当前位置:首页>文档>2010年上海市高中毕业统一学业考试政治试卷(原卷版)_全国卷+地方卷_9.政治_1.政治高考真题试卷_2008-2020年_地方卷_上海高考政治真题03-17

2010年上海市高中毕业统一学业考试政治试卷(原卷版)_全国卷+地方卷_9.政治_1.政治高考真题试卷_2008-2020年_地方卷_上海高考政治真题03-17

  • 2026-04-11 08:26:29 2026-03-04 20:49:11

文档预览

2010年上海市高中毕业统一学业考试政治试卷(原卷版)_全国卷+地方卷_9.政治_1.政治高考真题试卷_2008-2020年_地方卷_上海高考政治真题03-17
2010年上海市高中毕业统一学业考试政治试卷(原卷版)_全国卷+地方卷_9.政治_1.政治高考真题试卷_2008-2020年_地方卷_上海高考政治真题03-17
2010年上海市高中毕业统一学业考试政治试卷(原卷版)_全国卷+地方卷_9.政治_1.政治高考真题试卷_2008-2020年_地方卷_上海高考政治真题03-17
2010年上海市高中毕业统一学业考试政治试卷(原卷版)_全国卷+地方卷_9.政治_1.政治高考真题试卷_2008-2020年_地方卷_上海高考政治真题03-17
2010年上海市高中毕业统一学业考试政治试卷(原卷版)_全国卷+地方卷_9.政治_1.政治高考真题试卷_2008-2020年_地方卷_上海高考政治真题03-17
2010年上海市高中毕业统一学业考试政治试卷(原卷版)_全国卷+地方卷_9.政治_1.政治高考真题试卷_2008-2020年_地方卷_上海高考政治真题03-17
2010年上海市高中毕业统一学业考试政治试卷(原卷版)_全国卷+地方卷_9.政治_1.政治高考真题试卷_2008-2020年_地方卷_上海高考政治真题03-17
2010年上海市高中毕业统一学业考试政治试卷(原卷版)_全国卷+地方卷_9.政治_1.政治高考真题试卷_2008-2020年_地方卷_上海高考政治真题03-17

