当前位置:首页>文档>2010年上海市高中毕业统一学业考试政治试卷(答案版)_全国卷+地方卷_9.政治_1.政治高考真题试卷_2008-2020年_地方卷_上海高考政治真题03-17

2010年上海市高中毕业统一学业考试政治试卷(答案版)_全国卷+地方卷_9.政治_1.政治高考真题试卷_2008-2020年_地方卷_上海高考政治真题03-17

  • 2026-04-11 10:28:59 2026-03-04 20:49:31

文档预览

2010年上海市高中毕业统一学业考试政治试卷(答案版)_全国卷+地方卷_9.政治_1.政治高考真题试卷_2008-2020年_地方卷_上海高考政治真题03-17
2010年上海市高中毕业统一学业考试政治试卷(答案版)_全国卷+地方卷_9.政治_1.政治高考真题试卷_2008-2020年_地方卷_上海高考政治真题03-17
2010年上海市高中毕业统一学业考试政治试卷(答案版)_全国卷+地方卷_9.政治_1.政治高考真题试卷_2008-2020年_地方卷_上海高考政治真题03-17
2010年上海市高中毕业统一学业考试政治试卷(答案版)_全国卷+地方卷_9.政治_1.政治高考真题试卷_2008-2020年_地方卷_上海高考政治真题03-17
2010年上海市高中毕业统一学业考试政治试卷(答案版)_全国卷+地方卷_9.政治_1.政治高考真题试卷_2008-2020年_地方卷_上海高考政治真题03-17
2010年上海市高中毕业统一学业考试政治试卷(答案版)_全国卷+地方卷_9.政治_1.政治高考真题试卷_2008-2020年_地方卷_上海高考政治真题03-17
2010年上海市高中毕业统一学业考试政治试卷(答案版)_全国卷+地方卷_9.政治_1.政治高考真题试卷_2008-2020年_地方卷_上海高考政治真题03-17
2010年上海市高中毕业统一学业考试政治试卷(答案版)_全国卷+地方卷_9.政治_1.政治高考真题试卷_2008-2020年_地方卷_上海高考政治真题03-17
2010年上海市高中毕业统一学业考试政治试卷(答案版)_全国卷+地方卷_9.政治_1.政治高考真题试卷_2008-2020年_地方卷_上海高考政治真题03-17
2010年上海市高中毕业统一学业考试政治试卷(答案版)_全国卷+地方卷_9.政治_1.政治高考真题试卷_2008-2020年_地方卷_上海高考政治真题03-17
2010年上海市高中毕业统一学业考试政治试卷(答案版)_全国卷+地方卷_9.政治_1.政治高考真题试卷_2008-2020年_地方卷_上海高考政治真题03-17
2010年上海市高中毕业统一学业考试政治试卷(答案版)_全国卷+地方卷_9.政治_1.政治高考真题试卷_2008-2020年_地方卷_上海高考政治真题03-17
2010年上海市高中毕业统一学业考试政治试卷(答案版)_全国卷+地方卷_9.政治_1.政治高考真题试卷_2008-2020年_地方卷_上海高考政治真题03-17

文档信息

文档格式
doc
文档大小
0.060 MB
文档页数
13 页
上传时间
2026-03-04 20:49:31

文档内容

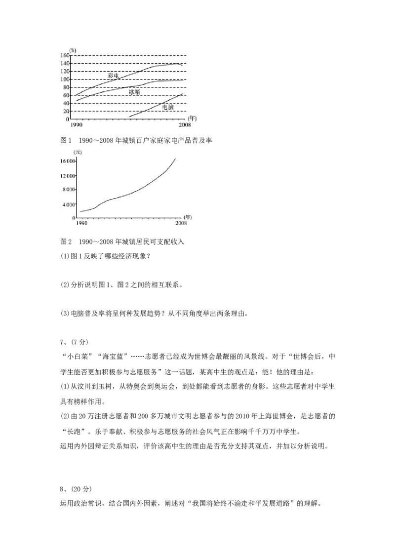
绝密★启封前 2010 年普通高等学校招生全国统一考试 政治(上海卷) 一、选择题 ( 本大题 共 30 题, 共计 69 分) 1、(2分)2009年10月1日,胡锦涛在庆祝中华人民共和国成立60周年大会上指出,新中 国60年的发展进步充分证明( ) A.只有改革创新才能发展中国、发展社会主义、发展马克思主义 B.只有对外开放才能发展中国、发展社会主义、发展马克思主义 C.只有科学发展才能发展中国、发展社会主义、发展马克思主义 D.