当前位置:首页>文档>2009年江苏省高考政治试卷_全国卷+地方卷_9.政治_1.政治高考真题试卷_2008-2020年_地方卷_江苏高考政治08-20_A4word版_PDF版(赠送)

2009年江苏省高考政治试卷_全国卷+地方卷_9.政治_1.政治高考真题试卷_2008-2020年_地方卷_江苏高考政治08-20_A4word版_PDF版(赠送)

  • 2026-03-04 19:13:20 2026-03-04 19:13:20

文档预览

2009年江苏省高考政治试卷_全国卷+地方卷_9.政治_1.政治高考真题试卷_2008-2020年_地方卷_江苏高考政治08-20_A4word版_PDF版(赠送)
2009年江苏省高考政治试卷_全国卷+地方卷_9.政治_1.政治高考真题试卷_2008-2020年_地方卷_江苏高考政治08-20_A4word版_PDF版(赠送)
2009年江苏省高考政治试卷_全国卷+地方卷_9.政治_1.政治高考真题试卷_2008-2020年_地方卷_江苏高考政治08-20_A4word版_PDF版(赠送)
2009年江苏省高考政治试卷_全国卷+地方卷_9.政治_1.政治高考真题试卷_2008-2020年_地方卷_江苏高考政治08-20_A4word版_PDF版(赠送)
2009年江苏省高考政治试卷_全国卷+地方卷_9.政治_1.政治高考真题试卷_2008-2020年_地方卷_江苏高考政治08-20_A4word版_PDF版(赠送)
2009年江苏省高考政治试卷_全国卷+地方卷_9.政治_1.政治高考真题试卷_2008-2020年_地方卷_江苏高考政治08-20_A4word版_PDF版(赠送)
2009年江苏省高考政治试卷_全国卷+地方卷_9.政治_1.政治高考真题试卷_2008-2020年_地方卷_江苏高考政治08-20_A4word版_PDF版(赠送)
2009年江苏省高考政治试卷_全国卷+地方卷_9.政治_1.政治高考真题试卷_2008-2020年_地方卷_江苏高考政治08-20_A4word版_PDF版(赠送)
2009年江苏省高考政治试卷_全国卷+地方卷_9.政治_1.政治高考真题试卷_2008-2020年_地方卷_江苏高考政治08-20_A4word版_PDF版(赠送)

文档信息

文档格式
pdf
文档大小
0.699 MB
文档页数
9 页
上传时间
2026-03-04 19:13:20

文档内容

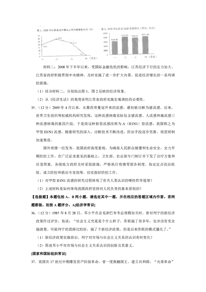
2009 年江苏省高考政治试卷 一、单项选择题:本大题共 32小题,每小题 2分,共计 66分.在每题给出的四个选项 中,只有一个选项是最符合题意的. 1.(2分)2008年10月9日至l2日,中国共产党第十七届中央委员会第三次全体会议在 北京举行。全会审议通过了《中共中央关于 若干重大问题的决定》.( ) A.推进农村改革发展 B.促进农业稳定发展 C.推进农村经济发展 D.促进农民持续增收 2.(2分)素有“经济宪法”之称的《中华人民共和国 》自2008年8月1日起 施行,这是我国市场经济法制建设走向完善过程中迈出的重要步伐。( ) A.物权法 B.公司法 C.反垄断法 D.企业所得税法 3.(2分)2008年12月15日,备受海内外瞩目的两岸空运直航、海运直航及 正式启 动,两岸“三通”迈出历史性的步伐。( ) A.直接通商 B.直接通邮 C.直接通信 D.大陆居民赴台旅游 4.(2分)2008年12月26日,我国海军舰艇编队从海南三亚起航,赴 、 执 行护航任务。这是我国首次使用军事力量赴海外维护国家战略利益,也是我军首次组织 海上作战力量赴海外履行国际人道主义义务。( ) A.马六甲海峡 波斯湾 B.亚丁湾 索马里海域 C.马六甲海峡 亚丁湾 D.波斯湾 索马里海域 5.(2分)2009年3月28日,西藏自治区隆重集会,纪念第一个“西藏 纪念日”。 ( ) A.和平解放 B.民主改革 C.百万农奴解放 D.百万农奴翻身 6.(2分)2008年11月15日,20国集团峰会在美国首都华盛顿召开。会议就应对当前世 界面临的 问题的措施达成行动计划。( ) A.经济和环境 B.环境和能源 C.能源和金融 D.金融和经济 7.(2分)假定原先1台电脑与8部手机的价值量相等,现在生产电脑的社会劳动生产率 提高一倍,而生产手机的社会必要劳动时间缩短到原来的一半,其他条件不变,则现在1台电脑与( )部手机的价值量相等。 A.2 B.4 C.8 D.16 8.(2分)随着我国城乡居民人均可支配收入的增加,一直被视为高档耐用消费品的轿车 正悄然走进寻常百姓家。这说明( ) A.收入是消费的基础和前提 B.消费拉动经济增长 C.物价水平影响人们的购买力 D.生产与消费相互影响 9.(2分)实现和维护劳动者权益是社会主义制度的本质要求。劳动者获得权利、维护权 益的基础是( ) A.依法签订劳动合同 B.保障劳动者主人翁地位 C.建立和谐的劳动关系 D.自觉履行劳动者的义务 10.(2分)2008年12月16日,国家开发银行股份有限公司挂牌成立,成为我国第一家由 政策性银行转型而来的商业银行。转型后的国家开发银行的主体业务是( ) A.存款业务 B.贷款业务 C.结算业务 D.股票买卖业务 11.(2分)现实生活中,我们可能面临各种各样的风险。下列属于规避风险的投资方式是 ( ) A.购买商业保险 B.办理存款储蓄 C.参加社会保险 D.购买企业债券 12.(2分)再分析更加注重公平是实现社会公平的重要举措。下列体现“再分配更加注重 公平”的措施是( ) A.提高企业职工最低工资标准 B.调整银行存贷款利率 C.提高城市居民最低生活保障标准 D.建立企业职工工资正常增长机制 13.2009年2月28日,十一届全国人大常委会第七次会议表决通过了《中华人民共和国 食品安全法》.这部法律自2009年6月1目起施行。据此回答13﹣14题。 该法第三十八条规定:“食品、食品添加剂和食品相关产品的生产者,应当依照食品安 全标准对所生产的食品、食品添加剂和食品相关产品进行检验,检验合格后方可出厂或者销售。”这一规定要求食品生产者必须( ) A.严格遵守市场规则 B.转变企业经营方式 C.明确企业经营战略 D.提高自主创新能力 14.2009年2月28日,十一届全国人大常委会第七次会议表决通过了《中华人民共和国 食品安全法》.这部法律自2009年6月1目起施行。据此回答13﹣14题。 某市民发现,当地有关行政部门的个别工作人员没有切实履行食品安全监管职责,于是 打电话给该部门反映问题并提出建议。该市民行使监督权的方式是( ) A.社情民意反映制度 B.舆论监督制度 C.社会听证制度 D.信访举报制度 15.(2分)发展基层民主,保障人民享有更多更切实的民主权利,是我国发展社会主义民 主政治的重要内容。下列属于基层群众性自治组织的是( ) A.业主委员会 B.消费者协会 C.居民委员会 D.乡人民政府 16.(2分)在国际社会中,任何国家都不得以任何方式强迫他国接受自己的意志,各国在 外交文件上有使用本国文字的权利。这体现了主权国家在国际社会中享有( ) A.独立权 B.平等权 C.自卫权 D.管辖权 17.(2分)我国积极开展多边外交,努力发展同发达国家的关系,全面深化同周边国家的 睦邻友好关系,大力加强同发展中国家的团结合作。