当前位置:首页>文档>2025年中考数学几何模型综合训练(通用版)专题19全等与相似模型之一线三等角(K字)模型解读与提分精练(教师版)_02中考总复习(2026版更新中)_02-数学-中考总复习_2025中考复习资料

2025年中考数学几何模型综合训练(通用版)专题19全等与相似模型之一线三等角(K字)模型解读与提分精练(教师版)_02中考总复习(2026版更新中)_02-数学-中考总复习_2025中考复习资料

  • 2026-03-01 08:24:44 2026-03-01 08:11:55

文档预览

2025年中考数学几何模型综合训练(通用版)专题19全等与相似模型之一线三等角(K字)模型解读与提分精练(教师版)_02中考总复习(2026版更新中)_02-数学-中考总复习_2025中考复习资料
2025年中考数学几何模型综合训练(通用版)专题19全等与相似模型之一线三等角(K字)模型解读与提分精练(教师版)_02中考总复习(2026版更新中)_02-数学-中考总复习_2025中考复习资料
2025年中考数学几何模型综合训练(通用版)专题19全等与相似模型之一线三等角(K字)模型解读与提分精练(教师版)_02中考总复习(2026版更新中)_02-数学-中考总复习_2025中考复习资料
2025年中考数学几何模型综合训练(通用版)专题19全等与相似模型之一线三等角(K字)模型解读与提分精练(教师版)_02中考总复习(2026版更新中)_02-数学-中考总复习_2025中考复习资料
2025年中考数学几何模型综合训练(通用版)专题19全等与相似模型之一线三等角(K字)模型解读与提分精练(教师版)_02中考总复习(2026版更新中)_02-数学-中考总复习_2025中考复习资料
2025年中考数学几何模型综合训练(通用版)专题19全等与相似模型之一线三等角(K字)模型解读与提分精练(教师版)_02中考总复习(2026版更新中)_02-数学-中考总复习_2025中考复习资料
2025年中考数学几何模型综合训练(通用版)专题19全等与相似模型之一线三等角(K字)模型解读与提分精练(教师版)_02中考总复习(2026版更新中)_02-数学-中考总复习_2025中考复习资料
2025年中考数学几何模型综合训练(通用版)专题19全等与相似模型之一线三等角(K字)模型解读与提分精练(教师版)_02中考总复习(2026版更新中)_02-数学-中考总复习_2025中考复习资料
2025年中考数学几何模型综合训练(通用版)专题19全等与相似模型之一线三等角(K字)模型解读与提分精练(教师版)_02中考总复习(2026版更新中)_02-数学-中考总复习_2025中考复习资料
2025年中考数学几何模型综合训练(通用版)专题19全等与相似模型之一线三等角(K字)模型解读与提分精练(教师版)_02中考总复习(2026版更新中)_02-数学-中考总复习_2025中考复习资料
2025年中考数学几何模型综合训练(通用版)专题19全等与相似模型之一线三等角(K字)模型解读与提分精练(教师版)_02中考总复习(2026版更新中)_02-数学-中考总复习_2025中考复习资料
2025年中考数学几何模型综合训练(通用版)专题19全等与相似模型之一线三等角(K字)模型解读与提分精练(教师版)_02中考总复习(2026版更新中)_02-数学-中考总复习_2025中考复习资料
2025年中考数学几何模型综合训练(通用版)专题19全等与相似模型之一线三等角(K字)模型解读与提分精练(教师版)_02中考总复习(2026版更新中)_02-数学-中考总复习_2025中考复习资料
2025年中考数学几何模型综合训练(通用版)专题19全等与相似模型之一线三等角(K字)模型解读与提分精练(教师版)_02中考总复习(2026版更新中)_02-数学-中考总复习_2025中考复习资料
2025年中考数学几何模型综合训练(通用版)专题19全等与相似模型之一线三等角(K字)模型解读与提分精练(教师版)_02中考总复习(2026版更新中)_02-数学-中考总复习_2025中考复习资料
2025年中考数学几何模型综合训练(通用版)专题19全等与相似模型之一线三等角(K字)模型解读与提分精练(教师版)_02中考总复习(2026版更新中)_02-数学-中考总复习_2025中考复习资料
2025年中考数学几何模型综合训练(通用版)专题19全等与相似模型之一线三等角(K字)模型解读与提分精练(教师版)_02中考总复习(2026版更新中)_02-数学-中考总复习_2025中考复习资料
2025年中考数学几何模型综合训练(通用版)专题19全等与相似模型之一线三等角(K字)模型解读与提分精练(教师版)_02中考总复习(2026版更新中)_02-数学-中考总复习_2025中考复习资料
2025年中考数学几何模型综合训练(通用版)专题19全等与相似模型之一线三等角(K字)模型解读与提分精练(教师版)_02中考总复习(2026版更新中)_02-数学-中考总复习_2025中考复习资料
2025年中考数学几何模型综合训练(通用版)专题19全等与相似模型之一线三等角(K字)模型解读与提分精练(教师版)_02中考总复习(2026版更新中)_02-数学-中考总复习_2025中考复习资料
2025年中考数学几何模型综合训练(通用版)专题19全等与相似模型之一线三等角(K字)模型解读与提分精练(教师版)_02中考总复习(2026版更新中)_02-数学-中考总复习_2025中考复习资料
2025年中考数学几何模型综合训练(通用版)专题19全等与相似模型之一线三等角(K字)模型解读与提分精练(教师版)_02中考总复习(2026版更新中)_02-数学-中考总复习_2025中考复习资料
2025年中考数学几何模型综合训练(通用版)专题19全等与相似模型之一线三等角(K字)模型解读与提分精练(教师版)_02中考总复习(2026版更新中)_02-数学-中考总复习_2025中考复习资料
2025年中考数学几何模型综合训练(通用版)专题19全等与相似模型之一线三等角(K字)模型解读与提分精练(教师版)_02中考总复习(2026版更新中)_02-数学-中考总复习_2025中考复习资料
2025年中考数学几何模型综合训练(通用版)专题19全等与相似模型之一线三等角(K字)模型解读与提分精练(教师版)_02中考总复习(2026版更新中)_02-数学-中考总复习_2025中考复习资料
2025年中考数学几何模型综合训练(通用版)专题19全等与相似模型之一线三等角(K字)模型解读与提分精练(教师版)_02中考总复习(2026版更新中)_02-数学-中考总复习_2025中考复习资料
2025年中考数学几何模型综合训练(通用版)专题19全等与相似模型之一线三等角(K字)模型解读与提分精练(教师版)_02中考总复习(2026版更新中)_02-数学-中考总复习_2025中考复习资料
2025年中考数学几何模型综合训练(通用版)专题19全等与相似模型之一线三等角(K字)模型解读与提分精练(教师版)_02中考总复习(2026版更新中)_02-数学-中考总复习_2025中考复习资料
2025年中考数学几何模型综合训练(通用版)专题19全等与相似模型之一线三等角(K字)模型解读与提分精练(教师版)_02中考总复习(2026版更新中)_02-数学-中考总复习_2025中考复习资料
2025年中考数学几何模型综合训练(通用版)专题19全等与相似模型之一线三等角(K字)模型解读与提分精练(教师版)_02中考总复习(2026版更新中)_02-数学-中考总复习_2025中考复习资料
2025年中考数学几何模型综合训练(通用版)专题19全等与相似模型之一线三等角(K字)模型解读与提分精练(教师版)_02中考总复习(2026版更新中)_02-数学-中考总复习_2025中考复习资料
2025年中考数学几何模型综合训练(通用版)专题19全等与相似模型之一线三等角(K字)模型解读与提分精练(教师版)_02中考总复习(2026版更新中)_02-数学-中考总复习_2025中考复习资料
2025年中考数学几何模型综合训练(通用版)专题19全等与相似模型之一线三等角(K字)模型解读与提分精练(教师版)_02中考总复习(2026版更新中)_02-数学-中考总复习_2025中考复习资料
2025年中考数学几何模型综合训练(通用版)专题19全等与相似模型之一线三等角(K字)模型解读与提分精练(教师版)_02中考总复习(2026版更新中)_02-数学-中考总复习_2025中考复习资料
2025年中考数学几何模型综合训练(通用版)专题19全等与相似模型之一线三等角(K字)模型解读与提分精练(教师版)_02中考总复习(2026版更新中)_02-数学-中考总复习_2025中考复习资料
2025年中考数学几何模型综合训练(通用版)专题19全等与相似模型之一线三等角(K字)模型解读与提分精练(教师版)_02中考总复习(2026版更新中)_02-数学-中考总复习_2025中考复习资料
2025年中考数学几何模型综合训练(通用版)专题19全等与相似模型之一线三等角(K字)模型解读与提分精练(教师版)_02中考总复习(2026版更新中)_02-数学-中考总复习_2025中考复习资料
2025年中考数学几何模型综合训练(通用版)专题19全等与相似模型之一线三等角(K字)模型解读与提分精练(教师版)_02中考总复习(2026版更新中)_02-数学-中考总复习_2025中考复习资料
2025年中考数学几何模型综合训练(通用版)专题19全等与相似模型之一线三等角(K字)模型解读与提分精练(教师版)_02中考总复习(2026版更新中)_02-数学-中考总复习_2025中考复习资料
2025年中考数学几何模型综合训练(通用版)专题19全等与相似模型之一线三等角(K字)模型解读与提分精练(教师版)_02中考总复习(2026版更新中)_02-数学-中考总复习_2025中考复习资料
2025年中考数学几何模型综合训练(通用版)专题19全等与相似模型之一线三等角(K字)模型解读与提分精练(教师版)_02中考总复习(2026版更新中)_02-数学-中考总复习_2025中考复习资料
2025年中考数学几何模型综合训练(通用版)专题19全等与相似模型之一线三等角(K字)模型解读与提分精练(教师版)_02中考总复习(2026版更新中)_02-数学-中考总复习_2025中考复习资料
2025年中考数学几何模型综合训练(通用版)专题19全等与相似模型之一线三等角(K字)模型解读与提分精练(教师版)_02中考总复习(2026版更新中)_02-数学-中考总复习_2025中考复习资料
2025年中考数学几何模型综合训练(通用版)专题19全等与相似模型之一线三等角(K字)模型解读与提分精练(教师版)_02中考总复习(2026版更新中)_02-数学-中考总复习_2025中考复习资料
2025年中考数学几何模型综合训练(通用版)专题19全等与相似模型之一线三等角(K字)模型解读与提分精练(教师版)_02中考总复习(2026版更新中)_02-数学-中考总复习_2025中考复习资料
2025年中考数学几何模型综合训练(通用版)专题19全等与相似模型之一线三等角(K字)模型解读与提分精练(教师版)_02中考总复习(2026版更新中)_02-数学-中考总复习_2025中考复习资料
2025年中考数学几何模型综合训练(通用版)专题19全等与相似模型之一线三等角(K字)模型解读与提分精练(教师版)_02中考总复习(2026版更新中)_02-数学-中考总复习_2025中考复习资料
2025年中考数学几何模型综合训练(通用版)专题19全等与相似模型之一线三等角(K字)模型解读与提分精练(教师版)_02中考总复习(2026版更新中)_02-数学-中考总复习_2025中考复习资料
2025年中考数学几何模型综合训练(通用版)专题19全等与相似模型之一线三等角(K字)模型解读与提分精练(教师版)_02中考总复习(2026版更新中)_02-数学-中考总复习_2025中考复习资料

文档信息

文档格式
docx
文档大小
4.184 MB
文档页数
49 页
上传时间
2026-03-01 08:11:55

文档内容

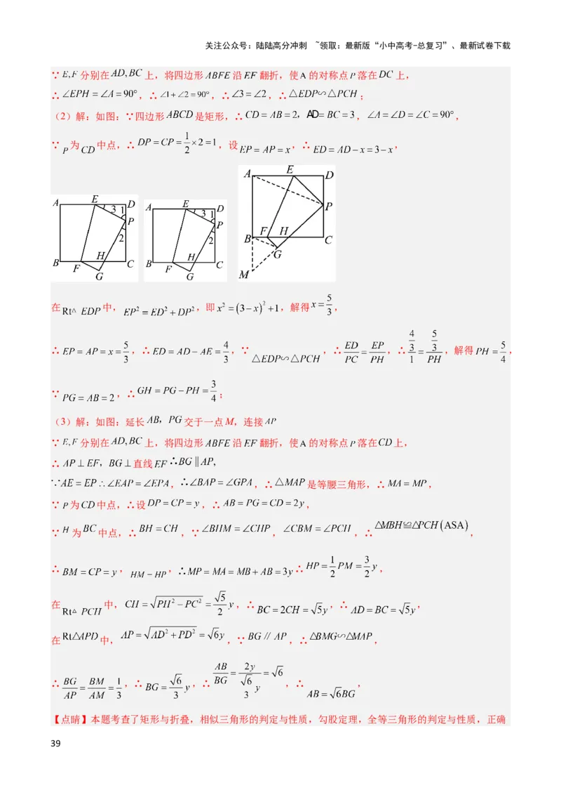
