当前位置:首页>文档>高等数学专题第07节夹逼准则和定积分定义(作业手写版)_07.2026考研数学李永乐全程班_01.2026考研数学金榜李永乐_09.李永乐×薛威26考研数学保命班_00.配课讲义

高等数学专题第07节夹逼准则和定积分定义(作业手写版)_07.2026考研数学李永乐全程班_01.2026考研数学金榜李永乐_09.李永乐×薛威26考研数学保命班_00.配课讲义

  • 2026-02-25 16:16:19 2026-02-25 16:09:52

文档预览

高等数学专题第07节夹逼准则和定积分定义(作业手写版)_07.2026考研数学李永乐全程班_01.2026考研数学金榜李永乐_09.李永乐×薛威26考研数学保命班_00.配课讲义
高等数学专题第07节夹逼准则和定积分定义(作业手写版)_07.2026考研数学李永乐全程班_01.2026考研数学金榜李永乐_09.李永乐×薛威26考研数学保命班_00.配课讲义
高等数学专题第07节夹逼准则和定积分定义(作业手写版)_07.2026考研数学李永乐全程班_01.2026考研数学金榜李永乐_09.李永乐×薛威26考研数学保命班_00.配课讲义
高等数学专题第07节夹逼准则和定积分定义(作业手写版)_07.2026考研数学李永乐全程班_01.2026考研数学金榜李永乐_09.李永乐×薛威26考研数学保命班_00.配课讲义
高等数学专题第07节夹逼准则和定积分定义(作业手写版)_07.2026考研数学李永乐全程班_01.2026考研数学金榜李永乐_09.李永乐×薛威26考研数学保命班_00.配课讲义
高等数学专题第07节夹逼准则和定积分定义(作业手写版)_07.2026考研数学李永乐全程班_01.2026考研数学金榜李永乐_09.李永乐×薛威26考研数学保命班_00.配课讲义
高等数学专题第07节夹逼准则和定积分定义(作业手写版)_07.2026考研数学李永乐全程班_01.2026考研数学金榜李永乐_09.李永乐×薛威26考研数学保命班_00.配课讲义
高等数学专题第07节夹逼准则和定积分定义(作业手写版)_07.2026考研数学李永乐全程班_01.2026考研数学金榜李永乐_09.李永乐×薛威26考研数学保命班_00.配课讲义
高等数学专题第07节夹逼准则和定积分定义(作业手写版)_07.2026考研数学李永乐全程班_01.2026考研数学金榜李永乐_09.李永乐×薛威26考研数学保命班_00.配课讲义
高等数学专题第07节夹逼准则和定积分定义(作业手写版)_07.2026考研数学李永乐全程班_01.2026考研数学金榜李永乐_09.李永乐×薛威26考研数学保命班_00.配课讲义
高等数学专题第07节夹逼准则和定积分定义(作业手写版)_07.2026考研数学李永乐全程班_01.2026考研数学金榜李永乐_09.李永乐×薛威26考研数学保命班_00.配课讲义
高等数学专题第07节夹逼准则和定积分定义(作业手写版)_07.2026考研数学李永乐全程班_01.2026考研数学金榜李永乐_09.李永乐×薛威26考研数学保命班_00.配课讲义
高等数学专题第07节夹逼准则和定积分定义(作业手写版)_07.2026考研数学李永乐全程班_01.2026考研数学金榜李永乐_09.李永乐×薛威26考研数学保命班_00.配课讲义
高等数学专题第07节夹逼准则和定积分定义(作业手写版)_07.2026考研数学李永乐全程班_01.2026考研数学金榜李永乐_09.李永乐×薛威26考研数学保命班_00.配课讲义

文档信息

文档格式
pdf
文档大小
4.237 MB
文档页数
14 页
上传时间
2026-02-25 16:09:52

文档内容

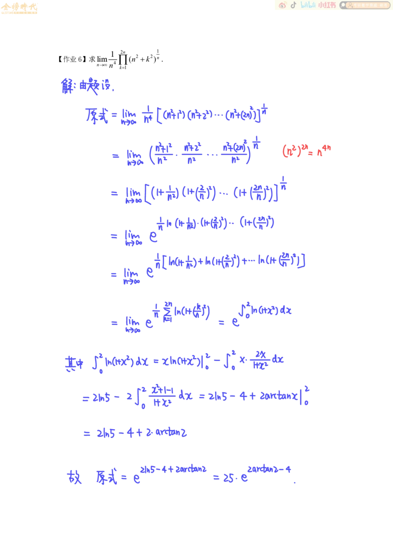
高等数学专题 夹逼准则和定积分定义 n  k n  【作业1】计算lim   .   n 2n2 k n2 k2  k1 解 由题没 由定积分定义得 Ènǜn Kiri 㗊 ⼆ 点吕 志 iiinti in arctanxfi ainiitzi it twin if E Ě aiiznitzi tt an ⼆ zin yiiità 䢨 㗊 i 根据夹逼准则 㗊点 iii 综上所述 原式 4 in  k k  k 【作业2】求lim  sin .   n nk1 n2  n k1 解 由题没 根据定积分定义 ⼩ 怂吕 志 it 品 志 inn fish fddnx 怂 xnkitfaxdnz ngts.in I sinl cosl.la Ènǜiit n.it n_n Èmi sinks Èǚsinn ⼆点 isin Èninn Ěnǚsnn iisnnkyiiiinffhxdn HnI.im Èùsinn 1 1 n n 灬 1 综上所述 原式 sinI cnl l.in I Its in 2cosIn 1 n2k 【作业3】lim ln  . n n 3n2k k1 解 由定积分定义 in 原式 㗊 感 timid 2⽐ fhi it ifmǜdt tiiinǜdu 0 注了 fan In in 是奇出数 请⾃⾏证明n  2nk nk 1 【作业4】lim ln ln  .   n  2nk 3nk n k1 解 由题没 iit in 原式 品 感 㗊 卧 奇 a fjhzdxtfhiidnnnrnkktfhzdntflnz.dk simi n  k  1  【选做5】lim nln 1  (n1)  .     