我国外交政策的宗旨是( ) A.独立自主 B.和平共处五项原则 C.维护世界和平、促进共同发展 D.维护我国的独立和主权,促进世界的和平与发展 18.(2分)原生态文化资源的开发和利用,在丰富人们文化消费的同时,也促进了当地旅 游经济的发展。由此可见( ) A.文化对经济发展具有推进作用 B.文化与经济同步发展 C.文化是经济繁荣发展的基础 D.文化对经济发展具有重要影响 19.(2分)2008年10月,第31届世界戏剧节在南京举行,来自五大洲16个国家和地区 的近40个剧目登台亮相,赢得了广泛好评。这表明( ) A.其他民族的文化成果都可以为我所用B.尊重文化的多样性首先要尊重其他民族的文化 C.不同民族的文化可以相互融合、走向同一 D.不同民族的文化可以平等交流、相互借鉴 20.(2分)北京奥运会开幕式将中华文化与奥林匹克精神完美结合,向世界奉献了一部奥 运史上最华美的乐章。这充分说明( ) ①文化创新需要博采众长 ②中华文化具有包容性 ③外来文化是中华文化创新的基础 ④中华文化正在成为世界文化。 A.①② B.①③ C.②④ D.③④ 21.(2分)2008年2月,江苏省教育厅积极落实教育部的要求,安排南京、苏州等8个市 作为京剧进中小学课堂的首批试点市。开展京剧进中小学课堂活动的依据是( ) ①优秀文化能够丰富人的精神世界 ②传统文化是健康有益的 ③传统文化是文化发展的源泉 ④教育是文化传承的重要途径。 A.①② B.①④ C.②③ D.③④ 22.(2分)用现代动画技术制作的电视动画片《喜羊羊与灰太狼》,受到广大观众的喜 爱,获得了上海炫动卡通卫视2008年度收视排行的年度特别奖,同名动画电影也取得 了高达8500万的票房。这主要说明,为人们提供的文化产品应当( ) A.具有较高的经济效益 B.运用先进的技术手段制作 C.满足人们娱乐的需求 D.采取群众喜闻乐见的形式 23.(2分)“一诺千金”是中华民族的传统美德。在社会主义市场经济条件下,增强诚信 意识是( ) A.思想道德建设的重点 B.思想道德建设的核心 C.思想道德建设的原则 D.思想道德建设的着力点 24.(2分)马克思主义哲学的产生实现了哲学史上的伟大变革,它第一次上实现了 ( ) ①唯物主义和唯心主义的统一 ②唯物辩证的自然观与唯物辩证的历史观的有机统一 ③世界观和方法论的统一 ④实践基础上的科学性和革命性的统一。A..①② B.②④ C.③④ D.②③ 25.(2分)下列选项与“我思故我在”观点相一致的是( ) A.未有此事,先有此理 B.吾心是宇宙,宇宙是吾心 C.生死有命,富贵在天 D.世界的本质是“绝对精神” 26.(2分)“少年安能长少年,海波尚变为桑田。”唐代诗人李贺的这一诗句体现了 ( ) A.运动是永恒的、绝对的和有条件的 B.运动是物质的唯一特性 C.运动是物质的固有属性和存在方式 D.运动是静止的特殊状态 27.(2分)“5.12”汶川大地震后,温家宝总理在看望北川中学高三学生时,用粉笔在黑板 上写下了“多难兴邦”四个大字。“多难兴邦”一词蕴含的哲理是( ) ①矛盾双方相互依赖 ②事物的发展是量变和质变的统一 ③矛盾双方相互贯通 ④事物的发展是前进性和曲折性的统一。 A.①② B.③④ C.①②④ D.②③④ 28.(2分)“其实胸中之竹,并不是眼中之竹也,因而磨墨展纸,落笔倏作变相,手中之 竹又不是胸中之竹也。”郑板桥的这句话蕴含的道理是( ) A.意识活动具有主动创造性 B.意识活动具有客观实在性 C.意识活动具有生动形象性 D.意识活动具有主观随意性 29.(2分)如图的漫画《爱鸟工程》给我们的启示是( ) A.人能够认识和改造世界 B.要勇于突破和改变现状 C.要坚持一切从实际出发 D.要用发展的观点看问题30.(2分)2009年京沪高铁投资600亿元,这将带动200万吨钢材和1200万吨水泥的需 求,提供近60万个就业岗位,同时还可以带动沿线地方的建材、农副产品和日用品的 消费等。这表明( ) ①事物的联系是普遍的 ②自在事物的联系是主观的 ③事物的联系是人为的 ④人为事物的联系是客观的。 A.①② B.②③ C.①④ D.③④ 31.(2分)《孟子》云:“不违农时,谷不可胜食也”;“斧斤以时入山林,材木不可胜用 也”。这表明( ) A.自然界的变化是有规律的 B.客观规律是可以被认识和改造的 C.自然界的发展规律是客观的 D.改造世界必须遵循客观规律 32.(2分)下列对辩证否定的理解,错误的是( ) A.辩证的否定是“扬弃” B.辩证的否定是既克服又保留 C.辩证的否定是事物联系和发展的环节 D.辩证的否定是“在绝对不相容的对立中思维” 33.(2分)在我国农村改革中,农民首创了家庭联产承包责任制,首选了第一个村民委员 会,创办了第一批乡镇企业,被称为我国农民的三大创举。这充分说明了人民群众是 ( ) A.社会历史的创造者 B.物质财富的创造者 C.社会变革的引导者 D.精神财富的创造者 二、简析题:本大题共2小题,每小题12分,共计36分.其中第34题、第35题为必答 题,第36题为选做题.请运用所学知识对所提问题进行简明扼要的分析和说明. 34.(12分)材料一:材料二:2008年下半年以来,受国际金融危机的影响,江苏经济下行的压力加大。 江苏省政府积极贯彻中央精神,及时实施了进一步扩大内需、促进经济增长的一系列调 控措施。 (1)结合材料二,分别指出图1、图2反映的经济现象。 (2)从《经济生活》的角度说明江苏省政府实施宏观调控的必要性。 35.(12分)2009年4月以来,从墨西哥蔓延开来的流感,最初被诊断为猪流感。后来, 世界卫生组织等权威机构研究发现,这种流感病毒实际包含猪流感、人流感和禽流感三 种流感病毒的基因片段,于是将这种新型流感改称为A(H1N1)型流感,我国称之为 甲型H1N1流感。随着研究的深入,诊断技术不断改进,防治手段逐步完善,疫苗研制 加速推进。 国外疫情一经发布,我国政府高度重视,为确保人民群众健康和生命安全,全力开 展防控工作。在广泛征求意见的基础上,卫生部、农业部专门制订并下发了诊疗方案和 应急预案。各级地方政府及时采取措施,严格执行疫情零报告制度、指定定点收治医 院、成立防控和救治专家组等,切实做好防控工作。 (1)对甲型H1N1流感的研究过程体现了有关人类认识的哪些哲学道理? (2)上述材料是如何体现我国政府坚持对人民负责的基本原则的? 【选做题】本题包括A、B两小题,请选定其中一题,并在相应的答题区域内作答。若两 题都做。则按A题评分。A[经济学常识] 36.(12分)1985年8月28日,邓小平在会见津巴布韦总理穆加贝时,曾对列宁的新经济 政策作过评价。他说:“社会主义究竟是个什么样子,苏联搞了很多年,也并没有完全 搞清楚。可能列宁的思路比较好,搞了个新经济政策,但是后来苏联的模式僵化了。” (1)新经济政策实施前后,列宁对市场与社会主义关系的认识有何变化? (2)简述邓小平对市场与社会主义关系认识的创新及其意义。 [国家和国际组织常识] 37.英国在17世纪中期爆发资产阶级革命,曾一度推翻国王、建立共和国;“光荣革命”后君主制经过改造得以保留下来,并逐步形成了为资产阶级政权服务的君主立宪制政 体。法国在18世纪资产阶级大革命中,彻底摧毁了封建专制制度,确立了资产阶级政 权,其政权组织形式几经变化,形成了半总统半议会制政体。 (1)简述英法两国在政体结构上的差异。 (2)结合材料说明国体与政体的关系。 