文档信息

文档格式
doc
文档大小
0.043 MB
文档页数
8 页
上传时间
2026-03-04 20:49:11

文档内容

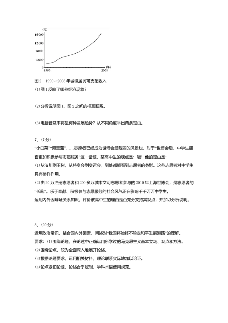
绝密★启封前 2010 年普通高等学校招生全国统一考试 政治(上海卷) 一、选择题 ( 本大题 共 30 题, 共计 69 分) 1、(2分)2009年10月1日,胡锦涛在庆祝中华人民共和国成立60周年大会上指出,新中 国60年的发展进步充分证明( ) A.只有改革创新才能发展中国、发展社会主义、发展马克思主义 B.只有对外开放才能发展中国、发展社会主义、发展马克思主义 C.只有科学发展才能发展中国、发展社会主义、发展马克思主义 D.只有改革开放才能发展中国、发展社会主义、发展马克思主义 2、(2分)中共十七届四中全会强调,必须加强和改进新形势下( ) A.社会主义新农村建设 B.廉政建设 C.社会主义和谐社会建设 D.党的建设 3、(2分)2009年6月,“金砖四国”领导人首次正式会晤。“金砖四国”是指( ) A.中国、越南、古巴、朝鲜 B.中国、美国、日本、韩国 C.中国、俄罗斯、印度、巴西 D.中国、美国、日本、俄罗斯 4、(2分)在第21届冬奥会上实现我国花样滑冰项目奥运金牌“零的突破”的运动员是( ) A.庞清、佟健 B.张丹、张昊 C.申雪、赵宏博 D.王濛、刘佳宇 5、(2分)《国家中长期教育改革和发展规划纲要》提出的战略目标是,到 2020年我国基 本实现教育现代化,基本形成学习型社会,进入( ) A.人力资源大国行列 B.人力资源强国行列 C.人才资源大国行列 D.人才资源强国行列 6、(2分)2009年世界粮食日的主题是( ) A.保护生态,实现粮食安全 B.预防灾害,实现粮食安全 C.应对危机,实现粮食安全 D.保护耕地,实现粮食安全 7、(2分)任何特定阶级和社会集团从事政治活动的目的,归根到底是为了( ) A.夺取或巩固国家政权 B.管理社会公共事务 C.解决或协调内部矛盾 D.维护自身根本利益 8、人民政协是中国共产党领导的最广泛的爱国统一战线组织。下列属于其职能的是( )A.批准2010年中央预算 B.建议更加关心新生代农民工 C.修改《保守国家秘密法》 D.决定政协委员陈竺担任卫生部部长 9、(2分)某高一学生希望市政府有关部门在地铁站附近设置自行车停车点或租赁点,以方 便市民出行。他表达这一意愿的方式可以是( ) ①通过人大代表转达 ②给“市长信箱”留言 ③拨打“市民热线” ④向《新民晚报》反映 A.① B.①② C.①②③ D.①②③④ 10、(2分)“制造成本价”、“批发价”、“零售价”,这些“价”所对应的经济活动的环节分别 是( ) A.分配、交换、消费 B.分配、交换、分配 C.生产、消费、消费 D.生产、交换、交换 11、(2分)面对历史罕见的西南地区特大旱灾,财政部紧急安排了5 000万元特大抗旱补 助经费,支持云南、广西做好抗旱工作。这笔经费取自于( ) A.社会积累基金 B.社会消费基金 C.社会补助基金 D.社会生产基金 12、(2分)企业年金是指在依法参加基本养老保险的基础上,企业及其职工自愿建立的补 充养老保险。截至2008年底,全国已有3.3万户企业建立了企业年金制度。这一制度( ) A.扩充了职工医疗保险品种 B.增加了职工工资收入 C.提高了职工社会福利水平 D.满足了职工较高层次保障需要 13、(2分)贯彻科学发展观,就要树立正确政绩观,彻底改变“唯GDP论英雄”的政绩评价方 式。这是因为GDP不能( ) A.反映经济实力和市场规模 B.进行国际经济的横向比较 C.全面反映人民的幸福程度 D.反映社会经济结构的变动情况 14、(2分)本世纪初,国外某小镇一度出现了人们持“券”进行买卖的景象,“券”由小镇自行 印发,在全镇范围内流通。尽管最终没有得到国家认可,但当时,这种“券”( ) A.为物物交换提供了便利 B.增加了小镇的财富 C.执行着交换媒介的功能 D.具有法定的含金量 15、(2分)有序性是现代市场的特征之一。下列起到维护市场秩序作用的是( ) A.引导各类生产要素在市场内优化配置 B.严厉打击制假售假、商业欺诈等违法行为C.