式求相应参数值,进而可得 结果. p 【详解】(1)由题意可知:抛物线C的焦点F ,0 2  , 将A2,y 0  代入抛物线C的方程得:y2=4p, 0 且p>0,则y 0  =2 p,1 p p p 因为△OAF的面积为 × ×2 p= =4,解得p=4, 2 2 2 所以抛物线C的方程为y2=8x. (2)由(1)可得抛物线C的方程为y2=8x,焦点F2,0 43  , 设直线l 1 :x=-y+mm>0  ,Mx 1 ,y 1  ,Nx 2 ,y 2  ,Qx 3 ,y 3  , x=-y+m 联立方程  ,消去x得y2+8y-8m=0, y2=8x 则Δ=64+32m>0,可得y +y =-8,y y =-8m, 1 2 1 2 因为点Mx 1 ,y 1  y2 在抛物线上,则y2=8x ,即x = 1 , 1 1 1 8 y2 x -2 1 -2 y2-16 所以直线MF的方程为x= 1 y+2= 8 y+2= 1 y+2, y y 8y 1 1 1 y2-16 x= 1 y+2 16-y2 联立方程 8y 1 ,消去x得y2+ 1 y-16=0, y y2=8x 1 16 可得y y =-16,即y =- , 1 3 3 y 1 y2-16 16 则x = 1 ×- 3 8y y 1 1  32 32 16 +2= ,即Q ,- y2 y2 y 1 1 1  , 因为l ⎳l ,可设l :x=-y+n, 2 1 2 32 16 代入Q ,- y2 y 1 1  32 16 32 16 得 = +n,即n= - , y2 y y2 y 1 1 1 1 32 16 所以l :x=-y+ - , 2 y2 y 1 1 32 16 x=-y+ - 16 32 联立方程 y2 1 y 1 ,消去x得y2+8y+8 - y2=8x y 1 y2 1  =0, 16 32 因为l 为抛物线C的切线,则Δ=64-32 - 2 y y2 1 1  =0, 整理得y2-8y +16=0,解得y =4, 1 1 1 又因为y +y =-8,y y =-8m,y y =-16, 1 2 1 2 1 3 可得y =-12,m=6,y =-4, 2 3 即Q2,-4  ,l :x=-y+6, 1 可得MN  = 12+-1  2 4--12    =16 2, 点Q2,-4  2-4-6 到x+y-6=0的距离d=  12+-1  =4 2, 2 1 所以△MNQ的面积S = MN △MNQ 2  1 ×d= ×16 2×4 2=64. 2 【点睛】方法点睛:有关圆锥曲线弦长、面积问题的求解方法(1)涉及弦长的问题中,应熟练地利用根与系数的关系、设而不求计算弦长;涉及垂直关系时也往往利 用根与系数的关系、设而不求法简化运算;涉及过焦点的弦的问题,可考虑用圆锥曲线的定义求解; 1 (2)面积问题常采用S = ×底×高,其中底往往是弦长,而高用点到直线距离求解即可,选择底很 △ 2 重要,选择容易坐标化的弦长为底.有时根据所研究三角形的位置,灵活选择其面积表达形式,若求 多边形的面积问题,常转化为三角形的面积后进行求解; (3)在求解有关直线与圆锥曲线的问题时,应注意数形结合、分类与整合、转化与化归及函数与方程思 想的应用. 29 已知M是平面直角坐标系内的一个动点,直线MA与直线y=x垂直,A为垂足且位于第三 象限;直线MB与直线y=-x垂直,B为垂足且位于第二象限.四边形OAMB(O为原点)的面积为2, 记动点M的轨迹为C. (1)求C的方程; (2)点E2 2,0 44  ,直线PE,QE与C分别交于P,Q两点,直线PE,QE,PQ的斜率分别为k ,k ,k . 1 2 3 1 1 若 + k k 1 2  ⋅k =-6,求△PQE周长的取值范围. 