当前位置:首页>文档>江西省2015年中考生物真题试题(含答案)_8.生物中考真题2015-2024年_2015年全国中考生物74份

江西省2015年中考生物真题试题(含答案)_8.生物中考真题2015-2024年_2015年全国中考生物74份

  • 2026-04-08 07:36:25 2026-02-22 04:17:36

文档预览

江西省2015年中考生物真题试题(含答案)_8.生物中考真题2015-2024年_2015年全国中考生物74份
江西省2015年中考生物真题试题(含答案)_8.生物中考真题2015-2024年_2015年全国中考生物74份
江西省2015年中考生物真题试题(含答案)_8.生物中考真题2015-2024年_2015年全国中考生物74份
江西省2015年中考生物真题试题(含答案)_8.生物中考真题2015-2024年_2015年全国中考生物74份
江西省2015年中考生物真题试题(含答案)_8.生物中考真题2015-2024年_2015年全国中考生物74份

文档信息

文档格式
doc
文档大小
0.206 MB
文档页数
5 页
上传时间
2026-02-22 04:17:36

文档内容

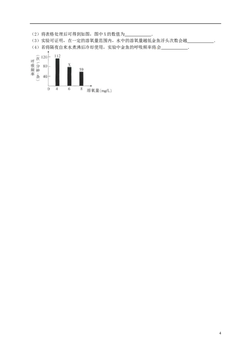
2015年江西省中考生物试卷 一、选择题(共15小题,每小题1分,满分15分) 1.(2015•江西)根吸收水分的主要部位是根尖( ) A.根冠 B.分生区 C.伸长区 D.成熟区 2.(2015•江西)运动系统的主要组成部分不包含以下哪个结构( ) A.神经 B.关节 C.肌肉 D.骨 3.(2015•江西)小明患感冒,去药店购买“阿司匹林”,该药品包装上印有哪种标志?( ) A. “A级” B.“OTC” C.“QS” D.“AA级” 4.(2015•江西)如图表示某种蝶类发育过程中的四个阶段,下列判断不正确的是( ) A.甲是卵 B.乙是成虫 C.丙是若虫 D.丁是幼虫 5.(2015•江西)以下各生态系统中,自动调节能力最弱的是( ) A.森林生态系统 B.农田生态系统 C.草原生态系统 D.海洋生态系统 6.(2015•江西)保护生物的多样性是在哪三个层次采取保护措施( ) A.基因、染色体、细胞 B.基因、细胞、染色体 C.基因、物种、生态系统 D.细胞、物种、生态系统 7.(2015•江西)如图是某种花的主要结构示意图,受精卵的形成在图中的( ) A.① B.② C.③ D.④ 8.(2015•江西)尿液的形成及排出过程中会依次流经不同器官,正确表示此过程的流程图是( ) A.肾脏→膀胱→输尿管→尿道 B.肾脏→输尿管→膀胱→尿道 C.肾脏→输尿管→尿道→膀胱 D.肾脏→尿道→膀胱→输尿管 9.(2015•江西)关于青霉素和大肠杆菌的比较中,说法正确的是( ) A.都通过孢子繁殖 B.都有细胞核 1C.都不能进行光合作用 D.都是由一个细胞构成 10.(2015•江西)如图中Ⅰ、Ⅱ、Ⅲ分别代表某个概念或器官,下列不能构成图中关系的是( ) A. 脊椎动物、爬行动物、节肢动物 B. 变温动物、爬行动物、两栖动物 C. 狼的牙齿、门齿、犬齿 D. 运动的器官、足、翅 11.(2015•江西)有关生命起源和生物进化说法,错误的是( ) A. 米勒的模拟实验证明了有机小分子可生成无机小分子 B. 化石是研究生物进化非常重要的证据 C. 生物进化的总体趋势 是从简单到复杂 D. 达尔文用自然选择学说来解释生物进化的原因 12.(2015•江西)让她为装有萌发种子的密闭玻璃瓶,瓶口用材料密闭,瓶中插入一支温度计,能反映 瓶内温度随时间变化的曲线是( ) A. B. C. D. 13.(2015•江西)2014年西非有近万人感染埃博拉病毒,此病毒引起人体出现埃博拉出血热,并且在 人群轴快速传播,导致大量死亡.