当前位置:首页>文档>2025年中考数学几何模型综合训练(通用版)专题33最值模型之胡不归模型解读与提分精练(教师版)_02中考总复习(2026版更新中)_02-数学-中考总复习_2025中考复习资料

2025年中考数学几何模型综合训练(通用版)专题33最值模型之胡不归模型解读与提分精练(教师版)_02中考总复习(2026版更新中)_02-数学-中考总复习_2025中考复习资料

  • 2026-03-01 09:38:20 2026-03-01 09:11:36

文档预览

2025年中考数学几何模型综合训练(通用版)专题33最值模型之胡不归模型解读与提分精练(教师版)_02中考总复习(2026版更新中)_02-数学-中考总复习_2025中考复习资料
2025年中考数学几何模型综合训练(通用版)专题33最值模型之胡不归模型解读与提分精练(教师版)_02中考总复习(2026版更新中)_02-数学-中考总复习_2025中考复习资料
2025年中考数学几何模型综合训练(通用版)专题33最值模型之胡不归模型解读与提分精练(教师版)_02中考总复习(2026版更新中)_02-数学-中考总复习_2025中考复习资料
2025年中考数学几何模型综合训练(通用版)专题33最值模型之胡不归模型解读与提分精练(教师版)_02中考总复习(2026版更新中)_02-数学-中考总复习_2025中考复习资料
2025年中考数学几何模型综合训练(通用版)专题33最值模型之胡不归模型解读与提分精练(教师版)_02中考总复习(2026版更新中)_02-数学-中考总复习_2025中考复习资料
2025年中考数学几何模型综合训练(通用版)专题33最值模型之胡不归模型解读与提分精练(教师版)_02中考总复习(2026版更新中)_02-数学-中考总复习_2025中考复习资料
2025年中考数学几何模型综合训练(通用版)专题33最值模型之胡不归模型解读与提分精练(教师版)_02中考总复习(2026版更新中)_02-数学-中考总复习_2025中考复习资料
2025年中考数学几何模型综合训练(通用版)专题33最值模型之胡不归模型解读与提分精练(教师版)_02中考总复习(2026版更新中)_02-数学-中考总复习_2025中考复习资料
2025年中考数学几何模型综合训练(通用版)专题33最值模型之胡不归模型解读与提分精练(教师版)_02中考总复习(2026版更新中)_02-数学-中考总复习_2025中考复习资料
2025年中考数学几何模型综合训练(通用版)专题33最值模型之胡不归模型解读与提分精练(教师版)_02中考总复习(2026版更新中)_02-数学-中考总复习_2025中考复习资料
2025年中考数学几何模型综合训练(通用版)专题33最值模型之胡不归模型解读与提分精练(教师版)_02中考总复习(2026版更新中)_02-数学-中考总复习_2025中考复习资料
2025年中考数学几何模型综合训练(通用版)专题33最值模型之胡不归模型解读与提分精练(教师版)_02中考总复习(2026版更新中)_02-数学-中考总复习_2025中考复习资料
2025年中考数学几何模型综合训练(通用版)专题33最值模型之胡不归模型解读与提分精练(教师版)_02中考总复习(2026版更新中)_02-数学-中考总复习_2025中考复习资料
2025年中考数学几何模型综合训练(通用版)专题33最值模型之胡不归模型解读与提分精练(教师版)_02中考总复习(2026版更新中)_02-数学-中考总复习_2025中考复习资料
2025年中考数学几何模型综合训练(通用版)专题33最值模型之胡不归模型解读与提分精练(教师版)_02中考总复习(2026版更新中)_02-数学-中考总复习_2025中考复习资料
2025年中考数学几何模型综合训练(通用版)专题33最值模型之胡不归模型解读与提分精练(教师版)_02中考总复习(2026版更新中)_02-数学-中考总复习_2025中考复习资料
2025年中考数学几何模型综合训练(通用版)专题33最值模型之胡不归模型解读与提分精练(教师版)_02中考总复习(2026版更新中)_02-数学-中考总复习_2025中考复习资料
2025年中考数学几何模型综合训练(通用版)专题33最值模型之胡不归模型解读与提分精练(教师版)_02中考总复习(2026版更新中)_02-数学-中考总复习_2025中考复习资料
2025年中考数学几何模型综合训练(通用版)专题33最值模型之胡不归模型解读与提分精练(教师版)_02中考总复习(2026版更新中)_02-数学-中考总复习_2025中考复习资料
2025年中考数学几何模型综合训练(通用版)专题33最值模型之胡不归模型解读与提分精练(教师版)_02中考总复习(2026版更新中)_02-数学-中考总复习_2025中考复习资料
2025年中考数学几何模型综合训练(通用版)专题33最值模型之胡不归模型解读与提分精练(教师版)_02中考总复习(2026版更新中)_02-数学-中考总复习_2025中考复习资料
2025年中考数学几何模型综合训练(通用版)专题33最值模型之胡不归模型解读与提分精练(教师版)_02中考总复习(2026版更新中)_02-数学-中考总复习_2025中考复习资料
2025年中考数学几何模型综合训练(通用版)专题33最值模型之胡不归模型解读与提分精练(教师版)_02中考总复习(2026版更新中)_02-数学-中考总复习_2025中考复习资料
2025年中考数学几何模型综合训练(通用版)专题33最值模型之胡不归模型解读与提分精练(教师版)_02中考总复习(2026版更新中)_02-数学-中考总复习_2025中考复习资料
2025年中考数学几何模型综合训练(通用版)专题33最值模型之胡不归模型解读与提分精练(教师版)_02中考总复习(2026版更新中)_02-数学-中考总复习_2025中考复习资料
2025年中考数学几何模型综合训练(通用版)专题33最值模型之胡不归模型解读与提分精练(教师版)_02中考总复习(2026版更新中)_02-数学-中考总复习_2025中考复习资料
2025年中考数学几何模型综合训练(通用版)专题33最值模型之胡不归模型解读与提分精练(教师版)_02中考总复习(2026版更新中)_02-数学-中考总复习_2025中考复习资料
2025年中考数学几何模型综合训练(通用版)专题33最值模型之胡不归模型解读与提分精练(教师版)_02中考总复习(2026版更新中)_02-数学-中考总复习_2025中考复习资料
2025年中考数学几何模型综合训练(通用版)专题33最值模型之胡不归模型解读与提分精练(教师版)_02中考总复习(2026版更新中)_02-数学-中考总复习_2025中考复习资料
2025年中考数学几何模型综合训练(通用版)专题33最值模型之胡不归模型解读与提分精练(教师版)_02中考总复习(2026版更新中)_02-数学-中考总复习_2025中考复习资料
2025年中考数学几何模型综合训练(通用版)专题33最值模型之胡不归模型解读与提分精练(教师版)_02中考总复习(2026版更新中)_02-数学-中考总复习_2025中考复习资料
2025年中考数学几何模型综合训练(通用版)专题33最值模型之胡不归模型解读与提分精练(教师版)_02中考总复习(2026版更新中)_02-数学-中考总复习_2025中考复习资料
2025年中考数学几何模型综合训练(通用版)专题33最值模型之胡不归模型解读与提分精练(教师版)_02中考总复习(2026版更新中)_02-数学-中考总复习_2025中考复习资料
2025年中考数学几何模型综合训练(通用版)专题33最值模型之胡不归模型解读与提分精练(教师版)_02中考总复习(2026版更新中)_02-数学-中考总复习_2025中考复习资料
2025年中考数学几何模型综合训练(通用版)专题33最值模型之胡不归模型解读与提分精练(教师版)_02中考总复习(2026版更新中)_02-数学-中考总复习_2025中考复习资料
2025年中考数学几何模型综合训练(通用版)专题33最值模型之胡不归模型解读与提分精练(教师版)_02中考总复习(2026版更新中)_02-数学-中考总复习_2025中考复习资料
2025年中考数学几何模型综合训练(通用版)专题33最值模型之胡不归模型解读与提分精练(教师版)_02中考总复习(2026版更新中)_02-数学-中考总复习_2025中考复习资料
2025年中考数学几何模型综合训练(通用版)专题33最值模型之胡不归模型解读与提分精练(教师版)_02中考总复习(2026版更新中)_02-数学-中考总复习_2025中考复习资料
2025年中考数学几何模型综合训练(通用版)专题33最值模型之胡不归模型解读与提分精练(教师版)_02中考总复习(2026版更新中)_02-数学-中考总复习_2025中考复习资料
2025年中考数学几何模型综合训练(通用版)专题33最值模型之胡不归模型解读与提分精练(教师版)_02中考总复习(2026版更新中)_02-数学-中考总复习_2025中考复习资料
2025年中考数学几何模型综合训练(通用版)专题33最值模型之胡不归模型解读与提分精练(教师版)_02中考总复习(2026版更新中)_02-数学-中考总复习_2025中考复习资料
2025年中考数学几何模型综合训练(通用版)专题33最值模型之胡不归模型解读与提分精练(教师版)_02中考总复习(2026版更新中)_02-数学-中考总复习_2025中考复习资料
2025年中考数学几何模型综合训练(通用版)专题33最值模型之胡不归模型解读与提分精练(教师版)_02中考总复习(2026版更新中)_02-数学-中考总复习_2025中考复习资料

文档信息

文档格式
docx
文档大小
3.073 MB
文档页数
43 页
上传时间
2026-03-01 09:11:36

文档内容

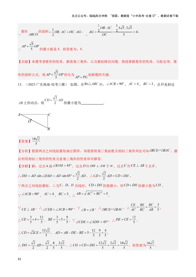
关注公众号:陆陆高分冲刺 ~领取:最新版“小中高考-总复习”、最新试卷下载 专题 33 最值模型之胡不归模型 胡不归模型可看作将军饮马衍生,主要考查转化与化归等的数学思想,近年在中考数学和各地的模拟 考中常以压轴题的形式考查,学生不易把握。本专题就最值模型中的胡不归问题进行梳理及对应试题分析, 方便掌握。在解决胡不归问题主要依据是:点到线的距离垂线段最短。 .........................................................................................................................................................................................1 模型1.胡不归模型(最值模型)...................................................................................................................1 ..................................................................................................................................................13 模型1.胡不归模型(最值模型) 从前有个少年外出求学,某天不幸得知老父亲病危的消息,便立即赶路回家.根据“两点之间线段最短”, 虽然从他此刻位置A到家B之间是一片砂石地,但他义无反顾踏上归途,当赶到家时,老人刚咽了气,小 伙子追悔莫及失声痛哭.