3 【答案】(1)x2-y2=4x<0  (2)16,+∞  【分析】(1)根据题意结合点到直线的距离公式分析运算; (2)直线PQ:y=kx+m,根据题意结合韦达定理分析可得m=2 2k,结合双曲线的定义运算求解. 【详解】(1)因为直线x-y=0、x+y=0相互垂直,则四边形OAMB为矩形, 设Mx,y  x-y<0 ,且  ,可得x<0, x+y<0 2x-y 则点M到直线x-y=0、x+y=0的距离分别为  2x+y 、 2  , 2 2x-y 可得  2x+y × 2  =2,整理得x2-y2=4x<0 2  , 所以C的方程为x2-y2=4x<0  . (2)设直线PQ:y=kx+m,Px 1 ,y 1  ,Qx 2 ,y 2  , y=kx+m 联立方程  ,消去y得1-k2 x2-y2=4  x2-2kmx-m2+4  =0, 1-k2≠0 Δ=4k2m2+41-k2 由题意可得:  m2+4  =4m2-4k2+4    >0  2km ,① x +x = <0  1 2 1-k2 m2+4 x x =- >0  1 2 1-k2 1 1 因为 + k k 1 2  x -2 2 x -2 2 ⋅k =-6,则 1 + 2 3 y y 1 2  x -2 2 x -2 2 ⋅k= 1 + 2 kx +m kx +m 1 2  ⋅k=-6,整理得8k2x 1 x 2 +7km-2 2k2 45  x 1 +x 2  +6m2-4 2km=0, 8k2m2+4 即-  2km7km-2 2k2 + 1-k2  +6m2-4 2km=0, 1-k2 4 2 整理得3m2-2 2km-16k2=0,解得m=- k或m=2 2k, 3 4 2 4 2 4 2 若m=- k,则直线PQ:y=kx- k=kx- 3 3 3  4 2 ,过定点F ,0 3  , 1-k2≠0 Δ= 16 9-k2 9 此时①式为  >0 8 2k2 x +x =- 1 2 31-k2      ,无解,不符合题意;  <0   m2+4 x x =- >0  1 2 1-k2 当m=2 2k时,则直线PQ:y=kx+2 2k=kx+2 2  ,过定点F-2 2,0  , 1-k2≠0 Δ=16k2+1 此时①式为    >0  4 2k2 ,解得k2>1,即k>1或k<-1, x +x = <0  1 2 1-k2 8k2+4 x x =- >0  1 2 1-k2 则PQ  4 2k2 = 1+k2  1-k2  2 48k2+4 +  4k2+1 = 1-k2  2 =41+ k2-1 k2-1  , 1 因为k2>1,则k2-1>0,可得 >0, k2-1 所以PQ  2 =41+ k2-1  >4, 又因为E,F为双曲线x2-y2=4的左、右焦点, 则PE  -PF  =4,QE  -QF  =4,即PE  =PF  +4,QE  =QF  +4, 可得△PQE周长为PE  +QE  +PQ  =PF  +4+QF  +4+PQ  =2PQ  +8>16, 所以△PQE周长的取值范围16,+∞  . 【点睛】方法点睛:过定点问题的两大类型及解法 (1)动直线l过定点问题.解法:设动直线方程(斜率存在)为y=kx+t,由题设条件将t用k表示为t =mk,得y=k(x+m),故动直线过定点(-m,0);(2)动曲线C过定点问题.解法:引入参变量建立曲线 C的方程,再根据其对参变量恒成立,令其系数 等于零,得出定点. 30 在平面直角坐标系xOy中,已知点F(-6,0)、F(6,0),△MFF 的内切圆与直线FF 相切于点 1 2 1 2 1 2 D(4,0),记点M的轨迹为C. (1)求C的方程; (2)设点T在直线x=2上,过T的两条直线分别交C于A、B两点和P,Q两点,连接BP,AQ.