三、探究题:本题18分.结合背景材料进行探究,能够发现问题、提出问题,并综合运 用有关知识分析问题、解决问题,创造性地提出解决问题的方案、策略等. 38.(18分)今年是新中国成立60周年,也是五四运动爆发90周年。某校高三(2)班同 学通过主题班会、课外学习等活动,进一步了解了五四运动以来中华民族走过的风雨历 程、社会主义新中国取得的伟大成就,特别是回顾不平凡的2008年,更加深切地感受 到中华民族精神的强大力量。大家商定开展以“弘扬民族精神,共建精神家园”为主题 的探究活动。让我们一起参与其中。 参与讨论 在资料搜集过程中,有同学把收集到的以下三幅图片挂到班级网页上,引起了同学 们的关注。大家纷纷把自己收集到的相关图片也挂到网上。这些图片大多反映了中国革 命、建设和改革各个时期的重大事件,集中展示了中华民族精神。同学们被深深感染, 并跟帖展开讨论。 (1)有同学跟帖认为,“只有参与重大社会实践活动,才能成为中华民族精神的弘扬 者。”请你运用《文化生活》的相关知识对这一观点加以评析。 倡议行动 通过个别访谈和网上调查,大家发现在部分中学生中存在以下问题:有的片面强调 自我,不能主动关心集体和他人;有的意志薄弱,害怕困难,缺乏耐挫力;有的贪图享 受,追求“时髦”,盲目攀比;有的只想从事报酬优厚、安逸、“体面”的职业,不愿从 事艰苦的工作。针对上述问题,大家准备以“弘扬民族精神,从我做起”为主题向全校同学发出倡议。 (2)请你就倡议书的内容,分别从《生活与哲学》、《经济生活》的角度,各列出三条 提纲。 建言献策 随着探究活动的深入,大家认识到,学生中存在的上述问题与社会环境尤其是社会 文化环境的影响密切相关。建设精神家园,需要全社会的共同努力。经过进一步调查、 论证,同学们就“优化文化环境,共建精神家园”形成了一份建议书。有同学认为政府 具有组织社会主义文化建设等职能,提议采用电子邮件的方式,将该建议书发送给市政 府及其职能部门。 (3)你认为还可以将建议书发送给本市的其他哪些机关,并请你运用所学的《政治生 活》知识,分别说明发送给这些机关的理由。(注意:答案中不得出现具体地名。)
基本 文件 流程 错误 SQL 调试
  1. 请求信息 : 2026-03-04 19:19:13 HTTP/1.1 GET : https://www.yeyulingfeng.com/wendang/338299.html
  2. 运行时间 : 0.136423s [ 吞吐率:7.33req/s ] 内存消耗:5,834.98kb 文件加载:144
  3. 缓存信息 : 0 reads,0 writes
  4. 会话信息 : SESSION_ID=6834a7a7c6b68d4b7f4271e1357436b9
  1. /yingpanguazai/ssd/ssd1/www/wwww.yeyulingfeng.com/public/index.php ( 0.79 KB )
  2. /yingpanguazai/ssd/ssd1/www/wwww.yeyulingfeng.com/vendor/autoload.php ( 0.17 KB )
  3. /yingpanguazai/ssd/ssd1/www/wwww.yeyulingfeng.com/vendor/composer/autoload_real.php ( 2.49 KB )
  4. /yingpanguazai/ssd/ssd1/www/wwww.yeyulingfeng.com/vendor/composer/platform_check.php ( 0.90 KB )
  5. /yingpanguazai/ssd/ssd1/www/wwww.yeyulingfeng.com/vendor/composer/ClassLoader.php ( 14.03 KB )
  6. /yingpanguazai/ssd/ssd1/www/wwww.yeyulingfeng.com/vendor/composer/autoload_static.php ( 6.05 KB )
  7. /yingpanguazai/ssd/ssd1/www/wwww.yeyulingfeng.com/vendor/topthink/think-helper/src/helper.php ( 8.34 KB )
  8. /yingpanguazai/ssd/ssd1/www/wwww.yeyulingfeng.com/vendor/topthink/think-validate/src/helper.php ( 2.19 KB )
  9. /yingpanguazai/ssd/ssd1/www/wwww.yeyulingfeng.com/vendor/ralouphie/getallheaders/src/getallheaders.php ( 1.60 KB )
  10. /yingpanguazai/ssd/ssd1/www/wwww.yeyulingfeng.com/vendor/topthink/think-orm/src/helper.php ( 1.47 KB )
  11. /yingpanguazai/ssd/ssd1/www/wwww.yeyulingfeng.com/vendor/topthink/think-orm/stubs/load_stubs.php ( 0.16 KB )
  12. /yingpanguazai/ssd/ssd1/www/wwww.yeyulingfeng.com/vendor/topthink/framework/src/think/Exception.php ( 1.69 KB )
  13. /yingpanguazai/ssd/ssd1/www/wwww.yeyulingfeng.com/vendor/topthink/think-container/src/Facade.php ( 2.71 KB )
  14. /yingpanguazai/ssd/ssd1/www/wwww.yeyulingfeng.com/vendor/symfony/deprecation-contracts/function.php ( 0.99 KB )
  15. /yingpanguazai/ssd/ssd1/www/wwww.yeyulingfeng.com/vendor/symfony/polyfill-mbstring/bootstrap.php ( 8.26 KB )
  16. /yingpanguazai/ssd/ssd1/www/wwww.yeyulingfeng.com/vendor/symfony/polyfill-mbstring/bootstrap80.php ( 9.78 KB )
  17. /yingpanguazai/ssd/ssd1/www/wwww.yeyulingfeng.com/vendor/symfony/var-dumper/Resources/functions/dump.php ( 1.49 KB )
  18. /yingpanguazai/ssd/ssd1/www/wwww.yeyulingfeng.com/vendor/topthink/think-dumper/src/helper.php ( 0.18 KB )