n  n2  2  k1 40 解 由泰勒公式 从 灬 ⼀ ⽔ 似 In Hi i into i ⼭ ⼭ Èhmik Èriii in 三对k有约束 i 款 zi 訫⼗⼋点啊 i i ⼀ zh.nl 2㖄 i.nfpnty nuiizniì ⼩ n È Miki ii a 怂叭喇叭 i i i tiǐ i 注 了利⽤泰勒公式难 仅供参考1 2n 1 【作业6】求lim (n2 k2)n . nn4 k1 解 由题设 原式⼆点台 nikniillnii.cn ti fiji 4i.fi 叫 n4n 公品 i 乩仙⼼ 似成⼩ 仙⼫啊 占 hi 灬 删⼀ Hii en 出品 断 yyeilhhitlnlltit.hn ⽅ 嗞 断 做了an d i e fh 伙 2 d InME Efx ǜd 其中 2 21n5 2fiǜidx 21n5 4t2an tank 2h5 4t2antanz 5 4 2⽐吆以 ezar.tn 4 故 原式 e 251 【作业7】(Ⅰ)证明:当x0时,x x2 ln(1x) x; 2 n n2 k (Ⅱ)求极限lim . n n2 k1 可 证明 没 杊 奾 什列 在 加 连读 则 增 抋 1- 成⼆成 杊 单调 故 抓 that f o 没 9伙 In伙⼈ ⼗ 成在 ⼼ 连唉 则 g 必 成 -1 x i 70 7 9的单调增 故 㸪 h 174 - t i g⼉ 0 结论得 ⻄解 由开 i iiinmii inii iiiiii int 其中 a È t ie Ěii _ in so n_n Ěm 嚻 iii ⼼ 啙 啙 Ǜie 由䊚准则 原 式【作业8】(Ⅰ)证明当x0充分小时,不等式0 xln(1x) x2成立; n k (Ⅱ)设x ln(1 ),求limx . n n2 n n k1 证明 可 由题设 易知 X30时 从 伙 o 且 少 恐 惢 悲 ⼼ 品 当ㄨ70 且充分 ⼩时 Of Khat E x 2 函 由 可 结论得 从⽔ ⼩伙 ⽕ 则 iiǔithiki 故 訫 幽 赫 in i nk niimikik ikrii iii is 訫 2㖄 其 中 出品 if i 公品 if o 由来 逼住则 原式 i 注 1 2 3 t tn ⼆ 点k T h 2㖄 12 许 4 咚 贰 i 了 _【作业9】设 f(x) x2, f g(x)x2 2x3,且g(x)0. n 1 k2 (Ⅰ)求g(x)及其定义域和值域; (Ⅱ)求lim ln(1 ). n ng(x) n2 k1 解 可 由题 设 拟30 且 本⼈ fg ⼥ 歼 𠮩 g - 2 43 则 9化 f 42143 1 - M 44 -1 0 1 3 了 城 易知 㸪 定义域 为 1 3 伍 0.2 可 由可结记得 卧什 high Mimi Ǜhmiiù 其中 占 志In Hilt f h 们⻔dx 吕 fxǜzd In⼼⻔ ⼀ zfiidx hz ztzi hz ztzarctanxflnz tk hz z 由来追准则 原式 ⼼ 2 E【作业10】设 f(x) x2, f g(x) x2 2x3,且g(x)0. n  k k 1 (Ⅰ)求g(x)及其定义域和值域; (Ⅱ)求lime n cos  . n n ng(x) k1 解 可 由题 没 拟30 且 ya 4 fg ⼥ 歼 𠮩 g 2 43 则 9化 f 42143 1 M 44 10 1 3 了 城 易知 㸪 定义域 为 1,3 伍 0.2 可 由可结记得 Ěiiiiiniiiiù ĚǛ 其中 出品 aiifeandxffhxdx ēd ffdsmx esmxffs.mx ē's inI ffdcnxisml inxffnxeidx esmI ehltI fnx.edu 故 ffcnxdk.it 式⼼以 ⼼ In  1 2  2 2  n 2 【参考1】limln 1 1  1 等于( ).       n  n  n  n 2 2 (A) ln2 xdx. (B)2 lnxdx. 1 1 2 2 (C)2 ln(1x)dx. (D) ln2(1x)dx. (2004年,数学二) 1 1 1 1 1 【参考2】limn(   ) . (2012年,数学二) n 1n2 22 n2 n2 n21  1 2 n 【参考3】极限lim sin 2sin nsin  .   nn2  n n n (2016年,数学二,数学三) 1  1 2 n1 【参考4】lim ln 2ln (n1)ln  .   nn2  n n n  (2025年,数学三)1  2 n 【参考5】lim  1cos  1cos  1cos   . nn  n n n  (2002年,数学二)【注】参考题都是真题,不给答
基本 文件 流程 错误 SQL 调试
  1. 请求信息 : 2026-02-27 12:35:17 HTTP/1.1 GET : https://www.yeyulingfeng.com/wendang/327221.html
  2. 运行时间 : 0.142207s [ 吞吐率:7.03req/s ] 内存消耗:4,766.91kb 文件加载:140
  3. 缓存信息 : 0 reads,0 writes
  4. 会话信息 : SESSION_ID=ae772685894d88e6f6c371b720706ac1
  1. /yingpanguazai/ssd/ssd1/www/wwww.yeyulingfeng.com/public/index.php ( 0.79 KB )
  2. /yingpanguazai/ssd/ssd1/www/wwww.yeyulingfeng.com/vendor/autoload.php ( 0.17 KB )
  3. /yingpanguazai/ssd/ssd1/www/wwww.yeyulingfeng.com/vendor/composer/autoload_real.php ( 2.49 KB )
  4. /yingpanguazai/ssd/ssd1/www/wwww.yeyulingfeng.com/vendor/composer/platform_check.php ( 0.90 KB )
  5. /yingpanguazai/ssd/ssd1/www/wwww.yeyulingfeng.com/vendor/composer/ClassLoader.php ( 14.03 KB )
  6. /yingpanguazai/ssd/ssd1/www/wwww.yeyulingfeng.com/vendor/composer/autoload_static.php ( 4.90 KB )
  7. /yingpanguazai/ssd/ssd1/www/wwww.yeyulingfeng.com/vendor/topthink/think-helper/src/helper.php ( 8.34 KB )
  8. /yingpanguazai/ssd/ssd1/www/wwww.yeyulingfeng.com/vendor/topthink/think-validate/src/helper.php ( 2.19 KB )
