当前位置:首页>文档>精品解析:北京市一零一中学2021-2022学年八年级下学期期末地理试题(原卷版)(1)_北京初中期末题_C605-京七八九_B京地理七八九_地理_北京八下地理

精品解析:北京市一零一中学2021-2022学年八年级下学期期末地理试题(原卷版)(1)_北京初中期末题_C605-京七八九_B京地理七八九_地理_北京八下地理

  • 2026-04-09 15:41:44 2026-03-08 07:06:26

文档预览

精品解析:北京市一零一中学2021-2022学年八年级下学期期末地理试题(原卷版)(1)_北京初中期末题_C605-京七八九_B京地理七八九_地理_北京八下地理
精品解析:北京市一零一中学2021-2022学年八年级下学期期末地理试题(原卷版)(1)_北京初中期末题_C605-京七八九_B京地理七八九_地理_北京八下地理
精品解析:北京市一零一中学2021-2022学年八年级下学期期末地理试题(原卷版)(1)_北京初中期末题_C605-京七八九_B京地理七八九_地理_北京八下地理
精品解析:北京市一零一中学2021-2022学年八年级下学期期末地理试题(原卷版)(1)_北京初中期末题_C605-京七八九_B京地理七八九_地理_北京八下地理
精品解析:北京市一零一中学2021-2022学年八年级下学期期末地理试题(原卷版)(1)_北京初中期末题_C605-京七八九_B京地理七八九_地理_北京八下地理
精品解析:北京市一零一中学2021-2022学年八年级下学期期末地理试题(原卷版)(1)_北京初中期末题_C605-京七八九_B京地理七八九_地理_北京八下地理
精品解析:北京市一零一中学2021-2022学年八年级下学期期末地理试题(原卷版)(1)_北京初中期末题_C605-京七八九_B京地理七八九_地理_北京八下地理
精品解析:北京市一零一中学2021-2022学年八年级下学期期末地理试题(原卷版)(1)_北京初中期末题_C605-京七八九_B京地理七八九_地理_北京八下地理
精品解析:北京市一零一中学2021-2022学年八年级下学期期末地理试题(原卷版)(1)_北京初中期末题_C605-京七八九_B京地理七八九_地理_北京八下地理
精品解析:北京市一零一中学2021-2022学年八年级下学期期末地理试题(原卷版)(1)_北京初中期末题_C605-京七八九_B京地理七八九_地理_北京八下地理
精品解析:北京市一零一中学2021-2022学年八年级下学期期末地理试题(原卷版)(1)_北京初中期末题_C605-京七八九_B京地理七八九_地理_北京八下地理
精品解析:北京市一零一中学2021-2022学年八年级下学期期末地理试题(原卷版)(1)_北京初中期末题_C605-京七八九_B京地理七八九_地理_北京八下地理
精品解析:北京市一零一中学2021-2022学年八年级下学期期末地理试题(原卷版)(1)_北京初中期末题_C605-京七八九_B京地理七八九_地理_北京八下地理