  19. /yingpanguazai/ssd/ssd1/www/wwww.yeyulingfeng.com/vendor/symfony/var-dumper/VarDumper.php ( 4.30 KB )
  20. /yingpanguazai/ssd/ssd1/www/wwww.yeyulingfeng.com/vendor/guzzlehttp/guzzle/src/functions_include.php ( 0.16 KB )
  21. /yingpanguazai/ssd/ssd1/www/wwww.yeyulingfeng.com/vendor/guzzlehttp/guzzle/src/functions.php ( 5.54 KB )
  22. /yingpanguazai/ssd/ssd1/www/wwww.yeyulingfeng.com/vendor/topthink/framework/src/think/App.php ( 15.30 KB )
  23. /yingpanguazai/ssd/ssd1/www/wwww.yeyulingfeng.com/vendor/topthink/think-container/src/Container.php ( 15.76 KB )
  24. /yingpanguazai/ssd/ssd1/www/wwww.yeyulingfeng.com/vendor/psr/container/src/ContainerInterface.php ( 1.02 KB )
  25. /yingpanguazai/ssd/ssd1/www/wwww.yeyulingfeng.com/app/provider.php ( 0.19 KB )
  26. /yingpanguazai/ssd/ssd1/www/wwww.yeyulingfeng.com/vendor/topthink/framework/src/think/Http.php ( 6.04 KB )
  27. /yingpanguazai/ssd/ssd1/www/wwww.yeyulingfeng.com/vendor/topthink/think-helper/src/helper/Str.php ( 7.29 KB )
  28. /yingpanguazai/ssd/ssd1/www/wwww.yeyulingfeng.com/vendor/topthink/framework/src/think/Env.php ( 4.68 KB )
  29. /yingpanguazai/ssd/ssd1/www/wwww.yeyulingfeng.com/app/common.php ( 0.03 KB )
  30. /yingpanguazai/ssd/ssd1/www/wwww.yeyulingfeng.com/vendor/topthink/framework/src/helper.php ( 18.78 KB )
  31. /yingpanguazai/ssd/ssd1/www/wwww.yeyulingfeng.com/vendor/topthink/framework/src/think/Config.php ( 5.54 KB )
  32. /yingpanguazai/ssd/ssd1/www/wwww.yeyulingfeng.com/config/alipay.php ( 3.59 KB )
  33. /yingpanguazai/ssd/ssd1/www/wwww.yeyulingfeng.com/vendor/topthink/framework/src/think/facade/Env.php ( 1.67 KB )
  34. /yingpanguazai/ssd/ssd1/www/wwww.yeyulingfeng.com/config/app.php ( 0.95 KB )
  35. /yingpanguazai/ssd/ssd1/www/wwww.yeyulingfeng.com/config/cache.php ( 0.78 KB )
  36. /yingpanguazai/ssd/ssd1/www/wwww.yeyulingfeng.com/config/console.php ( 0.23 KB )
  37. /yingpanguazai/ssd/ssd1/www/wwww.yeyulingfeng.com/config/cookie.php ( 0.56 KB )
  38. /yingpanguazai/ssd/ssd1/www/wwww.yeyulingfeng.com/config/database.php ( 2.48 KB )
  39. /yingpanguazai/ssd/ssd1/www/wwww.yeyulingfeng.com/config/filesystem.php ( 0.61 KB )
  40. /yingpanguazai/ssd/ssd1/www/wwww.yeyulingfeng.com/config/lang.php ( 0.91 KB )
  41. /yingpanguazai/ssd/ssd1/www/wwww.yeyulingfeng.com/config/log.php ( 1.35 KB )
  42. /yingpanguazai/ssd/ssd1/www/wwww.yeyulingfeng.com/config/middleware.php ( 0.19 KB )
  43. /yingpanguazai/ssd/ssd1/www/wwww.yeyulingfeng.com/config/route.php ( 1.89 KB )
  44. /yingpanguazai/ssd/ssd1/www/wwww.yeyulingfeng.com/config/session.php ( 0.57 KB )
  45. /yingpanguazai/ssd/ssd1/www/wwww.yeyulingfeng.com/config/trace.php ( 0.34 KB )
  46. /yingpanguazai/ssd/ssd1/www/wwww.yeyulingfeng.com/config/view.php ( 0.82 KB )
  47. /yingpanguazai/ssd/ssd1/www/wwww.yeyulingfeng.com/app/event.php ( 0.25 KB )
  48. /yingpanguazai/ssd/ssd1/www/wwww.yeyulingfeng.com/vendor/topthink/framework/src/think/Event.php ( 7.67 KB )
  49. /yingpanguazai/ssd/ssd1/www/wwww.yeyulingfeng.com/app/service.php ( 0.13 KB )
  50. /yingpanguazai/ssd/ssd1/www/wwww.yeyulingfeng.com/app/AppService.php ( 0.26 KB )
