当前位置:首页>文档>四川省成都列五中学2024-2025学年高三上学期入学摸底测试地理试题Word版无答案_A1502026各地模拟卷(超值!)_9月_240909四川省成都列五中学2024-2025学年高三上学期入学摸底测试

四川省成都列五中学2024-2025学年高三上学期入学摸底测试地理试题Word版无答案_A1502026各地模拟卷(超值!)_9月_240909四川省成都列五中学2024-2025学年高三上学期入学摸底测试

  • 2026-04-08 01:58:30 2026-03-08 06:11:06

文档预览

四川省成都列五中学2024-2025学年高三上学期入学摸底测试地理试题Word版无答案_A1502026各地模拟卷(超值!)_9月_240909四川省成都列五中学2024-2025学年高三上学期入学摸底测试
四川省成都列五中学2024-2025学年高三上学期入学摸底测试地理试题Word版无答案_A1502026各地模拟卷(超值!)_9月_240909四川省成都列五中学2024-2025学年高三上学期入学摸底测试
四川省成都列五中学2024-2025学年高三上学期入学摸底测试地理试题Word版无答案_A1502026各地模拟卷(超值!)_9月_240909四川省成都列五中学2024-2025学年高三上学期入学摸底测试
四川省成都列五中学2024-2025学年高三上学期入学摸底测试地理试题Word版无答案_A1502026各地模拟卷(超值!)_9月_240909四川省成都列五中学2024-2025学年高三上学期入学摸底测试
四川省成都列五中学2024-2025学年高三上学期入学摸底测试地理试题Word版无答案_A1502026各地模拟卷(超值!)_9月_240909四川省成都列五中学2024-2025学年高三上学期入学摸底测试
四川省成都列五中学2024-2025学年高三上学期入学摸底测试地理试题Word版无答案_A1502026各地模拟卷(超值!)_9月_240909四川省成都列五中学2024-2025学年高三上学期入学摸底测试