邻居告诉小伙子说,老人弥留之际不断念叨着“胡不归?胡不归?” 看到这里很多人都会有一个疑问,少年究竟能不能提前到家呢?假设可以提早到家,那么他该选择怎样的 一条路线呢?这就是今天要讲的“胡不归”问题. 1关注公众号:陆陆高分冲刺 ~领取:最新版“小中高考-总复习”、最新试卷下载 B V 砂石地 1 V 1 驿道 A V C 2 一动点P在直线MN外的运动速度为V ,在直线MN上运动的速度为V ,且V 1,则提取系数,转化为小于1的形式解决即可)。 【最值原理】垂线段最短。 例1.(24-25九年级上·安徽合肥·阶段练习)如图,在 中, , ,P为 边上的一个 动点(不与A、C重合),连接 ,则 的最小值是( ) 2关注公众号:陆陆高分冲刺 ~领取:最新版“小中高考-总复习”、最新试卷下载 A. B. C. D.8 【答案】B 【分析】以 为斜边在 下方作等腰直角 ,过B作 于E,通过解直角三角形可得 的 长,再根据 ,可得 ,据此即可解答. 【详解】解:如图,以 为斜边在 下方作等腰直角 ,过B作 于E,连接 , , , , , , 的最小值为 .故选:B. 【点睛】本题考查了解直角三角形的应用,点到直线的距离,作出辅助线是解决本题的关键. 例2.(23-24九年级上·湖南娄底·阶段练习)如图,在矩形 中, ,E,P分别是边 和对角 线 上的动点,连接 ,记 ,若 ,则 的最小值为( ) A.3 B.4 C.5 D. 【答案】A 【分析】本题考查了三角函数的定义,矩形的判定和性质.过点P作 于点H,交 于点G,求 得 ,根据垂线段最短,知当点E与点G重合时, 有最小值,据此求解即可. 【详解】解:过点P作 于点H,交 于点G, 3关注公众号:陆陆高分冲刺 ~领取:最新版“小中高考-总复习”、最新试卷下载 ∵四边形 是矩形,∴ ,∴四边形 是矩形,∴ ,∴ , ∵ , ,∴ ,∴ , , ∴ ,∴ , 当点E与点G重合时, 有最小值,最小值为 的长, ∵ ,∴ 的最小值为3,故选:A. 例3.(2024·陕西渭南·二模)如图,在菱形 中,对角线 相交于点 , , , 是对角线 上的动点,则 的最小值为 . 【答案】 【分析】本题主要考查了菱形的性质,勾股定理,解直角三角形,过点P作 ,连接 ,由菱形 的性质可得 ,则由勾股定理可得 ,解直角三角形得到 ,则 ,进而得到当 三点共线,且 时, 最小,最小值为 的长,据此利用等面积法求出 的长即可得到答案. 【详解】解:如图所示,过点P作 ,连接 , ∵在菱形 中,对角线 相交于点 , , , 4关注公众号:陆陆高分冲刺 ~领取:最新版“小中高考-总复习”、最新试卷下载 ∴ ,∴ ,∴ , ∴在 中, ,∴ , ∴当 三点共线,且 时, 最小,最小值为 的长, ∴此时有 ,∴ ,∴ , ∴ 的最小值为 ,故答案为: . 例4.(2023·云南昆明·统考二模)如图,正方形 边长为4,点E是 边上一点,且 . P是对角线 上一动点,则 的最小值为( ) A.4 B. C. D. 【答案】D 【分析】连接AC,作 ,证明当 取最小值时,A,P,G三点共线,且 ,此时 最小值为AG,再利用勾股定理, 所对的直角边等于斜边的一半即可求出结果. 【详解】解:连接AC,作 5关注公众号:陆陆高分冲刺 ~领取:最新版“小中高考-总复习”、最新试卷下载 ∵ 是正方形且边长为4,∴ , , , ∵ ,∴ ,∴ , ∴当 取最小值时,A,P,G三点共线,且 ,此时最小值为AG, ∵ , ,∴ ,∵ ,∴ , 设 ,则 ,∴ ,解得: , 设 ,则 ,∵ ,∴ ,解得: ∴ ,故选:D 【点睛】本题考查正方形的性质,动点问题,勾股定理, 所对的直角边等于斜边的一半,解题的关键 是证明当 取最小值时,A,P,G三点共线,且 ,此时最小值为AG. 例5.(23-24九年级上·江苏南通·阶段练习)如图, 是 的直径, 切 于点 交 的延长线 于点 .设点 是弦 上任意一点(不含端点),若 , ,则 的最小值为( ) A. B. C. D. 【答案】D 【分析】作 平分 ,交 于 ,连接 、 、 ,过点 作 于 ,根据切线的 性质和三角形内角和定理可得 ,求得 ,根据角平分线的性质可得 6关注公众号:陆陆高分冲刺 ~领取:最新版“小中高考-总复习”、最新试卷下载 ,根据含 角的直角三角形的性质可得 ,求得 ,根据等边三角形 的判定和性质可得 ,根据菱形的判定和性质可得 平分 ,根据角平分线的性 质和全等三角形的判定和性质可得 ,根据等边对等角和三角形内角和定理求得 ,根据特殊角的锐角三角函数可求得 ,推得 ,根 据垂线段最短可得,当 、 、 三点共线时, 的值最小,即 时, 的值最小, 根据特殊角的锐角三角函数可求得 ,即可求解. 【详解】解:作 的角平分线 ,交 于 ,连接 、 、 ,过点 作 于 , 如图: ∵ ,∴ ,又∵ ,∴ ,∴ , ∵ 平分 ,则 , ∵ , ,∴ ,即 , 又∵ , ,∴ ,∴ ,即圆的半径为 , ∵ , ,∴ 、 是等边三角形, ∴ ,∴四边形 是菱形,∴ 平分 ,∴ , 又∵ , ,∴ ,∴ , ∵ ,∴ , ∴ ,即 ,∴ .若使 的值最小,即 的值最小, 7关注公众号:陆陆高分冲刺 ~领取:最新版“小中高考-总复习”、最新试卷下载 当 、 、 三点共线时, ,此时 的值最小,即 时, 的值最 小, 此时, , ,故选: D. 【点睛】本题考查了切线的性质,三角形内角和定理,角平分线的性质,含 角的直角三角形的性质, 等边三角形的判定和性质,菱形的判定和性质,全等三角形的判定和性质,等边对等角,特殊角的锐角三 角函数,垂线段最短,解题的关键是明确当 、 、 三点共线时, 的值最小,即 的值最小. 例7.(2023·四川自贡·统考中考真题)如图,直线 与x轴,y轴分别交于A,B两点,点D是 线段AB上一动点,点H是直线 上的一动点,动点 ,连接 . 当 取最小值时, 的最小值是 . 【答案】 【分析】作出点 ,作 于点D,交x轴于点F,此时 的最小值为 的长,利用解 直角三角形求得 ,利用待定系数法求得直线 的解析式,联立即可求得点D的坐标,过点D作 轴于点G,此时 的最小值是 的长,据此求解即可. 【详解】解:∵直线 与x轴,y轴分别交于A,B两点,∴ , , 作点B关于x轴的对称点 ,把点 向右平移3个单位得到 , 8关注公众号:陆陆高分冲刺 ~领取:最新版“小中高考-总复习”、最新试卷下载 作 于点D,交x轴于点F,过点 作 交x轴于点E,则四边形 是平行四边形, 此时, ,∴ 有最小值,作 轴于点P, 则 , ,∵ ,∴ ,∴ , ∴ ,即 ,∴ ,则 ,设直线 的解析式为 , 则 ,解得 ,∴直线 的解析式为 , 联立, ,解得 ,即 ;过点D作 轴于点G, 直线 与x轴的交点为 ,则 ,∴ , ∴ ,∴ , 即 的最小值是 ,故答案为: . 【点睛】本题考查了一次函数的应用,解直角三角形,利用轴对称求最短距离,解题的关键是灵活运用所 学知识解决问题. 例8.(2024·山东济南·一模)实践与探究 【问题情境】(1)①如图1, , , , 分别为边 上的点, ,且 ,则 ______;②如图2,将①中的 绕点 顺时针旋转 ,则 所在直线较小夹角的度数为______. 【探究实践】(2)如图3,矩形 , , , 为边 上的动点, 为边 上的动点, 9关注公众号:陆陆高分冲刺 ~领取:最新版“小中高考-总复习”、最新试卷下载 ,连接 ,作 于 点,连接 .当 的长度最小时,求 的长. 【拓展应用】(3)如图4, , , , , 为 中点,连接 , 分别为线段 上的动点,且 ,请直接写出 的最小值. 【答案】(1)① ;② ;(2)2;(3) 【分析】(1)①由 得出 ,再由相似三角形的性质即可得解;②延长 交 于 ,令 交 于 ,由旋转的性质结合三角形内角和定理计算即可得出答案; (2)延长 ,相交于点 ,连接 .由矩形的性质可得 , ,证明 ,由相似三角形的性质得出点 为 中点,由直角三角形的性质得出 ,当 ,三点共线时 取得最小值,证明出 为等边三角形,即可得解; (3)分别过点 和 作垂线,两线相交于点 ,连接 、 、 ,则 ,证明 ,得出 ,再证明出 四点共圆,得出 , ,解直角三角形得出 ,即可得出 ,最后由 勾股定理计算即可得出答案. 【详解】解:(1)① , , ,故答案为: ; ②如图,延长 交 于 ,令 交 于 , 10关注公众号:陆陆高分冲刺 ~领取:最新版“小中高考-总复习”、最新试卷下载 由①可得 ,由旋转的性质可得: , , , , 所在直线较小夹角的度数为 ,故答案为: ; (2)延长 ,相交于点 ,连接 . 四边形 是矩形, , ,∴ , ,∴ ,∴ ,∴点 为 中点, , ∵ 于点 ,∴在 中, , ∵在 中, ,且 为定值,∴当 ,三点共线时 取得最小值, ∵ ,∴ ,此时 为等边三角形, . (3)如图,分别过点 和 作垂线,两线相交于点 ,连接 、 、 ,则 , , , , , 为 中点, , , , 为等边三角形, , , , , , , 11关注公众号:陆陆高分冲刺 ~领取:最新版“小中高考-总复习”、最新试卷下载 , , , , , 四点共圆, , , 在 中, , , , 在 中, , 的最小值为 . 【点睛】本题考查了相似三角形的判定与性质、解直角三角形、圆的性质、勾股定理、等边三角形的判定 与性质、直角三角形的性质、矩形的性质、旋转的性质等知识点,熟练掌握以上知识点并灵活运用,添加 适当的辅助线是解此题的关键. 例9.(24-25九年级上·江苏苏州·阶段练习)如图,二次函数 的图象交x轴于A、B 两点,交y轴于点C,连接 .(1)直接写出点B、C的坐标,B________;C________. (2)点P是y轴右侧抛物线上的一点,连接 、 .若 的面积 ,求点P的坐标. (3)设E为线段 上任意一点(不含端点),连接 ,一动点M从点A出发,沿线段 以每秒1个单位 速度运动到E点,再沿线段 以每秒2个单位的速度运动到C后停止,求点M运动时间的最小值. 【答案】(1) , (2) 或 或 (3)点M的运动时间的最小值为7秒 【分析】(1)根据抛物线计算即可;(2)利用同底等高的三角形面积相等构造与 平行直线,找到与 抛物线的交点P;(3)如图,在x轴上取一点G,连接 ,使得 ,作 于N.作 12关注公众号:陆陆高分冲刺 ~领取:最新版“小中高考-总复习”、最新试卷下载 于 交 于 .由点M的运动时间 , ,推出点M的运动时间 ,根据垂线段最短可知,当A,E,N关系,点N与 重合,点E与 重合时,点M的运动 时间最少.由此即可解决问题; 【详解】(1)解:当 时, , 当 时, ,解得: , ,故答案为: , ; (2)解:设x轴上点D,使得 的面积 , ,解得: , , ,则可求直线 解析式为: ,故点D坐标为 或 , 当D坐标为 时,过点D平行于 的直线l与抛物线交点为满足条件的P, 则可求得直线l的解析式为: , 求直线l与抛物线交点得: ,解得: , , 则P点坐标为 或 ,同理当点D坐标为 时,直线l的解析式为 , 求直线l与抛物线交点得: ,解得: (舍弃), , 则点P坐标为 ,综上满足条件P点坐标为: 或 或 ; (3)解:如图,在x轴上取一点G,连接CG,使得 ,作 于N.作 于 交 BC于 . 13关注公众号:陆陆高分冲刺 ~领取:最新版“小中高考-总复习”、最新试卷下载 , , , , 直线 的解析式为 , 点M的运动时间 , , 点M的运动时间 , 根据垂线段最短可知,当A,E,N关系,点N与 重合,点E与 重合时,点M的运动时间最少. 由题意 , , , 点M的运动时间的最小值为7秒,此时 . 