只有改革开放才能发展中国、发展社会主义、发展马克思主义 2、(2分)中共十七届四中全会强调,必须加强和改进新形势下( ) A.社会主义新农村建设 B.廉政建设 C.社会主义和谐社会建设 D.党的建设 3、(2分)2009年6月,“金砖四国”领导人首次正式会晤。“金砖四国”是指( ) A.中国、越南、古巴、朝鲜 B.中国、美国、日本、韩国 C.中国、俄罗斯、印度、巴西 D.中国、美国、日本、俄罗斯 4、(2分)在第21届冬奥会上实现我国花样滑冰项目奥运金牌“零的突破”的运动员是( ) A.庞清、佟健 B.张丹、张昊 C.申雪、赵宏博 D.王濛、刘佳宇 5、(2分)《国家中长期教育改革和发展规划纲要》提出的战略目标是,到 2020年我国基 本实现教育现代化,基本形成学习型社会,进入( ) A.人力资源大国行列 B.人力资源强国行列 C.人才资源大国行列 D.人才资源强国行列 6、(2分)2009年世界粮食日的主题是( ) A.保护生态,实现粮食安全 B.预防灾害,实现粮食安全 C.应对危机,实现粮食安全 D.保护耕地,实现粮食安全 7、(2分)任何特定阶级和社会集团从事政治活动的目的,归根到底是为了( ) A.夺取或巩固国家政权 B.管理社会公共事务 C.解决或协调内部矛盾 D.维护自身根本利益 8、人民政协是中国共产党领导的最广泛的爱国统一战线组织。下列属于其职能的是( )A.批准2010年中央预算 B.建议更加关心新生代农民工 C.修改《保守国家秘密法》 D.决定政协委员陈竺担任卫生部部长 9、(2分)某高一学生希望市政府有关部门在地铁站附近设置自行车停车点或租赁点,以方 便市民出行。他表达这一意愿的方式可以是( ) ①通过人大代表转达 ②给“市长信箱”留言 ③拨打“市民热线” ④向《新民晚报》反映 A.① B.①② C.①②③ D.①②③④ 10、(2分)“制造成本价”、“批发价”、“零售价”,这些“价”所对应的经济活动的 环节分别是( ) A.分配、交换、消费 B.分配、交换、分配 C.生产、消费、消费 D.生产、交换、交换 11、(2分)面对历史罕见的西南地区特大旱灾,财政部紧急安排了5 000万元特大抗旱补 助经费,支持云南、广西做好抗旱工作。这笔经费取自于( ) A.社会积累基金 B.社会消费基金 C.社会补助基金 D.社会生产基金 12、(2分)企业年金是指在依法参加基本养老保险的基础上,企业及其职工自愿建立的补 充养老保险。截至2008年底,全国已有3.3万户企业建立了企业年金制度。这一制度( ) A.扩充了职工医疗保险品种 B.增加了职工工资收入 C.提高了职工社会福利水平 D.满足了职工较高层次保障需要 13、(2分)贯彻科学发展观,就要树立正确政绩观,彻底改变“唯GDP论英雄”的政绩评 价方式。这是因为GDP不能( ) A.反映经济实力和市场规模 B.进行国际经济的横向比较 C.全面反映人民的幸福程度 D.反映社会经济结构的变动情况 14、(2分)本世纪初,国外某小镇一度出现了人们持“券”进行买卖的景象,“券”由小 镇自行印发,在全镇范围内流通。尽管最终没有得到国家认可,但当时,这种“券”( ) A.为物物交换提供了便利 B.增加了小镇的财富 C.执行着交换媒介的功能 D.具有法定的含金量 15、(2分)有序性是现代市场的特征之一。下列起到维护市场秩序作用的是( ) A.引导各类生产要素在市场内优化配置B.严厉打击制假售假、商业欺诈等违法行为 C.激发企业采用技术创新手段降低生产成本 D.允许所有商品生产经营者、购买者都可以进入市场 16、(2分)河北钢铁集团以19亿元人民币收购石家庄钢铁有限责任公司80%股权,中国浙 江吉利控股集团以18亿美元并购瑞典沃尔沃轿车公司。“收购”“海外并购”的直接结果 是( ) A.产品质量的提升 B.企业资产的重组 C.市场供求的平衡 D.产业布局的调整 17、(2分)马克思主义哲学具有高度的科学性和实践性,实践性是指( ) A.