  9. /yingpanguazai/ssd/ssd1/www/wwww.yeyulingfeng.com/vendor/topthink/think-orm/src/helper.php ( 1.47 KB )
  10. /yingpanguazai/ssd/ssd1/www/wwww.yeyulingfeng.com/vendor/topthink/think-orm/stubs/load_stubs.php ( 0.16 KB )
  11. /yingpanguazai/ssd/ssd1/www/wwww.yeyulingfeng.com/vendor/topthink/framework/src/think/Exception.php ( 1.69 KB )
  12. /yingpanguazai/ssd/ssd1/www/wwww.yeyulingfeng.com/vendor/topthink/think-container/src/Facade.php ( 2.71 KB )
  13. /yingpanguazai/ssd/ssd1/www/wwww.yeyulingfeng.com/vendor/symfony/deprecation-contracts/function.php ( 0.99 KB )
  14. /yingpanguazai/ssd/ssd1/www/wwww.yeyulingfeng.com/vendor/symfony/polyfill-mbstring/bootstrap.php ( 8.26 KB )
  15. /yingpanguazai/ssd/ssd1/www/wwww.yeyulingfeng.com/vendor/symfony/polyfill-mbstring/bootstrap80.php ( 9.78 KB )
  16. /yingpanguazai/ssd/ssd1/www/wwww.yeyulingfeng.com/vendor/symfony/var-dumper/Resources/functions/dump.php ( 1.49 KB )
  17. /yingpanguazai/ssd/ssd1/www/wwww.yeyulingfeng.com/vendor/topthink/think-dumper/src/helper.php ( 0.18 KB )
  18. /yingpanguazai/ssd/ssd1/www/wwww.yeyulingfeng.com/vendor/symfony/var-dumper/VarDumper.php ( 4.30 KB )
  19. /yingpanguazai/ssd/ssd1/www/wwww.yeyulingfeng.com/vendor/topthink/framework/src/think/App.php ( 15.30 KB )
  20. /yingpanguazai/ssd/ssd1/www/wwww.yeyulingfeng.com/vendor/topthink/think-container/src/Container.php ( 15.76 KB )
  21. /yingpanguazai/ssd/ssd1/www/wwww.yeyulingfeng.com/vendor/psr/container/src/ContainerInterface.php ( 1.02 KB )
  22. /yingpanguazai/ssd/ssd1/www/wwww.yeyulingfeng.com/app/provider.php ( 0.19 KB )
  23. /yingpanguazai/ssd/ssd1/www/wwww.yeyulingfeng.com/vendor/topthink/framework/src/think/Http.php ( 6.04 KB )
  24. /yingpanguazai/ssd/ssd1/www/wwww.yeyulingfeng.com/vendor/topthink/think-helper/src/helper/Str.php ( 7.29 KB )
  25. /yingpanguazai/ssd/ssd1/www/wwww.yeyulingfeng.com/vendor/topthink/framework/src/think/Env.php ( 4.68 KB )
  26. /yingpanguazai/ssd/ssd1/www/wwww.yeyulingfeng.com/app/common.php ( 0.03 KB )
  27. /yingpanguazai/ssd/ssd1/www/wwww.yeyulingfeng.com/vendor/topthink/framework/src/helper.php ( 18.78 KB )
  28. /yingpanguazai/ssd/ssd1/www/wwww.yeyulingfeng.com/vendor/topthink/framework/src/think/Config.php ( 5.54 KB )
  29. /yingpanguazai/ssd/ssd1/www/wwww.yeyulingfeng.com/config/app.php ( 0.95 KB )
  30. /yingpanguazai/ssd/ssd1/www/wwww.yeyulingfeng.com/config/cache.php ( 0.78 KB )
  31. /yingpanguazai/ssd/ssd1/www/wwww.yeyulingfeng.com/config/console.php ( 0.23 KB )
  32. /yingpanguazai/ssd/ssd1/www/wwww.yeyulingfeng.com/config/cookie.php ( 0.56 KB )
  33. /yingpanguazai/ssd/ssd1/www/wwww.yeyulingfeng.com/config/database.php ( 2.48 KB )
  34. /yingpanguazai/ssd/ssd1/www/wwww.yeyulingfeng.com/vendor/topthink/framework/src/think/facade/Env.php ( 1.67 KB )