关注公众号:陆陆高分冲刺 ~领取:最新版“小中高考-总复习”、最新试卷下载 专题 19 全等与相似模型之一线三等角(K 字)模型 全等三角形与相似三角形在中考数学几何模块中占据着重要地位。相似三角形与其它知识点结合以综 合题的形式呈现,其变化很多,难度大,是中考的常考题型。如果大家平时注重解题方法,熟练掌握基本 解题模型,再遇到该类问题就信心更足了.本专题就一线三等角模型进行梳理及对应试题分析,方便掌握。 .........................................................................................................................................................................................2 模型1.一线三等角模型(全等模型)...........................................................................................................2 模型2.一线三等角模型(相似模型).........................................................................................................11 ..................................................................................................................................................19 大家在掌握几何模型时,多数同学会注重模型结论,而忽视几何模型的证明思路及方法,导致本末倒 置。要知道数学题目的考察不是一成不变的,学数学更不能死记硬背,要在理解的基础之上再记忆,这样 才能做到对于所学知识的灵活运用,并且更多时候能够启发我们解决问题的关键就是基于已有知识、方法 的思路的适当延伸、拓展,所以学生在学习几何模型要能够做到的就是:①认识几何模型并能够从题目中 提炼识别几何模型;②记住结论,但更为关键的是记住证明思路及方法;③ 明白模型中常见的易错点, 因为多数题目考察的方面均源自于易错点。当然,以上三点均属于基础要求,因为题目的多变性,若想在 几何学习中突出,还需做到的是,在平时的学习过程中通过大题量的训练,深刻认识几何模型,认真理解 每一个题型,做到活学活用! 模型1.一线三等角模型(全等模型) 1关注公众号:陆陆高分冲刺 ~领取:最新版“小中高考-总复习”、最新试卷下载 一线三等角模型是指三个相等的角的顶点在同一条直线上,这个模型在七八年级阶段往往用来证明三条线 段的和差或线段的求值及角度的证明等,是一类比较典型的全等模型;模型主要分为同侧型和异侧型两类。 1)一线三等角(K型图)模型(同侧型) 锐角一线三等角 直角一线三等角(“K型图”) 钝角一线三等角 条件: ,AE=DE; 结论: ,AB+CD=BC。 2)一线三等角(K型图)模型(异侧型) 锐角一线三等角 直角一线三等角 钝角一线三等角 条件: ,AE=DE; 结论: ,AB-CD=BC。 1)(同侧型)证明:∵∠AEC=∠B+∠BAE,∠B=∠AED,∴∠AEC=∠AED+∠BAE, ∵∠AEC=∠AED+∠CED,∴∠BAE=∠CED。 在△ABE和△ECD中,∠B=∠C,∠BAE=∠CED,AE=ED;∴ , ∴ , ,∵BC=BE+EC,∴AB+CD=BC。 2)(异侧型)证明:∵ ,∴∠ECD=∠ABE, ∵ ,∠AED=∠AEB+∠CED, , 2关注公众号:陆陆高分冲刺 ~领取:最新版“小中高考-总复习”、最新试卷下载 ∴∠AEB+∠A=∠AEB+∠CED,∴∠A=∠CED, 在△ABE和△ECD中,∠A=∠CED,∠ECD=∠ABE,AE=ED;∴ , ∴ , ,∵BC=EC-BE,∴AB-CD=BC。 例1.(2024·山东烟台·中考真题)在等腰直角 中, , ,D为直线 上任意一 点,连接 .将线段 绕点D按顺时针方向旋转 得线段 ,连接 . 【尝试发现】(1)如图1,当点D在线段 上时,线段 与 的数量关系为________; 【类比探究】(2)当点D在线段 的延长线上时,先在图2中补全图形,再探究线段 与 的数量关 系并证明; 【联系拓广】(3)若 , ,请直接写出 的值. 【答案】(1) ;(2) ,补图及证明见解析;(3) 或 【分析】本题考查三角形全等的判定与性质,三角函数,掌握一线三垂直全等模型是解题的关键. (1)过点 作 延长线于点 ,利用一线三垂直全等模型证明 ,再证明 即可;(2)同(1)中方法证明 ,再证明 即可; (3)分两种情况讨论:过点 作 延长线于点 ,求出 , 即可. 【详解】解:(1)如图,过点 作 延长线于点 , 3关注公众号:陆陆高分冲刺 ~领取:最新版“小中高考-总复习”、最新试卷下载 由旋转得 , ,∴ , ∵ ,∴ , , ∴ ,∴ ,∴ , , ∵ ,∴ ,∴ , ∵ ,∴ ,故答案为: ; (2)补全图形如图: ,理由如下:过点 作 交 于点 , 由旋转得 , ,∴ , ∵ ,∴ , , ∴ ,∴ ,∴ , , ∵ ,∴ ,∴ , ∵ ,∴ ; (3)如图,当 在 的延长线上时,过点 作 于点 ,连接 , 由(2)得 , ,∴ , ∴ ,∴ . 4关注公众号:陆陆高分冲刺 ~领取:最新版“小中高考-总复习”、最新试卷下载 当 在 的延长线上时,过点 作 于点 ,如图,连接 , 同理可得: ,∴ , ,∴ , ∴ ,∴ ;综上: 或 例2.(2023·湖南岳阳·统考一模)如图,在ABC中,AB=AC=2,∠B=40°,点D在线段BC上运动(点D 不与点B、C重合),连接AD,作∠ADE=40°,DE交线段AC于点E. (1)当∠BDA=115°时,∠EDC=______°,∠AED=______°; (2)线段DC的长度为何值时, ABD≌△DCE,请说明理由;(3)在点D的运动过程中, ADE的形 状可以是等腰三角形吗?若可以,△求∠BDA的度数;若不可以,请说明理由. △ 【答案】(1)25°,65°;(2)2,理由见详解;(3)可以,110°或80°. 【分析】(1)利用邻补角的性质和三角形内角和定理解题;(2)当DC=2时,利用 ∠DEC+∠EDC=140°,∠ADB+∠EDC=140°,求出∠ADB=∠DEC,再利用AB=DC=2,即可得出 △ABD≌△DCE. (3)当∠BDA的度数为110°或80°时,△ADE的形状是等腰三角形. 【详解】解:(1)∵∠B=40°,∠ADB=115°,∴∠BAD=180°-∠B-∠ADB=180°-115°-40°=25°, ∵AB=AC,∴∠C=∠B=40°,∵∠EDC=180°-∠ADB-∠ADE=25°, ∴∠DEC=180°-∠EDC-∠C=115°,∴∠AED=180°-∠DEC=180°-115°=65°; (2)当DC=2时,△ABD≌△DCE,理由:∵∠C=40°,∴∠DEC+∠EDC=140°, 又∵∠ADE=40°,∴∠ADB+∠EDC=140°,∴∠ADB=∠DEC,又∵AB=DC=2, 在△ABD和△DCE中, ∴△ABD≌△DCE(AAS); (3)当∠BDA的度数为110°或80°时,△ADE的形状是等腰三角形, ∵∠BDA=110°时,∴∠ADC=70°, ∵∠C=40°,∴∠DAC=70°,∴△ADE的形状是等腰三角形; ∵当∠BDA的度数为80°时,∴∠ADC=100°, 5关注公众号:陆陆高分冲刺 ~领取:最新版“小中高考-总复习”、最新试卷下载 ∵∠C=40°,∴∠DAC=40°,∴△ADE的形状是等腰三角形. 【点睛】本题主要考查学生对等腰三角形的判定与性质,全等三角形的判定与性质,三角形外角的性质等 知识点的理解和掌握,此题涉及到的知识点较多,综合性较强,但难度不大,属于基础题. 例3.(2024·甘肃·中考真题)【模型建立】(1)如图1,已知 和 , , , , .用等式写出线段 , , 的数量关系,并说明理由. 【模型应用】(2)如图2,在正方形 中,点E,F分别在对角线 和边 上, , .用等式写出线段 , , 的数量关系,并说明理由. 【模型迁移】(3)如图3,在正方形 中,点E在对角线 上,点F在边 的延长线上, , .用等式写出线段 , , 的数量关系,并说明理由. 【答案】(1) ,理由见详解,(2) ,理由见详解,(3) ,理由见详解 【分析】(1)直接证明 ,即可证明;(2)过E点作 于点M,过E点作 于点N,先证明 ,可得 ,结合等腰直角三角形的性质可得: , ,即有 , ,进而可得 ,即可证;(3)过A点作 于点H,过 F点作 ,交 的延长线于点G,先证明 ,再结合等腰直角三角形的性质,即可证 明. 【详解】(1) ,理由如下: ∵ , , ,∴ , ∴ ,∴ , 6关注公众号:陆陆高分冲刺 ~领取:最新版“小中高考-总复习”、最新试卷下载 ∵ ,∴ ,∴ , , ∴ ,∴ ; (2) ,理由如下:过E点作 于点M,过E点作 于点N,如图, ∵四边形 是正方形, 是正方形的对角线,∴ , 平分 , , ∴ ,即 , ∵ , ,∴ ,∵ ,∴ ,∴ , ∵ , , , ,∴四边形 是正方形, ∴ 是正方形 对角线, ,∴ , , ∴ , , ∴ ,即 , ∵ , ∴ ,即有 ; (3) ,理由如下,过A点作 于点H,过F点作 ,交 的延长线于点 G,如图,∵ , , ,∴ , ∴ ,∴ , 又∵ ,∴ ,∴ , ∵在正方形 中, ,∴ , ∴ ,∴ 是等腰直角三角形,∴ ,∴ , ∵ , ,∴ 是等腰直角三角形,∴ , ∴ ,∴ , 7关注公众号:陆陆高分冲刺 ~领取:最新版“小中高考-总复习”、最新试卷下载 ∵ ,∴ ,∴ . 【点睛】本题主要考查了正方形的性质,等腰直角三角形的性质,全等三角形的判定与性质,角平分线的 性质等知识,题目难度中等,作出合理的辅助线,灵活证明三角形的全等,并准确表示出各个边之间的数 量关系,是解答本题的关键. 例4.(23-24八年级上·重庆綦江·期末)(1)如图①, ,射线 在这个角的内部,点B、C 分别在 的边 、 上,且 , 于点F, 于点D.求证: ; (2)如图②,点B、C分别在 的边 、 上,点E、F都在 内部的射线 上, 、 分别是 、 的外角.已知 ,且 .求证: ; (3)如图③,在 中, , .点D在边 上, ,点E、F在线段 上, .若 的面积为17,求 与 的面积之和. 【答案】(1)见解析;(2)见解析;(3) 【分析】本题主要考查了三角形全等的判定和性质,三角形面积的计算,三角形外角的性质,余角的性质, 解题的关键是熟练掌握三角形全等的判定方法, , , , , . (1)根据 证明三角形全等即可;(2)证明 ,得出 , ,即可 得出结论;(3)根据 的面积为17, ,得出 的面积是: ,由 ,得出 ,根据 ,即可求出结果. 8关注公众号:陆陆高分冲刺 ~领取:最新版“小中高考-总复习”、最新试卷下载 【详解】证明:(1)∵ , , ,∴ , ∴ , ,∴ , 在 和 中, ,∴ ; (2)∵ , , , , ∴ , , 在 和 中, ,∴ ; ∴ , ,∴ ; (3)∵ 的面积为17, ,∴ 的面积是: , 根据解析(2)同理可证 ,∴ , ∴ . 例5.(23-24九年级下·黑龙江哈尔滨·期末)如图,在平面直角坐标系中, 的顶点A在y轴正半轴, 点C在x轴正半轴, 交y轴于点E.(1)如图1,若点B坐标为 ,直接写 出点A的坐标 ,点C的坐标 ;(2)如图2, 若点B坐标为 ,过点B作 交x轴于点D,设 的长为d,请用含m的式子表示d;(3)如图3,若点 B为第三象限内任意一点,过点 B作 交x轴于点 D,判断 和 的数量关系,并给出证明. 9关注公众号:陆陆高分冲刺 ~领取:最新版“小中高考-总复习”、最新试卷下载 【答案】(1) , (2) (3) ,证明见解析 【分析】(1)过点 B作 轴于点H,证明 ,可得 ,即可;(2)过点B 作 轴于点H, 轴于点 G, 连接 ,则 ,证明 ,可得 ,由(1)得: , , ,然后 根据 ,可得 ,即可求解;(3)在 上取 ,连 接 ,证明 ,可得 ,从而得到 ,过点 B作 交y轴于点G,可证明 ,可得 .再根据 , 可得 ,即可. 【详解】(1)解:过点 B作 轴于点H, 在 中, ,∵ ,∴ , ∵点B坐标为 , ∴ , 又∵ , , ∴ ,∴ , ,∴ , ; (2)解:过点B作 轴于点H, 轴于点 G, 连接 ,则 , ∴ ,∵ ,∴ ,∴ , 10关注公众号:陆陆高分冲刺 ~领取:最新版“小中高考-总复习”、最新试卷下载 ∵点B坐标为 ,∴ ,∴ ,∴ , 由(1)得: ,∴ , , , , , ,即 ; (3)解: ,证明如下:如图,在 上取 ,连接 , ∵ , ,∵ , ,∴ , ∵ , ∴ ,∴ , ∴ , ∵ ,∴ , , 过点 B作 交y轴于点G,∴ , ∴ ,∴ , 又∵ , ∴ ,∴ . 又 ∵ , ∴ ,∴ , 【点睛】本题主要考查了全等三角形的判定和性质,等腰直角三角形的性质,坐标与图形等知识,得到全 等三角形是解题的的关键. 模型2.一线三等角模型(相似模型) “一线三等角”型的图形,因为一条直线上有三个相等的角,一般就会有两个三角形的“一对角相等”, 再利用平角为180°,三角形的内角和为180°,就可以得到两个三角形的另外一对角也相等(或利用外角定 理也可),从而得到两个三角形相似. 11关注公众号:陆陆高分冲刺 ~领取:最新版“小中高考-总复习”、最新试卷下载 1)一线三等角模型(同侧型) (锐角型) (直角型) (钝角 型) 条件:如图,∠1=∠2=∠3, 结论:△ACE∽△BED。 证明:∵∠1+∠C=∠2+∠DEB(外角定理),∠1=∠2 ∴∠C=∠DEB,∵∠1=∠3,∴△ACE∽△BED。 2)一线三等角模型(异侧型) 条件:如图,∠1=∠2=∠3, 结论:△ADE∽△BEC. 证明:∵∠1=∠2,∴∠CBE=∠EAD(等角的补角相等),∴∠C=∠DEB,∵∠1=∠3, ∴△ACE∽△BED。 ∵∠2=∠C+∠CEB(外角定理),∠3=∠DEA+∠CEB,∠2=∠3∴∠C=∠DEA,∴△ADE∽△BEC. 3)一线三等角模型(变异型) 图1 图2 图3 ①特殊中点型:条件:如图1,若C为AB的中点,且∠1=∠2=∠3,结论:△ACE∽△BED∽△ECD. 证明: ∵∠1+∠C=∠2+∠DEB (外角定理), ∠1=∠2,∴∠C=∠DEB ,∵∠1=∠3, ∴△ACE∽△BED。 ∴ , ∵ C 为 AB 的 中 点 , ∴ AE=EB , ∴ , ∴ , ∵ ∠ 2=∠ 3 , ∴△BED∽△ECD 12关注公众号:陆陆高分冲刺 ~领取:最新版“小中高考-总复习”、最新试卷下载 ② 一 线 三 直 角 变 异 型 1 : 条 件 : 如 图 2 , ∠ ABD=∠ AFE=∠ BDE=90°. 结 论 : △ABC∽△BDE∽△BFC∽△AFB. 证明:∵∠ABD=∠AFE=90°,∴∠ABF+∠CBF=90°,∠A+∠ABF=90°,∴∠CBF=∠A, ∵∠ABD=∠BDE=90°,∴△ABC∽△BDE,∵∠ABD=∠AFE=90°,∴∠ABC=∠BFC=90°, ∴△ABC∽△BFC,同理可证:△ABC∽△AFB°,故△ABC∽△BDE∽△BFC∽△AFB. ③一线三直角变异型2:条件:如图3,∠ABD=∠ACE=∠BDE=90°.结论:△ABM∽△NDE∽△NCM. 证明:∵∠ABD=∠ACE=90°,∴∠ABM=∠MCN=90°, ∵∠AMB=∠NMC(对顶角相等)∴△ABM∽△NCM. 