正确阐明整个世界发展最普遍的规律 B.以改造客观世界为目的 C.有效提供改造客观世界的观点和方法 D.以认识客观世界为目的 18、(2分)人类社会发展的决定力量是( ) A.地理环境 B.人口因素 C.人的观念 D.生产方式 19、(2分)温家宝在和北大学子共度“五四”青年节时,与学生挥毫相和:仰望星空、脚 踏实地。这寄托了总理对青年一代的殷切希望。对这八个字的正确理解是( ) A.既要实现社会价值,又要实现自我价值 B.既要树立崇高理想,又要投身社会实践 C.既要学习间接经验,又要积累直接经验 D.既要改造客观世界,又要改造主观世界 20、(2分)到“十二五”末,本市人口年龄结构失衡的矛盾将更加突出。为此,有关部门 提出,应加快研究和推行多种养老模式,以提升社会服务水平,提高人们生活质量,推进 社会进步。材料体现的哲理有( ) A.主要矛盾决定事物的性质 B.矛盾以人们的主观意志为转移 C.矛盾的斗争性在事物发展中起决定作用 D.矛盾是事物变化发展的动力 21、(2分)碘是人体必需的元素,但“一刀切”补碘会使有些人摄碘过量。作为非缺碘地 区,上海市场增售无碘盐,市民可以根据实际情况自主调节摄碘量。材料体现的哲理有( ) ①做事情要把握度 ②看问题要力求全面 ③具体问题要具体分析 ④做事情要突出重点 A.①②③ B.①②④ C.②③④ D.①③④ 22、(3分)(不定项选择)10位来自基层的群众应邀在国务院会议室对《政府工作报告(征求 意见稿)》提出了意见和建议。这体现着政府重视( )A.决策的民主化 B.公民的参与权 C.基层群众自治 D.公民的表达权 23、(3分)(不定项选择)初春三月,来自全国各地区、各民族的近3 000名人大代表肩负 全国人民的重托,云集一堂,商定国是。人民代表大会制度的优越性在于( ) A.保障亿万人民当家作主 B.有利于加强和改善党的领导 C.保证国家机关协调高效运转 D.便于人民直接行使国家权力 24、(3分)(不定项选择)公务员是人民的公仆,以人民为尊、为重。以下体现公务员恪守 “公务员准则”的是( ) A.了解民情民意 B.维护社会公正 C.提高办事效率 D.坚持公开行政 25、(3分)(不定项选择)以下旨在保护劳动者平等就业和选择职业权利的措施是( ) A.劳动者积极搜集就业方面的信息 B.中国农业银行为劳动者创业提供资金支持 C.国家禁止将携带乙肝病毒作为限制就业的条件 D.法律规定企业不得解除因工负伤职工的劳动合同 26、(3分)(不定项选择)目前,我国非公有制经济上缴国家的税收比重不断增加,95%中小 企业是非公有制经济,私营企业和个体工商户从业人员共约 1.5亿。这说明非公有制经济( ) A.对国民经济起支配作用 B.是支撑国民经济的主体 C.为国民经济注入活力 D.主要分布在第三产业 27、(3分)(不定项选择)我国外贸总量位列世界前茅。据2009年统计,其中加工贸易占 41.2%,在对外贸易的企业中,外商投资企业占55.2%。由此可见( ) A.我国贸易强国的地位已经确立 B.我国与贸易伙伴依存关系紧密 C.利用外资是我国对外开放的形式 D.丰富的劳动力资源是我国对外贸易优势 28、(3分)(不定项选择)创造性思维是以新颖独创的方法解决问题的思维过程。下图以鸡 蛋加工的两种方式为例,类比一种创造性思维模式。比较两图可见,“新加工方式”的新 颖独创表现在( ) A.引起鸡蛋性质的变化 B.全盘否定原有加工方式C.创造出新的加工程序 D.把握煮熟生鸡蛋的必要条件 29、(3分)(不定项选择)有英国学者指出,由于人文与科技这两种文化的分裂,学术界逐 渐丧失了整体文化观,加重了生态失衡、环境污染、价值观念混淆等危机。这说明人文与 科技两种文化应该( ) A.相互联系 B.构成统一整体 C.互为条件 D.相互影响 30、(3分)(不定项选择)建国60余年来,我们所取得的辉煌成就凝结着人民群众的奉献和 创造性劳动。