文档信息

文档格式
docx
文档大小
6.256 MB
文档页数
13 页
上传时间
2026-03-08 07:06:26

文档内容

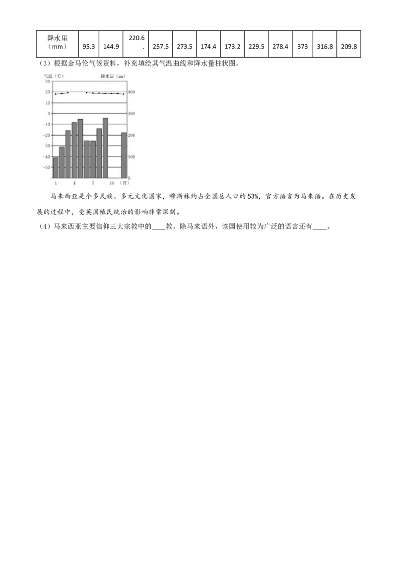
北京市一零一中学初二年级地理统练 7.15 一、选择题(本大题共25小题,共25分) 海淀公园一年一度的京西稻收割活动在御稻流香景区开镰。北京某中学学生小明参加了本次活动。图 左为海淀公园平面图,图右为小明所在位置面对的指示牌。读图,完成下面小题。 1. 设计小明从学校到海淀公园的行程路线,需参考( ) A. 中国交通图 B. 北京市地形图 C. 北京市交通图 D. 海淀公园平面图 2. 御稻流香景区( ) A. 距离东门最近 B. 位于湖泊北侧 C. 紧邻中心草坪 D. 位于公园西南 3. 小明此时位于图2中的( ) A. ①处 B. ②处 C. ③处 D. ④处 阿土勒尔村位于四川省凉山彝族自治州,是一个位于悬崖上的村庄。该村脱贫的故事展现了精准扶贫 的可持续发展之路。图中a为阿土勒尔村周边等高线地形图,b为阿土勒尔村学生攀爬藤梯去上学的图片。 读图,完成下面小题。4. 学生上学途中需要攀爬的藤梯位于a图中( ) A. A地 B. B地 C. C地 D. D地 5. 同学们手绘了a图中沿EF线的剖面图,其中最接近的一幅是( ) A. B. C. D. 6. 该地易发生的自然灾害是( ) A. 沙尘暴 B. 台风 C. 干旱 D. 山体滑坡 7. 阿土勒尔村实现了精准扶贫的可持续发展,采取的措施有( ) ①搬迁到相对平坦地区②利用独特资源发展旅游业③改善当地的交通设施④开垦梯田大力发展种植业 A. ①②③ B. ①②④ C. ①③④ D. ②③④ 当地时间2021年11月14日伊朗南部发生地震。图为世界六大板块分布和此次地震发生地位置图。读 图,完成下面小题。8. 此次地震发生地位于( ) A. 亚欧板块和非洲板块交界处 B. 亚欧板块和印度洋板块交界处 C. 亚欧板块和美洲板块交界处 D. 印度洋板块和非洲板块交界处 9. 地震发生时,正确的避震措施是( ) A. 迅速乘电梯下楼 B. 选择到阳台躲避 C. 坚固书桌下躲避 D. 从窗户跳楼逃生 亚洲有三家环球影城,分别在中国北京、日本大阪和新加坡。图为亚洲气候类型分布图及三大环球影 城所在地气温曲线和降水量柱状图。读图,完成下面小题。 10. 三地的气候类型( ) A. 北京—温带季风气候 B. 大阪—温带海洋性气候 C. 新加坡—热带季风气候 D. 均为季风气候 11. 三大环球影城所在地气候特征的共同点是( )A. 年降水量大于1000毫米 B. 降水季节分配均匀 C. 最热月气温大于20℃ D. 气温年较差大于10℃ 12. 大阪与北京气候差异的主要影响因素是( ) ①纬度位置②海陆位置③植被类型④人类活动 A. ①② B. ①④ C. ②③ D. ③④ 竖版世界地图的出现是对使用了400多年横版世界地图的突破。下图为竖版世界地图(部分)。读图, 完成下面小题。 13. 图中( ) A. 甲地位于北寒带 B. 乙地位于中纬度 C. 丙地经纬度为23°26′N,7°E D. 丁地位于西半球 14. 乙地所在大洲的特点为( ) A. 濒临四大洋 B. 年平均气温高 C. 平均海拔低 D. 跨经度最广15. 甲地与丁地所在大洲( ) A. 大部分位于北半球 B. 都濒临太平洋 C. 以巴拿马运河为界 D. 隔白令海峡相望 《2019年世界人口展望》预测2100年全球人口将达到110亿。下图为世界人口增长示意图(虚线为 预测数据)。读图,完成下面小题。 16. 据图可知,世界人口( ) A. 总量先增加后减少 B. 总量在2020年达到85亿 C. 1960年后增长速度先快后慢 D. 每增长10亿人口所用时间渐短 17. 世界人口( ) A. 增速慢则资源消耗少,经济发展缓慢 B. 增速快则劳动力充足,经济发展迅速 C. 增速过快是世界各国普遍存在的问题 D. 