当前位置:首页>文档>2023版新教材高考物理微专题小练习专题42实验:验证动量守恒定律_4.2025物理总复习_2023年新高复习资料_专项复习_2023版新高考物理微专题练习

2023版新教材高考物理微专题小练习专题42实验:验证动量守恒定律_4.2025物理总复习_2023年新高复习资料_专项复习_2023版新高考物理微专题练习

  • 2026-04-04 22:13:53 2026-03-09 15:01:27

文档预览

2023版新教材高考物理微专题小练习专题42实验:验证动量守恒定律_4.2025物理总复习_2023年新高复习资料_专项复习_2023版新高考物理微专题练习
2023版新教材高考物理微专题小练习专题42实验:验证动量守恒定律_4.2025物理总复习_2023年新高复习资料_专项复习_2023版新高考物理微专题练习
2023版新教材高考物理微专题小练习专题42实验:验证动量守恒定律_4.2025物理总复习_2023年新高复习资料_专项复习_2023版新高考物理微专题练习
2023版新教材高考物理微专题小练习专题42实验:验证动量守恒定律_4.2025物理总复习_2023年新高复习资料_专项复习_2023版新高考物理微专题练习

文档信息

文档格式
docx
文档大小
0.236 MB
文档页数
4 页
上传时间
2026-03-09 15:01:27

文档内容

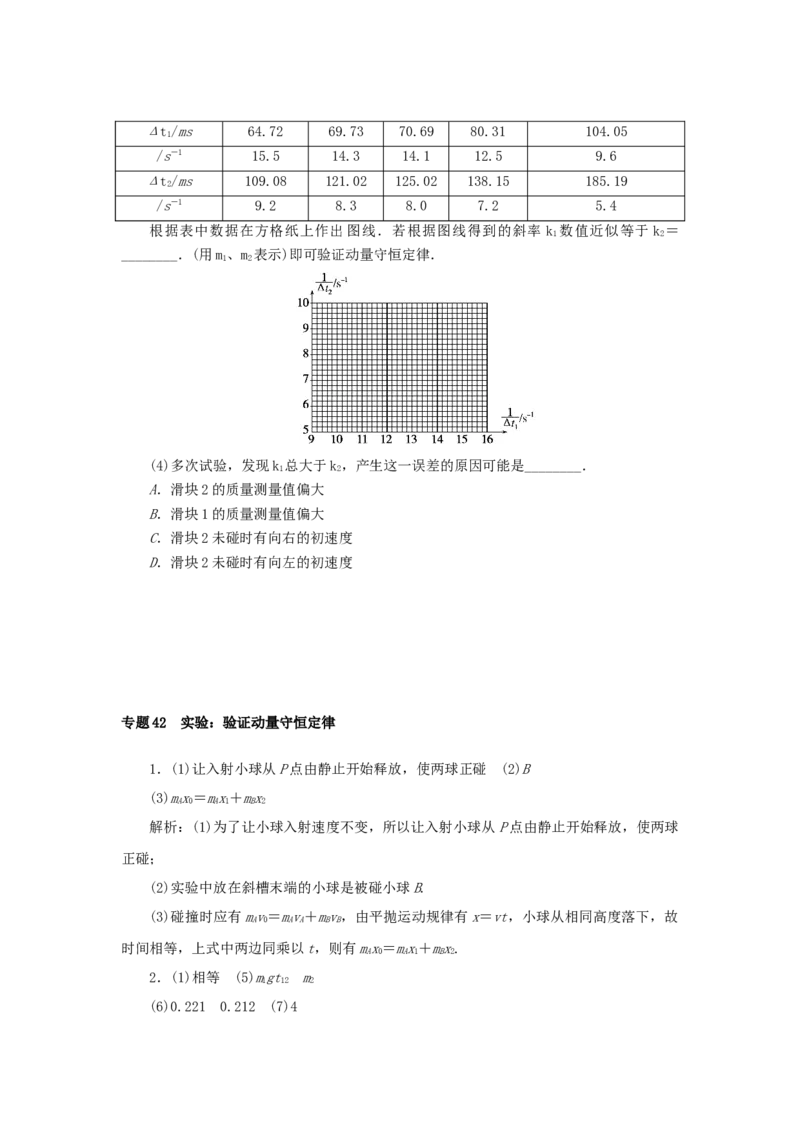
专题42 实验:验证动量守恒定律 1.[2022·广东省六校第三次联考]一个物理学习小组利用图甲所示的装置和手机拍摄 的连拍功能(相邻两张照片拍摄的时间间隔相同)来验证动量守恒定律.其实验步骤如下: a.用天平测出A、B两个小球的质量m、m(m>m); A B A B b.把坐标纸紧贴在木板上,固定木板和斜槽在同一竖直面上,使斜槽末端保持水平, 调整好手机的位置使摄像头正对坐标纸; c.让入射小球在斜槽上的P点由静止释放,小球离开斜槽后,启动手机连拍功能进行 拍摄,选择小球在空中运动时的相邻两张照片,在坐标纸上记录下小球的位置,如图乙所 示; d.更换新的坐标纸,将被碰小球放在斜槽末端, ________________________________________________________________________ ________________________________________________________________________; e.两小球离开斜槽后,再次启动手机连拍功能进行拍摄,选择两球同时在空中运动时 的相邻两张照片,在坐标纸上记录小球的位置,如图丙所示; 根据实验回答以下问题: (1)把实验d补充完整; (2)实验中放在斜槽末端的小球是________(选填“A”或“B”); (3)若小球碰撞过程中动量守恒,则成立的表达式为: ________________(从 “m”“m”“x”“y”“x”“y”“x”“y”中选择恰当的物理量表示). A B 0 0 1 1 2 2 2.[2020·全国卷Ⅰ]某同学用如图所示的实验装置验证动量定理,所用器材包括:气 垫导轨、滑块(上方安装有宽度为d的遮光片)、两个与计算机相连接的光电门、砝码盘和 砝码等.实验步骤如下: (1)开动气泵,调节气垫导轨,轻推滑块,当滑块上的遮光片经过两个光电门的遮光时 间________时,可认为气垫导轨水平; (2)用天平测砝码与砝码盘的总质量m、滑块(含遮光片)的质量m; 1 2 (3)用细线跨过轻质定滑轮将滑块与砝码盘连接,并让细线水平拉动滑块; (4)令滑块在砝码和砝码盘的拉动下从左边开始运动,和计算机连接的光电门能测量出 遮光片经过A、B两处的光电门的遮光时间Δt 、Δt 及遮光片从A运动到B所用的时间 1 2 t ; 12 (5)在遮光片随滑块从A运动到B的过程中,如果将砝码和砝码盘所受重力视为滑块所 受拉力,拉力冲量的大小I=______,滑块动量改变量的大小Δp=______;(用题中给出 的物理量及重力加速度g表示) (6)某次测量得到的一组数据为:d=1.000 cm,m =1.50×10-2kg,m =0.400 kg, 1 2 Δt =3.900×10-2s,Δt =1.270×10-2s,t =1.50 s,取g=9.80 m/s2.