同理可证:△NDE∽△NCM 故:△ABM∽△NDE∽△NCM. 例1.(2023·山东东营·统考中考真题)如图, 为等边三角形,点 , 分别在边 , 上, ,若 , ,则 的长为( ) A. B. C. D. 【答案】C 【分析】证明 ,根据题意得出 ,进而即可求解. 【详解】解:∵ 为等边三角形, ∴ , ∵ , ,∴ ,∴ ∴ ∵ ,∴ ,∴ ∵ ∴ ,故选:C. 【点睛】本题考查了相似三角形的性质与判定,等边三角形的性质,熟练掌握相似三角形的性质与判定是 解题的关键. 13关注公众号:陆陆高分冲刺 ~领取:最新版“小中高考-总复习”、最新试卷下载 例2.(2023·黑龙江·统考中考真题)在以“矩形的折叠”为主题的数学活动课上,某位同学进行了如下操 作: 第一步:将矩形纸片的一端,利用图①的方法折出一个正方形 ,然后把纸片展平; 第二步:将图①中的矩形纸片折叠,使点C恰好落在点F处,得到折痕 ,如图②. 根据以上的操作,若 , ,则线段 的长是( ) A.3 B. C.2 D.1 【答案】C 【分析】根据折叠的性质得: , , ,设 ,则 ,利用勾股定理求出 ,再证明 ,得 ,求解即可. 【详解】解:如图,过点 作 ,交 于点 , 在 和 中, 设 ,则 , ,即: ,解得: , , , , , , 14关注公众号:陆陆高分冲刺 ~领取:最新版“小中高考-总复习”、最新试卷下载 ,故选:C. 【点睛】本题考查折叠问题及矩形的性质、正方形的性质,相似三角形的判定与性质,掌握折叠的性质并 能熟练运用勾股定理方程思想是解题的关键. 例3.(2024·湖北武汉·校考模拟预测)【试题再现】如图1, 中, , ,直 线 过点 ,过点 、 分别作 于点 , 于点 ,则 (不用证明). (1)【类比探究】如图2,在 中, ,且 ,上述结论是否成立?若 成立,请说明理由:若不成立,请写出一个你认为正确的结论. (2)【拓展延伸】①如图3,在 中, ,且 ,猜想线段 、 、 之间有什么数量关系?并证明你的猜想. ②若图1的 中, , ,并将直线 绕点 旋转一定角度后与斜边 相交,分 别过点 、 作直线 的垂线,垂足分别为点 和点 ,请在备用图上画出图形,并直接写出线段 、 、 之间满足的一种数量关系(不要求写出证明过程). 【答案】(1)成立,见解析 (2)① ,见解析;② 或 【分析】(1)易证 ,则有 , ,从而可得 ; (2)①易证 ,则有 ,从而可得 , ,即可得到 ;②同①可得 , .由于直线 在绕着点 旋转过程中,点 到 直线 的距离 与点 到直线 的距离 大小关系会发生变化,因此需分情况讨论(如图4、图 ,然后 只需结合图形就可解决问题. 【详解】(1)猜想 .理由:如图2, 15关注公众号:陆陆高分冲刺 ~领取:最新版“小中高考-总复习”、最新试卷下载 , . , , . 在 和 中, , , , , ; (2)①猜想: .理由:如图3, , . , , . , , , , , ; ② 或 .同①可得: , . 如图4, ;如图5, . 【点睛】本题是一道探究题,用到了全等三角形的判定与性质、相似三角形的判定与性质、三角形的内角 和定理、平角的定义等知识,考查了探究能力,渗透分类讨论的思想以及特殊到一般的思想,是一道好题. 例4.(2023·浙江宁波·二模)【基础巩固】如图1,P是 内部一点,在射线 上取点D、E,使得 .求证: ; 【尝试应用】如图2,在 中, , ,D是 上一点,连接BD,在BD上取点 E、F,连接 ,使得 .若 ,求CE的长; 【拓展提高】如图3,在 中, , ,D是 上一点,连接BD,在BD上取 点E,连接CE.若 , ,求 的正切值. 【答案】【基础巩固】见解析 【尝试应用】 【拓展提高】 【分析】【基础巩固】利用两角相等的三角形相似证明即可;【尝试应用】根据等腰直角三角形的性质可 16关注公众号:陆陆高分冲刺 ~领取:最新版“小中高考-总复习”、最新试卷下载 得 , ,再推导 ,然后利用等腰三角形的性质得到 ,计算解题;【拓展提高】如图所示,在BD上取点F,使 ,作 于点 ,则可得到 ,即 , ,进而证明 ,得到 ,设 ,可以求出 解题即可. 【详解】【基础巩固】证明:∵ , ,∴ , 又∵ , , ,∴ ,∴ . 【尝试应用】解:∵ , ∴ , ,即: , 又∵ , ,即: , 又 .∴ , 又∵ , , ∴ ,∴ ,∴ ,∴ ,故CE的长为: . 【拓展提高】解:如图所示,在BD上取点F,使 ,作 于点 , ∵ ,∴ , .即: , 又∵ ,∴ , 又 , ,∴ ,∴ , ∴ , ,∴ , ∵ ,∴令 ,则 ∴ , 17关注公众号:陆陆高分冲刺 ~领取:最新版“小中高考-总复习”、最新试卷下载 又∵ ∴在 中, ,∴ , 由勾股定理可得: , 又∵ , ∴∠ ,∴ ,∴ ,∴ , 设 ,则 , . ∴ ,解得: ,∴ , ∴ 故 的正切值为: . 【点睛】本题考查相似三角形的判定和性质,勾股定理,解直角三角形,三角形上午外角,掌握相似三角 形的判定和性质是解题的关键. 例5.(2023·河北沧州·校考二模)如图,在 中, , ,点D是线段 上的 一点,连接 ,过点B作 ,分别交 、 于点E、F,与过点A且垂直于 的直线相交于点 G,连接 ,下列结论错误的是( ) A. B.若点D是AB的中点,则 C.当B、C、F、D四点在同一个圆上时, D.若 ,则 【答案】D 【分析】由 ,可确定A项正确;由 可得 ,进而由 确定点F为 的三等分点,可确定B项正确;当B、C、F、D四点在同一个圆上时,由圆 内接四边形的性质得到 ,得到 为圆的直径,因为 ,根据垂径定理得到 18关注公众号:陆陆高分冲刺 ~领取:最新版“小中高考-总复习”、最新试卷下载 ,故C项正确;因为D为 的三等分点, 即 ,可得 ,由此 确定D项错误. 【详解】解:依题意可得 ,∴ ,∴ , 又 ,∴ .故A项正确;如图, ∵ , ,∴ .在 与 中, , ∴ ,∴ ,又∵ ,∴ ; ∵ 为等腰直角三角形,∴ ;∴ ; ∵ ,∴ ,∴ ,∴ .故B项正确; 当B、C、F、D四点在同一个圆上时,由圆内接四边形的性质可得 , ∴ 是B、C、F、D四点所在圆的直径,∵ ,∴ ,∴ ,故C项正确; ∵ , , ,∴ ,∴ , , ∴ ,∴ ;∴ .故D项错误.故选:D. 【点睛】本题考查了等腰直角三角形中相似三角形与全等三角形的应用,有一定的难度.对每一个结论, 需要仔细分析,严格论证;注意各结论之间并非彼此孤立,而是往往存在逻辑关联关系,需要善加利用. 19关注公众号:陆陆高分冲刺 ~领取:最新版“小中高考-总复习”、最新试卷下载 1.(2024·重庆·中考真题)如图,在正方形 的边 上有一点 ,连接 ,把 绕点 逆时针旋 转 ,得到 ,连接 并延长与 的延长线交于点 .则 的值为( ) 20关注公众号:陆陆高分冲刺 ~领取:最新版“小中高考-总复习”、最新试卷下载 A. B. C. D. 【答案】A 【分析】过点F作 延长线的垂线,垂足为点H,则 ,证明 ,则 , 设 ,得到 ,则 ,故 ,同理可求 ,则 ,因此 . 【详解】解:过点F作 延长线的垂线,垂足为点H,则 ,由旋转得 , ∵四边形 是正方形,∴ , , ,设 ,∴ , ∵ ,∴ ,∴ ,∴ , , 设 ,则 ,∴ , ∴ ,而 ,∴ ,∴ , ∵ ,∴ ,同理可求 , ∴ ,∴ ,故选:A. 【点睛】本题考查了正方形的性质,全等三角形的判定与性质,解直角三角形,旋转的性质,正确添加辅 助线,构造“一线三等角全等”是解题的关键. 2.(2024·辽宁朝阳·八年级统考期末)如图, 中, , , 为线段 上一动点 (不与点 , 重合),连接 ,作 , 交线段 于 ,以下四个结论: ① ;②当 为 中点时, ;③当 为等腰三角形时, ; ④当 时, .其中正确的结论的个数是( ) 21关注公众号:陆陆高分冲刺 ~领取:最新版“小中高考-总复习”、最新试卷下载 A. B. C. D. 【答案】C 【分析】根据等腰三角形的性质得到 ,根据三角形的内角和和平角的定义即可得到 ;根据等腰三角形的性质得到 ,根据三角形的内角和即可得到 ;根据三 角形外角的性质得到 ,求得 ,根据等腰三角形的性质和三角形的内角和得到 或 ;根据全等三角形的性质得到 . 【详解】解:① , , , , ,故①正确; ② 为 中点, , , , , , , ,故②正确; ③ , , , 为等腰三角形, , , , ;或 为等腰三角形, , , , ,故③错误; ④ , , , , , , , , , ,故④正确, 综上所述正确的有①②④.故选: . 【点睛】本题考查了等腰三角形的性质,全等三角形的判定和性质,三角形的内角和,正确的识别图形是 解题的关键. 3.(2024·浙江温州·模拟预测)如图,已知点 ,A与 关于y轴对称,连结 ,现将线 段 以 点为中心顺时针旋转 得 ,点 B的对应点 的坐标为( ) 22关注公众号:陆陆高分冲刺 ~领取:最新版“小中高考-总复习”、最新试卷下载 A. B. C. D. 【答案】A 【分析】本题主要考查了全等三角形的判定和性质,图形的旋转问题,坐标与图形.过点 作 轴 于点C,证明 ,可得 ,即可求解. 【详解】解:∵点 ,A与 关于y轴对称,∴ , 如图,过点 作 轴于点C,∵将线段 以 点为中心顺时针旋转 得 , ∴ ,∴ ,∵ ,∴ , ∵ ,∴ ,∴ , ∴ ,∴点 B的对应点 的坐标为 .故选:A 4.(23-24九年级下·黑龙江哈尔滨·阶段练习)已知:如图,等腰直角 , , , 点D为 外一点, ,连接CD, , ,BC的长为 . 23关注公众号:陆陆高分冲刺 ~领取:最新版“小中高考-总复习”、最新试卷下载 【答案】 【分析】过 作 于 ,过 作 交 的延长线于 ,由 , ,得到 ,证出 ,推出 ,得到 , ,设 , ,根据勾股定理得到 , , ,于是得到 . 【详解】解:过 作 于 ,过 作 交 的延长线于 , , , , , 在 与 中, , , , , , ,设 , , 在 中, ,即: , 解得: ; (不合题意,舍去). , , , .故答案为: . 【点睛】本题考查了全等三角形的判定和性质,等腰直角三角形的性质,勾股定理的应用,正确的作出辅 助线构造全等三角形是解题的关键. 5.(2024·陕西西安·模拟预测)如图,已知 , , , , 和 都 是等腰直角三角形,图中阴影部分的面积为 . 24关注公众号:陆陆高分冲刺 ~领取:最新版“小中高考-总复习”、最新试卷下载 【答案】12 【分析】本题考查了全等三角形的判定和性质,等腰直角三角形的性质.过 作 于 ,得到 ,根据直角三角形的性质得到 ,延长 交 于 ,过 作 于 ,过 作 于 ,根据全等三角形的判定和性质定理即可得到结论. 【详解】解:过 作 于 , , , , , 延长 交 于 ,过 作 于 ,过 作 于 , , , , , , , 同理, , , , , , , 图中阴影部分的面积 的面积 ,故答案为:12. 6.(2024·广东汕头·一模)如图,为了测盘凹档的宽度,把一块等腰直角三角板( , )放置在凹槽内,三个顶点A,B,C分别落在凹槽内壁上,若 ,测得 , ,则该凹槽的宽度 的长为 . 【答案】48 【分析】本题主要考查了等腰直角三角形的性质,全等三角形的判定和性质,根据全等三角形的判定和性 质即可得到结论. 【详解】解:∵ 是等腰直角三角形,∴ ,∴ , ∵ ,∴ ,∴ , 25关注公众号:陆陆高分冲刺 ~领取:最新版“小中高考-总复习”、最新试卷下载 在 和 中, ,∴ , ∴ ,∴ 故答案为:48. 7.(2024·江苏苏州·二模)如图,将平行四边形 绕点A逆时针旋转得到平行四边形 ,使点E 落在边 上, 且点 D 巧合是 的中点, 若 则 的值为 . 【答案】 【分析】本题考查平行四边形的性质,旋转的性质,相似三角形的判定和性质,掌握相似三角形的判定方 法是解题的关键.设 ,则 ,即可得到 ,根据旋转得到 ,即可得到 ,求出 和 长即可解题. 【详解】解:在平行四边形 中, , , ∵平行四边形 绕点A逆时针旋转得到平行四边形 , ∴ , , ,设 ,则 , ∵ D 是 的中点,∴ ,∵ , , , ∴ , ,∴ ,∴ ,即 ,解得 , ∴ ,∴ ,故答案为: . 8.(2024·湖北襄阳·模拟预测)如图,将一张正方形纸片 折叠,折痕为AE,折叠后,点B的对应 BC AD2 2 EG 点落在正方形内部的点F处,连接 并延长交 于点G.若 , ,则 的长为 . 26关注公众号:陆陆高分冲刺 ~领取:最新版“小中高考-总复习”、最新试卷下载 【答案】 【分析】本题考查了正方形的性质,折叠的性质,勾股定理和相似三角形的判定与性质,过F 作 H A M C 90 于点 ,过 作 于点 ,由题意可知, , , 证明ADM∽DGC, ,由性质即可求解,熟练掌握知识点的应用是解题的关键. 【详解】解:过F 作FH BC于点H ,过A作AM GD于点M , C 90 DM FM 由题意可知, , ,∴ , BGCG BGCG 2 DG CD2CG2  10 ∵ ,∴ ,在 中,由勾股定理得: , ∵ ,∴ADM FGH ,∴ , AD DM 2 2 10 ∴   ,∴DM FM  ,∴ , DG CG 5 5 ∵FH BC,CDBC,∴ ,∴DFH∽DGC, FH GF GN 1 1 ∴    ,∴ ,GH  2 设 ,在 中,由勾股定理得: CD DG CG 5 5 Rt△EFH  2 2  2  1  2 2 2x  2 x 2 EG ,即 5   5  ,解得: ,∴ 3 ,故答案为: . 9.(2024·四川成都·一模)已知等边ABC的边长为5,点M在边AB上运动,点N在直线 上运动,将 沿着 翻折,使点A落在直线 上的点 处,若 ,则 . ABC MN A AN  27关注公众号:陆陆高分冲刺 ~领取:最新版“小中高考-总复习”、最新试卷下载 【答案】 或 【分析】此题主要考查了相似三角形的判定和性质,翻折变换,关键是证明BMA∽CAN,得到 ,再利用含 的式子表示 .