  51. /yingpanguazai/ssd/ssd1/www/wwww.yeyulingfeng.com/vendor/topthink/framework/src/think/Service.php ( 1.64 KB )
  52. /yingpanguazai/ssd/ssd1/www/wwww.yeyulingfeng.com/vendor/topthink/framework/src/think/Lang.php ( 7.35 KB )
  53. /yingpanguazai/ssd/ssd1/www/wwww.yeyulingfeng.com/vendor/topthink/framework/src/lang/zh-cn.php ( 13.70 KB )
  54. /yingpanguazai/ssd/ssd1/www/wwww.yeyulingfeng.com/vendor/topthink/framework/src/think/initializer/Error.php ( 3.31 KB )
  55. /yingpanguazai/ssd/ssd1/www/wwww.yeyulingfeng.com/vendor/topthink/framework/src/think/initializer/RegisterService.php ( 1.33 KB )
  56. /yingpanguazai/ssd/ssd1/www/wwww.yeyulingfeng.com/vendor/services.php ( 0.14 KB )
  57. /yingpanguazai/ssd/ssd1/www/wwww.yeyulingfeng.com/vendor/topthink/framework/src/think/service/PaginatorService.php ( 1.52 KB )
  58. /yingpanguazai/ssd/ssd1/www/wwww.yeyulingfeng.com/vendor/topthink/framework/src/think/service/ValidateService.php ( 0.99 KB )
  59. /yingpanguazai/ssd/ssd1/www/wwww.yeyulingfeng.com/vendor/topthink/framework/src/think/service/ModelService.php ( 2.04 KB )
  60. /yingpanguazai/ssd/ssd1/www/wwww.yeyulingfeng.com/vendor/topthink/think-trace/src/Service.php ( 0.77 KB )
  61. /yingpanguazai/ssd/ssd1/www/wwww.yeyulingfeng.com/vendor/topthink/framework/src/think/Middleware.php ( 6.72 KB )
  62. /yingpanguazai/ssd/ssd1/www/wwww.yeyulingfeng.com/vendor/topthink/framework/src/think/initializer/BootService.php ( 0.77 KB )
  63. /yingpanguazai/ssd/ssd1/www/wwww.yeyulingfeng.com/vendor/topthink/think-orm/src/Paginator.php ( 11.86 KB )
  64. /yingpanguazai/ssd/ssd1/www/wwww.yeyulingfeng.com/vendor/topthink/think-validate/src/Validate.php ( 63.20 KB )
  65. /yingpanguazai/ssd/ssd1/www/wwww.yeyulingfeng.com/vendor/topthink/think-orm/src/Model.php ( 23.55 KB )
  66. /yingpanguazai/ssd/ssd1/www/wwww.yeyulingfeng.com/vendor/topthink/think-orm/src/model/concern/Attribute.php ( 21.05 KB )
  67. /yingpanguazai/ssd/ssd1/www/wwww.yeyulingfeng.com/vendor/topthink/think-orm/src/model/concern/AutoWriteData.php ( 4.21 KB )
  68. /yingpanguazai/ssd/ssd1/www/wwww.yeyulingfeng.com/vendor/topthink/think-orm/src/model/concern/Conversion.php ( 6.44 KB )
  69. /yingpanguazai/ssd/ssd1/www/wwww.yeyulingfeng.com/vendor/topthink/think-orm/src/model/concern/DbConnect.php ( 5.16 KB )
  70. /yingpanguazai/ssd/ssd1/www/wwww.yeyulingfeng.com/vendor/topthink/think-orm/src/model/concern/ModelEvent.php ( 2.33 KB )
  71. /yingpanguazai/ssd/ssd1/www/wwww.yeyulingfeng.com/vendor/topthink/think-orm/src/model/concern/RelationShip.php ( 28.29 KB )
  72. /yingpanguazai/ssd/ssd1/www/wwww.yeyulingfeng.com/vendor/topthink/think-helper/src/contract/Arrayable.php ( 0.09 KB )
  73. /yingpanguazai/ssd/ssd1/www/wwww.yeyulingfeng.com/vendor/topthink/think-helper/src/contract/Jsonable.php ( 0.13 KB )
  74. /yingpanguazai/ssd/ssd1/www/wwww.yeyulingfeng.com/vendor/topthink/think-orm/src/model/contract/Modelable.php ( 0.09 KB )
  75. /yingpanguazai/ssd/ssd1/www/wwww.yeyulingfeng.com/vendor/topthink/framework/src/think/Db.php ( 2.88 KB )
  76. /yingpanguazai/ssd/ssd1/www/wwww.yeyulingfeng.com/vendor/topthink/think-orm/src/DbManager.php ( 8.52 KB )