【点睛】本题为代数几何综合题,考查了二次函数图象性质、一次函数图象性质及圆的有关性质是解答本 题的关键. 14关注公众号:陆陆高分冲刺 ~领取:最新版“小中高考-总复习”、最新试卷下载 1.(2024·山东淄博·校考一模)如图,在平面直角坐标系中,点A的坐标是 ,点C的坐标是 , 点 是x轴上的动点,点B在x轴上移动时,始终保持 是等边三角形(点P不在第二象限), 连接 ,求得 的最小值为( ) A. B.4 C. D.2 【答案】C 【分析】如图1所示,以OA为边,向右作等边△AOD,连接PD,过点D作DE⊥OA于E,先求出点D的 坐标,然后证明△BAO≌△PAD得到∠PDA=∠BOA=90°,则点P在经过点D且与AD垂直的直线上运动, 当点P运动到y轴时,如图2所示,证明此时点P的坐标为(0,-2)从而求出直线PD的解析式;如图3 所示,作点A关于直线PD的对称点G,连接PG,过点P作PF⊥y轴于F,设直线PD与x轴的交点为 H,先求出点H的坐标,然后证明∠HCO=30°,从而得到 ,则当G、P、F三点共线 时, 有最小值,即 有最小值,再根据轴对称的性质求出点G在x轴上,则OG即为所求. 【详解】解:如图1所示,以OA为边,向右作等边△AOD,连接PD,过点D作DE⊥OA于E, 15关注公众号:陆陆高分冲刺 ~领取:最新版“小中高考-总复习”、最新试卷下载 ∵点A的坐标为(0,2),∴OA=OD=2,∴OE=AE=1,∴ ,∴点D的坐标为 ; ∵△ABP是等边三角形,△AOD是等边三角形,∴AB=AP,∠BAP=60°,AO=AD,∠OAD=60°, ∴∠BAP+∠PAO=∠DAO+∠PAO,即∠BAO=∠PAD,∴△BAO≌△PAD(SAS),∴∠PDA=∠BOA=90°, ∴点P在经过点D且与AD垂直的直线上运动, 当点P运动到y轴时,如图2所示,此时点P与点C重合, ∵△ABP是等边三角形,BO⊥AP,∴AO=PO=2,∴此时点P的坐标为(0,-2), 设直线PD的解析式为 ,∴ ,∴ ,∴直线PD的解析式为 ; 如图3所示,作点A关于直线PD的对称点G,连接PG,过点P作PF⊥y轴于F,连接CG,设直线PD与 x轴的交点为H,∴点H的坐标为 ,∴ ,∴∠OCH=30°,∴ , 由轴对称的性质可知AP=GP,∴ , ∴当G、P、F三点共线时, 有最小值,即 有最小值, ∵A、G两点关于直线PD对称,且∠ADC=90°,∴AD=GD,即点D为AG的中点, ∵点A的坐标为(0,2),点D的坐标为 ,∴AG=2AD=2OA=4, ∵AC=4,∠CAG=60°,∴△ACG是等边三角形,∵OC=OA,∴OG⊥AC,即点G在x轴上, ∴由勾股定理得 ,∴当点P运动到H点时, 有最小值,即 有最小 16关注公众号:陆陆高分冲刺 ~领取:最新版“小中高考-总复习”、最新试卷下载 值,最小值即为OG的长,∴ 的最小值为 ,故选:C. 【点睛】本题主要考查了等边三角形的判定与性质,全等三角形的性质与判定,一次函数与几何综合,轴 对称最短路径问题,解直角三角形等等,正确作出辅助线确定点P的运动轨迹是解题的关键. 2.(2024·四川德阳·二模)如图,已知抛物线 与x轴交于 两点,与y轴交于 点 .若P为y轴上一个动点,连接 ,则 的最小值为( ) A. B.2 C.2 D.4 【答案】C 【分析】本题考查了二次函数的图象,等腰三角形的判定与性质,勾股定理,垂线段最短等知识,关键在 于把求 最小值转化为求 的最小值;连接 ,过点P作 于点G,连接 ,过点A作 于点H;由B、C的坐标得 ,则有 ,从而 ;于 是求 最小值转化为求 的最小值;利用勾股定理即可求得最小值. 【详解】解:连接 ,过点P作 于点G,连接 ,过点A作 于点H,如图, 17关注公众号:陆陆高分冲刺 ~领取:最新版“小中高考-总复习”、最新试卷下载 , , , , ∴ , 的最小值为 的长, ∵ , ,在 中, , , 的最小值为 .故选:C.   A 0,15 3.(2024·山东校考一模)如图,AB AC, ,C(1,0),D为射线AO上一点,一动点P从A 出发,运动路径为ADC,在AD上的速度为4个单位/秒,在CD上的速度为1个单位/秒,则整个运动 时间最少时,D的坐标为 .  15 【答案】0,    15   AD CD AD 【分析】如图,作 DH⊥AB于H,CM⊥AB于M,交AO于D′.运动时间t    CD,由 4 1 4 1 1 ,推出DH  AD,可得 ADCDCDDH,推出当 共线且和 重合时, △AHD∽△AOB 4 4 C,D,H CM 运动时间最短. 18关注公众号:陆陆高分冲刺 ~领取:最新版“小中高考-总复习”、最新试卷下载 【详解】如图,作DH  AB于H,CM AB于M ,交AO于D�. AD CD AD ∵运动时间t    CD,∵ , ,∴ , 4 1 4 AB AC AOBC BOOC 1 ∵A(0, 15),C(1,0),AB AC,AOBC,∴AB AC  OA2OB2  1514, ∵DAH BAO,DHAAOB90,∴△AHD∽△AOB, AD DH 1 1 ∴  ,∴DH  AD,∴ ADCDCDDH, AB OB 4 4 ∴当C,D,H共线且和CM重合时,运动时间最短, 2  15 7 1 1 ,∴ 15 ,∴AM  AC2CM2  42   ,  BCAO ABCM CM   2  2 2 2 2   49 ∵ ,设 ,则 ,则有:16m2m2  AD4MD MDm AD4m 4  15 ∴m 7 15 或 7 15 (舍去),∴AD 14 15 ∴D  0,   15 30 30 15   4.(2023·湖南湘西·统考中考真题)如图, 是等边三角形 的外接圆,其半径为4.过点B作 于点E,点P为线段 上一动点(点P不与B,E重合),则 的最小值为 . 【答案】6 【分析】过点P作 ,连接 并延长交 于点F,连接 ,根据等边三角形的性质和圆内接三 19关注公众号:陆陆高分冲刺 ~领取:最新版“小中高考-总复习”、最新试卷下载 角形的性质得到 , ,然后利用含 角直角三角形的性质得到 ,进而 求出 ,然后利用 代入求解即可. 【详解】如图所示,过点P作 ,连接 并延长交 于点F,连接 ∵ 是等边三角形, ∴ ∵ 是等边三角形 的外接圆,其半径为4∴ , , ∴ ∴ ∵ ∴ ∴ ∵ , ∴ ∴ ∴ 的最小值为 的长度∵ 是等边三角形, , ∴ ∴ 的最小值为6.故答案为:6. 【点睛】此题考查了圆内接三角形的性质,等边三角形的性质,含 角直角三角形的性质等知识,解题 的关键是熟练掌握以上知识点. 5.(2023·辽宁锦州·统考中考真题)如图,在 中, , , ,按下 列步骤作图:①在 和 上分别截取 、 ,使 .②分别以点D和点E为圆心,以大于 的长为半径作弧,两弧在 内交于点M.③作射线 交 于点F.若点P是线段 上的一 个动点,连接 ,则 的最小值是 . 20关注公众号:陆陆高分冲刺 ~领取:最新版“小中高考-总复习”、最新试卷下载 【答案】 【分析】过点P作 于点Q,过点C作 于点H,先利用角平分线和三角形的内角和定理求 出 ,然后利用含 的直角三角的性质得出 ,则 ,当 C、P、Q三点共线,且与 垂直时, 最小, 最小值为 ,利用含 的直角三角的 性质和勾股定理求出 , ,最后利用等面积法求解即可. 【详解】解:过点P作 于点Q,过点C作 于点H, 由题意知: 平分 ,∵ , ,∴ , ∴ ,∴ ,∴ , ∴当C、P、Q三点共线,且与 垂直时, 最小, 最小值为 , ∵ , , ,∴ ,∴ , ∵ ,∴ , 即 最小值为 .故答案为: . 【点睛】本题考查了尺规作图-作角平分线,含 的直角三角形的性质,勾股定理等知识,注意掌握利用 21关注公众号:陆陆高分冲刺 ~领取:最新版“小中高考-总复习”、最新试卷下载 等积法求三角形的高或点的线的距离的方法. 6.(2022·湖北武汉·九年级期末)如图, 中 , , , 为边 上一点,则 ▱ 的最小值为______. 【答案】 【分析】作PH丄AD交AD的延长线于H,由直角三角形的性质可得HP= DP,因此 PD+2PB=2( DP+PB)=2(PH+PB),当H、P、B三点共线时HP+PB有最小值,即 PD十2PB有最小值,即可求解. 【详解】如图,过点 作 ,交 的延长线于 , 四边形 是平行四边形, ,∴ ∵PH丄AD∴ ∴ , , ∴ 当点 ,点 ,点 三点共线时,HP+PB有最小值,即 有最小值, 此时 , , ,∴ , 则 最小值为 ,故答案为: . 22关注公众号:陆陆高分冲刺 ~领取:最新版“小中高考-总复习”、最新试卷下载 【点睛】本题考查了胡不归问题,平行四边形的性质,直角三角形的性质,垂线段最短等知识.构造直角 三角形是解题的关键. 7.(2023·江苏宿迁·统考二模)已知 中, ,则 的最大值为 . 【答案】 【分析】过点C作 ,垂足为D,取 ,即可说明 是等腰直角三角形,求出 ,进一步求出 ,继而将 转化为 ,推出点D在以 为直 径的圆上,从而可知当 为等腰直角三角形时, 最大,再求解即可. 【详解】解:如图,过点C作 ,垂足为D,取 , ∴ 是等腰直角三角形,∴ , ∵ ,∴ ,∴ ,∴ , ∴ ,∴ , ∴ , ∵ ,而 一定, ∴当 的面积最大时, 最大,∵ ,∴点D在以 为直径的圆上, ∴当D平分 时,点D到 的距离最大,即高最大,则面积最大, 此时 ,则 为等腰直角三角形,∴ ,故答案为: . 23关注公众号:陆陆高分冲刺 ~领取:最新版“小中高考-总复习”、最新试卷下载 . 【点睛】本题考查了等腰直角三角形的判定和性质,勾股定理,含30度的直角三角形的性质,圆周角定理, 解题的关键是添加辅助线,将最值转化为 的长. 8.(2023·陕西西安·校考二模)如图,在Rt ABC中,∠ACB=90°,∠B=30°,AB=8,D、F分别是边 AB、BC上的动点,连接CD,过点A作AE⊥CD交BC于点E,垂足为G,连接GF,则GF+ FB的最小 值为 . 【答案】 【分析】“胡不归模型”,以BF为斜边构造含30°角的直角三角形,结合∠B=30°,即把Rt ABC补成等 △ 边△ABP,过F作BP的垂线FH,根据垂线段最短得,当G、F、H成一直线时,GF+ FB最短,又根据 直角所对的弦是直径,可得点G在以AC为直径的圆上,取AC的中点O,连接OG,过点O作OQ⊥BP于 点Q,据此解题. 【详解】解:如图,延长AC到点P,使CP=AC,连接BP, 过点F作FH⊥BP于点H,取AC的中点O,连接OG,过点O作OQ⊥BP于点Q, 24关注公众号:陆陆高分冲刺 ~领取:最新版“小中高考-总复习”、最新试卷下载 ∵∠ACB=90°,∠ABC=30°,AB=8,∴AC=CP=4,AP=8,BP=AB=8,∴△ABP是等边三角形, ∴∠FBH=30°, 在Rt FHB中,FH= FB, ∴当G、F、H在同一直线上时,GF+ FB=GF+FH取得最小值, △ ∵AE⊥CD,∴∠AGC=90°,∵O为AC的中点,∴OA=OC=OG= AC, ∴A、C、G三点共圆,圆心为O,即点G在⊙O上运动,∴当点G运动到OQ上时,GF+FH取得最小值, ∵在Rt OPQ中,∠P=60°,OP=6,sinP= , △ ∴ ,∴GF+FH的最小值为 ,即GF+ FB的最小值为 ,故答案为: . 【点睛】本题考查含30°直角三角形性质,特殊角的三角函数值,垂直平分线性质,点到直线距离,圆周 角定理,最短路径,解题关键是找到点G运动到什么位置时,GH最小,联想到找出点G运动路径再计算. 9.(2023上·四川成都·九年级校考期中)如图,在矩形 中, , ,点E,F分别在边 上,且 ,沿直线 翻折,点A的对应点 恰好落在对角线 上,点B的对应点为 , 点M为线段 上一动点,则 的最小值为 . 