文档信息

文档格式
docx
文档大小
1.022 MB
文档页数
6 页
上传时间
2026-03-08 06:11:06

文档内容

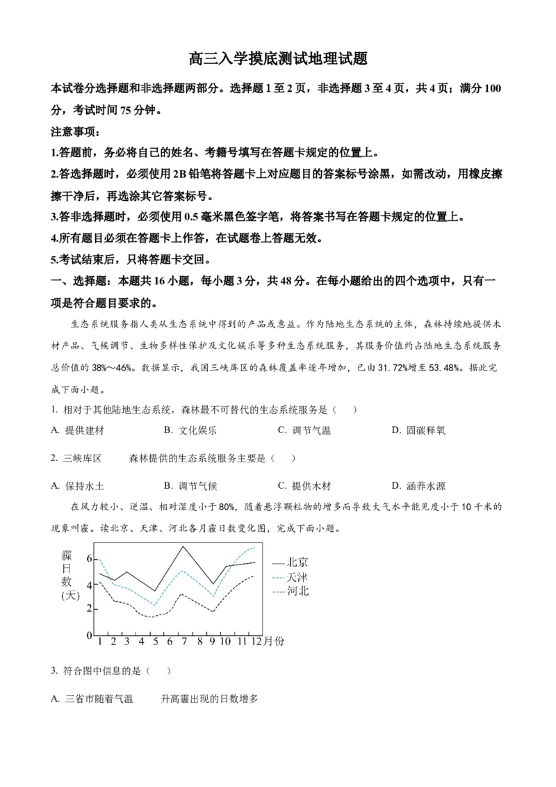
高三入学摸底测试地理试题 本试卷分选择题和非选择题两部分。选择题1至2页,非选择题3至4页,共4页;满分100 分,考试时间75分钟。 注意事项: 1.答题前,务必将自己的姓名、考籍号填写在答题卡规定的位置上。 2.答选择题时,必须使用2B铅笔将答题卡上对应题目的答案标号涂黑,如需改动,用橡皮擦 擦干净后,再选涂其它答案标号。 3.答非选择题时,必须使用0.5毫米黑色签字笔,将答案书写在答题卡规定的位置上。 4.所有题目必须在答题卡上作答,在试题卷上答题无效。 5.考试结束后,只将答题卡交回。 一、选择题:本题共16小题,每小题3分,共48分。在每小题给出的四个选项中,只有一 项是符合题目要求的。 生态系统服务指人类从生态系统中得到的产品或惠益。作为陆地生态系统的主体,森林持续地提供木 材产品、气候调节、生物多样性保护及文化娱乐等多种生态系统服务,其服务价值约占陆地生态系统服务 总价值的38%~46%。数据显示,我国三峡库区的森林覆盖率逐年增加,已由31.72%增至53.48%。据此完 成下面小题。 1. 相对于其他陆地生态系统,森林最不可替代的生态系统服务是( ) A. 提供建材 B. 文化娱乐 C. 调节气温 D. 固碳释氧 的 2. 三峡库区 森林提供的生态系统服务主要是( ) A. 保持水土 B. 调节气候 C. 提供木材 D. 涵养水源 在风力较小、逆温、相对湿度小于80%,随着悬浮颗粒物的增多而导致大气水平能见度小于10千米的 现象叫霾。读北京、天津、河北各月霾日数变化图,完成下面小题。 3. 符合图中信息的是( ) 的 A. 三省市随着气温 升高霾出现的日数增多B. 北京、天津两地霾日数比河北省偏多 C. 三省市霾日数最多的月份均在7月 D. 三省市霾日数冬季差异最为显著 4. 造成河北冬季霾日数与其他季节差异较大的原因可能是( ) A. 降水天数多,霾日数少 B. 燃煤取暖季,霾日数多 C. 晴天日数多,霾日数少 D. 大风天数多,霾日数多 2020年起我国将全面推广使用乙醇汽油,它是一种由粮食及各种植物纤维加工制成的乙醇和普通汽油按比 例混配形成的新型能源。完成下面小题。 的 5. 从自然资源 自然属性来看,汽油属于矿产资源,而乙醇属于 A. 气候资源 B. 矿产资源 C. 生物资源 D. 土地资源 6. 推广使用乙醇汽油的突出意义是 A. 提高能源利用率 B. 改善大气质量 C. 缓解交通拥挤 D. 强化能源安全 位于河西走廊的张掖是我国最大的玉米制种基地,承担着保障国家用种安全的重任。全国玉米种植面 积有6亿多亩,其中一半的种子产自张掖。当地所产玉米种子颗粒饱满,耐储存。但近年来,当地制种玉 米播种面积呈现逐年减少的趋势。据此完成下面小题。 7. 张掖适宜玉米种子储存的自然条件是( ) A. 昼夜温差大 B. 太阳辐射强 C. 空气湿度小 D. 种子品质好 8. 当地制种玉米播种面积逐年减少,主要是因为( ) . A 进口种子增多 B. 饮食习惯改变 C. 市场需求减小 D. 种子收益较低 矿产地的储备是保障国家资源安全的重要举措。我国某区域将对辖区内铁矿陆续关停,剩余铁矿资源 以矿产地形式进行储备。有专家建议,如有必要,将来可在该区域中选择甲地作为可开采区。 下图示意该 区域铁矿资源分布状况。 据此完成下面小题 9. 该区域将剩余铁矿资源转化为矿产地储备对资源安全的作用是( ) A. 提高资源品位 B. 增加资源数量 C. 开发替代资源 D. 保障稳定供给10. 甲地作为建议可开采区的优势条件是( ) A. 矿区面积大 B. 位于水库下游 C. 河流汇集多 D. 水资源承载力大 2024年,陕北—安徽±800千伏特高压直流输电工程(陕电入皖工程)和安徽岳西抽水蓄能电站开工 建设。