增长速度应与资源、环境状况等相适应 根据《区域全面经济伙伴关系协定》(RCEP)的相关规定,RCEP于2022年1月1日对文莱、束埔寨、 老挝、新加坡、泰国、越南、中国、日本、新西兰和澳大利亚等十个国家开始生效。据此,完成下面小题。 18. 资料所述十国分属于发达国家和发展中国家,其主要差异在于( ) . A 政治制度 B. 经济发展水平 C. 人口 D. 面积 19. 中国与老挝、越南之间的合作属于( ) A. 南北合作 B. 南北对话 C. 南南合作 D. 南南对话 2021年“泉州:宋元中国的世界海洋商贸中心”被列入《世界遗产名录》。图为中国福建省泉州景观 图。读图,完成下面小题。20. 泉州( ) ①为城市聚落②旅游业发达③农业人口比重大④基础设施完善 A. ①②③ B. ①②④ C. ①③④ D. ②③④ 21. 宋元时期,泉州一度成为世界第一大港。泉州成为当时世界海洋商贸中心的主要影响因素是( ) A. 海陆位置 B. 纬度位置 C. 地形 D. 气候 22. 保护世界文化遗产的主要意义有( ) ①留存和保护地域文化②利于历史研究和文化交流③增加旅游和商业收入④还原人们旧时的生活方式 A. ①② B. ①④ C. ②③ D. ③④ 2021年12月6日,张家界—吉首—怀化高铁开通运营,串联起张家界、凤凰古城等风景区,被誉为 “湘西最美高铁”。图为张吉怀高铁线路图。读图,完成下面小题。 23. 张吉怀高铁( ) A. 连接了鄂、湘两省 B. 避免了泥石流等灾害C. 相邻站点之间距离相等 D. 大体呈东北—西南走向 24. 张吉怀高铁全线的桥梁和隧道达280座,桥隧比高达90.7%,其原因是( ) 为 A. 沿线冻土广布 B. 沿线地表崎岖 C. 全程线路较长 D. 了保护动物 25. 张吉怀高铁的开通运行( ) ①加快了开采沿途的矿产资源②串联了优质文化旅游资源 ③加强了沿线城市 的人员往来④完善了湖南全省的铁路网 A. ①②③ B. ①②④ C. ①③④ D. ②③④ 二、综合题(本大题共4小题,共45分) 26. 2021年10月,我国首批国家公园名单公布。下图为部分首批国家公园分布图。阅读图文资料,回答下 列问题。 东北虎豹国家公园是世界珍稀濒危野生动物——野生东北虎、东北豹种群的定居和繁育区域。 (1)该国家公园地处________(山脉名称)腹地,与________和________(国家名称)接壤。 (2)下面能表现该国家公园自然景观的是________。(单选) A. 广袤草原 B. 茂密竹林C. 荒凉戈壁 D. 林海雪原 海南热带雨林国家公园是全世界最濒危的灵长类动物——海南长臂猿的栖居家园。 (3)该国家公园所在省级行政区的简称是________,岛上河流的流向是________。 (4)长臂猿的栖息家园位于________。(单选) A. 半岛中部 B. 沿海平原 C. “海南屋脊” D. 河流下游 三江源国家公园拥有冰川雪山、高海拔湿地、荒漠戈壁、高寒草原草甸等高寒生态系统,是国家重要 的生态安全屏障。 (5)该国家公园位于我国地势第________级阶梯的________(地形区名称),是长江、黄河和_________ (河流名称)的发源地,被称为“中华水塔”。 (6)从“中华水塔”、“我国重要 的生态安全屏障”任选其一,从地理视角进行解释。 27. 2022年2月,北京冬奥会和冬残奥会即将盛大开幕,向世界发出诚挚的冰雪之邀。图为冬奥赛区及附 近地区地形图。读图,回答下列各题。 北京赛区 (1)伴随着2022年冬奥会的召开,北京将成为历史上首个举办夏奥会与冬奥会的双奥之城。来自世界各 地的运动员将齐聚北京,彰显了人类合作和团结,也体现了北京市____中心的城市职能。 (2)夏奥会部分场馆再次利用,开启冰上项目比赛。这些比赛场馆主要位于____(地形类型)。与另外 两个赛区相比,北京赛区场馆密集,原因是( )(双项选择) A. 地势更平,便于场馆建设 B. 气温更低,利于成冰制雪 C. 河流密布,形成天然赛道 D. 