这说明( ) A.要相信人民群众,依靠人民群众 B.尊重实践与尊重人民群众不可分离 C.人民群众对社会历史发展起推动作用 D.人民群众创造历史不受历史条件制约 二、非选择题 ( 本大题 共 8 题, 共计 81 分) 1、(4分)浦东的开发开放抒写了精彩华章,成为上海现代化建设的缩影和中国改革开放的 象征。 (1)2010年是浦东开发开放多少周年? (2)列举两个2009年以来落户浦东新区的项目。 2、(9分)截至2008年底,全国共建立了155个民族自治地方。长期以来,这些地区的发展 得到国家大力支持。近期,党中央、国务院再次决定对新疆加大政策支持力度。 (1)运用民族知识简要回答:国家大力支持少数民族地区发展的目的是什么? (2)对新疆困难地区符合条件的企业给予企业所得税减免优惠,是此次政策之一。运用经济 常识回答:这一政策运用了宏观调控的哪个手段?该政策的实施对新疆困难地区的企业会 产生怎样的积极影响? 3、(6分)2005年3月发行的某5年期国债于今年到期归还本金并支付全部利息,年利率 3.81%,不计复利。运用经济常识简要回答: (1)发行时购买的1万元该国债,今年到期后可以获得多少利息? (2)从理财的角度看,人们购买国债的理由有哪些?4、(6分)为诠释“城市,让生活更美好”的主题,上海世博会设立了城市最佳实践区,集 中展示全球有代表性的城市实践案例,这在世博史上尚属首次。在众多参观者中,相关专 家悟出了宜居城市规划理念:空间紧凑、功能集聚、低碳节能,可持续发展,真可谓“外 行看热闹,内行看门道”。 运用“探索规律 实事求是”相关知识简要回答: (1)“热闹”和“门道”体现了哲学上哪对关系? (2)“案例”作为生动、丰富、具体的材料,在专家形成“理念”过程中起到了什么作用? 5、(17分)城市是工人阶级集中的地方。我国城市人口占总人口比例呈逐步增长的趋势(表 1)。与此相适应,我国选举法对各级人大中农村和城市每一代表所代表的人口数比例的规 定,也有一个逐步变化的过程(表2)。 表1 城市人口占总人口比例 年份 1953 1979 1995 2009 比例(%) 13.26 18.96 29.04 46.6 表2 农村和城市每一代表所代表的人口数比例(以全国人大为例) 选举法制定或修改 1979( 修 1995( 修 1953(制定) 2010(修改) 年份 改) 改) 农村和城市每一代 表所代表的人口数 8∶1 8∶1 4∶1 1∶1 比例 注:“8∶1”也即,如果农村每80万人口可分配到一个全国人大代表名额,城市则每10 万人口就可分配到一个全国人大代表名额。其他类推。 (1)运用我国国家性质和选举制度知识分析说明上述材料。 (2)运用一切从实际出发知识分析说明上述材料。 6、(12分)读图并运用经济常识回答:图1 1990~2008年城镇百户家庭家电产品普及率 图2 1990~2008年城镇居民可支配收入 (1)图1反映了哪些经济现象? (2)分析说明图1、图2之间的相互联系。 (3)电脑普及率将呈何种发展趋势?从不同角度举出两条理由。 7、(7分) “小白菜”“海宝蓝”……志愿者已经成为世博会最靓丽的风景线。对于“世博会后,中 学生能否更加积极参与志愿服务”这一话题,某高中生的观点是:能!他的理由是: (1)从汶川到玉树,从特奥会到奥运会,到处都能看到志愿者的身影。这些志愿者对中学生 具有榜样作用。 (2)由20万注册志愿者和200多万城市文明志愿者参与的2010年上海世博会,是志愿者的 “长跑”。乐于奉献、积极参与志愿服务的社会风气正在影响千千万万中学生。 运用内外因辩证关系知识,评价该高中生的理由是否充分支持其观点,并加以分析说明。 8、(20分) 运用政治常识,结合国内外因素,阐述对“我国将始终不渝走和平发展道路”的理解。要求:(1)围绕论题,在论述中正确运用所学过的马克思主义基本立场、观点和方法。 (2)围绕论点,较为全面深入地展开论述。 (3)根据论题要求,运用相关材料,理论联系实际地加以论证。 (4)论点紧扣论题,论述合乎逻辑,学科术语使用规范。2010 年普通高等学校招生全国统一考试 政治(上海卷)答案解析 一、选择题 ( 本大题 共 30 题, 共计 69 分) 1、(2分) D 2、(2分) D 3、(2分) C 4、(2分) C 5、(2分) B 6、(2分) C 7、(2分) D 参加政治活动的根本目的是维护自身(阶级、社会集团)的根本利益。夺取、 巩固国家政权是实现自身(阶级、社会集团)利益的重要手段。因此,A项不选;B、C两项 是国家的统治阶级获得政权以后为实现其阶级利益、维护其统治而行使的职能,不符合要 求。故选D项。 8、(2分) B 批准国家预算是全国人大行使决定权的职能;修改国家法律是全国人大行使 立法权的职能;决定国家领导人选是全国人大行使其任免权的职能;因此,A、C、D三项 不选。建议更加关心新生代农民工,属于人民政协参政议政的职能。故选B项。 9、(2分) D 人大代表应该“听取和反映人民群众的意见和要求”。因此,该学生的意愿 可以由人大代表转达给相关部门,①正确。②③④都是公民参与民主决策、民主监督的合 法途径,也可以成为该生表达自己意愿、提出自己建议的方式。 10、(2分) D “制造成本价”发生在生产过程中;“批发价”发生在交换过程中;“零 售价”同样发生在交换过程中。故选D项。 11、(2分) A 社会积累基金是指国民收入中用于扩大再生产、非生产性建设和物资储备 的部分。其中的社会后备基金用于应付意外事件的自然灾害。材料中的抗旱经费应该来自 这一部分。社会消费基金是指国民收入中用于个人和社会公共消费的基金;社会补助基金 是指专门用于对社会特殊成员生活困难补助的基金;社会生产基金是指企业所拥有的、处 在生产领域中的那部分资金。故选A项。 12、(2分) D 解答此题首先要认真阅读材料,明白什么是企业年金。企业年金是一种养 老保险,与A项中的医疗保险不同;养老等社会保险不会增加职工的工资、福利,B、C两 项不正确;国家基本养老保险制度满足了职工的基本生活需要,在此基础上的企业年金制 度则进一步保障了职工较高层次的保障需要,D项正确。 13、(2分) C GDP是指一国(或地区)一年以内在其境内生产出的全部最终产品和劳务的市 场价值总和。GDP是衡量一个国家(或地区)综合实力的重要指标。本题的立意较新,要求 说明GDP这一指标的局限性,即“不能”怎样。在四个选项中,C项中的人民幸福指数是 不能通过GDP来反映的,因为GDP的提高并不意味着人民的幸福指数一定提高。幸福指数 还会受到其他主客观条件的影响。 14、(2分) C 人们持“券”买卖,说明这里的“券”具有了货币的部分职能,即执行了 流通手段的职能。没有得到国家的认可,说明D项不正确。 15、(2分) B 维护市场秩序,是指打击各种市场上的违法行为,保护各市场主体的合法 权益。B项正确。A、C两项与市场秩序无关,D项则是对市场秩序的破坏。 16、(2分) B 企业间的“收购”与“海外并购”直接导致了企业资产的重组。C项与材料 无关,A、D两项是间接起到的结果。17、(2分) B 马克思主义哲学的实践性是指马克思主义哲学以改造客观世界为目的,将 其理论建立在社会实践的基础之上,并在实践中接受检验、发展。与此相符合的是B项。 18、(2分) D 人类社会存在和发展的决定性因素是人类社会的生产方式,生产方式是生 产力与生产关系的统一。 19、(2分) B “仰望星空”是说青年学生必须具有远大的理想;“脚踏实地”是要求青 年学生要立足社会实践。与材料要求相符合的是B项。 20、(2分) D 材料中的主要内容是:上海市出现了人口年龄结构失衡的问题,有关部门 根据这一问题研究新的解决办法。前者是后者的原因,后者是前者的结果。