此题要分两种情况进行讨论:①当点A落在线段 AN BC上时;②当A在CB的延长线上时,首先证明 .根据相似三角形的性质可得 BA AM BM   ,再设 ,则 ,然后利用含x的式子表示 、 ,根据 CN AN CA AN x CN 5x BM 列出方程,解出x的值可得答案. 【详解】解:①当点A落在如图1所示的位置时, 是等边三角形,ABC MAN 60, ,BMAN , ,BMA∽CAN. BA AM BM ,由折叠知, , ,   , AN AN CN AN CA ,BC5,AB1, ,设AN x,则CN 5x, 1 AM BM    , , 5x x 4 7 , ,解得 x , ;  BM AM 5 2 ②当A在CB的延长线上时,如图2,由折叠知, ,AM  AM , CANCNAACB60, , 28关注公众号:陆陆高分冲刺 ~领取:最新版“小中高考-总复习”、最新试卷下载 又ABM 180ABC 120, ,ABM NCA, BA AM BM 5 20 ,   , ,BA ,CA , CN AN CA  BA:AC 1:4,BC 5 3 3 5 BM 设 ,则 , 3  AM  20 , , CN x5 x5 x 3 5x 100   5 65 65  BM AM 5, 3x5 9x5 ,解得: , AN  6 . 故答案为: 或 6 . 10.(23-24八年级下·山东滨州·期末)小明酷爱数学,勤于思考,善于反思,在学习八年级上册数学知识 之后,他发现“全等三角形”和“轴对称”两章中许多问题有关联,问题解决的方法相通.于是他撰写了 一篇数学作文.请你认真阅读思考,帮助小明完成相关内容.“一线三垂直”模型的探索与拓展 【模型呈现】“一线三垂直”模型是“一线三等角”模型的特殊情况,即三个等角的度数均为 ,且它 们的顶点在同一条直线上,所以称为“一线三垂直模型”.若有—组对应边长相等时,则模型中必定存在 全等三角形. 例如:如图1, ,过点C作任意一条直线m, 于点D, 于点E,则三个直角的 顶点都在同一条直线m上,这就是典型的“一线三垂直”模型;如果 ,那么由 ,可得 ,又因为 ,所以可得 . 【模型应用】问题1:如图2,在 中, , ,点D为 上一点,连接 . 过点B作 于点E,过点C作 交 的延长线于点F.若 , ,求 的长. 问题2:如图3,在平面直角坐标系中, , .若 是以 为腰的等腰直角三角形,请 直接写出所有满足条件的点P的坐标. 29关注公众号:陆陆高分冲刺 ~领取:最新版“小中高考-总复习”、最新试卷下载 【模型迁移】问题3:如图4,已知 为等边三角形,点D,E,F分别在三边上,且 , .求证: 是等边三角形. 【答案】问题1:4;问题2:点P的坐标为 或 或 或 ;问题3:证明过程见解析 【分析】问题1:利用等量代换得 ,证明 ,可得 , ,再根据 求解即可;问题2:如图,由题意可得 , ,分类讨论:当 时,当 时,根据三角形全等的判定与性质求解即可; 问题3:根据等边三角形的性质可得 ,再利用等量代换可得 ,证得 ,可得 ,再根据等边三角形的判定定理即可得证. 【详解】解:问题1:由题意得, , ∵ , ,∴ , 在 和 中, ,∴ , ∴ , ,∴ ; 问题2:如图,∵ , ,∴ , , 当 时,过点 作 轴于点C,∵ 是等腰直角三角形,∴ , ∵ , ,∴ , ∵ ,∴ ,∴ , , ∴ ,∴ ,过点 作 轴于点D, 30关注公众号:陆陆高分冲刺 ~领取:最新版“小中高考-总复习”、最新试卷下载 ∵ 是等腰直角三角形,∴ , ∵ , ,∴ , 又∵ ,∴ , ∴ , ,∴ ,∴ , 当 时,过点 作 轴于点E,同理可证, , ∴ , ,∴ ,∴ , 过点 作 轴于点F,同理可证, , ∴ , ,∴ ,∴ , 综上所述,点P的坐标为 或 或 或 ; 问题3:∵ 是等边三角形,∴ , ∵ ,∴ , 又∵ ,∴ , 在 和 中, ,∴ ,∴ , 又∵ ,∴ 是等边三角形. 31关注公众号:陆陆高分冲刺 ~领取:最新版“小中高考-总复习”、最新试卷下载 【点睛】本题考查点的坐标与图形、全等三角形的判定与性质、等腰直角三角形的性质、等边三角形的判 定与性质,熟练掌握全等三角形的判定与性质是解题的关键. 11.(2023·江苏·九年级专题练习)【感知模型】“一线三等角”模型是平面几何图形中的重要模型之一, 请根据以下问题,把你的感知填写出来: ①如图1, 是等腰直角三角形, ,AE=BD,则 _______; ②如图2, 为正三角形, ,则 ________; ③如图3,正方形 的顶点B在直线l上,分别过点A、C作 于E, 于F.若 , ,则 的长为________. 【模型应用】(2)如图4,将正方形 放在平面直角坐标系中,点O为原点,点A的坐标为 , 则点C的坐标为________. 【模型变式】(3)如图5所示,在 中, , , 于E,AD⊥CE于D, , ,求 的长. 【答案】①△BDF;②△CFD;③3;(2) (3)2cm 【分析】①根据等腰直角三角形的性质及和角关系,可得△AED≌△BDF; ②根据等边三角形的性质及和角关系,可得△BDE≌△CFD; ③根据正方形的性质及和角关系,可得△ABE≌△BCF,由全等三角形的性质即可求得EF的长; (2)分别过A、C作x轴的垂线,垂足分别为点D、E,根据正方形的性质及和角关系,可得 32关注公众号:陆陆高分冲刺 ~领取:最新版“小中高考-总复习”、最新试卷下载 △COE≌△OAD,从而可求得OE、CE的长,进而得到点C的坐标; (3)由三个垂直及等腰直角三角形可证明△BCE≌△CAD,由全等三角形的性质即可求得BE的长. 【详解】①∵△ABC是等腰直角三角形,∠C=90゜ ∴∠A=∠B=45゜∴∠BDF+∠BFD=180゜−∠B=135゜ ∵∠EDF=45゜∴∠ADE+∠BDF=180゜−∠EDF=135゜∴∠ADE=∠BFD 在△AED和△BDF中 ∴△AED≌△BDF(AAS) 答案为:△BDF; ②∵△ABC是等边三角形∴∠B=∠C=60゜∴∠BDE+∠BED=180゜−∠B=120゜ ∵∠EDF=60゜∴∠BDE+∠CDF=180゜−∠EDF=120゜∴∠BED=∠CDF 在△BDE和△CFD中 ∴△BDE≌△CFD(AAS)故答案为:△CFD; ③∵四边形ABCD是正方形∴∠ABC=90゜,AB=BC∴∠ABE+∠CBF=180゜−∠ABC=90゜ ∵AE⊥l,CF⊥l∴∠AEB=∠CFB =90゜∴∠ABE+∠EAB=90゜∴∠EAB=∠CBF 在△ABE和△BCF中 ∴△ABE≌△BCF(AAS) ∴AE=BF=1,BE=CF=2∴EF=BE+BF=2+1=3 故答案为:3; (2)分别过A、C作x轴的垂线,垂足分别为点D、E,如图所示 ∵四边形OABC是正方形∴∠AOC=90゜,AO=OC∴∠COE+∠AOD=180゜ ∠ACO=90゜ ∵AD⊥x轴,CE⊥x轴∴∠CEO=∠ADO =90゜∴∠ECO+∠COE=90゜∴∠−ECO=∠AOD 在△COE和△OAD中 ∴△COE≌△OAD(AAS)∴CE=OD,OE=AD 33关注公众号:陆陆高分冲刺 ~领取:最新版“小中高考-总复习”、最新试卷下载 ∵ ∴OD=1, ∴CE=1, ∵点C在第二象限∴点C的坐标为 故答案为: ; (3)∵∠ACB=90゜∴∠BCE+∠ACD =90゜ ∵BE⊥CE,AD⊥CE ∴∠CEB=∠ADC=90゜ ∴∠BCE+∠CBE=90゜ ∴∠CBE=∠ACD 在△BCE和△CAD中 ∴△BCE≌△CAD(AAS) ∴BE=CD,CE=AD=6cm ∴BE=CD=CE-DE=6-4=2(cm) 【点睛】本题是三角形全等的综合,考查了全等三角形的判定与性质,掌握全等三角形的判定方法是关键. 12.(2024·黑龙江牡丹江·九年级期末)平面内有一等腰直角三角板(∠ACB=90°)和一直线MN.过点 C作CE⊥MN于点E,过点B作BF⊥MN于点F.当点E与点A重合时(如图1),易证:AF+BF=2CE. (1)当三角板绕点A顺时针旋转至图2的位置时,上述结论是否仍然成立?若成立,请给予证明;若不成立, 线段AF、BF、CE之间又有怎样的数量关系,请直接写出你的猜想,不需证明. (2)当三角板绕点A顺时针旋转至图3的位置时,上述结论是否仍然成立?若成立,请给予证明;若不成立, 线段AF、BF、CE之间又有怎样的数量关系,请直接写出你的猜想,不需证明. 【答案】(1)AF+BF=2CE仍成立 (2)AF-BF=2CE 【分析】(1)过B作BH⊥CE于点H,可证△ACE≌△CBH,通过线段的等量代换可得结论; (2)过点B作BG⊥CE,交CE的延长线于点G,△ACE≌△CBG,通过线段的等量代换可得答案. (1)解:图2,AF+BF=2CE仍成立, 证明:如图,过B作BH⊥CE于点H, 34关注公众号:陆陆高分冲刺 ~领取:最新版“小中高考-总复习”、最新试卷下载 ∵∠BCH+∠ACE=90°,又∵在直角 ACE中,∠ACE+∠CAE=90°,∴∠CAE=∠BCH, 又∵AC=BC,∠AEC=∠BHC=90°∴△△ACE≌△CBH.∴CH=AE,BF=HE,CE=BH, ∴AF+BF=AE+EF+BF=CH+EF+HE=CE+EF=2EC. (2)解:不成立,线段AF、BF、CE之间的数量关系为:AF-BF=2CE 证明:如图,过点B作BG⊥CE,交CE的延长线于点G, ∵∠BCG+∠ACE=90°,又∵在直角△ACE中,∠ACE+∠CAE=90°,∴∠CAE=∠BCG, 又∵AC=BC,∠AEC=∠BGC=90°∴△ACE≌△CBG.∴CG=AE,BF=GE,CE=BG, ∴AF-BF=AE+EF-BF=CG+EF-GE=CE+EF=2EC. 【点睛】本题考查全等三角形的判定,根据题意正确作出辅助线构造全等三角形是解题的关键. 13.(2024·浙江·校考一模)(1)探索发现:如图1,已知 中, , ,直线l 过点C,过点A作 ,过点B作 ,垂足分别为D、E.求证: . (2)迁移应用:如图2,将一块等腰直角的三角板 放在平面直角坐标系内,三角板的一个锐角的顶 点与坐标原点O重合,另两个顶点均落在第一象限内,已知点N的坐标为 ,求点M的坐标. (3)拓展应用:如图3,在平面直角坐标系内,已知直线 与y轴交于点P,与x轴交于点Q, 将直线 绕P点沿逆时针方向旋转 后,所得的直线交x轴于点R.求点R的坐标. 【答案】(1)见详解;(2)点M的坐标为(1,3);(3)R( ,0) 【分析】(1)先判断出∠ACB=∠ADC,再判断出∠CAD=∠BCE,进而判断出 ACD≌ CBE,即可得出 35 △ △关注公众号:陆陆高分冲刺 ~领取:最新版“小中高考-总复习”、最新试卷下载 结论;(2)过点M作MF⊥y轴,垂足为F,过点N作NG⊥MF,判断出MF=NG,OF=MG,设M(m, n)列方程组求解,即可得出结论;(3)过点Q作QS⊥PQ,交PR于S,过点S作SH⊥x轴于H,先求出 OP=4,由y=0得x=1,进而得出Q(1,0),OQ=1,再判断出PQ=SQ,即可判断出OH=5,SH=OQ=1, 进而求出直线PR的解析式,即可得出结论. 【详解】(1)证明:∵∠ACB=90°,AD⊥l,∴∠ACB=∠ADC. ∵∠ACE=∠ADC+∠CAD,∠ACE=∠ACB+∠BCE,∴∠CAD=∠BCE, ∵∠ADC=∠CEB=90°,AC=BC.∴ ACD≌ CBE,∴CD=BE, (2)解:如图2,过点M作MF⊥y轴,△垂足为△F,过点N作NG⊥MF,交FM的延长线于G, 由已知得OM=ON,且∠OMN=90°,∴由(1)得 OFM≌ MGN, ∴MF=NG,OF=MG,设M(m,n),∴MF=m,△OF=n,△∴MG=n,NG=m, ∵点N的坐标为(4,2)∴ 解得 ∴点M的坐标为(1,3); (3)如图3,过点Q作QS⊥PQ,交PR于S,过点S作SH⊥x轴于H, 对于直线y=﹣4x+4,由x=0得y=4, ∴P(0,4),∴OP=4,由y=0得x=1,∴Q(1,0),OQ=1, ∵∠QPR=45°,∴∠PSQ=45°=∠QPS.∴PQ=SQ.∴由(1)得SH=OQ,QH=OP. ∴OH=OQ+QH=OQ+OP=4+1=5,SH=OQ=1.∴S(5,1), 设直线PR为y=kx+b,则 ,解得 .∴直线PR为y= x+4. 由y=0得,x= ,∴R( ,0). 【点睛】本题是一次函数综合题,主要考查了待定系数法,全等三角形的判定和性质,构造出全等三角形 是解本题的关键. 14.(2024·北京校考·一模)已知梯形 中, ∥ ,且 , , . 36关注公众号:陆陆高分冲刺 ~领取:最新版“小中高考-总复习”、最新试卷下载 ⑴如图,P为 上的一点,满足∠BPC=∠A,求AP的长; ⑵如果点P在 边上移动(点P与点 不重合),且满足∠BPE=∠A, 交直线 于点E,同时交直 线DC于点 .①当点 在线段DC的延长线上时,设 ,CQ=y,求 关于 的函数关系式,并写出 自变量 的取值范围;②写CE=1时,写出AP的长(不必写解答过程) 【答案】⑴ 的长1或4;⑵① ;② 或3- 【分析】(1)当∠BPC=∠A时,∠A+∠APB+∠ABP=180°,而∠APB+∠BPC+∠DPC=180°,因此 ∠ABP=∠DPC,此时三角形APB与三角形DPC相似,那么可得出关于AP,PD,AB,CD的比例关系式, AB,CD的值题中已经告诉,可以先用AP表示出PD,然后代入上面得出的比例关系式中求出AP的长. (2)①与(1)的方法类似,只不过把DC换成了DQ,那么只要用DC+CQ就能表示出DQ了.然后按得 出的关于AB,AP,PD,DQ的比例关系式,得出x,y的函数关系式. ②和①的方法类似,但是要多一步,要先通过平行得出三角形PDQ和CEQ相似,根据CE的长,用AP表 示出PD,然后根据PD,DQ,QC,CE的比例关系用AP表示出DQ,然后按①的步骤进行求解即可. 【详解】解:⑴ , , , 又 梯形 中, , , , , 设 , , ,解得 , , 的长1或4; ⑵①由⑴易得 (如图), ,即 , ②当CE=1时,∵△PDQ∽△ECQ,∴ , 或 , ,解得:AP=2或3− . 