  77. /yingpanguazai/ssd/ssd1/www/wwww.yeyulingfeng.com/vendor/topthink/framework/src/think/Log.php ( 6.28 KB )
  78. /yingpanguazai/ssd/ssd1/www/wwww.yeyulingfeng.com/vendor/topthink/framework/src/think/Manager.php ( 3.92 KB )
  79. /yingpanguazai/ssd/ssd1/www/wwww.yeyulingfeng.com/vendor/psr/log/src/LoggerTrait.php ( 2.69 KB )
  80. /yingpanguazai/ssd/ssd1/www/wwww.yeyulingfeng.com/vendor/psr/log/src/LoggerInterface.php ( 2.71 KB )
  81. /yingpanguazai/ssd/ssd1/www/wwww.yeyulingfeng.com/vendor/topthink/framework/src/think/Cache.php ( 4.92 KB )
  82. /yingpanguazai/ssd/ssd1/www/wwww.yeyulingfeng.com/vendor/psr/simple-cache/src/CacheInterface.php ( 4.71 KB )
  83. /yingpanguazai/ssd/ssd1/www/wwww.yeyulingfeng.com/vendor/topthink/think-helper/src/helper/Arr.php ( 16.63 KB )
  84. /yingpanguazai/ssd/ssd1/www/wwww.yeyulingfeng.com/vendor/topthink/framework/src/think/cache/driver/File.php ( 7.84 KB )
  85. /yingpanguazai/ssd/ssd1/www/wwww.yeyulingfeng.com/vendor/topthink/framework/src/think/cache/Driver.php ( 9.03 KB )
  86. /yingpanguazai/ssd/ssd1/www/wwww.yeyulingfeng.com/vendor/topthink/framework/src/think/contract/CacheHandlerInterface.php ( 1.99 KB )
  87. /yingpanguazai/ssd/ssd1/www/wwww.yeyulingfeng.com/app/Request.php ( 0.09 KB )
  88. /yingpanguazai/ssd/ssd1/www/wwww.yeyulingfeng.com/vendor/topthink/framework/src/think/Request.php ( 55.78 KB )
  89. /yingpanguazai/ssd/ssd1/www/wwww.yeyulingfeng.com/app/middleware.php ( 0.25 KB )
  90. /yingpanguazai/ssd/ssd1/www/wwww.yeyulingfeng.com/vendor/topthink/framework/src/think/Pipeline.php ( 2.61 KB )
  91. /yingpanguazai/ssd/ssd1/www/wwww.yeyulingfeng.com/vendor/topthink/think-trace/src/TraceDebug.php ( 3.40 KB )
  92. /yingpanguazai/ssd/ssd1/www/wwww.yeyulingfeng.com/vendor/topthink/framework/src/think/middleware/SessionInit.php ( 1.94 KB )
  93. /yingpanguazai/ssd/ssd1/www/wwww.yeyulingfeng.com/vendor/topthink/framework/src/think/Session.php ( 1.80 KB )
  94. /yingpanguazai/ssd/ssd1/www/wwww.yeyulingfeng.com/vendor/topthink/framework/src/think/session/driver/File.php ( 6.27 KB )
  95. /yingpanguazai/ssd/ssd1/www/wwww.yeyulingfeng.com/vendor/topthink/framework/src/think/contract/SessionHandlerInterface.php ( 0.87 KB )
  96. /yingpanguazai/ssd/ssd1/www/wwww.yeyulingfeng.com/vendor/topthink/framework/src/think/session/Store.php ( 7.12 KB )
  97. /yingpanguazai/ssd/ssd1/www/wwww.yeyulingfeng.com/vendor/topthink/framework/src/think/Route.php ( 23.73 KB )
  98. /yingpanguazai/ssd/ssd1/www/wwww.yeyulingfeng.com/vendor/topthink/framework/src/think/route/RuleName.php ( 5.75 KB )
  99. /yingpanguazai/ssd/ssd1/www/wwww.yeyulingfeng.com/vendor/topthink/framework/src/think/route/Domain.php ( 2.53 KB )
  100. /yingpanguazai/ssd/ssd1/www/wwww.yeyulingfeng.com/vendor/topthink/framework/src/think/route/RuleGroup.php ( 22.43 KB )
  101. /yingpanguazai/ssd/ssd1/www/wwww.yeyulingfeng.com/vendor/topthink/framework/src/think/route/Rule.php ( 26.95 KB )
  102. /yingpanguazai/ssd/ssd1/www/wwww.yeyulingfeng.com/vendor/topthink/framework/src/think/route/RuleItem.php ( 9.78 KB )
  103. /yingpanguazai/ssd/ssd1/www/wwww.yeyulingfeng.com/route/app.php ( 3.73 KB )