而政府部门的 新政策必定会推进社会的进步与发展。这体现了事物在矛盾的解决中发展的道理。故 D项 正确。 21、(2分) A 材料中提出:加碘不能“一刀切”,更不能过量,而应该从实际出发。其 中的哲学道理主要有从实际出发、实事求是,具体问题具体分析、正确把握事物的度等。 ①②③均与题目要求相符合。④中的“突出重点”,在材料中没有体现。 22、(3分) ABD 基层群众对《政府工作报告》提出自己的意见,是公民行使政治权利、 参与民主决策的表现,有利于政府决策的民主化、科学化。A、B、D三项为正确选项。C项 中的基层群众自治包括农村的村民自治和城市的居民自治,与材料无关。 23、(3分) ABC A、C两项直接来自教材中关于人民代表大会制度的内容,为正确选项。D 项中的“直接行使”表述错误,不选。人民当家作主、党的领导和依法治国相统一,是我 国社会主义民主特点和优势的体现,人民当家作主的实现,有利于加强和改善党的领导,B 项正确。 24、(3分) ABCD 公务员恪守“公务员准则”,就是指国家工作人员应该尽到的基本义务。 A、B、C、D四项都是对国家机关工作人员的行为要求,均为本题的正确选项。 25、(3分) CD 解答此题必须看准题目中“保护平等就业和选择职业”的要求。A、B两项 中的内容都有利于促进社会就业,但均与实现“平等就业”无关。保护乙肝病毒携带者不 受到限制、禁止解除工伤人员的劳动合同,都是维护劳动者平等就业权利的体现。 26、(3分) C 材料中有三个关于非公经济的资料:上缴国家的税收比重提高、企业数量 多、从业人员多。这三项内容说明非公有制经济在我国国民经济已占有十分重要的地位。C 项与材料内容一致。A项中的“支配”不正确;B项中的“主体”错误;D项说法不准确。 27、(3分) BCD 材料中有两个数据:一是加工贸易占我国外贸的比重大;二是外资企业 在我国外贸中的比重大。A项中的“贸易强国的地位已经确立”不符合实际,不选。贸易 总量位列世界前茅,说明我国与各贸易伙伴国关系日益密切,B项正确;外资企业比重大, 说明利用外资是我国对外开放的重要形式,C项正确;对外加工贸易比重大,是我国劳动 力资源占优势的结果,D项正确。 28、(3分) C “新”“旧”两种加工方式的变化,不会改变鸡蛋的性质,A项不正确; “新”方式继承了“旧”方式的合理成分,B项不正确;两种方式都把生鸡蛋煮熟,不是 创新表现,D项不正确。“新”方式是在“旧”方式基础上创造出的一种新的加工方式,C 项正确。 29、(3分) ABCD 各种“危机”的出现,源于“人文”与“科技”的分裂。说明人文与科 技是相互联系、相互影响、相互作用、互为条件的,共同构成一个统一的整体。四个选项 均为正确选项。 30、(3分) ABC 人民群众的劳动创造了各种成就,说明人民群众是历史的创造者,党和 政府应该坚持以人为本,尊重人民群众的尊严。与此意相符合的有A、B、C三项。D项中 的“不受”历史条件制约是一种唯心史观,不选。 二、非选择题 ( 本大题 共 8 题, 共计 81 分)1、(4分) (1)20。 (2)举例必须反映2009年以来落户浦东新区的项目,如,大飞机制造中心、中国商用飞机 总装制造中心、迪斯尼项目等。 解析:本题为时政题目,考查对社会相关知识的识记。 2、(9分) (1)实现各民族共同繁荣,维护民族团结、社会稳定、国家统一。 (2)财政政策手段。减免企业所得税有助于解决新疆困难地区企业的资金问题;降低企业生 产成本,增加收入;提高企业自身扩大生产规模、提升技术水平的实力和积极性,促进企 业生产发展。 解析:第(1)问要求回答支持少数民族地区发展的目的,可参考实现民族共同繁荣的意义来 组织答案。第(2)问首先说明政府的减税政策是宏观调控的哪种手段,属于理解类题目,难 度不大。答出财政手段或者经济手段都可以。