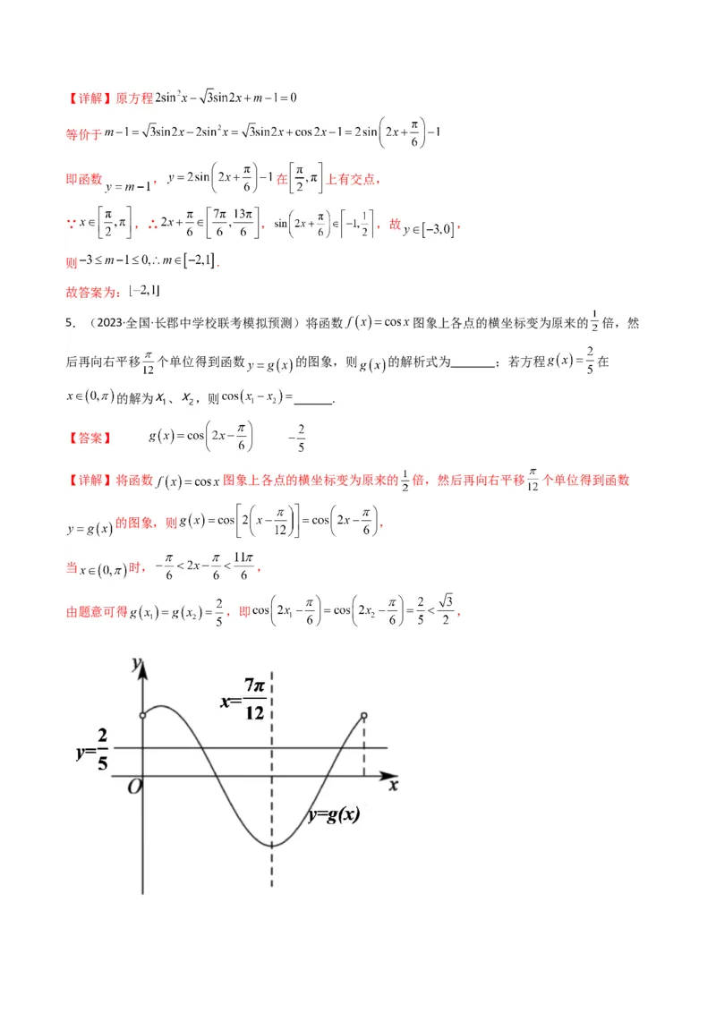
当前位置:首页>文档>专题03三角函数的图象与性质(零点或根的问题)(典型题型归类训练)(解析版)_2.2025数学总复习_2024年新高考资料_3.2024专项复习_三角函数、平面向量及解三角形

专题03三角函数的图象与性质(零点或根的问题)(典型题型归类训练)(解析版)_2.2025数学总复习_2024年新高考资料_3.2024专项复习_三角函数、平面向量及解三角形