  104. /yingpanguazai/ssd/ssd1/www/wwww.yeyulingfeng.com/vendor/topthink/framework/src/think/facade/Route.php ( 4.70 KB )
  105. /yingpanguazai/ssd/ssd1/www/wwww.yeyulingfeng.com/vendor/topthink/framework/src/think/route/dispatch/Controller.php ( 4.74 KB )
  106. /yingpanguazai/ssd/ssd1/www/wwww.yeyulingfeng.com/vendor/topthink/framework/src/think/route/Dispatch.php ( 10.44 KB )
  107. /yingpanguazai/ssd/ssd1/www/wwww.yeyulingfeng.com/app/controller/Index.php ( 9.70 KB )
  108. /yingpanguazai/ssd/ssd1/www/wwww.yeyulingfeng.com/app/BaseController.php ( 2.05 KB )
  109. /yingpanguazai/ssd/ssd1/www/wwww.yeyulingfeng.com/vendor/topthink/think-orm/src/facade/Db.php ( 0.93 KB )
  110. /yingpanguazai/ssd/ssd1/www/wwww.yeyulingfeng.com/vendor/topthink/think-orm/src/db/connector/Mysql.php ( 5.44 KB )
  111. /yingpanguazai/ssd/ssd1/www/wwww.yeyulingfeng.com/vendor/topthink/think-orm/src/db/PDOConnection.php ( 52.47 KB )
  112. /yingpanguazai/ssd/ssd1/www/wwww.yeyulingfeng.com/vendor/topthink/think-orm/src/db/Connection.php ( 8.39 KB )
  113. /yingpanguazai/ssd/ssd1/www/wwww.yeyulingfeng.com/vendor/topthink/think-orm/src/db/ConnectionInterface.php ( 4.57 KB )
  114. /yingpanguazai/ssd/ssd1/www/wwww.yeyulingfeng.com/vendor/topthink/think-orm/src/db/builder/Mysql.php ( 16.58 KB )
  115. /yingpanguazai/ssd/ssd1/www/wwww.yeyulingfeng.com/vendor/topthink/think-orm/src/db/Builder.php ( 24.06 KB )
  116. /yingpanguazai/ssd/ssd1/www/wwww.yeyulingfeng.com/vendor/topthink/think-orm/src/db/BaseBuilder.php ( 27.50 KB )
  117. /yingpanguazai/ssd/ssd1/www/wwww.yeyulingfeng.com/vendor/topthink/think-orm/src/db/Query.php ( 15.71 KB )
  118. /yingpanguazai/ssd/ssd1/www/wwww.yeyulingfeng.com/vendor/topthink/think-orm/src/db/BaseQuery.php ( 45.13 KB )
  119. /yingpanguazai/ssd/ssd1/www/wwww.yeyulingfeng.com/vendor/topthink/think-orm/src/db/concern/TimeFieldQuery.php ( 7.43 KB )
  120. /yingpanguazai/ssd/ssd1/www/wwww.yeyulingfeng.com/vendor/topthink/think-orm/src/db/concern/AggregateQuery.php ( 3.26 KB )
  121. /yingpanguazai/ssd/ssd1/www/wwww.yeyulingfeng.com/vendor/topthink/think-orm/src/db/concern/ModelRelationQuery.php ( 20.07 KB )
  122. /yingpanguazai/ssd/ssd1/www/wwww.yeyulingfeng.com/vendor/topthink/think-orm/src/db/concern/ParamsBind.php ( 3.66 KB )
  123. /yingpanguazai/ssd/ssd1/www/wwww.yeyulingfeng.com/vendor/topthink/think-orm/src/db/concern/ResultOperation.php ( 7.01 KB )
  124. /yingpanguazai/ssd/ssd1/www/wwww.yeyulingfeng.com/vendor/topthink/think-orm/src/db/concern/WhereQuery.php ( 19.37 KB )
  125. /yingpanguazai/ssd/ssd1/www/wwww.yeyulingfeng.com/vendor/topthink/think-orm/src/db/concern/JoinAndViewQuery.php ( 7.11 KB )
  126. /yingpanguazai/ssd/ssd1/www/wwww.yeyulingfeng.com/vendor/topthink/think-orm/src/db/concern/TableFieldInfo.php ( 2.63 KB )
  127. /yingpanguazai/ssd/ssd1/www/wwww.yeyulingfeng.com/vendor/topthink/think-orm/src/db/concern/Transaction.php ( 2.77 KB )
  128. /yingpanguazai/ssd/ssd1/www/wwww.yeyulingfeng.com/vendor/topthink/framework/src/think/log/driver/File.php ( 5.96 KB )