以下说法错误的是( ) A.埃博拉出血热具有传染性 B.埃博拉病毒属于传染源 C.研制相应疫苗有利于保护易感人群 D.康复病人体内有抗埃博拉病毒的抗体 14.(2015•江西)孟德尔用纯种圆粒豌豆与纯种皱粒豌豆杂交,子一代种子都是圆粒,将子一代种下 去后自花传粉,获得二代种子,下列分析不正确的是( ) A.圆粒和皱粒性状是由基因控制 B.圆粒相对于皱粒是显性性状 C.亲代控制皱粒的基因没有传递给子一代 D.子二代种子中有圆粒和皱粒 15.(2015•江西)某湖泊引进一种外来植物甲,跟踪调查发现,湖泊中甲的数量逐年显著增加,二本地 食草鱼类和水草的数量逐年显著减少.下列叙述正确的是( ) 2A. 此湖泊中食草鱼类的主要食物是甲 B. 甲的引进不影响此湖泊生态系统的食物链和食物网 C. 此湖泊中的所有生物组成一个生态系统 D. 大量投放同种食草鱼类不能有效控制甲的蔓延 二、非选择题(共3小题,满分15分) 16.(4分)(2015•江西)阅读训练资料,并回答相关问题 资料一:科学家发现,够被切除胰腺后,尿液中出现了葡萄糖,并出现糖尿病病人的一些症状,科学家 将正常的胰管结扎,发现胰腺大多都萎缩了,只有内部一团团的细胞﹣﹣胰岛活着,这时够的尿液中 没有出现葡萄糖. 资料二:尼古丁是烟草的主要成分之一,研究表明尼古丁可造成糖尿病吸烟者的血糖水平持续升高, 从而导致各种并发症风险增加. (1)资料一中的胰腺是一种消化腺,分泌的 通过导管进入十二指肠,胰岛是一种 腺,分泌的胰岛素直接进入血液循环疏松到全身各处,进而调节血糖浓度. (2)资料二表面糖尿病吸烟者人群比糖尿病非吸烟者人群的胰岛素浓度普遍较 . (3)重症糖尿病患者需要肌肉注射胰岛素而不能口服,这是因为胰岛素是一种蛋白质,在消化道的 内会被初步消化,若肌肉注射胰岛素,则胰岛素最先到达心脏四个腔的 中. 17.(5分)(2015•江西)如图分别为显微镜,植物和动物细胞结构示意图,请根据题意在“[]”中填 写相应的字母会数字,在横线上填写文字 (1)显微镜下的乙、丙所示细胞的放大倍数,是甲图中c和[ ]两者放大倍数的乘积. (2)菠菜蛋汤呈现绿色,是因为高温破坏了图乙中的[ ],使其丧失了控制物质进出细胞 的功能. (3)③和⑦是两种能量转换器,光合作用发生在[ ]. (4)将乙、丙所示细胞置于清水中,会涨破的是图 所示细胞. (5)克隆羊“多莉”的培育过程中,乳腺细胞只提供图丙中的[ ]. 18.(6分)(2015•江西)某学校课外兴趣小组同学在饲养金鱼时,发现金鱼不时浮上水面直接呼吸, 即发生浮头现象.为探究金鱼发生浮头现象的可能原因,该小组将15条大小相当的金鱼,按表给定的 条件进行了相关实验. 实验组号 溶氧量 培养环境 呼吸频率(次/分钟.条) 第1次统计 第2 第次 次统 统3 计 计 甲 4mg/L 隔夜自来水 113 111 112 乙 6mg/L 隔夜自来水 76 78 74 丙 8mg/L 隔夜自来水 57 59 61 (1)根据实验原则,表格中甲组的金鱼数量是 条,该实验探究引发金鱼发生浮头现象的 因素是 . 3(2)将表格处理后可得到如图,图中X的数值为 . (3)实验可证明,在一定的溶氧量范围内,水中的溶氧量越低金鱼浮头次数会越 . (4)若将隔夜自来水煮沸后冷却使用,实验中金鱼的呼吸频率将会 . 42015年江西省中考生物试卷 参考答案 一、选择题(共15小题,每小题1分,满分15分) 1.D 2.A 3.B 4.C 5.B 6.C 7.D 8.B 9.C 10.A 11.A 12.D 13.B 14.C 15.D 二、非选择题(共3小题,满分15分) 16.胰液内分泌低胃右心房 17. d②③ 丙④ 18.(1) 5 溶氧量 ( 2 ) 7 6 ( 3 ) 多 ( 4 ) 加快 5