  35. /yingpanguazai/ssd/ssd1/www/wwww.yeyulingfeng.com/config/filesystem.php ( 0.61 KB )
  36. /yingpanguazai/ssd/ssd1/www/wwww.yeyulingfeng.com/config/lang.php ( 0.91 KB )
  37. /yingpanguazai/ssd/ssd1/www/wwww.yeyulingfeng.com/config/log.php ( 1.35 KB )
  38. /yingpanguazai/ssd/ssd1/www/wwww.yeyulingfeng.com/config/middleware.php ( 0.19 KB )
  39. /yingpanguazai/ssd/ssd1/www/wwww.yeyulingfeng.com/config/route.php ( 1.89 KB )
  40. /yingpanguazai/ssd/ssd1/www/wwww.yeyulingfeng.com/config/session.php ( 0.57 KB )
  41. /yingpanguazai/ssd/ssd1/www/wwww.yeyulingfeng.com/config/trace.php ( 0.34 KB )
  42. /yingpanguazai/ssd/ssd1/www/wwww.yeyulingfeng.com/config/view.php ( 0.82 KB )
  43. /yingpanguazai/ssd/ssd1/www/wwww.yeyulingfeng.com/app/event.php ( 0.25 KB )
  44. /yingpanguazai/ssd/ssd1/www/wwww.yeyulingfeng.com/vendor/topthink/framework/src/think/Event.php ( 7.67 KB )
  45. /yingpanguazai/ssd/ssd1/www/wwww.yeyulingfeng.com/app/service.php ( 0.13 KB )
  46. /yingpanguazai/ssd/ssd1/www/wwww.yeyulingfeng.com/app/AppService.php ( 0.26 KB )
  47. /yingpanguazai/ssd/ssd1/www/wwww.yeyulingfeng.com/vendor/topthink/framework/src/think/Service.php ( 1.64 KB )
  48. /yingpanguazai/ssd/ssd1/www/wwww.yeyulingfeng.com/vendor/topthink/framework/src/think/Lang.php ( 7.35 KB )
  49. /yingpanguazai/ssd/ssd1/www/wwww.yeyulingfeng.com/vendor/topthink/framework/src/lang/zh-cn.php ( 13.70 KB )
  50. /yingpanguazai/ssd/ssd1/www/wwww.yeyulingfeng.com/vendor/topthink/framework/src/think/initializer/Error.php ( 3.31 KB )
  51. /yingpanguazai/ssd/ssd1/www/wwww.yeyulingfeng.com/vendor/topthink/framework/src/think/initializer/RegisterService.php ( 1.33 KB )
  52. /yingpanguazai/ssd/ssd1/www/wwww.yeyulingfeng.com/vendor/services.php ( 0.14 KB )
  53. /yingpanguazai/ssd/ssd1/www/wwww.yeyulingfeng.com/vendor/topthink/framework/src/think/service/PaginatorService.php ( 1.52 KB )
  54. /yingpanguazai/ssd/ssd1/www/wwww.yeyulingfeng.com/vendor/topthink/framework/src/think/service/ValidateService.php ( 0.99 KB )
  55. /yingpanguazai/ssd/ssd1/www/wwww.yeyulingfeng.com/vendor/topthink/framework/src/think/service/ModelService.php ( 2.04 KB )
  56. /yingpanguazai/ssd/ssd1/www/wwww.yeyulingfeng.com/vendor/topthink/think-trace/src/Service.php ( 0.77 KB )
  57. /yingpanguazai/ssd/ssd1/www/wwww.yeyulingfeng.com/vendor/topthink/framework/src/think/Middleware.php ( 6.72 KB )
  58. /yingpanguazai/ssd/ssd1/www/wwww.yeyulingfeng.com/vendor/topthink/framework/src/think/initializer/BootService.php ( 0.77 KB )
  59. /yingpanguazai/ssd/ssd1/www/wwww.yeyulingfeng.com/vendor/topthink/think-orm/src/Paginator.php ( 11.86 KB )
  60. /yingpanguazai/ssd/ssd1/www/wwww.yeyulingfeng.com/vendor/topthink/think-validate/src/Validate.php ( 63.20 KB )