25关注公众号:陆陆高分冲刺 ~领取:最新版“小中高考-总复习”、最新试卷下载 【答案】 / 【分析】作 于H,作 于L,首先利用勾股定理得 的长,再根据 ,求 出 的长,再利用 ,得 ,则当E、M、L三点共线时, 最小,最 小值为 的长,进而解决问题. 【详解】解:如图,作 于H,作 于L, 在矩形 中, , , , , , ∵沿直线 翻折,点A的对应点 恰好落在对角线 上,∴ , ,∴ , 又∵ ,∴ ,∴ ,∴ ,∴ ,∴ , ∵ ,∴ ,∴ ,∴ , ∴当E、M、L三点共线时, 最小,最小值为 的长, ∴ ,∴ 的最小值为 ,故答案为: . 【点睛】本题主要考查了矩形的性质,翻折的性质,相似三角形的判定与性质,勾股定理的运用,垂线段 最短等知识,熟练掌握最短路径的计算方法是解题的关键. 10.(2023·浙江宁波·九年级开学考试)如图,在平面直角坐标系中,一次函数 分别交x轴、 26关注公众号:陆陆高分冲刺 ~领取:最新版“小中高考-总复习”、最新试卷下载 y轴于A、B两点,若C为x轴上的一动点,则2BC+AC的最小值为__________. 【答案】6 【分析】先求出点A,点B坐标,由勾股定理可求AB的长,作点B关于OA的对称点 ,可证 是等 边三角形,由直角三角形的性质可得CH= AC,则 ,即当点 ,点C,点H三 点共线时, 有最小值,即2BC+AC有最小值,由直角三角形的性质可求解. 【详解】解:∵一次函数 分别交x轴、y轴于A、B两点, ∴点A(3,0),点 ,∴AO=3, ,∴ , 作点B关于OA的对称点 ,连接 , ,过点C作CH⊥AB于H,如图所示: ∴ ,∴ , ∴ ,∴ 是等边三角形, ∵ ,∴ ,∵CH⊥AB,∴ , ∴ , ∴当点 ,点C,点H三点共线时, 有最小值,即2BC+AC有最小值, 27关注公众号:陆陆高分冲刺 ~领取:最新版“小中高考-总复习”、最新试卷下载 此时, , 是等边三角形,∴ , , ∴ ,∴2BC+AC的最小值为6.故答案为:6. 【点睛】本题是胡不归问题,考查了一次函数的性质,等边三角形的判定和性质,直角三角形的性质,确 定点C的位置是解题的关键. 11.(2023·四川成都·九年级校考期中)如图,在矩形 中, ,E是 上一个动点,连接 , 过点C作 的垂线l,过点D作 交l于点F,过点D作 于点G, ,点H 是 中点,连接 ,则 的最小值为 . 【答案】 / 【分析】证明 ,得出 ,再证 ,求出 ,所以 ,即 ,可得 .作 的垂直平分线 ,交 的延 长线于点T,连接 ,过点E作 于点Q,求出 ,所以 .求 的最小值,即为求 的最小值,过点H作 于点J, 即为所求最小值.设 ,根据勾股定理可得出 ,所以 ,由 ,可求得 的长度. 【详解】解:在矩形 中, ,∴ , ∵ 于点C,∴ ,∴ . 28关注公众号:陆陆高分冲刺 ~领取:最新版“小中高考-总复习”、最新试卷下载 ∴ .同理可证 ,∴ ,∴ , ∵ ,∴ ,∴ , ∵ 于点G,∴ , ∵ ,∴ , ∴ ,即 , ∵ ,∴ ,∴ ,∴ . 如图,作 的垂直平分线 ,交 的延长线于点T,连接 ,过点E作 于点Q, ∴ ,∴ ,即 . ∴ .∴ ,∴求 的最小值,即为求 的最小值, 过点H作 于点J,HJ即为所求最小值.设 ,则 , 在 中,由勾股定理可知, ,解得 ,∴ . 如图,连接 , ,∵点H是 的中点,∴ , ∵ ,∴ , 即 ,解得 .故答案为: . 【点睛】本题考查相似三角形的性质与判定,解直角三角形,勾股定理,垂线段最短,三角形的面积等相 关知识,根据题意作出辅助线,将所求目标转化为求垂线段的长度是解题关键. 12.(2023春·广东广州·九年级校考阶段练习)如图,菱形 的边长为5,对角线 的长为 , 29关注公众号:陆陆高分冲刺 ~领取:最新版“小中高考-总复习”、最新试卷下载 为 上一动点,则 的最小值等于______. 【答案】4 【分析】由四边形 是菱形,根据已知线段长度,将 转化,再根据垂线段最短即可求解. 【详解】解:如图,连接 交 于点M,过点M作 于点H,过点A作 于点G,交 于点P, 四边形 是菱形,边长为5, , , , , , , , , , , , , ,即 , , 当A,P,G三点共线且 时, 取最小值,最小值为 , 30关注公众号:陆陆高分冲刺 ~领取:最新版“小中高考-总复习”、最新试卷下载 菱形 的面积 , , 的最小值是4.故答案为:4. 【点睛】本题考查菱形的性质,解直角三角形,以及最短路径问题,熟练掌握菱形的性质,勾股定理,菱 形的面积公式,将 转化为 是解题的关键. 13.(2023·广东珠海·校考三模) 如图,在 中, , , ,点 是斜边 上的动点,则 的最小值为 . 【答案】 【分析】根据两点之间线段最短画出图形,再根据锐角三角函数及相似三角形判定可知 ,最 后利用相似三角形的性质及直角三角形的性质即可解答. 【详解】解:过点 做 ,过点 作 于 ,过点 作 于点 , ∴ ,∴ , ∵两点之间线段最短,∴当 共线时, 的值最小,即 的最小值为 , ∵ , , ,∴ , ∵ ,∴ ,∵ ,∴ ,∴ , ∴ , ,∵ ,∴ , ∴ , , ∴ ,∴ ,故答案为 . 31关注公众号:陆陆高分冲刺 ~领取:最新版“小中高考-总复习”、最新试卷下载 【点睛】本题考查了相似三角形的判定与性质,勾股定理,锐角三角函数,掌握相似三角形的判定与性质 是解题的关键. 14.(2024·湖北黄冈·模拟预测)如图,在 中, , , ,点D是 边上 的动点,连接 ,则 的最小值为 . 【答案】 / 【分析】本题考查利用轴对称求最小值问题,涉及解直角三角形、勾股定理等知识.作点 关于 的对 称点 ,连接 ,作 ,垂足为 ,利用勾股定理求得 ,利用三角函数求得 ,将 转化为 ,当 共线时, 有最小值,最小值为 的长, 据此求解即可. 【详解】解:作点 关于 的对称点 ,连接 ,作 ,垂足为 , ∵ , , ,∴ ,∴ , ∵ ,∴ , ∵ ,∴ ,∴ , 32关注公众号:陆陆高分冲刺 ~领取:最新版“小中高考-总复习”、最新试卷下载 ∵ ,∴ ,∵点 与点 关于 对称,∴ ,∴ , 当 共线时, 有最小值,最小值为 的长. 在 中, ,∴ , ∴ ,即 的最小值为 .故答案为: . 15.(2024·天津红桥·二模)如图,在每个小正方形的边长为1的网格中,等腰直角三角形 的顶点A 在格点上, ,以 为直径的半圆与边 的交点D在网格线上. (1) 的值等于 ;(2)若P为边 上的动点,当. 取得最小值时,请用无 刻度的直尺,在如图所示的网格中,画出点P,并简要说明点P的位置是如何找到的(不要求证明) . 【答案】 作图见解析,连接 与网格线交于点 ,取 与网格线交点 ,连接 与网格 线交于点 ,连接 ,与半圆相交于点 ,连接 并延长,与 相交于点 ,点 即为所求. 【分析】(1)连接 ,根据直径所对圆周角为 ,得到 ,根据等腰三角形三线合一的性质, 得到 ,即可求解, (2)由 ,当 时, 取得最小值,即 取得最小值, 找到 中点 , 中点G, , ,根据特殊角直角三角形的性质,通过 的圆心角得 到, 的圆周角,即可求解, 本题考查了,直径所对圆周角为 ,等腰三角形三线合一的性质,三角形中位线,圆周角定理,特殊角 直角三角形,解题的关键是:将问题转化为 . 【详解】解:(1)连接 ,∵ 为直径,∴ , 33关注公众号:陆陆高分冲刺 ~领取:最新版“小中高考-总复习”、最新试卷下载 ∵等腰直角三角形 ,∴ ,∴ ,∴ ; (2)在 左侧,作 , , 则 ,当点 、 、 三点共线的时候, 取得最小值,即 取得最小值,此时 , , 则 是等边三角形,过点 作 ,交 于点 ,交 于点 ,则 为 中点, 为 中 点, ∴过 中点 ,作 的平行线,与圆交于点 , 与 的交点,即可确定点 ,用无刻度直尺作图 如下,连接 与网格线交于点 ,取 与网格线交点 ,连接 与网格线交于点 ,连接 ,与半 圆相交于点 ,连接 并延长,与 相交于点 ,点 即为所求. 16.(23-24八年级下·四川绵阳·阶段练习)如图,直线 分别交 轴, 轴于点 ,点 ,点 在 轴正半轴上,且 ,点 在直线 上,点 是 轴上的一个动点,设点P横坐标为t. (1)求直线 的函数解析式;(2)连接 , ,若 面积等于 面积的 ,求t的值; 34关注公众号:陆陆高分冲刺 ~领取:最新版“小中高考-总复习”、最新试卷下载 (3)求 的最小值. 【答案】(1) (2)10或 (3) 【分析】(1)根据题意求得 , ,推得 ,求得 ,待定系数法求直线 的函数解析式即可;(2)根据题意求得 , ,根据 面积等于 面积的 ,列 式即可求得 或 ;(3)过点 作 点 ,根据等边对等角可得 , 推得 ,根据等角对等边可得 ,根据勾股定理可得 ,推得 ,当点 、 、 三点共线时, 为 的最小值,根据等角 对等边可得 ,推得 ,根据勾股定理可得 ,即可得到 的最 小值为 . 【详解】(1)解:∵直线 分别交 轴, 轴于点 ,点 , 将 代入 ,解得 ,将 代入 ,解得 , ∴ , ,∴ , ,∵ ,∴ , 设直线 的解析式为 .将 , 代入 得 ,解得 ,∴直线 的解析式为 ; (2)解:如图: 35关注公众号:陆陆高分冲刺 ~领取:最新版“小中高考-总复习”、最新试卷下载 ∵设点 横坐标为 , ,∴ ,∵点 在直线 : 上, 将 代入 解得 ,∴ , ∵ 面积等于 面积的 ,∴ , ∴ 解得: 或 . (3)如图,过点 作 点 , 在 中,∵ ,∴ , ∴ ,∴ , 在 ,根据勾股定理得, ,∴ ; 当点 、 、 三点共线时, 为 的最小值, 在 中,∵ ,∴ , ∵ ,根据勾股定理,得 ∴ 的最小值为 . 【点睛】本题考查了求一次函数与坐标轴交点,求一次函数解析式,等腰三角形的判定和性质,勾股定理, 根据勾股定理求得最小值是解题的关键. 17.(2024·四川德阳·中考真题)如图,抛物线 与 轴交于点 和点 ,与 轴交于点 . 36关注公众号:陆陆高分冲刺 ~领取:最新版“小中高考-总复习”、最新试卷下载 (1)求抛物线的解析式;(2)当 时,求 的函数值的取值范围;(3)将拋物线的顶点向下平 移 个单位长度得到点 ,点 为抛物线的对称轴上一动点,求 的最小值. 【答案】(1) (2) (3) 的最小值为: 【分析】(1)直接利用待定系数法求解二次函数的解析式即可;(2)求解 的对称轴为直线 ,而 ,再利用二次函数的性质可得答案;(3)求解 , ,可得 , 求解直线 为 ,及 ,证明 在直线 上,如图,过 作 于 ,连接 , 过 作 于 ,可得 , ,证明 ,可得 , 可得 ,再进一步求解即可. 【详解】(1)解:∵抛物线 与 轴交于点 ,∴ ,解得: , ∴抛物线的解析式为: ; (2)解:∵ 的对称轴为直线 ,而 ,∴函数最小值为: , 当 时, ,当 时, ,∴函数值的范围为: ; 37关注公众号:陆陆高分冲刺 ~领取:最新版“小中高考-总复习”、最新试卷下载 (3)解:∵ ,当 时, ,∴ , 当 时,解得: , ,∴ ,∴ , 设直线 为 ,∴ ,∴ ,∴直线 为 , ∵拋物线的顶点向下平移 个单位长度得到点 ,而顶点为 ,∴ ,∴ 在直线 上, 如图,过 作 于 ,连接 ,过 作 于 , ∵ , ,∴ , , ∵对称轴与 轴平行,∴ ,∴ ,∴ , 由抛物线的对称性可得: , , ∴ ,当 三点共线时取等号, ∴ ,∴ ,∴ , 即 的最小值为: . 【点睛】本题考查的是利用待定系数法求解二次函数的解析式,二次函数的性质,利用轴对称的性质求解 线段和的最小值,锐角三角函数的应用,做出合适的辅助线是解本题的关键. 18.