  129. /yingpanguazai/ssd/ssd1/www/wwww.yeyulingfeng.com/vendor/topthink/framework/src/think/contract/LogHandlerInterface.php ( 0.86 KB )
  130. /yingpanguazai/ssd/ssd1/www/wwww.yeyulingfeng.com/vendor/topthink/framework/src/think/log/Channel.php ( 3.89 KB )
  131. /yingpanguazai/ssd/ssd1/www/wwww.yeyulingfeng.com/vendor/topthink/framework/src/think/event/LogRecord.php ( 1.02 KB )
  132. /yingpanguazai/ssd/ssd1/www/wwww.yeyulingfeng.com/vendor/topthink/think-helper/src/Collection.php ( 16.47 KB )
  133. /yingpanguazai/ssd/ssd1/www/wwww.yeyulingfeng.com/vendor/topthink/framework/src/think/facade/View.php ( 1.70 KB )
  134. /yingpanguazai/ssd/ssd1/www/wwww.yeyulingfeng.com/vendor/topthink/framework/src/think/View.php ( 4.39 KB )
  135. /yingpanguazai/ssd/ssd1/www/wwww.yeyulingfeng.com/vendor/topthink/framework/src/think/Response.php ( 8.81 KB )
  136. /yingpanguazai/ssd/ssd1/www/wwww.yeyulingfeng.com/vendor/topthink/framework/src/think/response/View.php ( 3.29 KB )
  137. /yingpanguazai/ssd/ssd1/www/wwww.yeyulingfeng.com/vendor/topthink/framework/src/think/Cookie.php ( 6.06 KB )
  138. /yingpanguazai/ssd/ssd1/www/wwww.yeyulingfeng.com/vendor/topthink/think-view/src/Think.php ( 8.38 KB )
  139. /yingpanguazai/ssd/ssd1/www/wwww.yeyulingfeng.com/vendor/topthink/framework/src/think/contract/TemplateHandlerInterface.php ( 1.60 KB )
  140. /yingpanguazai/ssd/ssd1/www/wwww.yeyulingfeng.com/vendor/topthink/think-template/src/Template.php ( 46.61 KB )
  141. /yingpanguazai/ssd/ssd1/www/wwww.yeyulingfeng.com/vendor/topthink/think-template/src/template/driver/File.php ( 2.41 KB )
  142. /yingpanguazai/ssd/ssd1/www/wwww.yeyulingfeng.com/vendor/topthink/think-template/src/template/contract/DriverInterface.php ( 0.86 KB )
  143. /yingpanguazai/ssd/ssd1/www/wwww.yeyulingfeng.com/runtime/temp/10a0c909b6afa23b5a52a2e2d58c3c0f.php ( 21.72 KB )
  144. /yingpanguazai/ssd/ssd1/www/wwww.yeyulingfeng.com/vendor/topthink/think-trace/src/Html.php ( 4.42 KB )
  1. CONNECT:[ UseTime:0.000437s ] mysql:host=127.0.0.1;port=3306;dbname=wenku;charset=utf8mb4
  2. SHOW FULL COLUMNS FROM `fenlei` [ RunTime:0.000653s ]
  3. SELECT * FROM `fenlei` WHERE `fid` = 0 [ RunTime:0.000323s ]
  4. SELECT * FROM `fenlei` WHERE `fid` = 63 [ RunTime:0.000280s ]
  5. SHOW FULL COLUMNS FROM `set` [ RunTime:0.000579s ]
  6. SELECT * FROM `set` [ RunTime:0.000230s ]
  7. SHOW FULL COLUMNS FROM `wendang` [ RunTime:0.000750s ]
  8. SELECT * FROM `wendang` WHERE `id` = 338299 LIMIT 1 [ RunTime:0.000851s ]
  9. UPDATE `wendang` SET `liulancishu` = 1 WHERE `id` = 338299 [ RunTime:0.008776s ]
  10. UPDATE `wendang` SET `lasttime` = 1772623153 WHERE `id` = 338299 [ RunTime:0.000588s ]
  11. SELECT * FROM `wendang` WHERE `id` < 338299 ORDER BY `id` DESC LIMIT 1 [ RunTime:0.000699s ]
  12. SELECT * FROM `wendang` WHERE `id` > 338299 ORDER BY `id` ASC LIMIT 1 [ RunTime:0.000664s ]
  13. SELECT * FROM `wendang` WHERE `id` <> 338299 ORDER BY `id` DESC LIMIT 10 [ RunTime:0.015262s ]
  14. SELECT * FROM `wendang` WHERE `id` <> 338299 ORDER BY `id` DESC LIMIT 10,10 [ RunTime:0.002051s ]
  15. SELECT * FROM `wendang` WHERE `id` <> 338299 ORDER BY `id` DESC LIMIT 20,10 [ RunTime:0.008978s ]
0.138276s