  61. /yingpanguazai/ssd/ssd1/www/wwww.yeyulingfeng.com/vendor/topthink/think-orm/src/Model.php ( 23.55 KB )
  62. /yingpanguazai/ssd/ssd1/www/wwww.yeyulingfeng.com/vendor/topthink/think-orm/src/model/concern/Attribute.php ( 21.05 KB )
  63. /yingpanguazai/ssd/ssd1/www/wwww.yeyulingfeng.com/vendor/topthink/think-orm/src/model/concern/AutoWriteData.php ( 4.21 KB )
  64. /yingpanguazai/ssd/ssd1/www/wwww.yeyulingfeng.com/vendor/topthink/think-orm/src/model/concern/Conversion.php ( 6.44 KB )
  65. /yingpanguazai/ssd/ssd1/www/wwww.yeyulingfeng.com/vendor/topthink/think-orm/src/model/concern/DbConnect.php ( 5.16 KB )
  66. /yingpanguazai/ssd/ssd1/www/wwww.yeyulingfeng.com/vendor/topthink/think-orm/src/model/concern/ModelEvent.php ( 2.33 KB )
  67. /yingpanguazai/ssd/ssd1/www/wwww.yeyulingfeng.com/vendor/topthink/think-orm/src/model/concern/RelationShip.php ( 28.29 KB )
  68. /yingpanguazai/ssd/ssd1/www/wwww.yeyulingfeng.com/vendor/topthink/think-helper/src/contract/Arrayable.php ( 0.09 KB )
  69. /yingpanguazai/ssd/ssd1/www/wwww.yeyulingfeng.com/vendor/topthink/think-helper/src/contract/Jsonable.php ( 0.13 KB )
  70. /yingpanguazai/ssd/ssd1/www/wwww.yeyulingfeng.com/vendor/topthink/think-orm/src/model/contract/Modelable.php ( 0.09 KB )
  71. /yingpanguazai/ssd/ssd1/www/wwww.yeyulingfeng.com/vendor/topthink/framework/src/think/Db.php ( 2.88 KB )
  72. /yingpanguazai/ssd/ssd1/www/wwww.yeyulingfeng.com/vendor/topthink/think-orm/src/DbManager.php ( 8.52 KB )
  73. /yingpanguazai/ssd/ssd1/www/wwww.yeyulingfeng.com/vendor/topthink/framework/src/think/Log.php ( 6.28 KB )
  74. /yingpanguazai/ssd/ssd1/www/wwww.yeyulingfeng.com/vendor/topthink/framework/src/think/Manager.php ( 3.92 KB )
  75. /yingpanguazai/ssd/ssd1/www/wwww.yeyulingfeng.com/vendor/psr/log/src/LoggerTrait.php ( 2.69 KB )
  76. /yingpanguazai/ssd/ssd1/www/wwww.yeyulingfeng.com/vendor/psr/log/src/LoggerInterface.php ( 2.71 KB )
  77. /yingpanguazai/ssd/ssd1/www/wwww.yeyulingfeng.com/vendor/topthink/framework/src/think/Cache.php ( 4.92 KB )
  78. /yingpanguazai/ssd/ssd1/www/wwww.yeyulingfeng.com/vendor/psr/simple-cache/src/CacheInterface.php ( 4.71 KB )
  79. /yingpanguazai/ssd/ssd1/www/wwww.yeyulingfeng.com/vendor/topthink/think-helper/src/helper/Arr.php ( 16.63 KB )
  80. /yingpanguazai/ssd/ssd1/www/wwww.yeyulingfeng.com/vendor/topthink/framework/src/think/cache/driver/File.php ( 7.84 KB )
  81. /yingpanguazai/ssd/ssd1/www/wwww.yeyulingfeng.com/vendor/topthink/framework/src/think/cache/Driver.php ( 9.03 KB )
  82. /yingpanguazai/ssd/ssd1/www/wwww.yeyulingfeng.com/vendor/topthink/framework/src/think/contract/CacheHandlerInterface.php ( 1.99 KB )