(2023·山东济南·统考二模)如图①,在矩形OABC中,OA=4,OC=3,分别以OC、OA所在的直线 为x轴、y轴,建立如图所示的坐标系,连接OB,反比例函数y= (x>0)的图象经过线段OB的中点D, 并与矩形的两边交于点E和点F,直线l:y=kx+b经过点E和点F. (1)写出中点D的坐标 ,并求出反比例函数的解析式;(2)连接OE、OF,求△OEF的面积; (3)如图②,将线段OB绕点O顺时针旋转一定角度,使得点B的对应点H恰好落在x轴的正半轴上,连 38关注公众号:陆陆高分冲刺 ~领取:最新版“小中高考-总复习”、最新试卷下载 接BH,作OM⊥BH,点N为线段OM上的一个动点,求HN+ ON的最小值. 【答案】(1)D( ,2),y= ;(2) ;(3)4. 【分析】(1)首先确定点B坐标,再根据中点坐标公式求出点D的坐标即可解决问题. (2)求出点E,F的坐标,再根据S OEF=S ABCO﹣S AOE﹣S OCF﹣S EFB计算即可. 矩形 △ △ △ △ (3)如图②中,作NJ⊥BD于J.HK⊥BD于K.解直角三角形首先证明:sin∠JOD= ,推出NJ= ON•sin∠NOD= ON,推出NH+ ON=NH+NJ,根据垂线段最短可知,当J,N,H共线,且与HK 重合时,HN+ ON的值最小,最小值=HK的长,由此即可解决问题. 【详解】(1)在矩形ABCO中,∵OA=BC=4,OC=AB=3,∴B(3,4). ∵OD=DB,∴D( ,2).∵y= 经过D( ,2),∴k=3,∴反比例函数的解析式为y= . (2)如图①中,连接OE,OF.由题意E( ,4),F(3,1), 39关注公众号:陆陆高分冲刺 ~领取:最新版“小中高考-总复习”、最新试卷下载 ∴S OEF=S ABCO﹣S AOE﹣S OCF﹣S EFB=12﹣ ×4× ﹣ ×3×1﹣ ×3×(3﹣ )= . 矩形 △ △ △ △ (3)如图②中,作NJ⊥BD于J.HK⊥BD于K.由题意OB=OH=5,∴CH=OH﹣OC=5﹣3=2, ∴BH= =2 ,∴sin∠CBH= = .∵OM⊥BH,∴∠OMH=∠BCH=90°. ∵∠MOH+∠OHM=90°,∠CBH+∠CHB=90°,∴∠MOH=∠CBH. ∵OB=OH,OM⊥BH,∴∠MOB=∠MOH=∠CBH, ∴sin∠JOD= ,∴NJ=ON•sin∠NOD= ON,∴NH+ ON=NH+NJ, 根据垂线段最短可知,当J,N,H共线,且与HK重合时,HN+ ON的值最小,最小值=HK的长. ∵OB=OH,BC⊥OH,HK⊥OB,∴HK=BC=4,∴HN+ ON是最小值为4. 【点睛】本题属于反比例函数综合题,考查了反比例函数的性质,矩形的性质,解直角三角形,三角形的 面积,最短问题等知识,解题的关键是熟练掌握基本知识,学会用转化的思想思考问题,属于中考压轴题. 19.(2023·吉林长春·统考一模)(1)【问题原型】如图①,在 , , ,求点 到 的距离. (2)【问题延伸】如图②,在 , , .若点 在边 上,点 在线段 上, 连结 ,过点 作 于 ,则 的最小值为______. (3)【问题拓展】如图(3),在矩形 中, .点 在边 上,点 在边 上,点 在 线段 上,连结 .若 ,则 的最小值为______. 【答案】(1) ;(2) ;(3) 【分析】(1)过点 作 于 ,过点 作 于 ,根据等腰三角形的性质可得 40关注公众号:陆陆高分冲刺 ~领取:最新版“小中高考-总复习”、最新试卷下载 ,再由勾股定理可得 的长,再由 ,即可求解; (2)连接 ,过点 作 于 ,过点 作 于 .根据题意可得 的最小值等于 的长,再由当 时, 的长最小,可得 的最小值等于 的长,再根据等腰三角形的 性质可得 ,再由勾股定理可得 的长,再由 ,即可求解; (3)过点F作 于点H,连接 ,过点E作 于点G,根据直角三角形的性质可得在 ,从而得到 ,继而得到 的最小值等于 , 再由当 时, 的长最小,即 的长最小,可得 的最小值等于 ,即可求解. 【详解】解:(1)如图,过点 作 于 ,过点 作 于 . ∵ ,∴ .在 中, . ∵ ,∴ .∴点 到 的距离为 . (2)如图,连接 ,过点 作 于 ,过点 作 于 . ∵ ,∴ 的最小值等于 的长, ∵当 时, 的长最小,此时点Q与点H重合, ∴ 的最小值等于 的长,∵ ,∴ . 在 中, . ∵ ,∴ . 即 的最小值为 ;故答案为: 41关注公众号:陆陆高分冲刺 ~领取:最新版“小中高考-总复习”、最新试卷下载 (3)如图,过点F作 于点H,连接 ,过点E作 于点G, 在 中, ,∴ , ∴ ,∴ 的最小值等于 , ∵当 时, 的长最小,即 的长最小,此时点H与点G重合, ∴ 的最小值等于 , ∵四边形 是矩形,∴ , ∴ ,∴ ,即 的最小值等于 . 【点睛】本题主要考查了等腰三角形的性质,勾股定理,矩形的性质,直角三角形的性质,熟练掌握等腰 三角形的性质,勾股定理,矩形的性质,直角三角形的性质是解题的关键. 42关注公众号:陆陆高分冲刺 ~领取:最新版“小中高考-总复习”、最新试卷下载 43
基本 文件 流程 错误 SQL 调试
  1. 请求信息 : 2026-03-01 10:01:50 HTTP/1.1 GET : https://www.yeyulingfeng.com/wendang/330032.html
  2. 运行时间 : 0.097225s [ 吞吐率:10.29req/s ] 内存消耗:6,133.21kb 文件加载:144
  3. 缓存信息 : 0 reads,0 writes
  4. 会话信息 : SESSION_ID=7b880762031e5c19d6c124726a54c183
  1. /yingpanguazai/ssd/ssd1/www/wwww.yeyulingfeng.com/public/index.php ( 0.79 KB )
  2. /yingpanguazai/ssd/ssd1/www/wwww.yeyulingfeng.com/vendor/autoload.php ( 0.17 KB )
  3. /yingpanguazai/ssd/ssd1/www/wwww.yeyulingfeng.com/vendor/composer/autoload_real.php ( 2.49 KB )
  4. /yingpanguazai/ssd/ssd1/www/wwww.yeyulingfeng.com/vendor/composer/platform_check.php ( 0.90 KB )
  5. /yingpanguazai/ssd/ssd1/www/wwww.yeyulingfeng.com/vendor/composer/ClassLoader.php ( 14.03 KB )
  6. /yingpanguazai/ssd/ssd1/www/wwww.yeyulingfeng.com/vendor/composer/autoload_static.php ( 6.05 KB )
  7. /yingpanguazai/ssd/ssd1/www/wwww.yeyulingfeng.com/vendor/topthink/think-helper/src/helper.php ( 8.34 KB )
  8. /yingpanguazai/ssd/ssd1/www/wwww.yeyulingfeng.com/vendor/topthink/think-validate/src/helper.php ( 2.19 KB )
  9. /yingpanguazai/ssd/ssd1/www/wwww.yeyulingfeng.com/vendor/ralouphie/getallheaders/src/getallheaders.php ( 1.60 KB )
  10. /yingpanguazai/ssd/ssd1/www/wwww.yeyulingfeng.com/vendor/topthink/think-orm/src/helper.php ( 1.47 KB )
  11. /yingpanguazai/ssd/ssd1/www/wwww.yeyulingfeng.com/vendor/topthink/think-orm/stubs/load_stubs.php ( 0.16 KB )
  12. /yingpanguazai/ssd/ssd1/www/wwww.yeyulingfeng.com/vendor/topthink/framework/src/think/Exception.php ( 1.69 KB )
  13. /yingpanguazai/ssd/ssd1/www/wwww.yeyulingfeng.com/vendor/topthink/think-container/src/Facade.php ( 2.71 KB )
  14. /yingpanguazai/ssd/ssd1/www/wwww.yeyulingfeng.com/vendor/symfony/deprecation-contracts/function.php ( 0.99 KB )
  15. /yingpanguazai/ssd/ssd1/www/wwww.yeyulingfeng.com/vendor/symfony/polyfill-mbstring/bootstrap.php ( 8.26 KB )
  16. /yingpanguazai/ssd/ssd1/www/wwww.yeyulingfeng.com/vendor/symfony/polyfill-mbstring/bootstrap80.php ( 9.78 KB )
  17. /yingpanguazai/ssd/ssd1/www/wwww.yeyulingfeng.com/vendor/symfony/var-dumper/Resources/functions/dump.php ( 1.49 KB )
  18. /yingpanguazai/ssd/ssd1/www/wwww.yeyulingfeng.com/vendor/topthink/think-dumper/src/helper.php ( 0.18 KB )
  19. /yingpanguazai/ssd/ssd1/www/wwww.yeyulingfeng.com/vendor/symfony/var-dumper/VarDumper.php ( 4.30 KB )
  20. /yingpanguazai/ssd/ssd1/www/wwww.yeyulingfeng.com/vendor/guzzlehttp/guzzle/src/functions_include.php ( 0.16 KB )
  21. /yingpanguazai/ssd/ssd1/www/wwww.yeyulingfeng.com/vendor/guzzlehttp/guzzle/src/functions.php ( 5.54 KB )
  22. /yingpanguazai/ssd/ssd1/www/wwww.yeyulingfeng.com/vendor/topthink/framework/src/think/App.php ( 15.30 KB )
  23. /yingpanguazai/ssd/ssd1/www/wwww.yeyulingfeng.com/vendor/topthink/think-container/src/Container.php ( 15.76 KB )
  24. /yingpanguazai/ssd/ssd1/www/wwww.yeyulingfeng.com/vendor/psr/container/src/ContainerInterface.php ( 1.02 KB )
