当前位置:首页>文档>高三答案文科数学_2024年3月_013月合集_2024届四川省绵阳南山中学高三下学期入学考试_四川省绵阳南山中学2024届高三下学期入学考试文科数学

高三答案文科数学_2024年3月_013月合集_2024届四川省绵阳南山中学高三下学期入学考试_四川省绵阳南山中学2024届高三下学期入学考试文科数学

  • 2026-04-09 14:13:21 2026-02-20 01:37:11

文档预览

高三答案文科数学_2024年3月_013月合集_2024届四川省绵阳南山中学高三下学期入学考试_四川省绵阳南山中学2024届高三下学期入学考试文科数学
高三答案文科数学_2024年3月_013月合集_2024届四川省绵阳南山中学高三下学期入学考试_四川省绵阳南山中学2024届高三下学期入学考试文科数学
高三答案文科数学_2024年3月_013月合集_2024届四川省绵阳南山中学高三下学期入学考试_四川省绵阳南山中学2024届高三下学期入学考试文科数学
高三答案文科数学_2024年3月_013月合集_2024届四川省绵阳南山中学高三下学期入学考试_四川省绵阳南山中学2024届高三下学期入学考试文科数学
高三答案文科数学_2024年3月_013月合集_2024届四川省绵阳南山中学高三下学期入学考试_四川省绵阳南山中学2024届高三下学期入学考试文科数学
高三答案文科数学_2024年3月_013月合集_2024届四川省绵阳南山中学高三下学期入学考试_四川省绵阳南山中学2024届高三下学期入学考试文科数学
高三答案文科数学_2024年3月_013月合集_2024届四川省绵阳南山中学高三下学期入学考试_四川省绵阳南山中学2024届高三下学期入学考试文科数学