  83. /yingpanguazai/ssd/ssd1/www/wwww.yeyulingfeng.com/app/Request.php ( 0.09 KB )
  84. /yingpanguazai/ssd/ssd1/www/wwww.yeyulingfeng.com/vendor/topthink/framework/src/think/Request.php ( 55.78 KB )
  85. /yingpanguazai/ssd/ssd1/www/wwww.yeyulingfeng.com/app/middleware.php ( 0.25 KB )
  86. /yingpanguazai/ssd/ssd1/www/wwww.yeyulingfeng.com/vendor/topthink/framework/src/think/Pipeline.php ( 2.61 KB )
  87. /yingpanguazai/ssd/ssd1/www/wwww.yeyulingfeng.com/vendor/topthink/think-trace/src/TraceDebug.php ( 3.40 KB )
  88. /yingpanguazai/ssd/ssd1/www/wwww.yeyulingfeng.com/vendor/topthink/framework/src/think/middleware/SessionInit.php ( 1.94 KB )
  89. /yingpanguazai/ssd/ssd1/www/wwww.yeyulingfeng.com/vendor/topthink/framework/src/think/Session.php ( 1.80 KB )
  90. /yingpanguazai/ssd/ssd1/www/wwww.yeyulingfeng.com/vendor/topthink/framework/src/think/session/driver/File.php ( 6.27 KB )
  91. /yingpanguazai/ssd/ssd1/www/wwww.yeyulingfeng.com/vendor/topthink/framework/src/think/contract/SessionHandlerInterface.php ( 0.87 KB )
  92. /yingpanguazai/ssd/ssd1/www/wwww.yeyulingfeng.com/vendor/topthink/framework/src/think/session/Store.php ( 7.12 KB )
  93. /yingpanguazai/ssd/ssd1/www/wwww.yeyulingfeng.com/vendor/topthink/framework/src/think/Route.php ( 23.73 KB )
  94. /yingpanguazai/ssd/ssd1/www/wwww.yeyulingfeng.com/vendor/topthink/framework/src/think/route/RuleName.php ( 5.75 KB )
  95. /yingpanguazai/ssd/ssd1/www/wwww.yeyulingfeng.com/vendor/topthink/framework/src/think/route/Domain.php ( 2.53 KB )
  96. /yingpanguazai/ssd/ssd1/www/wwww.yeyulingfeng.com/vendor/topthink/framework/src/think/route/RuleGroup.php ( 22.43 KB )
  97. /yingpanguazai/ssd/ssd1/www/wwww.yeyulingfeng.com/vendor/topthink/framework/src/think/route/Rule.php ( 26.95 KB )
  98. /yingpanguazai/ssd/ssd1/www/wwww.yeyulingfeng.com/vendor/topthink/framework/src/think/route/RuleItem.php ( 9.78 KB )
  99. /yingpanguazai/ssd/ssd1/www/wwww.yeyulingfeng.com/route/app.php ( 3.13 KB )
  100. /yingpanguazai/ssd/ssd1/www/wwww.yeyulingfeng.com/vendor/topthink/framework/src/think/facade/Route.php ( 4.70 KB )
  101. /yingpanguazai/ssd/ssd1/www/wwww.yeyulingfeng.com/vendor/topthink/framework/src/think/route/dispatch/Controller.php ( 4.74 KB )
  102. /yingpanguazai/ssd/ssd1/www/wwww.yeyulingfeng.com/vendor/topthink/framework/src/think/route/Dispatch.php ( 10.44 KB )
  103. /yingpanguazai/ssd/ssd1/www/wwww.yeyulingfeng.com/app/controller/Index.php ( 9.50 KB )
  104. /yingpanguazai/ssd/ssd1/www/wwww.yeyulingfeng.com/app/BaseController.php ( 2.05 KB )
  105. /yingpanguazai/ssd/ssd1/www/wwww.yeyulingfeng.com/vendor/topthink/think-orm/src/facade/Db.php ( 0.93 KB )
  106. /yingpanguazai/ssd/ssd1/www/wwww.yeyulingfeng.com/vendor/topthink/think-orm/src/db/connector/Mysql.php ( 5.44 KB )