  25. /yingpanguazai/ssd/ssd1/www/wwww.yeyulingfeng.com/app/provider.php ( 0.19 KB )
  26. /yingpanguazai/ssd/ssd1/www/wwww.yeyulingfeng.com/vendor/topthink/framework/src/think/Http.php ( 6.04 KB )
  27. /yingpanguazai/ssd/ssd1/www/wwww.yeyulingfeng.com/vendor/topthink/think-helper/src/helper/Str.php ( 7.29 KB )
  28. /yingpanguazai/ssd/ssd1/www/wwww.yeyulingfeng.com/vendor/topthink/framework/src/think/Env.php ( 4.68 KB )
  29. /yingpanguazai/ssd/ssd1/www/wwww.yeyulingfeng.com/app/common.php ( 0.03 KB )
  30. /yingpanguazai/ssd/ssd1/www/wwww.yeyulingfeng.com/vendor/topthink/framework/src/helper.php ( 18.78 KB )
  31. /yingpanguazai/ssd/ssd1/www/wwww.yeyulingfeng.com/vendor/topthink/framework/src/think/Config.php ( 5.54 KB )
  32. /yingpanguazai/ssd/ssd1/www/wwww.yeyulingfeng.com/config/alipay.php ( 3.59 KB )
  33. /yingpanguazai/ssd/ssd1/www/wwww.yeyulingfeng.com/vendor/topthink/framework/src/think/facade/Env.php ( 1.67 KB )
  34. /yingpanguazai/ssd/ssd1/www/wwww.yeyulingfeng.com/config/app.php ( 0.95 KB )
  35. /yingpanguazai/ssd/ssd1/www/wwww.yeyulingfeng.com/config/cache.php ( 0.78 KB )
  36. /yingpanguazai/ssd/ssd1/www/wwww.yeyulingfeng.com/config/console.php ( 0.23 KB )
  37. /yingpanguazai/ssd/ssd1/www/wwww.yeyulingfeng.com/config/cookie.php ( 0.56 KB )
  38. /yingpanguazai/ssd/ssd1/www/wwww.yeyulingfeng.com/config/database.php ( 2.48 KB )
  39. /yingpanguazai/ssd/ssd1/www/wwww.yeyulingfeng.com/config/filesystem.php ( 0.61 KB )
  40. /yingpanguazai/ssd/ssd1/www/wwww.yeyulingfeng.com/config/lang.php ( 0.91 KB )
  41. /yingpanguazai/ssd/ssd1/www/wwww.yeyulingfeng.com/config/log.php ( 1.35 KB )
  42. /yingpanguazai/ssd/ssd1/www/wwww.yeyulingfeng.com/config/middleware.php ( 0.19 KB )
  43. /yingpanguazai/ssd/ssd1/www/wwww.yeyulingfeng.com/config/route.php ( 1.89 KB )
  44. /yingpanguazai/ssd/ssd1/www/wwww.yeyulingfeng.com/config/session.php ( 0.57 KB )
  45. /yingpanguazai/ssd/ssd1/www/wwww.yeyulingfeng.com/config/trace.php ( 0.34 KB )
  46. /yingpanguazai/ssd/ssd1/www/wwww.yeyulingfeng.com/config/view.php ( 0.82 KB )
  47. /yingpanguazai/ssd/ssd1/www/wwww.yeyulingfeng.com/app/event.php ( 0.25 KB )
  48. /yingpanguazai/ssd/ssd1/www/wwww.yeyulingfeng.com/vendor/topthink/framework/src/think/Event.php ( 7.67 KB )
  49. /yingpanguazai/ssd/ssd1/www/wwww.yeyulingfeng.com/app/service.php ( 0.13 KB )
  50. /yingpanguazai/ssd/ssd1/www/wwww.yeyulingfeng.com/app/AppService.php ( 0.26 KB )
  51. /yingpanguazai/ssd/ssd1/www/wwww.yeyulingfeng.com/vendor/topthink/framework/src/think/Service.php ( 1.64 KB )
  52. /yingpanguazai/ssd/ssd1/www/wwww.yeyulingfeng.com/vendor/topthink/framework/src/think/Lang.php ( 7.35 KB )
  53. /yingpanguazai/ssd/ssd1/www/wwww.yeyulingfeng.com/vendor/topthink/framework/src/lang/zh-cn.php ( 13.70 KB )
  54. /yingpanguazai/ssd/ssd1/www/wwww.yeyulingfeng.com/vendor/topthink/framework/src/think/initializer/Error.php ( 3.31 KB )
  55. /yingpanguazai/ssd/ssd1/www/wwww.yeyulingfeng.com/vendor/topthink/framework/src/think/initializer/RegisterService.php ( 1.33 KB )
  56. /yingpanguazai/ssd/ssd1/www/wwww.yeyulingfeng.com/vendor/services.php ( 0.14 KB )
  57. /yingpanguazai/ssd/ssd1/www/wwww.yeyulingfeng.com/vendor/topthink/framework/src/think/service/PaginatorService.php ( 1.52 KB )
  58. /yingpanguazai/ssd/ssd1/www/wwww.yeyulingfeng.com/vendor/topthink/framework/src/think/service/ValidateService.php ( 0.99 KB )
  59. /yingpanguazai/ssd/ssd1/www/wwww.yeyulingfeng.com/vendor/topthink/framework/src/think/service/ModelService.php ( 2.04 KB )
  60. /yingpanguazai/ssd/ssd1/www/wwww.yeyulingfeng.com/vendor/topthink/think-trace/src/Service.php ( 0.77 KB )
  61. /yingpanguazai/ssd/ssd1/www/wwww.yeyulingfeng.com/vendor/topthink/framework/src/think/Middleware.php ( 6.72 KB )
  62. /yingpanguazai/ssd/ssd1/www/wwww.yeyulingfeng.com/vendor/topthink/framework/src/think/initializer/BootService.php ( 0.77 KB )
  63. /yingpanguazai/ssd/ssd1/www/wwww.yeyulingfeng.com/vendor/topthink/think-orm/src/Paginator.php ( 11.86 KB )
  64. /yingpanguazai/ssd/ssd1/www/wwww.yeyulingfeng.com/vendor/topthink/think-validate/src/Validate.php ( 63.20 KB )
  65. /yingpanguazai/ssd/ssd1/www/wwww.yeyulingfeng.com/vendor/topthink/think-orm/src/Model.php ( 23.55 KB )
  66. /yingpanguazai/ssd/ssd1/www/wwww.yeyulingfeng.com/vendor/topthink/think-orm/src/model/concern/Attribute.php ( 21.05 KB )
  67. /yingpanguazai/ssd/ssd1/www/wwww.yeyulingfeng.com/vendor/topthink/think-orm/src/model/concern/AutoWriteData.php ( 4.21 KB )
  68. /yingpanguazai/ssd/ssd1/www/wwww.yeyulingfeng.com/vendor/topthink/think-orm/src/model/concern/Conversion.php ( 6.44 KB )
  69. /yingpanguazai/ssd/ssd1/www/wwww.yeyulingfeng.com/vendor/topthink/think-orm/src/model/concern/DbConnect.php ( 5.16 KB )
  70. /yingpanguazai/ssd/ssd1/www/wwww.yeyulingfeng.com/vendor/topthink/think-orm/src/model/concern/ModelEvent.php ( 2.33 KB )
  71. /yingpanguazai/ssd/ssd1/www/wwww.yeyulingfeng.com/vendor/topthink/think-orm/src/model/concern/RelationShip.php ( 28.29 KB )