文档信息

文档格式
pdf
文档大小
1.166 MB
文档页数
7 页
上传时间
2026-02-20 01:37:11

文档内容

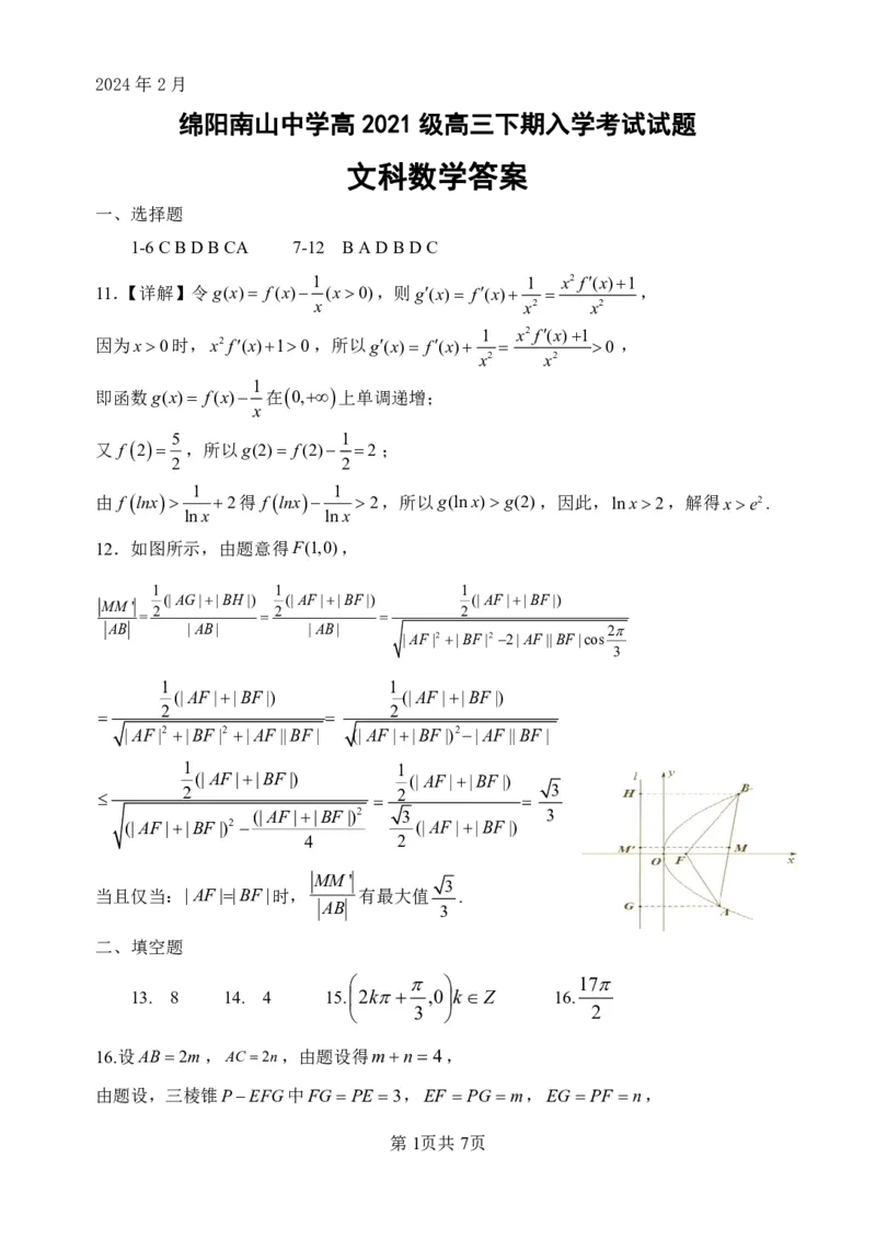
2024年2月 绵阳南山中学高 2021 级高三下期入学考试试题 文科数学答案 一、选择题 1-6CBDBCA 7-12 BADBDC 1 1 x2f(x)1 11.【详解】令g(x) f(x) (x0),则g(x) f(x)  , x x2 x2 1 x2f(x)1 因为x0时,x2f(x)10,所以g(x) f(x)  0 , x2 x2 1 即函数g(x) f(x) 在0,上单调递增; x 5 1 又 f 2 ,所以g(2) f(2) 2; 2 2 1 1 由 f lnx 2得 f lnx  2,所以g(lnx) g(2),因此,lnx2,解得xe2. lnx lnx 12.如图所示,由题意得F(1,0), 1 1 1 (|AG||BH|) (|AF||BF|) (|AF||BF|) MM' = 2  2  2 AB |AB| |AB| 2 |AF|2 |BF|2 2|AF||BF|cos 3 1 1 (|AF||BF|) (|AF||BF|) 2 2   |AF|2 |BF|2 |AF||BF| (|AF||BF|)2|AF||BF| 1 1 (|AF||BF|) (|AF||BF|)  2  2  3 (|AF||BF|)2 3 3 (|AF||BF|)2 (|AF||BF|) 4 2 MM' 3 当且仅当:|AF||BF|时, 有最大值 . AB 3 二、填空题    17 13. 8 14. 4 15.2k ,0kZ 16.  3  2 16.设AB2m,AC2n,由题设得mn4, 由题设,三棱锥PEFG中FG PE 3,EF  PGm,EG PF n, 第1页共7页2024年2月 将PEFG放在棱长为x,y,z的长方体中,如图, x2y2 32  则有y2z2 m2 ,则三棱锥PEFG的外接球就是长方体的外接球,  z2x2 n2  所以(2R)2  x2 y2z2  1 9m2n2 , 2 (mn)2 由基本不等式m2 n2  8,当且仅当mn2时等号成立, 2 1 17π 所以外接球表面积S 4πR2  98π . 2 2 三、解答题 sinA sinB c2 a b c2 17.解:(1)选择条件①:由  1 及正弦定理,得:  1 , sinB sinA ab b a ab a2b2c2 ab 1 即a2b2c2 ab,由余弦定理,得cosC    , 2ab 2ab 2 2 因为0C,所以C  ; 3 选择条件②:由(a2b)cosCccosA0及正弦定理, 得:(sinA2sinB)cosCsinCcosA0,即sinAcosCcosAsinC2sinBcosC. 即sin(AC)2sinBcosC. 在 ABC 中,ABC,所以sin(AC)sin(B)sinB, 1 即sinB2cosCsinB,因为0B,所以sinB0,所以cosC  , 2 2 因为0C,所以C  ; 3 AB AB 选择条件③:由 3asin csinA及正弦定理,得: 3sinAsin sinCsinA, 2 2 AB 因为0 A,sinA0,所以 3sin sinC. 2 AB C C C C 在 ABC 中,ABC,则sin cos ,故 3cos 2sin cos . 2 2 2 2 2 C C 3 2 因为0C,所以cos 0,则sin  ,故C  ; 2 2 2 3 4CD2 b2 4CD2 a2 (2)因为ADCBDC,所以  0, 22CD 22CD 第2页共7页2024年2月 整理得2CD2 a2b28, 2 在三角形ABC中,由余弦定理得42 a2b22abcos a2b2ab. 3 a2b2 因为ab ,当且仅当ab时取等号, 2 所以16a2b2aba2b2 1 a2b2  3 a2b2 ,即a2b2  32 , 2 2 3 32 8 2 3 所以2CD2 a2b28 8 ,即CD , 3 3 3 2 3 即CD长度的最小值为 . 3 24568 34445 18.