  107. /yingpanguazai/ssd/ssd1/www/wwww.yeyulingfeng.com/vendor/topthink/think-orm/src/db/PDOConnection.php ( 52.47 KB )
  108. /yingpanguazai/ssd/ssd1/www/wwww.yeyulingfeng.com/vendor/topthink/think-orm/src/db/Connection.php ( 8.39 KB )
  109. /yingpanguazai/ssd/ssd1/www/wwww.yeyulingfeng.com/vendor/topthink/think-orm/src/db/ConnectionInterface.php ( 4.57 KB )
  110. /yingpanguazai/ssd/ssd1/www/wwww.yeyulingfeng.com/vendor/topthink/think-orm/src/db/builder/Mysql.php ( 16.58 KB )
  111. /yingpanguazai/ssd/ssd1/www/wwww.yeyulingfeng.com/vendor/topthink/think-orm/src/db/Builder.php ( 24.06 KB )
  112. /yingpanguazai/ssd/ssd1/www/wwww.yeyulingfeng.com/vendor/topthink/think-orm/src/db/BaseBuilder.php ( 27.50 KB )
  113. /yingpanguazai/ssd/ssd1/www/wwww.yeyulingfeng.com/vendor/topthink/think-orm/src/db/Query.php ( 15.71 KB )
  114. /yingpanguazai/ssd/ssd1/www/wwww.yeyulingfeng.com/vendor/topthink/think-orm/src/db/BaseQuery.php ( 45.13 KB )
  115. /yingpanguazai/ssd/ssd1/www/wwww.yeyulingfeng.com/vendor/topthink/think-orm/src/db/concern/TimeFieldQuery.php ( 7.43 KB )
  116. /yingpanguazai/ssd/ssd1/www/wwww.yeyulingfeng.com/vendor/topthink/think-orm/src/db/concern/AggregateQuery.php ( 3.26 KB )
  117. /yingpanguazai/ssd/ssd1/www/wwww.yeyulingfeng.com/vendor/topthink/think-orm/src/db/concern/ModelRelationQuery.php ( 20.07 KB )
  118. /yingpanguazai/ssd/ssd1/www/wwww.yeyulingfeng.com/vendor/topthink/think-orm/src/db/concern/ParamsBind.php ( 3.66 KB )
  119. /yingpanguazai/ssd/ssd1/www/wwww.yeyulingfeng.com/vendor/topthink/think-orm/src/db/concern/ResultOperation.php ( 7.01 KB )
  120. /yingpanguazai/ssd/ssd1/www/wwww.yeyulingfeng.com/vendor/topthink/think-orm/src/db/concern/WhereQuery.php ( 19.37 KB )
  121. /yingpanguazai/ssd/ssd1/www/wwww.yeyulingfeng.com/vendor/topthink/think-orm/src/db/concern/JoinAndViewQuery.php ( 7.11 KB )
  122. /yingpanguazai/ssd/ssd1/www/wwww.yeyulingfeng.com/vendor/topthink/think-orm/src/db/concern/TableFieldInfo.php ( 2.63 KB )
  123. /yingpanguazai/ssd/ssd1/www/wwww.yeyulingfeng.com/vendor/topthink/think-orm/src/db/concern/Transaction.php ( 2.77 KB )
  124. /yingpanguazai/ssd/ssd1/www/wwww.yeyulingfeng.com/vendor/topthink/framework/src/think/log/driver/File.php ( 5.96 KB )
  125. /yingpanguazai/ssd/ssd1/www/wwww.yeyulingfeng.com/vendor/topthink/framework/src/think/contract/LogHandlerInterface.php ( 0.86 KB )
  126. /yingpanguazai/ssd/ssd1/www/wwww.yeyulingfeng.com/vendor/topthink/framework/src/think/log/Channel.php ( 3.89 KB )
  127. /yingpanguazai/ssd/ssd1/www/wwww.yeyulingfeng.com/vendor/topthink/framework/src/think/event/LogRecord.php ( 1.02 KB )
  128. /yingpanguazai/ssd/ssd1/www/wwww.yeyulingfeng.com/vendor/topthink/think-helper/src/Collection.php ( 16.47 KB )