交通便利,方便物资运输(3)国家速滑馆又称“冰丝带”,是全球首个采用二氧化碳跨临界直接蒸发制冷的冬奥速滑场馆,同时 可以智慧调控场内温度、湿度,是我国____产业发展的重要成果。 延庆赛区 国家高山滑雪中心和国家雪车雪橇中心坐落于延庆赛区的小海陀山,上右图为延庆赛区附近等高线地 形图,下图为雪橇赛道图片。 (4)上右图中冬奥村的海拔范围是____,地势相对比较____(平坦/崎岖),适宜建设配套设施。 (5)国家雪车雪橇中心是世界首个选址在南坡的项目,上图坡比北坡光照____(强/弱)。为保障赛事 顺利进行,赛道上搭建了如上图的木质屋顶。屋顶的作用有( ) ①防风②防雨雪③防光照④增加赛道弧度 A. ①②③ B. ①②④ C. ①③④ D. ②③④ 张家口赛区 距北京200余千米的张家口赛区多中、低山,冬季平均气温约-12℃,平均风力仅2级,10月中下旬 至次年4月初多雪,全年积雪1.5米左右,存雪期150多天。国家跳台滑雪中心坐落于此,因跳台剖面与 中国传统吉祥饰物“如意”形状类似,因此又被称为“雪如意”。 (6)“雪如意”场馆的修建需要考虑到降雪、气温、风力和地形等因素。结合资料,参照示例,列举两 条张家口赛区建造“雪如意”的优势条件。示例:张家口赛区多中、低山,山体坡度适宜,利于开展跳台 滑雪。(7)请从交通、就业、旅游业等角度任选其一,说说举办冬奥会对张家口地区带来的影响。 28. 2021年10月1日,2020年迪拜世博会正式开园,迪拜以其独特的风姿展现在世人面前。下图为世界人 口分布图(部分)。阅读图文资料,回答下列问题。 (1)上图中人口分布稀疏的地区有迪拜所在的阿拉伯半岛大部分地区以及____等;人口分布稠密的地区 有____等;总体来看,图示区域人口分布____。 迪拜位于面向波斯湾的一片平坦的沙漠地区。19世纪初,迪拜还是一个小渔村。为迪拜1960年和 2020年影像地图. (2)从1960年到2020年,迪拜除主要向半岛上的沙漠地区扩展外,还在向____地区扩展。从聚落与自然 环境的关系来看,影响迪拜扩展方向的主要因素有____、____等。 迪拜的年平均气温约为27.5℃,年平均降水量约为88.6mm,其传统民居简洁、实用、耐久,与当地自 然环境关系密切。下图为迪拜传统民居景观图。(3)分析迪拜传统民居与自然环境 的关系。 第一步:阅读图文资料,分析迪拜的自然环境特征,填写①、②、③空。 迪拜自然环境特征:A.气温①____B.降水②____C.风沙天气较多D.地形较平坦E.植被较③____(茂密/稀 疏) 第二步:阅读图文资料,分析迪拜传统民居与自然环境的关系,填写④空,并将代表自然环境特征的 字母填入⑤-⑧中(选项可重复使用)。 迪拜传统民居特征影响的自然条件:⒈窗户小,朝向院内←A、⑤____、⑥____⒉屋顶坡度小←B.⒊以生土、 石膏为墙面材料,墙体④____(薄/厚),←⑦____、⑧____、E以棕榈叶、麻布作为屋顶 29. “一带一路”合作倡议惠及东南亚国家。读图,回答下列问题。 (1)马来西亚大部分地区位于____带,气候类型以____气候为主,该气候类型的特征是____。 金马伦为马来西亚著名的避暑胜地。 (2)金马伦成为避暑胜地的主要自然原因是( )。(双项选择) A. 降水充沛,热量充足 B. 海拔较高,气温适宜 C. 森林茂密,风景优美 D. 开发较早,设施完善 月份 1 2 3 4 5 6 7 8 9 10 11 12 气温 《℃) 18 18.5 19.1 19.6 19.7 19 18.8 18.7 18.6 18.6 18.5 18降水里 220.6 (mm) 95.3 144.9 . 257.5 273.5 174.4 173.2 229.5 278.4 373 316.8 209.8 (3)根据金马伦气候资料,补充填绘其气温曲线和降水量柱状图。 马来西亚是个多民族、多元文化国家,穆斯林约占全国总人口的53%,官方语言为马来语。在历史发 展的过程中,受英国殖民统治的影响非常深刻。 (4)马来西亚主要信仰三大宗教中的____教。除马来语外,该国使用较为广泛的语言还有____。