  72. /yingpanguazai/ssd/ssd1/www/wwww.yeyulingfeng.com/vendor/topthink/think-helper/src/contract/Arrayable.php ( 0.09 KB )
  73. /yingpanguazai/ssd/ssd1/www/wwww.yeyulingfeng.com/vendor/topthink/think-helper/src/contract/Jsonable.php ( 0.13 KB )
  74. /yingpanguazai/ssd/ssd1/www/wwww.yeyulingfeng.com/vendor/topthink/think-orm/src/model/contract/Modelable.php ( 0.09 KB )
  75. /yingpanguazai/ssd/ssd1/www/wwww.yeyulingfeng.com/vendor/topthink/framework/src/think/Db.php ( 2.88 KB )
  76. /yingpanguazai/ssd/ssd1/www/wwww.yeyulingfeng.com/vendor/topthink/think-orm/src/DbManager.php ( 8.52 KB )
  77. /yingpanguazai/ssd/ssd1/www/wwww.yeyulingfeng.com/vendor/topthink/framework/src/think/Log.php ( 6.28 KB )
  78. /yingpanguazai/ssd/ssd1/www/wwww.yeyulingfeng.com/vendor/topthink/framework/src/think/Manager.php ( 3.92 KB )
  79. /yingpanguazai/ssd/ssd1/www/wwww.yeyulingfeng.com/vendor/psr/log/src/LoggerTrait.php ( 2.69 KB )
  80. /yingpanguazai/ssd/ssd1/www/wwww.yeyulingfeng.com/vendor/psr/log/src/LoggerInterface.php ( 2.71 KB )
  81. /yingpanguazai/ssd/ssd1/www/wwww.yeyulingfeng.com/vendor/topthink/framework/src/think/Cache.php ( 4.92 KB )
  82. /yingpanguazai/ssd/ssd1/www/wwww.yeyulingfeng.com/vendor/psr/simple-cache/src/CacheInterface.php ( 4.71 KB )
  83. /yingpanguazai/ssd/ssd1/www/wwww.yeyulingfeng.com/vendor/topthink/think-helper/src/helper/Arr.php ( 16.63 KB )
  84. /yingpanguazai/ssd/ssd1/www/wwww.yeyulingfeng.com/vendor/topthink/framework/src/think/cache/driver/File.php ( 7.84 KB )
  85. /yingpanguazai/ssd/ssd1/www/wwww.yeyulingfeng.com/vendor/topthink/framework/src/think/cache/Driver.php ( 9.03 KB )
  86. /yingpanguazai/ssd/ssd1/www/wwww.yeyulingfeng.com/vendor/topthink/framework/src/think/contract/CacheHandlerInterface.php ( 1.99 KB )
  87. /yingpanguazai/ssd/ssd1/www/wwww.yeyulingfeng.com/app/Request.php ( 0.09 KB )
  88. /yingpanguazai/ssd/ssd1/www/wwww.yeyulingfeng.com/vendor/topthink/framework/src/think/Request.php ( 55.78 KB )
  89. /yingpanguazai/ssd/ssd1/www/wwww.yeyulingfeng.com/app/middleware.php ( 0.25 KB )
  90. /yingpanguazai/ssd/ssd1/www/wwww.yeyulingfeng.com/vendor/topthink/framework/src/think/Pipeline.php ( 2.61 KB )
  91. /yingpanguazai/ssd/ssd1/www/wwww.yeyulingfeng.com/vendor/topthink/think-trace/src/TraceDebug.php ( 3.40 KB )
  92. /yingpanguazai/ssd/ssd1/www/wwww.yeyulingfeng.com/vendor/topthink/framework/src/think/middleware/SessionInit.php ( 1.94 KB )
  93. /yingpanguazai/ssd/ssd1/www/wwww.yeyulingfeng.com/vendor/topthink/framework/src/think/Session.php ( 1.80 KB )
  94. /yingpanguazai/ssd/ssd1/www/wwww.yeyulingfeng.com/vendor/topthink/framework/src/think/session/driver/File.php ( 6.27 KB )
  95. /yingpanguazai/ssd/ssd1/www/wwww.yeyulingfeng.com/vendor/topthink/framework/src/think/contract/SessionHandlerInterface.php ( 0.87 KB )
  96. /yingpanguazai/ssd/ssd1/www/wwww.yeyulingfeng.com/vendor/topthink/framework/src/think/session/Store.php ( 7.12 KB )
  97. /yingpanguazai/ssd/ssd1/www/wwww.yeyulingfeng.com/vendor/topthink/framework/src/think/Route.php ( 23.73 KB )
  98. /yingpanguazai/ssd/ssd1/www/wwww.yeyulingfeng.com/vendor/topthink/framework/src/think/route/RuleName.php ( 5.75 KB )
  99. /yingpanguazai/ssd/ssd1/www/wwww.yeyulingfeng.com/vendor/topthink/framework/src/think/route/Domain.php ( 2.53 KB )
  100. /yingpanguazai/ssd/ssd1/www/wwww.yeyulingfeng.com/vendor/topthink/framework/src/think/route/RuleGroup.php ( 22.43 KB )
  101. /yingpanguazai/ssd/ssd1/www/wwww.yeyulingfeng.com/vendor/topthink/framework/src/think/route/Rule.php ( 26.95 KB )
  102. /yingpanguazai/ssd/ssd1/www/wwww.yeyulingfeng.com/vendor/topthink/framework/src/think/route/RuleItem.php ( 9.78 KB )
  103. /yingpanguazai/ssd/ssd1/www/wwww.yeyulingfeng.com/route/app.php ( 3.52 KB )
  104. /yingpanguazai/ssd/ssd1/www/wwww.yeyulingfeng.com/vendor/topthink/framework/src/think/facade/Route.php ( 4.70 KB )
  105. /yingpanguazai/ssd/ssd1/www/wwww.yeyulingfeng.com/vendor/topthink/framework/src/think/route/dispatch/Controller.php ( 4.74 KB )
  106. /yingpanguazai/ssd/ssd1/www/wwww.yeyulingfeng.com/vendor/topthink/framework/src/think/route/Dispatch.php ( 10.44 KB )
  107. /yingpanguazai/ssd/ssd1/www/wwww.yeyulingfeng.com/app/controller/Index.php ( 10.53 KB )
  108. /yingpanguazai/ssd/ssd1/www/wwww.yeyulingfeng.com/app/BaseController.php ( 2.05 KB )
  109. /yingpanguazai/ssd/ssd1/www/wwww.yeyulingfeng.com/vendor/topthink/think-orm/src/facade/Db.php ( 0.93 KB )
  110. /yingpanguazai/ssd/ssd1/www/wwww.yeyulingfeng.com/vendor/topthink/think-orm/src/db/connector/Mysql.php ( 5.44 KB )
  111. /yingpanguazai/ssd/ssd1/www/wwww.yeyulingfeng.com/vendor/topthink/think-orm/src/db/PDOConnection.php ( 52.47 KB )
  112. /yingpanguazai/ssd/ssd1/www/wwww.yeyulingfeng.com/vendor/topthink/think-orm/src/db/Connection.php ( 8.39 KB )
  113. /yingpanguazai/ssd/ssd1/www/wwww.yeyulingfeng.com/vendor/topthink/think-orm/src/db/ConnectionInterface.php ( 4.57 KB )
  114. /yingpanguazai/ssd/ssd1/www/wwww.yeyulingfeng.com/vendor/topthink/think-orm/src/db/builder/Mysql.php ( 16.58 KB )