然后分析减税政策对企业的影响,应该结合 企业的发展,从降低企业成本、解决企业资金困难、扩大企业的规模、提升企业技术水平 竞争力等不同的角度进行回答。 3、(6分) (1)1 905元。 (2)国债是一种信誉最高的债券,可以规避投资风险;国债有一定的利息收入,可以实现财 产的增值;国债可以在证券市场转让。 评分说明: 答安全性、盈利性、流动性,并有一定解释,可酌情给分,本题不超过4分。 解析:第(1)问为计算题。1万×3.81 %×5=1 905元。第(2)问要求说明人们购买国债的 理由,实质是要求说明国债投资的特点,可结合国债的风险、收益和流通性分析。 4、(6分) (1)现象和本质的关系,或答感性认识和理性认识的关系。 (2)考生可以有两种回答: 第一种答案示例:这些“案例”作为丰富、生动、具体的材料,使专家对此形成的感性认 识能够为理性认识的形成提供丰富的感性材料,只有在掌握丰富的感性材料的基础上,才 能对宜居城市的本质作出正确概括,形成理性认识,即“理念”。 解析:解答此题,首先要把握运用“探索规律 实事求是”相关知识的要求,切莫做无用 功。在第(1)问中,要求说出“热闹”与“门道”的哲学含义,结合材料中的“外行”与 “内行”的表述,就是哲学上说的现象与本质、规律。解答第(2)问,必须要认真分析材料 中的内容。材料中有两个关键词,“案例”和“专家理念”。“案例”是认识的感性材料 是现象;“专家理念”是理性认识,是对事物本质与规律的把握。感性材料与理性认识的 关系、现象与本质、规律的关系,构成了此问两个参考答案的基本思路。 5、(17分) (1)上述材料表明,建国以来,我国选举制度随着国情的变化而逐步发展,完 善。 1953年与1979年鉴于当时城市人口比例,选举法作出“8∶1”等不同规定,这保证了工 人阶级在国家政治生活中的领导地位,符合我国人民民主专政的国家性质。也说明选举制 度的发展受经济社会发展状况的制约。 基于城市人口比例不断增长,1995年改为“4∶1”,今年改为“1∶1”,这说明随着国情 变化我国逐步实现了城乡选举权人人平等,使公民的选举权得到切实保障。 我国选举制度乃至整个中国特色社会主义民主必将随着经济社会继续发展而不断走向完善。 (2)辩证唯物主义认为,物质第一性、意识第二性。我们想问题、办事情都要一切从实际出 发。 选举法的多次修改,符合我国不断变化着的实际,说明从实际出发就是要从客观存在的事 实出发,按照实际情况办事。客观实际是不断变化的,我们的主观思想符合客观实际是个 过程。解析:本题的两问分别要求从“我国的国家性质和选举制度”与“一切从实际出发”两个 不同的角度来对材料进行分析。材料的主要内容是以我国“城乡同票”改革为背景,围绕 我国的“选举制度”改革而展开的。回答第(1)问,必须要在说明我国选举制度发生了哪些 变化的基础上,指出这些变化的原因、意义等内容。要说明这些问题,必须将选举制度扩 展到民主制度、国家性质等更深一层的问题上。第(2)问则要求首先将与“从实际出发”相 关的哲学原理写出来,即物质和意识的辩证关系,以及由其决定的方法论。然后再说明我 国的选举制度改革符合以上哲学原理的要求即可。 6、(12分) (1)三种家电中,彩电普及率最高,总体呈上升趋势,最近两年略有下降;冰 箱普及率总体呈上升趋势,接近100%时,增长趋缓;电脑普及率增长迅速。 (2)联系图1、2,1990~2008年,居民可支配收入与家电普及率都呈增长趋势,说明随着城 镇居民可支配收入的提高,人们的消费水平也逐步提高。家电普及率提高有利于发挥消费 对生产的动力功能,从而为居民收入提高创造条件。 在居民可支配收入增长的同时,各种家电普及率增长速度不同,电脑的增长速度最快,说 明随着城镇居民可支配收入的提高,人们的消费结构也在优化,发展性、享受性消费比重 逐步扩大。 (3)考生回答可以是“呈增长趋势”也可以是“呈下降趋势”,所陈述理由应围绕收入水平、 生产成本和消费需求等角度展开。 