解:(1)x  5,y  4, 5 5 5 所以x xy y31 10 00 031 6 , i i i1 5 5 由于x x2 91019 20,y  y2 10001 2 i i i1 i1 5 x xy y i i 6 9 相关系数r i1    0.95, 5 5 2 5 2 10 x x2 y y2 i i i1 i1 因为r0.75,所以y与x具有较强的线性相关关系. (2)将地点1,2,3,4,5分别记为A,B,C,D,E 任抽2个地点的可能情况有A,B,A,C,A,D,A,E,B,C,B,D,B,E, C,D,C,E,D,E,共10种情况, 其中在地点3,4,5,甲型无人运输机指标数均高于乙型无人运输机指标数,即C,D, 3 C,E,D,E 3种情况,故所求概率为 . 10 19.解:(1)在四棱锥PABCD中,AD//BC ,BCCD,BC 2CD2AD2 2, 四边形ABCD是直角梯形,ADC 90, 第3页共7页2024年2月 AC = CD2+AD2 = 2 AB CD2 (BCAD)2 2, 于是AC2AB2 8BC2,即AB⊥AC, 而平面ABCD⊥平面PAC,平面ABCD平面PAC  AC,AB平面ABCD, 则AB⊥平面PAC,又PC平面PAC, 所以PC AB. 5 (2)取AC的中点E,连接PE,由PAPC  AC  5, 2 得PE AC , PE PA2AE2 2 , 由平面ABCD⊥平面PAC,平面ABCD平面PAC  AC, PE平面PAC,得PE 平面ABCD, 由M是PA的中点,得点M 到平面ABCD的距离 1 1 d  PE 1,又S  ABAC 2,显然S S , 2 ABC 2 PBM ABM 1 2 所以三棱锥CPBM 的体积V V V  S d  . CPBM CABM MABC 3 ABC 3 20.解(1)函数f(x)的定义域为(-∞,+∞),且a≤0. f′(x)=2e2x-aex-a2=(2ex+a)(ex-a). ①若a=0,则f(x)=e2x,在(-∞,+∞)上单调递增.  a ②若a<0,则由f′(x)=0,得x=ln .  2   a   a  当x∈,ln 时,f′(x)<0;当x∈ln ,时,f′(x)>0.   2   2    a   a  故f(x)在,ln 上单调递减,在区间ln ,上单调递增.   2   2  (2)①当a=0时,f(x)=e2x≥0恒成立.  a   a ②若a<0,则由(1)得,当x=ln 时,f(x)取得最小值,最小值为fln =  2   2 3  a 3  a a2 4 ln   2     ,故当且仅当a2 4 ln   2     ≥0,即 2e4 3 a0 时,f(x)≥0. 第4页共7页2024年2月 综上a的取值范围是[ 3,0]. 2e4  4 1 21.解:(1)由题可得   a2  b2  1,…………………………2分   b2 3 1   a2 4 x2 y2 解得:a2 8,b2 2,所以椭圆C 的方程为  1.…………………4分 8 2 (2)当直线PA的斜率不存在时,则直线PA的方程为x2,则点 A的坐标为 A(2,-1), 1 1 S = d PA = 2 2=2.……………………………………………5分 DAOP 2 2 1 当直线PA的斜率存在时,设斜率为k ,则直线PA的方程为 y1k(x2) (k ¹ ), 2 设A(x ,y ),B(x ,y ), 1 1 2 2 yk(x2)1 由  ,消去 y得(4k2 1)x2 (16k2 8k)x16k2 16k40, ……6分  x24y2 8 由已知D=(16k2-8k)2-4(4k2+1)(16k2-16k-4) =16(2k+1)2>0, 1 所以k ¹- , 2 16k216k4 8k28k2 8k4 由题意,2x  ,x  2 , 1 4k21 1 4k21 4k21 (8k 4)k 则 y k(x 2)1 1, 1 1 4k2 1 8k+4 k(8k+4) PA = (x -2)2+(y -1)2 = ( )2+( )2 1 1 4k2+1 4k2+1 8k+4 1+k2 = ……………7分 4k2+1 -2k+1 2k-1 而原点O到直线l的距离为 d= = , ………………8分 1+k2 1+k2 第5页共7页2024年2月 1 1 2k-1 8k+4 1+k2 24k2-1 2 所以S = d PA = ´ ´ = =21- …9分 DAOP 2 2 1+k2 4k2+1 1+4k2 1+4k2 1 2 2 因 为 k , 所 以 1+4k2 Î(1,2)U(2,+¥) , 0< <2 且 ¹1 , 2 1+4k2 1+4k2 2 2 -1<1- <1且 1- ¹0 , 1+4k2 1+4k2 2 所以0<1- <1,从而0