  129. /yingpanguazai/ssd/ssd1/www/wwww.yeyulingfeng.com/vendor/topthink/framework/src/think/facade/View.php ( 1.70 KB )
  130. /yingpanguazai/ssd/ssd1/www/wwww.yeyulingfeng.com/vendor/topthink/framework/src/think/View.php ( 4.39 KB )
  131. /yingpanguazai/ssd/ssd1/www/wwww.yeyulingfeng.com/vendor/topthink/framework/src/think/Response.php ( 8.81 KB )
  132. /yingpanguazai/ssd/ssd1/www/wwww.yeyulingfeng.com/vendor/topthink/framework/src/think/response/View.php ( 3.29 KB )
  133. /yingpanguazai/ssd/ssd1/www/wwww.yeyulingfeng.com/vendor/topthink/framework/src/think/Cookie.php ( 6.06 KB )
  134. /yingpanguazai/ssd/ssd1/www/wwww.yeyulingfeng.com/vendor/topthink/think-view/src/Think.php ( 8.38 KB )
  135. /yingpanguazai/ssd/ssd1/www/wwww.yeyulingfeng.com/vendor/topthink/framework/src/think/contract/TemplateHandlerInterface.php ( 1.60 KB )
  136. /yingpanguazai/ssd/ssd1/www/wwww.yeyulingfeng.com/vendor/topthink/think-template/src/Template.php ( 46.61 KB )
  137. /yingpanguazai/ssd/ssd1/www/wwww.yeyulingfeng.com/vendor/topthink/think-template/src/template/driver/File.php ( 2.41 KB )
  138. /yingpanguazai/ssd/ssd1/www/wwww.yeyulingfeng.com/vendor/topthink/think-template/src/template/contract/DriverInterface.php ( 0.86 KB )
  139. /yingpanguazai/ssd/ssd1/www/wwww.yeyulingfeng.com/runtime/temp/10a0c909b6afa23b5a52a2e2d58c3c0f.php ( 21.98 KB )
  140. /yingpanguazai/ssd/ssd1/www/wwww.yeyulingfeng.com/vendor/topthink/think-trace/src/Html.php ( 4.42 KB )
  1. CONNECT:[ UseTime:0.000878s ] mysql:host=127.0.0.1;port=3306;dbname=wenku;charset=utf8mb4
  2. SHOW FULL COLUMNS FROM `fenlei` [ RunTime:0.001300s ]
  3. SELECT * FROM `fenlei` WHERE `fid` = 0 [ RunTime:0.000571s ]
  4. SELECT * FROM `fenlei` WHERE `fid` = 63 [ RunTime:0.000590s ]
  5. SHOW FULL COLUMNS FROM `set` [ RunTime:0.001070s ]
  6. SELECT * FROM `set` [ RunTime:0.002637s ]
  7. SHOW FULL COLUMNS FROM `wendang` [ RunTime:0.001877s ]
  8. SELECT * FROM `wendang` WHERE `id` = 327221 LIMIT 1 [ RunTime:0.003197s ]
  9. UPDATE `wendang` SET `liulancishu` = 3 WHERE `id` = 327221 [ RunTime:0.018805s ]
  10. UPDATE `wendang` SET `lasttime` = 1772166917 WHERE `id` = 327221 [ RunTime:0.001373s ]
  11. SELECT * FROM `wendang` WHERE `id` < 327221 ORDER BY `id` DESC LIMIT 1 [ RunTime:0.001096s ]
  12. SELECT * FROM `wendang` WHERE `id` > 327221 ORDER BY `id` ASC LIMIT 1 [ RunTime:0.000934s ]
  13. SELECT * FROM `wendang` WHERE `id` <> 327221 ORDER BY `id` DESC LIMIT 10 [ RunTime:0.002231s ]
  14. SELECT * FROM `wendang` WHERE `id` <> 327221 ORDER BY `id` DESC LIMIT 10,10 [ RunTime:0.001919s ]
  15. SELECT * FROM `wendang` WHERE `id` <> 327221 ORDER BY `id` DESC LIMIT 20,10 [ RunTime:0.017590s ]
0.145589s