能分别从两个角度举出两条理由,且都能与判断相一致或原属于1分或2分等级的,但答 到“彩电可以被电脑代替”。 能举出两条与判断相一致的理由,但都属于一个角度。 只有一条理由与判断相一致。 没有应答,或应答内容与问题无关,或仅对趋势作判断,而没有陈述理由。(0分) 解析:第(1)问要求说明图1中反映出的经济现象,考查从材料中提取有效信息的能力。回 答此类题目,首先要找出图表题目中的关键词,即“家电普及率”和“居民可支配收入” 然后再分析图表中数据体现出的变化趋势和规律。这样就可以写出完整的答案来了。第(2) 问要求说明图1和图2的联系,只要看出其实质是要求说明两个关键词“家电普及率”和 “居民可支配收入”的关系就很容易作答了。第(3)问要求分析家电普及率的变化趋势,并 说明理由。此题具有开放性,考生回答“上升”或“下降”均可,但必须能正确地说明支 持自己观点的理由。 7、(7分) 在事物的变化发展中,内外因同时存在,缺一不可。内因是事物变化发展的根 据,外因是事物变化发展的条件,外因通过内因而起作用。 志愿者已经成为中学生的榜样,乐于奉献的社会风气已经形成等,这些理由都强调了外因 的作用。但是,事物的变化发展是内外因共同起作用的结果,外因只是事物变化发展的条 件。 理由中忽略了中学生自身的原因。内因是事物变化发展的根据,外因通过内因而起作用, 只有当中学生认识到志愿者精神的价值,并内化为自身品质,他们才会在良好社会风气等 外因的影响下更加积极参与志愿服务。 因此,该高中生的理由不能充分支持他的观点。 解析:此题的设计比较新颖。材料中有一个话题、一个对该话题的回答和其两条论据。题 目要求对材料中的两条论据进行评价,分析它们是否支持其观点。题目中要求运用内外因 辩证关系说明。对论据进行评析,首先要求考生自己能够全面正确地分析题目中的话题。 内外因辩证关系要求从内因和外因两个方面来分析事物的变化发展。但材料中的两条论据 都是从外因的角度进行的说明,只说明了问题的一个方面,而忽视了内因对事物发展变化 的作用,因此是不充分的。组织答案时,应该首先准确地写出哲学原理的内容,再逐层分析题目中的问题。 8、(20分) 我国将始终不渝走和平发展道路,是由我国国家性质与时代主题所决定的。 (1)始终不渝地“发展”。从国内因素看,人民民主专政的国家性质决定了必须以发展满足 人民需要,如近年来政府特别重视以经济发展促进教育、医疗、住房等民生问题的解决, 发展始终是硬道理;从国际因素看,激烈的国际竞争决定了我国必须实现跨越式发展。 (2)始终不渝地“和平发展”,首先在于以和平促发展。我国必须利用国际和平环境促进国 内发展。没有和平的国际环境,任何国家都难以发展;我国必须利用和平环境加强国际合 作,解决国内发展中遇到的各类全球性问题,如,积极参与签订“哥本哈根协议”,应对 全球气候变化难题,没有国际合作,任何一国都难以独自解决各种全球性问题。 (3)始终不渝地“和平发展”,还在于以发展促和平。事实已证明,我国在对外交往中一贯 坚持走和平发展道路,凭借国内发展不断积累的综合国力,为维护国际和平作出重要贡献 如,参与国际维和、打击海盗行动等,我国国际影响力日益提高。事实将证明,我国发展 到更加强大后也永远不会称霸,而将始终不渝走和平发展道路,凭借更强的国力促进国际 和平。因为我国人民饱受欺凌与战争之苦,最珍爱和平;追求和平是中华文化传统与中国 人民精神特征;和平与发展是世界潮流,我们必须顺应之。 解析:本题要求运用政治常识的知识,阐述对我国“始终不渝走和平发展道路”的理解。 实质是要求写一篇政治小论文。和平发展,包括了和平与发展两个方面,要求从不同的角 度分别说明这两个问题。本题可以利用的理论很多,可以是我国的国家性质、可以是我国 的外交政策,也可以是当今的国际、国内形势。需要注意的是,每一点都必须围绕主题, 并有一定的理由和事例支持。