  • 2026-03-21 20:29:39 2026-03-11 12:06:37

文档预览

专题03三角函数的图象与性质(零点或根的问题)(典型题型归类训练)(解析版)_2.2025数学总复习_2024年新高考资料_3.2024专项复习_三角函数、平面向量及解三角形
专题03三角函数的图象与性质(零点或根的问题)(典型题型归类训练)(解析版)_2.2025数学总复习_2024年新高考资料_3.2024专项复习_三角函数、平面向量及解三角形
专题03三角函数的图象与性质(零点或根的问题)(典型题型归类训练)(解析版)_2.2025数学总复习_2024年新高考资料_3.2024专项复习_三角函数、平面向量及解三角形
专题03三角函数的图象与性质(零点或根的问题)(典型题型归类训练)(解析版)_2.2025数学总复习_2024年新高考资料_3.2024专项复习_三角函数、平面向量及解三角形
专题03三角函数的图象与性质(零点或根的问题)(典型题型归类训练)(解析版)_2.2025数学总复习_2024年新高考资料_3.2024专项复习_三角函数、平面向量及解三角形
专题03三角函数的图象与性质(零点或根的问题)(典型题型归类训练)(解析版)_2.2025数学总复习_2024年新高考资料_3.2024专项复习_三角函数、平面向量及解三角形
专题03三角函数的图象与性质(零点或根的问题)(典型题型归类训练)(解析版)_2.2025数学总复习_2024年新高考资料_3.2024专项复习_三角函数、平面向量及解三角形
专题03三角函数的图象与性质(零点或根的问题)(典型题型归类训练)(解析版)_2.2025数学总复习_2024年新高考资料_3.2024专项复习_三角函数、平面向量及解三角形
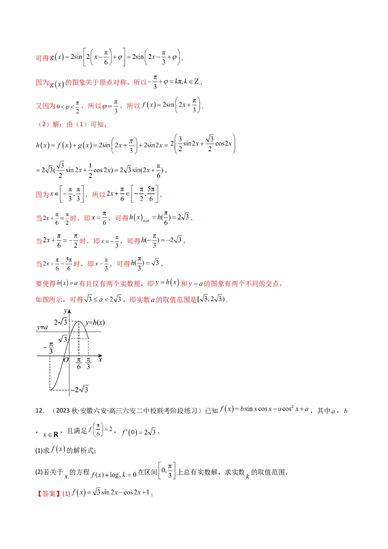
专题03三角函数的图象与性质(零点或根的问题)(典型题型归类训练)(解析版)_2.2025数学总复习_2024年新高考资料_3.2024专项复习_三角函数、平面向量及解三角形
专题03三角函数的图象与性质(零点或根的问题)(典型题型归类训练)(解析版)_2.2025数学总复习_2024年新高考资料_3.2024专项复习_三角函数、平面向量及解三角形
专题03三角函数的图象与性质(零点或根的问题)(典型题型归类训练)(解析版)_2.2025数学总复习_2024年新高考资料_3.2024专项复习_三角函数、平面向量及解三角形
专题03三角函数的图象与性质(零点或根的问题)(典型题型归类训练)(解析版)_2.2025数学总复习_2024年新高考资料_3.2024专项复习_三角函数、平面向量及解三角形
专题03三角函数的图象与性质(零点或根的问题)(典型题型归类训练)(解析版)_2.2025数学总复习_2024年新高考资料_3.2024专项复习_三角函数、平面向量及解三角形
专题03三角函数的图象与性质(零点或根的问题)(典型题型归类训练)(解析版)_2.2025数学总复习_2024年新高考资料_3.2024专项复习_三角函数、平面向量及解三角形
专题03三角函数的图象与性质(零点或根的问题)(典型题型归类训练)(解析版)_2.2025数学总复习_2024年新高考资料_3.2024专项复习_三角函数、平面向量及解三角形
专题03三角函数的图象与性质(零点或根的问题)(典型题型归类训练)(解析版)_2.2025数学总复习_2024年新高考资料_3.2024专项复习_三角函数、平面向量及解三角形
专题03三角函数的图象与性质(零点或根的问题)(典型题型归类训练)(解析版)_2.2025数学总复习_2024年新高考资料_3.2024专项复习_三角函数、平面向量及解三角形
专题03三角函数的图象与性质(零点或根的问题)(典型题型归类训练)(解析版)_2.2025数学总复习_2024年新高考资料_3.2024专项复习_三角函数、平面向量及解三角形
专题03三角函数的图象与性质(零点或根的问题)(典型题型归类训练)(解析版)_2.2025数学总复习_2024年新高考资料_3.2024专项复习_三角函数、平面向量及解三角形
专题03三角函数的图象与性质(零点或根的问题)(典型题型归类训练)(解析版)_2.2025数学总复习_2024年新高考资料_3.2024专项复习_三角函数、平面向量及解三角形
专题03三角函数的图象与性质(零点或根的问题)(典型题型归类训练)(解析版)_2.2025数学总复习_2024年新高考资料_3.2024专项复习_三角函数、平面向量及解三角形
专题03三角函数的图象与性质(零点或根的问题)(典型题型归类训练)(解析版)_2.2025数学总复习_2024年新高考资料_3.2024专项复习_三角函数、平面向量及解三角形
专题03三角函数的图象与性质(零点或根的问题)(典型题型归类训练)(解析版)_2.2025数学总复习_2024年新高考资料_3.2024专项复习_三角函数、平面向量及解三角形
专题03三角函数的图象与性质(零点或根的问题)(典型题型归类训练)(解析版)_2.2025数学总复习_2024年新高考资料_3.2024专项复习_三角函数、平面向量及解三角形
专题03三角函数的图象与性质(零点或根的问题)(典型题型归类训练)(解析版)_2.2025数学总复习_2024年新高考资料_3.2024专项复习_三角函数、平面向量及解三角形
专题03三角函数的图象与性质(零点或根的问题)(典型题型归类训练)(解析版)_2.2025数学总复习_2024年新高考资料_3.2024专项复习_三角函数、平面向量及解三角形
专题03三角函数的图象与性质(零点或根的问题)(典型题型归类训练)(解析版)_2.2025数学总复习_2024年新高考资料_3.2024专项复习_三角函数、平面向量及解三角形