激发企业采用技术创新手段降低生产成本 D.允许所有商品生产经营者、购买者都可以进入市场 16、(2分)河北钢铁集团以19亿元人民币收购石家庄钢铁有限责任公司80%股权,中国浙 江吉利控股集团以18亿美元并购瑞典沃尔沃轿车公司。“收购”“海外并购”的直接结果是( ) A.产品质量的提升 B.企业资产的重组 C.市场供求的平衡 D.产业布局的调整 17、(2分)马克思主义哲学具有高度的科学性和实践性,实践性是指( ) A.正确阐明整个世界发展最普遍的规律 B.以改造客观世界为目的 C.有效提供改造客观世界的观点和方法 D.以认识客观世界为目的 18、(2分)人类社会发展的决定力量是( ) A.地理环境 B.人口因素 C.人的观念 D.生产方式 19、(2分)温家宝在和北大学子共度“五四”青年节时,与学生挥毫相和:仰望星空、脚踏 实地。这寄托了总理对青年一代的殷切希望。对这八个字的正确理解是( ) A.既要实现社会价值,又要实现自我价值 B.既要树立崇高理想,又要投身社会实践 C.既要学习间接经验,又要积累直接经验 D.既要改造客观世界,又要改造主观世界 20、(2分)到“十二五”末,本市人口年龄结构失衡的矛盾将更加突出。为此,有关部门提 出,应加快研究和推行多种养老模式,以提升社会服务水平,提高人们生活质量,推进社 会进步。材料体现的哲理有( ) A.主要矛盾决定事物的性质 B.矛盾以人们的主观意志为转移 C.矛盾的斗争性在事物发展中起决定作用 D.矛盾是事物变化发展的动力 21、(2分)碘是人体必需的元素,但“一刀切”补碘会使有些人摄碘过量。作为非缺碘地区, 上海市场增售无碘盐,市民可以根据实际情况自主调节摄碘量。材料体现的哲理有( ) ①做事情要把握度 ②看问题要力求全面 ③具体问题要具体分析 ④做事情要突出重点 A.①②③ B.①②④ C.②③④ D.①③④ 22、(3分)(不定项选择)10位来自基层的群众应邀在国务院会议室对《政府工作报告(征求 意见稿)》提出了意见和建议。这体现着政府重视( ) A.决策的民主化 B.公民的参与权 C.基层群众自治 D.公民的表达权23、(3分)(不定项选择)初春三月,来自全国各地区、各民族的近3 000名人大代表肩负 全国人民的重托,云集一堂,商定国是。人民代表大会制度的优越性在于( ) A.保障亿万人民当家作主 B.有利于加强和改善党的领导 C.保证国家机关协调高效运转 D.便于人民直接行使国家权力 24、(3分)(不定项选择)公务员是人民的公仆,以人民为尊、为重。以下体现公务员恪守 “公务员准则”的是( ) A.了解民情民意 B.维护社会公正 C.提高办事效率 D.坚持公开行政 25、(3分)(不定项选择)以下旨在保护劳动者平等就业和选择职业权利的措施是( ) A.劳动者积极搜集就业方面的信息 B.中国农业银行为劳动者创业提供资金支持 C.国家禁止将携带乙肝病毒作为限制就业的条件 D.法律规定企业不得解除因工负伤职工的劳动合同 26、(3分)(不定项选择)目前,我国非公有制经济上缴国家的税收比重不断增加,95%中小 企业是非公有制经济,私营企业和个体工商户从业人员共约 1.5亿。这说明非公有制经济( ) A.对国民经济起支配作用 B.是支撑国民经济的主体 C.为国民经济注入活力 D.主要分布在第三产业 27、(3分)(不定项选择)我国外贸总量位列世界前茅。据2009年统计,其中加工贸易占 41.2%,在对外贸易的企业中,外商投资企业占55.2%。由此可见( ) A.我国贸易强国的地位已经确立 B.我国与贸易伙伴依存关系紧密 C.利用外资是我国对外开放的形式 D.丰富的劳动力资源是我国对外贸易优势 28、(3分)(不定项选择)创造性思维是以新颖独创的方法解决问题的思维过程。下图以鸡 蛋加工的两种方式为例,类比一种创造性思维模式。比较两图可见,“新加工方式”的新颖 独创表现在( ) A.引起鸡蛋性质的变化 B.全盘否定原有加工方式 C.创造出新的加工程序 D.把握煮熟生鸡蛋的必要条件 29、(3分)(不定项选择)有英国学者指出,由于人文与科技这两种文化的分裂,学术界逐渐丧失了整体文化观,加重了生态失衡、环境污染、价值观念混淆等危机。这说明人文与 科技两种文化应该( ) A.相互联系 B.