计算可得I= 1 2 12 ________ N·s,Δp=________ kg·m·s-1;(结果均保留3位有效数字) (7)定义δ=×100%,本次实验δ=________%(保留1位有效数字). 3.[2022·江苏省徐州市期中抽测]某同学利用气垫导轨上滑块间的碰撞来验证动量守 恒定律,滑块1上安装遮光片,光电计时器可以测出遮光片经过光电门的遮光时间,滑块 质量可以通过天平测出,实验装置如图甲所示. (1)游标卡尺测量遮光片宽度如图乙所示,其宽度d=________ cm. (2)打开气泵,待气流稳定后,将滑块1轻轻从左侧推出,发现其经过光电门1的时间 比光电门2的时间短,应该调高气垫导轨的________端(填“左”或“右”),直到通过两 个光电门的时间相等,即轨道调节水平. (3)在滑块上安装配套的粘扣.滑块2(未安装遮光片,质量m =120.3 g)静止在导轨 2 上,轻推滑块1(安装遮光片,质量m =174.5 g),使其与滑块2碰撞,记录碰撞前滑块1 1 经过 光电门1的时间Δt ,以及碰撞后两滑块经过光电门2的时间Δt.重复上述操作,多 1 2 次测量得出多组数据如下表:Δt/ms 64.72 69.73 70.69 80.31 104.05 1 /s-1 15.5 14.3 14.1 12.5 9.6 Δt/ms 109.08 121.02 125.02 138.15 185.19 2 /s-1 9.2 8.3 8.0 7.2 5.4 根据表中数据在方格纸上作出图线.若根据图线得到的斜率 k 数值近似等于k = 1 2 ________.(用m、m 表示)即可验证动量守恒定律. 1 2 (4)多次试验,发现k 总大于k,产生这一误差的原因可能是________. 1 2 A.滑块2的质量测量值偏大 B.滑块1的质量测量值偏大 C.滑块2未碰时有向右的初速度 D.滑块2未碰时有向左的初速度 专题42 实验:验证动量守恒定律 1.(1)让入射小球从P点由静止开始释放,使两球正碰 (2)B (3)mx=mx+mx A 0 A 1 B 2 解析:(1)为了让小球入射速度不变,所以让入射小球从P点由静止开始释放,使两球 正碰; (2)实验中放在斜槽末端的小球是被碰小球B. (3)碰撞时应有mv=mv+mv,由平抛运动规律有x=vt,小球从相同高度落下,故 A 0 A A B B 时间相等,上式中两边同乘以t,则有mx=mx+mx. A 0 A 1 B 2 2.(1)相等 (5)mgt m 1 12 2 (6)0.221 0.212 (7)4解析:(1)滑块在气垫导轨上运动时可认为阻力为零,当导轨水平放置时滑块匀速运 动,遮光片通过两光电门的遮光时间相等.(5)将砝码和砝码盘所受重力作为滑块所受拉力 时,由冲量定义可知I=mgt.滑块通过两光电门时的速度大小分别为v=、v=,故此过 1 12 A B 程中滑块动量改变量的大小为Δp=mv-mv=m.(6)将数据代入上述表达式可得 2 B 2 A 2 I≈0.221 N·s、Δp≈0.212 kg·m/s.(7)由定义得δ=×100%=4%. 3.(1)2.850 (2)左 (3)见解析图 (4)AC 解析:(1)游标卡尺的读数为28mm+10×0.05 mm=28.50 mm=2.850 cm. (2)滑块经过光电门1的时间比光电门2的时间短,说明滑块做减速运动,是由于气垫 导轨左侧低造成的,应将左端调高. (3)作出-图线如图所示, 若满足动量守恒,则有mv=(m+m)v,且v=,v=, 1 1 1 2 2 1 2 整理得=·,k=. 2 (4)若滑块2的质量测量值偏大,则计算值k偏小,则有k>k,A正确;若滑块1的质 2 1 2 量测量值偏大,则计算值k偏大,则有kk,C正确;若滑块2未碰时有向左的初速 1 1 2 度,则碰后动量值偏小,即偏小,则k偏小,k