文档信息

文档格式
docx
文档大小
1.735 MB
文档页数
27 页
上传时间
2026-03-11 12:06:37

文档内容

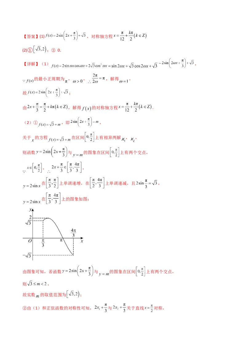
专题 03 三角函数的图象与性质(零点或根的问题) (典型题型归类训练) 目录 一、必备秘籍........................................................1 二、典型题型........................................................1 三、专项训练........................................................7 一、必备秘籍 实根问题,换元法令 将函数 化简为 ,在利用正弦函数 的图象来解决交点(根,零点)的问题. 二、典型题型 1.(2023·四川成都·石室中学校考模拟预测)函数 的图象由函数 的图象向左平移 个单位长度得到,则 的图象与直线 的交点个数为( ) A.1 B.2 C.3 D.4 【答案】C 【详解】因为 向左平移 个单位所得函数为 ,所以 , 而 显然过 与 两点, 作出 与 的部分大致图像如下,考虑 ,即 处 与 的大小关系, 当 时, , ; 当 时, , ; 当 时, , ; 所以由图可知, 与 的交点个数为 . 故选:C. 2.(2023·浙江·校联考二模)函数 的图象向左平移 个单位长度后对应的函 数是奇函数,函数 .若关于x的方程 在 内有两个不同的解α, β,则 的值为( ) A. B. C. D. 【答案】B 【详解】函数 的图象向左平移 个单位长度后, 所得函数的解析式为 , 因为所得函数为奇函数,所以 , 则有 , 因为 ,所以 , 所以 ,, 因为 ,所以 , 所以由 , 可得 , 所以 ,且 , 则 , 所以 , 故选:B. 3.(2023·河南·校联考模拟预测)已知函数 满足 ,若 在区间 上恰有3个零点,则实数t的取值范围为( ) A. B. C. D. 【答案】C 【详解】由题意可知, 的最小正周期 , 因为 ,可知 为 的一条对称轴, 所以 在 之后的零点依次为 , , , ,…, 若 在区间 上恰有3个零点,所以 . 故选:C. 4.(2023·上海嘉定·校考三模)若关于 的方程 在 上有实数解,则实数 的取值范围是 . 【答案】【详解】原方程 等价于 即函数 , 在 上有交点, ∵ ,∴ , ,故 , 则 . 故答案为: 5.(2023·全国·长郡中学校联考模拟预测)将函数 图象上各点的横坐标变为原来的 倍,然 后再向右平移 个单位得到函数 的图象,则 的解析式为 ;若方程 在 的解为 、 ,则 . 【答案】 【详解】将函数 图象上各点的横坐标变为原来的 倍,然后再向右平移 个单位得到函数 的图象,则 , 当 时, , 由题意可得 ,即 ,令 ,得 ,可得函数 的图象关于直线 对称, ,所以, ,且 , , , , , , . 故答案为: ; . 6.(2023·黑龙江哈尔滨·哈尔滨市第六中学校校考三模)已知函数 ,其图象的一条对称轴与相邻对称中心的横坐标 相差 ,______,从以下两个条件中任选一个补充在空白横线中.