37关注公众号:陆陆高分冲刺 ~领取:最新版“小中高考-总复习”、最新试卷下载 【点睛】考查二次函数的综合应用,利用相似三角形得出线段间的比例关系是求解的关键. 15.(2024·湖北·中考真题)如图,矩形 中, 分别在 上,将四边形 沿 翻折, 使 的对称点 落在 上, 的对称点为 交 于 . (1)求证: .(2)若 为 中点,且 ,求 长. (3)连接 ,若 为 中点, 为 中点,探究 与 大小关系并说明理由. 【答案】(1)见详解(2) (3) 【分析】(1)根据矩形的性质得 ,由折叠得出 ,得出 ,即 可证明 ;(2)根据矩形的性质以及线段中点,得出 ,根据 代入数值得 ,进行计算 ,再结合 ,则 ,代入数值,得 ,所以 ;(3)由折叠性质,得 直线 , , 是等腰三角形,则 ,因为 为 中点, 为 中点,所以 , ,所以 ,则 ,所以 ,则 ,即可作答. 【详解】(1)解:如图:∵四边形 是矩形,∴ ,∴ , 38关注公众号:陆陆高分冲刺 ~领取:最新版“小中高考-总复习”、最新试卷下载 ∵ 分别在 上,将四边形 沿 翻折,使 的对称点 落在 上, ∴ ,∴ ,∴ ,∴ ; (2)解:如图:∵四边形 是矩形,∴ , , ∵ 为 中点,∴ ,设 ,∴ , 在 中, ,即 ,解得 , ∴ ,∴ ,∵ ,∴ ,∴ ,解得 , ∵ ,∴ ; (3)解:如图:延长 交于一点M,连接 ∵ 分别在 上,将四边形 沿 翻折,使 的对称点 落在 上, ∴ 直线 , ,∴ 是等腰三角形,∴ , ∵ 为 中点,∴设 ,∴ , ∵ 为 中点,∴ ,∵ , ,∴ , ∴ , , ∴ , 在 中, ,∴ ,∴ , 在 中, ,∵ ,∴ , ∴ ,∴ ,∴ ,∴ , 【点睛】本题考查了矩形与折叠,相似三角形的判定与性质,勾股定理,全等三角形的判定与性质,正确 39关注公众号:陆陆高分冲刺 ~领取:最新版“小中高考-总复习”、最新试卷下载 掌握相关性质内容是解题的关键. 16.(2023年安徽省九年级数学一模试卷)如图,在 中, , , 是线段 上的一点,连接 ,过点 作 ,分别交 , 于点 , ,与过点A且垂直于 的直 线相交于点 ,连接 (1)求证: (2)若 是 的中点,求 的值.(3)若 ,求 的值. 【答案】(1)证明见解析(2) (3) 的值为12 【分析】(1)先证明 ,再利用相似三角形的性质进行证明. (2)先证明 ,求出 ,再利用相似三角形的性质即可求解. (3)利用全等和相似进行线段之间的关系转化,先求出 ,再求出 ,即可求 解. 【详解】(1)证明:∵ , ∴ ,∴ ,∴ ,∵ ,∴ , (2)∵ ,∴ , ∵ ,∴ ,∴ , ∵ 是 的中点,∴ ,∴ ,∴ , ∵ ∴ ,∴ . (3)∵ ,∴ , ∵ ,∴ ,∴ , 40关注公众号:陆陆高分冲刺 ~领取:最新版“小中高考-总复习”、最新试卷下载 若 ,∴ , 即 ∵ ∴ ,∴ ∴ ;∴ . 【点睛】本题主要考查了全等三角形的判定与性质、相似三角形的判定与性质等知识,解题关键是发现全 等三角形和相似三角形,能利用它们的性质进行线段之间的关系转化. 17.(2023秋·广东深圳·九年级校考阶段练习)【基础巩固】(1)如图1,在 中, , ,D是 边上一点,F是 边上一点, .求证: ; 【尝试应用】(2)如图2,在四边形ABFC中,点D是 边的中点, ,若 , ,求线段 的长. 【拓展提高】(3)在 中. , ,以A为直角顶点作等腰直角三角形 ,点D 在 上,点E在 上.若 ,求 的长. 【答案】(1)见解析;(2)5;(3)10 【分析】(1)利用一线三等角模型,可说明 ,得 ;(2)如图2中,延长 交 的延长线于点 .证明 ,推出 ,求出 , ,再利用勾股定理求解; (3)过点 作 与 交于点 ,使 ,由(1)同理得 ,可知 , 再利用 ,可得答案; 【详解】(1)证明: , , , ,∴ , , , , ; (2)解:如图2中,延长 交 的延长线于点 . 41关注公众号:陆陆高分冲刺 ~领取:最新版“小中高考-总复习”、最新试卷下载 , , , , , , , , , , , , , , ; (3)解:如图,过点 作 与 交于点 ,使 , , , , , , , , , , , , , , , , , . 【点睛】本题是相似形综合题,考查了相似三角形的判定与性质,等腰三角形的性质,熟练掌握一线三等 角基本几何模型是解题的关键. 18.(2024·河南·三模)问题情境:数学活动课上,老师出示了一个问题:如图1,将两块全等的直角三角 形纸片ABC和DEF 叠放在一起,其中ACBE90, ,AC FE 8,顶点D与边 的中点重合,DE经过点C,DF交AC于点G.求重叠部分(△DCG)的面积. 42关注公众号:陆陆高分冲刺 ~领取:最新版“小中高考-总复习”、最新试卷下载 (1)小明经过独立思考,写出如下步骤,请你帮助小明补全依据及步骤: 解:∵ ,D是AB的中点,∴DC DBDA.∴ . (依据: ______________________) 又∵ ,∴FDEB.∴ .∴_____________________. ∴AGDACB90.∴ .又∵DC DA,∴G是 的中点,∴DG为ACD中位线. 1 1 1 1 ∴CG AC  84,DG BC  63.∴ . 2 2 2 2 (2) “希望”学习小组受此问题的启发,将DEF 绕点D旋转,使DEAB交 于点H,DF交AC于点 G,如图2,请解决下列两个问题:①求证:△AHD∽△ABC;②求出重叠部分(DGH )的面积. (3)“智慧”小组也不甘落后,提出的问题是:如图3,将 绕点D旋转,DE,DF分别交于点M, N,当DMN是以DM 为腰的等腰三角形时,请你直接写出此时重叠部分( )的面积是________. 75 9 【答案】(1)等边对等角, (2)①证明见解析;② (3) 或 DG∥BC 16 2 【分析】(1)由直角三角形斜边上的中线等于斜边的一半得DC DBDA;由△ABC≌△FDE,得到角 相等,进而证得DG AC,从而求解;(2)①利用AA证明 即可; ②证明12可得出GH GD,证明A3可得出 ,则点G为AH 的中点,利用勾股定理求 15 DH  出 ,证明 ,可求出 ,然后利用三角形面积公式和三角形中线的性质求解即可; △ADH∽△ACB 4 (3)分 ,MN DN , 三种情况讨论,然后利用相似三角形的判定与性质求解即可. 【详解】(1)解:∵ACB90,D是AB的中点, ∴DC DBDA.∴BDCB.(依据:等边对等角) 又∵△ABC≌△FDE,∴FDEB.∴FDEDCB. ∴DG∥BC.∴AGDACB90.∴DG AC. 又∵DC DA,∴G是AC的中点,∴DG为ACD中位线. 1 1 1 1 ∴CG AC  84,DG BC  63. 2 2 2 2 1 1 ∴S  CGDG 436.故答案为:等边对等角, ; DCG 2 2 DG∥BC (2)①证明:∵DEAB,C 90,∴ ,又AA,∴ ; ②如图,∵△ABC≌△FDE,∴B1,∵ ,ED AB, ∴A+B90, ,∴B2,∴ ,∴GH GD. ∵A290,1+3=90,∴A3.∴AGGD.∴AGGH .∴点G为AH 的中点. 43关注公众号:陆陆高分冲刺 ~领取:最新版“小中高考-总复习”、最新试卷下载 1 在 Rt△ABC 中, AB AC2BC2  8262 10 .∵ 是 AB 中点, AD 2 AB5 . 在ADH与 中,∵AA,ADH ACB90, AD DH 5 DH   ∴ .∴ .∴ ,∴ . AC CB 8 6 1 1 1 1 15 75 ∴S  S   DHAD  5 ; DGH 2 △ADH 2 2 4 4 16 (3)解:当MN MD时,过D作DH MN 于H,则 , 5 DH ∵ , ,∴ .∴ .∴  ,∴ , AHDACB90 △AHD∽△ACB 10 6 ∵MNDB, ,∴△DHN∽△ACB, 3 NH ∴ ,∴  ,∴ ,设 ,则 , 8 6 MN MDx  9 2 x2 32x  在Rt△DMH 中, ,∴  4 ,解得 ,∴ 1 1 25 75 S  MNDH   3 DMN 2 2 8 16 ; 当 时,过D作DH MN 于H,则NMDMDN B, DH HM 9 同理: ,∴  ,∴ ,∴MH  , AC CB 4 9 NH x 设 ,则 4 ,在 中,DN2 DH2NH2, 44关注公众号:陆陆高分冲刺 ~领取:最新版“小中高考-总复习”、最新试卷下载 25 1 1 25 75 x S  MNDH   3 ∴ ,解得 8 ,∴ DMN 2 2 8 16 ; 当MDND时,过D作DH MN 于H,过M作MGDN 于G,则 , DG MG DM   又 ,∴ DMG∽BAC ,∴ ,即 6 8 10 ,∴ , DG3a DM 5a MN  MG2NG2 2 5a 设 ,则 , ,∴ ,∴ , ∵ ,MNGDNH ,∴ , MN MG 3 1 1 9 ∴  ,即 ,∴a 5,∴ ,∴S  MNDH  33 , DN DH 10 DMN 2 2 2 75 9 75 9 综上, 的面积是为 或 .故答案为: 或 . 16 2 16 2 【点睛】本题考查了全等三角形的性质、直角三角形斜边上的中线性质,勾股定理,相似三角形的判定与 性质和三角形面积的计算的综合应用.明确题意,添加合适辅助线,构造相似三角形是解题的关键. 19.(22-23九年级上·江苏泰州·阶段练习)如图,在等腰直角 ABC中,∠ACB=90°,AC=BC,CD是 中线,一个以点D为顶点的45°角绕点D旋转,使角的两边分别△与AC、BC的延长线相交,交点分别为点 E、F,DF与AC交于点M,DE与BC交于点N.(1)如图1,若CE=CF,求证:DE=DF.(2)在∠EDF绕 点D旋转过程中:①如图2,求证:CD2 CE·CF ;②若CE=6,CF= 3,求DN的长. 【答案】(1)见解析(2)①见解析;② 【分析】(1)根据等腰直角三角形的性质可得DCF DCE135,然后证明 即可得出结论; (2)①利用三角形外角的性质得出CDFCFDBCD45, ,则CFDCDE,结 合 ,证明CFD∽CDE,根据相似三角形对应边成比例可得结论; ②根据①中结论求出 的长度,过点 作 于点 ,则DP∥CE, ,可证明 CD DPBC P CNE∽PND,从而得出 的长度,运用勾股定理计算即可. 【详解】(1)证明:在等腰直角 中,ACB90°,AC BC,CD是中线, 为等腰直角三角形,ACDBCD45, , , 在 和 中, , , ; DCF △DCE DCF≌DCE(SAS) (2)① CDFCFDBCD45,CDFCDE45,CFDCDE, 45关注公众号:陆陆高分冲刺 ~领取:最新版“小中高考-总复习”、最新试卷下载 CD CF    DCF DCE135 , CFD∽CDE , CE CD , ; ② CE6,CF 3, ,过点D作DPBC于点P, PN PD 1 1 1 则DP∥CE, , ,   , PN  CP DP1, CNE∽PND CN CE 2 3 3 RtDPN 在 中, . 【点睛】本题考查了全等三角形的判定与性质,相似三角形的判定与性质,等腰直角三角形以及勾股定理, 熟练掌握全等三角形的判定与性质以及相似三角形的判定与性质是解本题的关键. 20.(2024·河南周口·三模)在四边形ABCD中,E是边BC上一点,在AE的右侧作 EF  AE,且 AEF ABC 90 ABCD DCF  ,连接 .(1)如图,当四边形 是正方形时, . . (2)如图,当四边形 是菱形时,求 DCF (用含 的式子表示). (3)在(2)的条件下,且 如图,连接AF 交 于点G;若G为边CD的三等分点,请直 接写出BE的长. 12 【答案】(1) (2) (3) 或 5 【分析】本题考查了正方形的性质,菱形的性质,全等三角形的性质与判定,相似三角形的性质与判定; (1)作FH CG交 的延长线于H,证出ABE≌EHF ,得到BEHF,再根据正四边形的性质得到 ,从而计算出EH EC BCEC,即 ,故CH HF,再根据 ,求出 FCG45,从而可得出结论.(2)方法1:如图,在 的延长线上取点G,使得FGEABC , 46关注公众号:陆陆高分冲刺 ~领取:最新版“小中高考-总复习”、最新试卷下载 180 证明EFG≌AEBAAS,得出 ,则FGCG,FCG 2 .即可求解;方法2:如图,连接 ,AF ,证明EAF∽BAC, ,根据相似三角形的性质得出ACF ABE,进而 H AH∥CF AHG∽FCG 即可求解;(3)作 于点 ,则 , 证明 ,进而根据 相似三角形的性质,即可求解. 【详解】(1)解:当四边形 是正方形时,作FH CG交BC的延长线于H. AEF 90, ,又BAEAEB90, , 又BEHF ,且 ,ABE≌EHF , ,BC  ABEH , EH EC BCEC, ,CH HF . 18090 45 2 DCF 90FCH 904545 (2)方法1:如图,在BC的延长线上取点G,使得FGEABC , 则FEGAECAEF ABCBAEAEF BAE , EFG≌AEBAAS FGBE 又 ,∴ ∴ , , 180 由 ,得 ∴FGCG,FCG EG ABBC 2 180 3 ∴DCF DCGFCG  90 2 2 方法2:如图,连接 ,AF ,∵EF  AE,ABBC, , 180 ∴ , EAF BAC  ∴ EAF∽BAC 2 180a 3 ∴ ,∴ACF ABE ,DCF ACFACD   90 ACF∽ABE 2 2 47关注公众号:陆陆高分冲刺 ~领取:最新版“小中高考-总复习”、最新试卷下载 AF AC CF   (3)由(2)知, ,∵ ,∴ , AC AB BE 1 如图所示,连接 交于点 ,∵ ,则BAO30,BO AB AC,BD 2 ∴ ∴ CF  3BE H AH∥CF DH 3,AH 3 3 如图,作 于点 ,则 , , AH HG AHCG 3 3CG 3CG 得  ,CF   则 CF CG HG 3DG 3DG 32 6 BE  当 , 时, 当 , 时, 综上所述, 或 CG4 DG4 34 7 6 7 48关注公众号:陆陆高分冲刺 ~领取:最新版“小中高考-总复习”、最新试卷下载 49