若直 线AB的斜率与直线PQ的斜率之和为0,试比较cos∠BAQ与cos∠BPQ的大小. x2 y2 【答案】(1) - =1(x≥4) 16 20 (2)cos∠BAQ=cos∠BPQ 【分析】(1)根据内切圆的性质得到MF 1 46  -MF 2  =FD 1  -FD 2  =8<FF 1 2  =12,从而结合双曲线的 定义得到轨迹方程; 5 (2)根据条件设k =kk2> AB 4  ,k PQ =-k,Ax 1 ,y 1  ,Bx 2 ,y 2  ,Cx 3 ,y 3  ,Dx ,y 4 4  ,根据直线与双曲 16k2-8kt (4k-2t)2+80 线方程的联立,由韦达定理得到x +x = ,x x = ,结合弦长公式得到 1 2 4k2-5 1 2 4k2-5 TA  TB  =1+k2  4t2+60 ,从而证明TP 4k2-5  TQ  =TA  TB  ,进而可得△TPA相似于△TBQ,由四点 共圆的知识即可得到答案. 【详解】(1)因为点F(-6,0)、F(6,0),△MFF 的内切圆与直线FF 相切于点D(4,0), 1 2 1 2 1 2 所以MF 1  -MF 2  =FD 1  -FD 2  =10-2=8<FF 1 2  =12, 因此根据双曲线的定义可知,点M的轨迹为以F,F 为焦点的双曲线的右支, 1 2 x2 y2 设点M的轨迹C的方程为 - =1a>0,b>0 a2 b2  ,焦距为2cc>0  , 所以FF 1 2  =2c=12,MF 1  -MF 2  =2a=8, 所以a=4,c=6,b2=c2-a2=20, x2 y2 所以点M的轨迹方程C为 - =1(x≥4) 16 20 5 (2)由题意,直线AB,PQ的斜率互为相反数,记k =kk2> AB 4  , 则k PQ =-k,Ax 1 ,y 1  ,Bx 2 ,y 2  ,Cx 3 ,y 3  ,Dx ,y 4 4  , 设T(2,t),则直线AB:y=k(x-2)+t,PQ:y=-k(x-2)+t. y=k(x-2)+t  联立直线AB和双曲线方程x2 y2 , - =1 16 20 整理得20-16k2  x2+64k2-32kt  x-8k-4t  2-320=0. 该方程有两个不等实根x ,x , 1 220-16k2≠0 则 Δ=64k2-32kt 47  2-420-16k2  -8k-4t   2-320    >0 16k2-8kt (4k-2t)2+80 根据韦达定理可得x +x = ,x x = , 1 2 4k2-5 1 2 4k2-5 16k2+8kt (4k+2t)2+80 同理可得x +x = ,x ⋅x = . 3 4 4k2-5 3 4 4k2-5 又因为TA  = 1+k2x 1 -2  ,TB  = 1+k2x 2 -2  . TP  = 1+k2x 3 -2  ,TQ  = 1+k2x -2 4  . 则TA  TB  =1+k2  x 1 -2  x 2 -2  =1+k2  x 1 x 2 -2x 1 +x 2   +4  =1+k2  4t2+60 , 4k2-5 同理可得TP  TQ  =1+k2  4t2+60 4k2-5 即TP  TQ  =TA  TB  进而可得△TPA相似于△TBQ, 即∠TPA=∠TBQ,∠TAP=∠TQB, 也即A,B,Q,P四点共圆,可得∠BAQ=∠BPQ 从而得cos∠BAQ=cos∠BPQ. 因此cos∠BAQ=cos∠BPQ 【点睛】关键点点睛:本题考查直线与双曲线的综合问题.关键在于直线与双曲线方程的联立,进而通 过韦达定理的转化得到TP  TQ  =TA  TB  ,进而得到△TPA相似于△TBQ,由A,B,Q,P四点共 圆,可得∠BAQ=∠BPQ从而cos∠BAQ=cos∠BPQ进而得到答案.本题考查学生的数据运算与分 析能力、数形结合能力、转化与化归能力,属于难题.