陕电入皖工程是国家构建新型电力系统、建设新型能源体系的重点工程之一,要求电力资源输送中 可再生能源电量占比不低于50%。岳西抽水蓄能电站为日调节纯抽水蓄能电站。下图示意陕皖相关工程概 况。据此完成下面小题。 11. 陕北地区在陕电入皖工程中的主要优势有( ) ①电能储存技术发达 ②风能光能资源充足 ③煤炭资源储量丰富 ④水能资源分布集中 A. ①② B. ①③ C. ②③ D. ②④ 12. 陕皖相关工程中火电和抽水蓄能的相同作用是( ) A. 优化能源消费结构 B. 调节电力供应 C. 提高能源转换效率 D. 减少换流次数 13. 陕电入皖工程和岳西抽水蓄能电站可( ) ①减少陕北温室气体排放 ②助力陕北经济社会发展 ③降低安徽能源消耗总量 ④提高安徽电力保障能力 A. ①③ B. ②③ C. ①④ D. ②④ 水资源生态安全是指在一定区域内水资源系统能够满足区域内人类生存、经济与社会发展,维系良好 生态与环境所需的量与质,即满足生产用水、生活用水和生态用水安全。采用综合评价法将生态安全和农 业安全的压力、状态等指数相加,得到安全指数,其值在0~1之间,越接近1,表明安全状况越好。下图 示意2006~2015年北京市水资源安全对比。读图,完成下面小题。14. 水资源短缺会造成水资源农业安全指数变低,主要体现了自然环境的( ) A. 供给服务 B. 调节服务 C. 文化服务 D. 支撑服务 15. 北京市水资源生态安全指数在2008、2012年出现了两个峰值,原因最可能是( ) A. 人口数量增加 B. 年降水量较多 C. 农业节水灌溉 D. 工业产业转出 16. 为提高北京市水资源的生态安全水平,可采取的措施有( ) ①加大深层地下水开采的力度②完善雨水收集设施的建设 ③污水排入深层地下水④发展生态农业和循环农业 A. ②③ B. ②④ C. ①② D. ③④ 二、非选择题:本题共3小题,共52分。 17. 阅读图文材料,完成下列要求。 在人工染料出现之前,英国军服所用的染料是采自巴西以仙人掌为食的胭脂虫。为了获得更多的染料, 英国从巴西西南部热带草原引种仙人掌及胭脂虫到澳大利亚新南威尔士州东南部培养(如下图)。仙人掌 忌水涝,耐干旱,由于气候原因,仙人掌在新南威尔士州引种失败,但胭脂虫产业发展残留的仙人掌种子 被动物带到了昆士兰州。多年后,澳大利亚昆士兰州中西部的仙人掌泛滥成灾。 (1)从引种仙人掌目的角度指出仙人掌的服务功能。 (2)分析澳大利亚引种仙人掌到新南威尔士州培养失败的原因。 的 (3)简述昆士兰州仙人掌过度繁殖 危害。 18. 阅读材料,回答下列问题 锂是一种重要的新型战略资源,因在新能源领域应用广泛受到各国高度关注。全世界锂矿主要集中在 智利、澳大利亚、阿根廷三国,约占世界储量75%。中国是最大的锂消费国,2022年中国85%的锂原料需 要进口,60%来自澳大利亚。盐湖锂是通过抽取引流卤水,晒制、提取锂矿资源,卤水中与锂伴生的硼、钾、镁、钠等元素众多。 青海台吉乃尔湖区的锂资源占我国盐湖锂资源总量的63%,开发潜力巨大,但因锂资源开发条件等原因, 开采规模增长缓慢。下图为台吉乃尔湖区地理位置。 (1)说明中国锂资源安全存在的主要风险。 (2)分析台吉乃尔盐湖锂矿资源开采规模增长缓慢的原因。 (3)简述我国为保障锂矿资源供应安全可采取的措施。 19. 阅读图文材料,完成下列要求。 耕地由种植粮食作物改种非粮食作物的现象,称为种植结构“非粮化”。山东省种植结构“非粮化” 率空间差异明显,2019年鲁中南山地丘陵地区明显高于鲁西北平原地区。下图示意山东省山脉水系分布。 (1)鲁中南山地丘陵地区与鲁西北平原地区的种植结构“非粮化”率差异大,请从自然条件方面作出解 释。(2)近年来,山东省部分经济发达地区种植结构“非粮化”类型逐渐由棉花、花生、蔬菜向蔬菜、瓜果 转变,说明其变化的主要原因。 (3)为保障粮食安全,请提出防止耕地种植结构“非粮化”的合理建议。