基本 文件 流程 错误 SQL 调试
  1. 请求信息 : 2026-03-01 08:36:40 HTTP/1.1 GET : https://www.yeyulingfeng.com/wendang/330005.html
  2. 运行时间 : 0.080975s [ 吞吐率:12.35req/s ] 内存消耗:6,515.24kb 文件加载:144
  3. 缓存信息 : 0 reads,0 writes
  4. 会话信息 : SESSION_ID=877f3b1460e62ff830e67483719e6c04
  1. /yingpanguazai/ssd/ssd1/www/wwww.yeyulingfeng.com/public/index.php ( 0.79 KB )
  2. /yingpanguazai/ssd/ssd1/www/wwww.yeyulingfeng.com/vendor/autoload.php ( 0.17 KB )
  3. /yingpanguazai/ssd/ssd1/www/wwww.yeyulingfeng.com/vendor/composer/autoload_real.php ( 2.49 KB )
  4. /yingpanguazai/ssd/ssd1/www/wwww.yeyulingfeng.com/vendor/composer/platform_check.php ( 0.90 KB )
  5. /yingpanguazai/ssd/ssd1/www/wwww.yeyulingfeng.com/vendor/composer/ClassLoader.php ( 14.03 KB )
  6. /yingpanguazai/ssd/ssd1/www/wwww.yeyulingfeng.com/vendor/composer/autoload_static.php ( 6.05 KB )
  7. /yingpanguazai/ssd/ssd1/www/wwww.yeyulingfeng.com/vendor/topthink/think-helper/src/helper.php ( 8.34 KB )
  8. /yingpanguazai/ssd/ssd1/www/wwww.yeyulingfeng.com/vendor/topthink/think-validate/src/helper.php ( 2.19 KB )
  9. /yingpanguazai/ssd/ssd1/www/wwww.yeyulingfeng.com/vendor/ralouphie/getallheaders/src/getallheaders.php ( 1.60 KB )
  10. /yingpanguazai/ssd/ssd1/www/wwww.yeyulingfeng.com/vendor/topthink/think-orm/src/helper.php ( 1.47 KB )
  11. /yingpanguazai/ssd/ssd1/www/wwww.yeyulingfeng.com/vendor/topthink/think-orm/stubs/load_stubs.php ( 0.16 KB )
  12. /yingpanguazai/ssd/ssd1/www/wwww.yeyulingfeng.com/vendor/topthink/framework/src/think/Exception.php ( 1.69 KB )
  13. /yingpanguazai/ssd/ssd1/www/wwww.yeyulingfeng.com/vendor/topthink/think-container/src/Facade.php ( 2.71 KB )
  14. /yingpanguazai/ssd/ssd1/www/wwww.yeyulingfeng.com/vendor/symfony/deprecation-contracts/function.php ( 0.99 KB )
  15. /yingpanguazai/ssd/ssd1/www/wwww.yeyulingfeng.com/vendor/symfony/polyfill-mbstring/bootstrap.php ( 8.26 KB )
  16. /yingpanguazai/ssd/ssd1/www/wwww.yeyulingfeng.com/vendor/symfony/polyfill-mbstring/bootstrap80.php ( 9.78 KB )
  17. /yingpanguazai/ssd/ssd1/www/wwww.yeyulingfeng.com/vendor/symfony/var-dumper/Resources/functions/dump.php ( 1.49 KB )
  18. /yingpanguazai/ssd/ssd1/www/wwww.yeyulingfeng.com/vendor/topthink/think-dumper/src/helper.php ( 0.18 KB )
  19. /yingpanguazai/ssd/ssd1/www/wwww.yeyulingfeng.com/vendor/symfony/var-dumper/VarDumper.php ( 4.30 KB )
  20. /yingpanguazai/ssd/ssd1/www/wwww.yeyulingfeng.com/vendor/guzzlehttp/guzzle/src/functions_include.php ( 0.16 KB )
  21. /yingpanguazai/ssd/ssd1/www/wwww.yeyulingfeng.com/vendor/guzzlehttp/guzzle/src/functions.php ( 5.54 KB )
  22. /yingpanguazai/ssd/ssd1/www/wwww.yeyulingfeng.com/vendor/topthink/framework/src/think/App.php ( 15.30 KB )
  23. /yingpanguazai/ssd/ssd1/www/wwww.yeyulingfeng.com/vendor/topthink/think-container/src/Container.php ( 15.76 KB )
  24. /yingpanguazai/ssd/ssd1/www/wwww.yeyulingfeng.com/vendor/psr/container/src/ContainerInterface.php ( 1.02 KB )
  25. /yingpanguazai/ssd/ssd1/www/wwww.yeyulingfeng.com/app/provider.php ( 0.19 KB )
  26. /yingpanguazai/ssd/ssd1/www/wwww.yeyulingfeng.com/vendor/topthink/framework/src/think/Http.php ( 6.04 KB )
  27. /yingpanguazai/ssd/ssd1/www/wwww.yeyulingfeng.com/vendor/topthink/think-helper/src/helper/Str.php ( 7.29 KB )
  28. /yingpanguazai/ssd/ssd1/www/wwww.yeyulingfeng.com/vendor/topthink/framework/src/think/Env.php ( 4.68 KB )
  29. /yingpanguazai/ssd/ssd1/www/wwww.yeyulingfeng.com/app/common.php ( 0.03 KB )
  30. /yingpanguazai/ssd/ssd1/www/wwww.yeyulingfeng.com/vendor/topthink/framework/src/helper.php ( 18.78 KB )
  31. /yingpanguazai/ssd/ssd1/www/wwww.yeyulingfeng.com/vendor/topthink/framework/src/think/Config.php ( 5.54 KB )
  32. /yingpanguazai/ssd/ssd1/www/wwww.yeyulingfeng.com/config/alipay.php ( 3.59 KB )
  33. /yingpanguazai/ssd/ssd1/www/wwww.yeyulingfeng.com/vendor/topthink/framework/src/think/facade/Env.php ( 1.67 KB )
  34. /yingpanguazai/ssd/ssd1/www/wwww.yeyulingfeng.com/config/app.php ( 0.95 KB )
  35. /yingpanguazai/ssd/ssd1/www/wwww.yeyulingfeng.com/config/cache.php ( 0.78 KB )
  36. /yingpanguazai/ssd/ssd1/www/wwww.yeyulingfeng.com/config/console.php ( 0.23 KB )
  37. /yingpanguazai/ssd/ssd1/www/wwww.yeyulingfeng.com/config/cookie.php ( 0.56 KB )
  38. /yingpanguazai/ssd/ssd1/www/wwww.yeyulingfeng.com/config/database.php ( 2.48 KB )
  39. /yingpanguazai/ssd/ssd1/www/wwww.yeyulingfeng.com/config/filesystem.php ( 0.61 KB )
  40. /yingpanguazai/ssd/ssd1/www/wwww.yeyulingfeng.com/config/lang.php ( 0.91 KB )
  41. /yingpanguazai/ssd/ssd1/www/wwww.yeyulingfeng.com/config/log.php ( 1.35 KB )
  42. /yingpanguazai/ssd/ssd1/www/wwww.yeyulingfeng.com/config/middleware.php ( 0.19 KB )
  43. /yingpanguazai/ssd/ssd1/www/wwww.yeyulingfeng.com/config/route.php ( 1.89 KB )
  44. /yingpanguazai/ssd/ssd1/www/wwww.yeyulingfeng.com/config/session.php ( 0.57 KB )
  45. /yingpanguazai/ssd/ssd1/www/wwww.yeyulingfeng.com/config/trace.php ( 0.34 KB )
  46. /yingpanguazai/ssd/ssd1/www/wwww.yeyulingfeng.com/config/view.php ( 0.82 KB )
  47. /yingpanguazai/ssd/ssd1/www/wwww.yeyulingfeng.com/app/event.php ( 0.25 KB )
  48. /yingpanguazai/ssd/ssd1/www/wwww.yeyulingfeng.com/vendor/topthink/framework/src/think/Event.php ( 7.67 KB )
  49. /yingpanguazai/ssd/ssd1/www/wwww.yeyulingfeng.com/app/service.php ( 0.13 KB )
  50. /yingpanguazai/ssd/ssd1/www/wwww.yeyulingfeng.com/app/AppService.php ( 0.26 KB )
  51. /yingpanguazai/ssd/ssd1/www/wwww.yeyulingfeng.com/vendor/topthink/framework/src/think/Service.php ( 1.64 KB )
  52. /yingpanguazai/ssd/ssd1/www/wwww.yeyulingfeng.com/vendor/topthink/framework/src/think/Lang.php ( 7.35 KB )
  53. /yingpanguazai/ssd/ssd1/www/wwww.yeyulingfeng.com/vendor/topthink/framework/src/lang/zh-cn.php ( 13.70 KB )
  54. /yingpanguazai/ssd/ssd1/www/wwww.yeyulingfeng.com/vendor/topthink/framework/src/think/initializer/Error.php ( 3.31 KB )
  55. /yingpanguazai/ssd/ssd1/www/wwww.yeyulingfeng.com/vendor/topthink/framework/src/think/initializer/RegisterService.php ( 1.33 KB )