构成统一整体 C.互为条件 D.相互影响 30、(3分)(不定项选择)建国60余年来,我们所取得的辉煌成就凝结着人民群众的奉献和 创造性劳动。这说明( ) A.要相信人民群众,依靠人民群众 B.尊重实践与尊重人民群众不可分离 C.人民群众对社会历史发展起推动作用 D.人民群众创造历史不受历史条件制约 二、非选择题 ( 本大题 共 8 题, 共计 81 分) 1、(4分)浦东的开发开放抒写了精彩华章,成为上海现代化建设的缩影和中国改革开放的 象征。 (1)2010年是浦东开发开放多少周年? (2)列举两个2009年以来落户浦东新区的项目。 2、(9分)截至2008年底,全国共建立了155个民族自治地方。长期以来,这些地区的发展 得到国家大力支持。近期,党中央、国务院再次决定对新疆加大政策支持力度。 (1)运用民族知识简要回答:国家大力支持少数民族地区发展的目的是什么? (2)对新疆困难地区符合条件的企业给予企业所得税减免优惠,是此次政策之一。运用经济 常识回答:这一政策运用了宏观调控的哪个手段?该政策的实施对新疆困难地区的企业会 产生怎样的积极影响? 3、(6分)2005年3月发行的某5年期国债于今年到期归还本金并支付全部利息,年利率 3.81%,不计复利。运用经济常识简要回答: (1)发行时购买的1万元该国债,今年到期后可以获得多少利息? (2)从理财的角度看,人们购买国债的理由有哪些? 4、(6分)为诠释“城市,让生活更美好”的主题,上海世博会设立了城市最佳实践区,集中 展示全球有代表性的城市实践案例,这在世博史上尚属首次。在众多参观者中,相关专家悟出了宜居城市规划理念:空间紧凑、功能集聚、低碳节能,可持续发展,真可谓“外行看 热闹,内行看门道”。 运用“探索规律 实事求是”相关知识简要回答: (1)“热闹”和“门道”体现了哲学上哪对关系? (2)“案例”作为生动、丰富、具体的材料,在专家形成“理念”过程中起到了什么作用? 5、(17分)城市是工人阶级集中的地方。我国城市人口占总人口比例呈逐步增长的趋势(表 1)。与此相适应,我国选举法对各级人大中农村和城市每一代表所代表的人口数比例的规 定,也有一个逐步变化的过程(表2)。 表1 城市人口占总人口比例 年份 1953 1979 1995 2009 比例(%) 13.26 18.96 29.04 46.6 表2 农村和城市每一代表所代表的人口数比例(以全国人大为例) 选举法制定或修改 1979( 修 1995( 修 1953(制定) 2010(修改) 年份 改) 改) 农村和城市每一代 表所代表的人口数 8∶1 8∶1 4∶1 1∶1 比例 注:“8∶1”也即,如果农村每80万人口可分配到一个全国人大代表名额,城市则每10万 人口就可分配到一个全国人大代表名额。其他类推。 (1)运用我国国家性质和选举制度知识分析说明上述材料。 (2)运用一切从实际出发知识分析说明上述材料。 6、(12分)读图并运用经济常识回答: 图1 1990~2008年城镇百户家庭家电产品普及率图2 1990~2008年城镇居民可支配收入 (1)图1反映了哪些经济现象? (2)分析说明图1、图2之间的相互联系。 (3)电脑普及率将呈何种发展趋势?从不同角度举出两条理由。 7、(7分) “小白菜”“海宝蓝”……志愿者已经成为世博会最靓丽的风景线。对于“世博会后,中学生能 否更加积极参与志愿服务”这一话题,某高中生的观点是:能!他的理由是: (1)从汶川到玉树,从特奥会到奥运会,到处都能看到志愿者的身影。这些志愿者对中学生 具有榜样作用。 (2)由20万注册志愿者和200多万城市文明志愿者参与的2010年上海世博会,是志愿者的 “长跑”。乐于奉献、积极参与志愿服务的社会风气正在影响千千万万中学生。 运用内外因辩证关系知识,评价该高中生的理由是否充分支持其观点,并加以分析说明。 8、(20分) 运用政治常识,结合国内外因素,阐述对“我国将始终不渝走和平发展道路”的理解。 要求:(1)围绕论题,在论述中正确运用所学过的马克思主义基本立场、观点和方法。 (2)围绕论点,较为全面深入地展开论述。 (3)根据论题要求,运用相关材料,理论联系实际地加以论证。 (4)论点紧扣论题,论述合乎逻辑,学科术语使用规范。