  115. /yingpanguazai/ssd/ssd1/www/wwww.yeyulingfeng.com/vendor/topthink/think-orm/src/db/Builder.php ( 24.06 KB )
  116. /yingpanguazai/ssd/ssd1/www/wwww.yeyulingfeng.com/vendor/topthink/think-orm/src/db/BaseBuilder.php ( 27.50 KB )
  117. /yingpanguazai/ssd/ssd1/www/wwww.yeyulingfeng.com/vendor/topthink/think-orm/src/db/Query.php ( 15.71 KB )
  118. /yingpanguazai/ssd/ssd1/www/wwww.yeyulingfeng.com/vendor/topthink/think-orm/src/db/BaseQuery.php ( 45.13 KB )
  119. /yingpanguazai/ssd/ssd1/www/wwww.yeyulingfeng.com/vendor/topthink/think-orm/src/db/concern/TimeFieldQuery.php ( 7.43 KB )
  120. /yingpanguazai/ssd/ssd1/www/wwww.yeyulingfeng.com/vendor/topthink/think-orm/src/db/concern/AggregateQuery.php ( 3.26 KB )
  121. /yingpanguazai/ssd/ssd1/www/wwww.yeyulingfeng.com/vendor/topthink/think-orm/src/db/concern/ModelRelationQuery.php ( 20.07 KB )
  122. /yingpanguazai/ssd/ssd1/www/wwww.yeyulingfeng.com/vendor/topthink/think-orm/src/db/concern/ParamsBind.php ( 3.66 KB )
  123. /yingpanguazai/ssd/ssd1/www/wwww.yeyulingfeng.com/vendor/topthink/think-orm/src/db/concern/ResultOperation.php ( 7.01 KB )
  124. /yingpanguazai/ssd/ssd1/www/wwww.yeyulingfeng.com/vendor/topthink/think-orm/src/db/concern/WhereQuery.php ( 19.37 KB )
  125. /yingpanguazai/ssd/ssd1/www/wwww.yeyulingfeng.com/vendor/topthink/think-orm/src/db/concern/JoinAndViewQuery.php ( 7.11 KB )
  126. /yingpanguazai/ssd/ssd1/www/wwww.yeyulingfeng.com/vendor/topthink/think-orm/src/db/concern/TableFieldInfo.php ( 2.63 KB )
  127. /yingpanguazai/ssd/ssd1/www/wwww.yeyulingfeng.com/vendor/topthink/think-orm/src/db/concern/Transaction.php ( 2.77 KB )
  128. /yingpanguazai/ssd/ssd1/www/wwww.yeyulingfeng.com/vendor/topthink/framework/src/think/log/driver/File.php ( 5.96 KB )
  129. /yingpanguazai/ssd/ssd1/www/wwww.yeyulingfeng.com/vendor/topthink/framework/src/think/contract/LogHandlerInterface.php ( 0.86 KB )
  130. /yingpanguazai/ssd/ssd1/www/wwww.yeyulingfeng.com/vendor/topthink/framework/src/think/log/Channel.php ( 3.89 KB )
  131. /yingpanguazai/ssd/ssd1/www/wwww.yeyulingfeng.com/vendor/topthink/framework/src/think/event/LogRecord.php ( 1.02 KB )
  132. /yingpanguazai/ssd/ssd1/www/wwww.yeyulingfeng.com/vendor/topthink/think-helper/src/Collection.php ( 16.47 KB )
  133. /yingpanguazai/ssd/ssd1/www/wwww.yeyulingfeng.com/vendor/topthink/framework/src/think/facade/View.php ( 1.70 KB )
  134. /yingpanguazai/ssd/ssd1/www/wwww.yeyulingfeng.com/vendor/topthink/framework/src/think/View.php ( 4.39 KB )
  135. /yingpanguazai/ssd/ssd1/www/wwww.yeyulingfeng.com/vendor/topthink/framework/src/think/Response.php ( 8.81 KB )
  136. /yingpanguazai/ssd/ssd1/www/wwww.yeyulingfeng.com/vendor/topthink/framework/src/think/response/View.php ( 3.29 KB )
  137. /yingpanguazai/ssd/ssd1/www/wwww.yeyulingfeng.com/vendor/topthink/framework/src/think/Cookie.php ( 6.06 KB )
  138. /yingpanguazai/ssd/ssd1/www/wwww.yeyulingfeng.com/vendor/topthink/think-view/src/Think.php ( 8.38 KB )
  139. /yingpanguazai/ssd/ssd1/www/wwww.yeyulingfeng.com/vendor/topthink/framework/src/think/contract/TemplateHandlerInterface.php ( 1.60 KB )
  140. /yingpanguazai/ssd/ssd1/www/wwww.yeyulingfeng.com/vendor/topthink/think-template/src/Template.php ( 46.61 KB )
  141. /yingpanguazai/ssd/ssd1/www/wwww.yeyulingfeng.com/vendor/topthink/think-template/src/template/driver/File.php ( 2.41 KB )
  142. /yingpanguazai/ssd/ssd1/www/wwww.yeyulingfeng.com/vendor/topthink/think-template/src/template/contract/DriverInterface.php ( 0.86 KB )
  143. /yingpanguazai/ssd/ssd1/www/wwww.yeyulingfeng.com/runtime/temp/10a0c909b6afa23b5a52a2e2d58c3c0f.php ( 21.70 KB )
  144. /yingpanguazai/ssd/ssd1/www/wwww.yeyulingfeng.com/vendor/topthink/think-trace/src/Html.php ( 4.42 KB )
  1. CONNECT:[ UseTime:0.000560s ] mysql:host=127.0.0.1;port=3306;dbname=wenku;charset=utf8mb4
  2. SHOW FULL COLUMNS FROM `fenlei` [ RunTime:0.000980s ]
  3. SELECT * FROM `fenlei` WHERE `fid` = 0 [ RunTime:0.000332s ]
  4. SELECT * FROM `fenlei` WHERE `fid` = 63 [ RunTime:0.000282s ]
  5. SHOW FULL COLUMNS FROM `set` [ RunTime:0.000722s ]
  6. SELECT * FROM `set` [ RunTime:0.000260s ]
  7. SHOW FULL COLUMNS FROM `wendang` [ RunTime:0.000757s ]
  8. SELECT * FROM `wendang` WHERE `id` = 330032 LIMIT 1 [ RunTime:0.000636s ]
  9. UPDATE `wendang` SET `liulancishu` = 3 WHERE `id` = 330032 [ RunTime:0.001407s ]
  10. UPDATE `wendang` SET `lasttime` = 1772330510 WHERE `id` = 330032 [ RunTime:0.000576s ]
  11. SELECT * FROM `wendang` WHERE `id` < 330032 ORDER BY `id` DESC LIMIT 1 [ RunTime:0.000560s ]
  12. SELECT * FROM `wendang` WHERE `id` > 330032 ORDER BY `id` ASC LIMIT 1 [ RunTime:0.000483s ]
  13. SELECT * FROM `wendang` WHERE `id` <> 330032 ORDER BY `id` DESC LIMIT 10 [ RunTime:0.003193s ]
  14. SELECT * FROM `wendang` WHERE `id` <> 330032 ORDER BY `id` DESC LIMIT 10,10 [ RunTime:0.001802s ]
  15. SELECT * FROM `wendang` WHERE `id` <> 330032 ORDER BY `id` DESC LIMIT 20,10 [ RunTime:0.001872s ]
0.098936s