  56. /yingpanguazai/ssd/ssd1/www/wwww.yeyulingfeng.com/vendor/services.php ( 0.14 KB )
  57. /yingpanguazai/ssd/ssd1/www/wwww.yeyulingfeng.com/vendor/topthink/framework/src/think/service/PaginatorService.php ( 1.52 KB )
  58. /yingpanguazai/ssd/ssd1/www/wwww.yeyulingfeng.com/vendor/topthink/framework/src/think/service/ValidateService.php ( 0.99 KB )
  59. /yingpanguazai/ssd/ssd1/www/wwww.yeyulingfeng.com/vendor/topthink/framework/src/think/service/ModelService.php ( 2.04 KB )
  60. /yingpanguazai/ssd/ssd1/www/wwww.yeyulingfeng.com/vendor/topthink/think-trace/src/Service.php ( 0.77 KB )
  61. /yingpanguazai/ssd/ssd1/www/wwww.yeyulingfeng.com/vendor/topthink/framework/src/think/Middleware.php ( 6.72 KB )
  62. /yingpanguazai/ssd/ssd1/www/wwww.yeyulingfeng.com/vendor/topthink/framework/src/think/initializer/BootService.php ( 0.77 KB )
  63. /yingpanguazai/ssd/ssd1/www/wwww.yeyulingfeng.com/vendor/topthink/think-orm/src/Paginator.php ( 11.86 KB )
  64. /yingpanguazai/ssd/ssd1/www/wwww.yeyulingfeng.com/vendor/topthink/think-validate/src/Validate.php ( 63.20 KB )
  65. /yingpanguazai/ssd/ssd1/www/wwww.yeyulingfeng.com/vendor/topthink/think-orm/src/Model.php ( 23.55 KB )
  66. /yingpanguazai/ssd/ssd1/www/wwww.yeyulingfeng.com/vendor/topthink/think-orm/src/model/concern/Attribute.php ( 21.05 KB )
  67. /yingpanguazai/ssd/ssd1/www/wwww.yeyulingfeng.com/vendor/topthink/think-orm/src/model/concern/AutoWriteData.php ( 4.21 KB )
  68. /yingpanguazai/ssd/ssd1/www/wwww.yeyulingfeng.com/vendor/topthink/think-orm/src/model/concern/Conversion.php ( 6.44 KB )
  69. /yingpanguazai/ssd/ssd1/www/wwww.yeyulingfeng.com/vendor/topthink/think-orm/src/model/concern/DbConnect.php ( 5.16 KB )
  70. /yingpanguazai/ssd/ssd1/www/wwww.yeyulingfeng.com/vendor/topthink/think-orm/src/model/concern/ModelEvent.php ( 2.33 KB )
  71. /yingpanguazai/ssd/ssd1/www/wwww.yeyulingfeng.com/vendor/topthink/think-orm/src/model/concern/RelationShip.php ( 28.29 KB )
  72. /yingpanguazai/ssd/ssd1/www/wwww.yeyulingfeng.com/vendor/topthink/think-helper/src/contract/Arrayable.php ( 0.09 KB )
  73. /yingpanguazai/ssd/ssd1/www/wwww.yeyulingfeng.com/vendor/topthink/think-helper/src/contract/Jsonable.php ( 0.13 KB )
  74. /yingpanguazai/ssd/ssd1/www/wwww.yeyulingfeng.com/vendor/topthink/think-orm/src/model/contract/Modelable.php ( 0.09 KB )
  75. /yingpanguazai/ssd/ssd1/www/wwww.yeyulingfeng.com/vendor/topthink/framework/src/think/Db.php ( 2.88 KB )
  76. /yingpanguazai/ssd/ssd1/www/wwww.yeyulingfeng.com/vendor/topthink/think-orm/src/DbManager.php ( 8.52 KB )
  77. /yingpanguazai/ssd/ssd1/www/wwww.yeyulingfeng.com/vendor/topthink/framework/src/think/Log.php ( 6.28 KB )
  78. /yingpanguazai/ssd/ssd1/www/wwww.yeyulingfeng.com/vendor/topthink/framework/src/think/Manager.php ( 3.92 KB )
  79. /yingpanguazai/ssd/ssd1/www/wwww.yeyulingfeng.com/vendor/psr/log/src/LoggerTrait.php ( 2.69 KB )
  80. /yingpanguazai/ssd/ssd1/www/wwww.yeyulingfeng.com/vendor/psr/log/src/LoggerInterface.php ( 2.71 KB )
  81. /yingpanguazai/ssd/ssd1/www/wwww.yeyulingfeng.com/vendor/topthink/framework/src/think/Cache.php ( 4.92 KB )
  82. /yingpanguazai/ssd/ssd1/www/wwww.yeyulingfeng.com/vendor/psr/simple-cache/src/CacheInterface.php ( 4.71 KB )
  83. /yingpanguazai/ssd/ssd1/www/wwww.yeyulingfeng.com/vendor/topthink/think-helper/src/helper/Arr.php ( 16.63 KB )
  84. /yingpanguazai/ssd/ssd1/www/wwww.yeyulingfeng.com/vendor/topthink/framework/src/think/cache/driver/File.php ( 7.84 KB )
  85. /yingpanguazai/ssd/ssd1/www/wwww.yeyulingfeng.com/vendor/topthink/framework/src/think/cache/Driver.php ( 9.03 KB )
  86. /yingpanguazai/ssd/ssd1/www/wwww.yeyulingfeng.com/vendor/topthink/framework/src/think/contract/CacheHandlerInterface.php ( 1.99 KB )
  87. /yingpanguazai/ssd/ssd1/www/wwww.yeyulingfeng.com/app/Request.php ( 0.09 KB )
  88. /yingpanguazai/ssd/ssd1/www/wwww.yeyulingfeng.com/vendor/topthink/framework/src/think/Request.php ( 55.78 KB )
  89. /yingpanguazai/ssd/ssd1/www/wwww.yeyulingfeng.com/app/middleware.php ( 0.25 KB )
  90. /yingpanguazai/ssd/ssd1/www/wwww.yeyulingfeng.com/vendor/topthink/framework/src/think/Pipeline.php ( 2.61 KB )
  91. /yingpanguazai/ssd/ssd1/www/wwww.yeyulingfeng.com/vendor/topthink/think-trace/src/TraceDebug.php ( 3.40 KB )
  92. /yingpanguazai/ssd/ssd1/www/wwww.yeyulingfeng.com/vendor/topthink/framework/src/think/middleware/SessionInit.php ( 1.94 KB )
  93. /yingpanguazai/ssd/ssd1/www/wwww.yeyulingfeng.com/vendor/topthink/framework/src/think/Session.php ( 1.80 KB )
  94. /yingpanguazai/ssd/ssd1/www/wwww.yeyulingfeng.com/vendor/topthink/framework/src/think/session/driver/File.php ( 6.27 KB )
  95. /yingpanguazai/ssd/ssd1/www/wwww.yeyulingfeng.com/vendor/topthink/framework/src/think/contract/SessionHandlerInterface.php ( 0.87 KB )
  96. /yingpanguazai/ssd/ssd1/www/wwww.yeyulingfeng.com/vendor/topthink/framework/src/think/session/Store.php ( 7.12 KB )
  97. /yingpanguazai/ssd/ssd1/www/wwww.yeyulingfeng.com/vendor/topthink/framework/src/think/Route.php ( 23.73 KB )
  98. /yingpanguazai/ssd/ssd1/www/wwww.yeyulingfeng.com/vendor/topthink/framework/src/think/route/RuleName.php ( 5.75 KB )
  99. /yingpanguazai/ssd/ssd1/www/wwww.yeyulingfeng.com/vendor/topthink/framework/src/think/route/Domain.php ( 2.53 KB )
  100. /yingpanguazai/ssd/ssd1/www/wwww.yeyulingfeng.com/vendor/topthink/framework/src/think/route/RuleGroup.php ( 22.43 KB )
  101. /yingpanguazai/ssd/ssd1/www/wwww.yeyulingfeng.com/vendor/topthink/framework/src/think/route/Rule.php ( 26.95 KB )
  102. /yingpanguazai/ssd/ssd1/www/wwww.yeyulingfeng.com/vendor/topthink/framework/src/think/route/RuleItem.php ( 9.78 KB )
  103. /yingpanguazai/ssd/ssd1/www/wwww.yeyulingfeng.com/route/app.php ( 3.52 KB )
  104. /yingpanguazai/ssd/ssd1/www/wwww.yeyulingfeng.com/vendor/topthink/framework/src/think/facade/Route.php ( 4.70 KB )
  105. /yingpanguazai/ssd/ssd1/www/wwww.yeyulingfeng.com/vendor/topthink/framework/src/think/route/dispatch/Controller.php ( 4.74 KB )
  106. /yingpanguazai/ssd/ssd1/www/wwww.yeyulingfeng.com/vendor/topthink/framework/src/think/route/Dispatch.php ( 10.44 KB )
  107. /yingpanguazai/ssd/ssd1/www/wwww.yeyulingfeng.com/app/controller/Index.php ( 10.53 KB )
  108. /yingpanguazai/ssd/ssd1/www/wwww.yeyulingfeng.com/app/BaseController.php ( 2.05 KB )
  109. /yingpanguazai/ssd/ssd1/www/wwww.yeyulingfeng.com/vendor/topthink/think-orm/src/facade/Db.php ( 0.93 KB )
  110. /yingpanguazai/ssd/ssd1/www/wwww.yeyulingfeng.com/vendor/topthink/think-orm/src/db/connector/Mysql.php ( 5.44 KB )
  111. /yingpanguazai/ssd/ssd1/www/wwww.yeyulingfeng.com/vendor/topthink/think-orm/src/db/PDOConnection.php ( 52.47 KB )
  112. /yingpanguazai/ssd/ssd1/www/wwww.yeyulingfeng.com/vendor/topthink/think-orm/src/db/Connection.php ( 8.39 KB )
  113. /yingpanguazai/ssd/ssd1/www/wwww.yeyulingfeng.com/vendor/topthink/think-orm/src/db/ConnectionInterface.php ( 4.57 KB )
  114. /yingpanguazai/ssd/ssd1/www/wwww.yeyulingfeng.com/vendor/topthink/think-orm/src/db/builder/Mysql.php ( 16.58 KB )
  115. /yingpanguazai/ssd/ssd1/www/wwww.yeyulingfeng.com/vendor/topthink/think-orm/src/db/Builder.php ( 24.06 KB )
  116. /yingpanguazai/ssd/ssd1/www/wwww.yeyulingfeng.com/vendor/topthink/think-orm/src/db/BaseBuilder.php ( 27.50 KB )
  117. /yingpanguazai/ssd/ssd1/www/wwww.yeyulingfeng.com/vendor/topthink/think-orm/src/db/Query.php ( 15.71 KB )
  118. /yingpanguazai/ssd/ssd1/www/wwww.yeyulingfeng.com/vendor/topthink/think-orm/src/db/BaseQuery.php ( 45.13 KB )
  119. /yingpanguazai/ssd/ssd1/www/wwww.yeyulingfeng.com/vendor/topthink/think-orm/src/db/concern/TimeFieldQuery.php ( 7.43 KB )
  120. /yingpanguazai/ssd/ssd1/www/wwww.yeyulingfeng.com/vendor/topthink/think-orm/src/db/concern/AggregateQuery.php ( 3.26 KB )
  121. /yingpanguazai/ssd/ssd1/www/wwww.yeyulingfeng.com/vendor/topthink/think-orm/src/db/concern/ModelRelationQuery.php ( 20.07 KB )
  122. /yingpanguazai/ssd/ssd1/www/wwww.yeyulingfeng.com/vendor/topthink/think-orm/src/db/concern/ParamsBind.php ( 3.66 KB )
  123. /yingpanguazai/ssd/ssd1/www/wwww.yeyulingfeng.com/vendor/topthink/think-orm/src/db/concern/ResultOperation.php ( 7.01 KB )
  124. /yingpanguazai/ssd/ssd1/www/wwww.yeyulingfeng.com/vendor/topthink/think-orm/src/db/concern/WhereQuery.php ( 19.37 KB )
  125. /yingpanguazai/ssd/ssd1/www/wwww.yeyulingfeng.com/vendor/topthink/think-orm/src/db/concern/JoinAndViewQuery.php ( 7.11 KB )
  126. /yingpanguazai/ssd/ssd1/www/wwww.yeyulingfeng.com/vendor/topthink/think-orm/src/db/concern/TableFieldInfo.php ( 2.63 KB )
  127. /yingpanguazai/ssd/ssd1/www/wwww.yeyulingfeng.com/vendor/topthink/think-orm/src/db/concern/Transaction.php ( 2.77 KB )
  128. /yingpanguazai/ssd/ssd1/www/wwww.yeyulingfeng.com/vendor/topthink/framework/src/think/log/driver/File.php ( 5.96 KB )
  129. /yingpanguazai/ssd/ssd1/www/wwww.yeyulingfeng.com/vendor/topthink/framework/src/think/contract/LogHandlerInterface.php ( 0.86 KB )
  130. /yingpanguazai/ssd/ssd1/www/wwww.yeyulingfeng.com/vendor/topthink/framework/src/think/log/Channel.php ( 3.89 KB )
  131. /yingpanguazai/ssd/ssd1/www/wwww.yeyulingfeng.com/vendor/topthink/framework/src/think/event/LogRecord.php ( 1.02 KB )
  132. /yingpanguazai/ssd/ssd1/www/wwww.yeyulingfeng.com/vendor/topthink/think-helper/src/Collection.php ( 16.47 KB )
  133. /yingpanguazai/ssd/ssd1/www/wwww.yeyulingfeng.com/vendor/topthink/framework/src/think/facade/View.php ( 1.70 KB )
  134. /yingpanguazai/ssd/ssd1/www/wwww.yeyulingfeng.com/vendor/topthink/framework/src/think/View.php ( 4.39 KB )
  135. /yingpanguazai/ssd/ssd1/www/wwww.yeyulingfeng.com/vendor/topthink/framework/src/think/Response.php ( 8.81 KB )
  136. /yingpanguazai/ssd/ssd1/www/wwww.yeyulingfeng.com/vendor/topthink/framework/src/think/response/View.php ( 3.29 KB )
  137. /yingpanguazai/ssd/ssd1/www/wwww.yeyulingfeng.com/vendor/topthink/framework/src/think/Cookie.php ( 6.06 KB )
  138. /yingpanguazai/ssd/ssd1/www/wwww.yeyulingfeng.com/vendor/topthink/think-view/src/Think.php ( 8.38 KB )
  139. /yingpanguazai/ssd/ssd1/www/wwww.yeyulingfeng.com/vendor/topthink/framework/src/think/contract/TemplateHandlerInterface.php ( 1.60 KB )
  140. /yingpanguazai/ssd/ssd1/www/wwww.yeyulingfeng.com/vendor/topthink/think-template/src/Template.php ( 46.61 KB )
  141. /yingpanguazai/ssd/ssd1/www/wwww.yeyulingfeng.com/vendor/topthink/think-template/src/template/driver/File.php ( 2.41 KB )
  142. /yingpanguazai/ssd/ssd1/www/wwww.yeyulingfeng.com/vendor/topthink/think-template/src/template/contract/DriverInterface.php ( 0.86 KB )
  143. /yingpanguazai/ssd/ssd1/www/wwww.yeyulingfeng.com/runtime/temp/10a0c909b6afa23b5a52a2e2d58c3c0f.php ( 21.70 KB )
  144. /yingpanguazai/ssd/ssd1/www/wwww.yeyulingfeng.com/vendor/topthink/think-trace/src/Html.php ( 4.42 KB )
  1. CONNECT:[ UseTime:0.000488s ] mysql:host=127.0.0.1;port=3306;dbname=wenku;charset=utf8mb4
  2. SHOW FULL COLUMNS FROM `fenlei` [ RunTime:0.000625s ]
  3. SELECT * FROM `fenlei` WHERE `fid` = 0 [ RunTime:0.000306s ]
  4. SELECT * FROM `fenlei` WHERE `fid` = 63 [ RunTime:0.000259s ]
  5. SHOW FULL COLUMNS FROM `set` [ RunTime:0.000424s ]
  6. SELECT * FROM `set` [ RunTime:0.000211s ]
  7. SHOW FULL COLUMNS FROM `wendang` [ RunTime:0.000633s ]
  8. SELECT * FROM `wendang` WHERE `id` = 330005 LIMIT 1 [ RunTime:0.000725s ]
  9. UPDATE `wendang` SET `liulancishu` = 2 WHERE `id` = 330005 [ RunTime:0.001524s ]
  10. UPDATE `wendang` SET `lasttime` = 1772325400 WHERE `id` = 330005 [ RunTime:0.000489s ]
  11. SELECT * FROM `wendang` WHERE `id` < 330005 ORDER BY `id` DESC LIMIT 1 [ RunTime:0.000464s ]
  12. SELECT * FROM `wendang` WHERE `id` > 330005 ORDER BY `id` ASC LIMIT 1 [ RunTime:0.001116s ]
  13. SELECT * FROM `wendang` WHERE `id` <> 330005 ORDER BY `id` DESC LIMIT 10 [ RunTime:0.001561s ]
  14. SELECT * FROM `wendang` WHERE `id` <> 330005 ORDER BY `id` DESC LIMIT 10,10 [ RunTime:0.001209s ]
  15. SELECT * FROM `wendang` WHERE `id` <> 330005 ORDER BY `id` DESC LIMIT 20,10 [ RunTime:0.002592s ]
0.082593s