①函数 的图象向左平移 个单位长 度后得到的图象关于y轴对称且 ;②函数 的图象的一个对称中心为 且 . (1)求函数 的解析式; (2)将函数 图象上所有点的横坐标变为原来的 倍,纵坐标不变,得到函数 的图象,若 函数 在区间 上恰有3个零点,求t的取值范围. 【答案】(1) (2) 【详解】(1)由题意可得 , , 由于其图象的一条对称轴与相邻对称中心的横坐标相差 ,故 ,故 . 若选①,函数 的图象向左平移 个单位长度后得到的图象对应的函数为 , 由题意知该函数为偶函数,故 , 由于 且 ,即 ,故 , 故 ; 若选②,函数 的图象的一个对称中心为 且 , 则 , 由于 且 ,即 ,故 , 故 ; (2)由题意可得 , 由于 在区间 上恰有3个零点,故 , 即 . 7.(2023秋·新疆乌鲁木齐·高三乌鲁木齐市第70中校考阶段练习)已知函数 (其中 )的部分图像如图所示,将函数 的图象向右平移 个单位长度,得到函数 的图 象. (1)求 与 的解析式; (2)令 ,求方程 在区间 内的所有实数解的和.【答案】(1) , (2) 【详解】(1)由图可知, , 函数 的周期 ,所以 , 所以 , 又 ,所以 , 所以 ,所以 , 又 ,所以 , 所以 , 因为将函数 的图象向右平移 个单位长度,得到函数 的图象, 所以 ; (2) , 由 , 得 , 因为 ,所以 , 所以 或 或 或 , 所以 或 或 或 ,所以方程 在区间 内的所有实数解的和为 . 三、专项训练 1.(2023·陕西西安·西安一中校联考模拟预测)将函数 图象所有点的纵坐标伸长到原来 的 倍,并沿x轴向左平移 个单位长度,再向上平移2个单位长度得到 的图象.若 的图象关于点 对称,则函数 在 上零点的个数是( ). A.1 B.2 C.3 D.4 【答案】B 【详解】将 图象所有点的纵坐标伸长到原来的 倍,得到 的图象, 继续沿x轴向左平移 个单位长度,再向上平移2个单位长度得到 的图 象, ∵ 的图象关于点 对称,得 , . 又∵ ,∴ ,∴ . 令 ,当 时,有 , 由 ,可得 , , 结合函数 的图象可得, 在 上只有2个解, 即函数 在 上零点的个数是2. 故选:B.2.(多选)(2023·山东菏泽·山东省鄄城县第一中学校考三模)已知函数 ,把函 数的图象向右平移 个单位长度,得到函数 的图象,若 时,方程 有实根,则实 数 的取值可以为( ) A. B. C. D. 【答案】CD 【详解】因为 , 将函数 的图象向右平移 个单位长度,得到函数 的图象, 则 , 当 时, ,则 , 由 得 ,可得 ,所以, ,解得 , 故选:CD. 3.(多选)(2023·福建三明·统考三模)已知函数 的图象 与直线 的相邻两个交点的距离为 ,且对于任意 ,不等式 恒成立,则( ) A. B. 的取值范围为 C. 在区间 上单调递增 D.若实数 使得方程 在 恰有 , , 三个实数根,则 的最小值为【答案】AC 【详解】由题意, , , 图象与直线 相邻两个交点的距离为 , 最小正周期 , ,A正确. 此时, , 当 时, ,又 , , , 对 ,不等式 恒成立, ,解得 ,故B错误. 对于 ,当 时, , , , . 所以 , 在此区间上单调递增,故C正确. 对于 ,令 ,则当 时, ,作出 在 上的图象,如图所 示, 设 与图象的交点横坐标从左至右依次为 , , , 由图可知: , 关于 对称, , 关于 对称, 故 , , .又 , , , 所以 , 由 可得, , 即 的最小值为 ,D错误. 故选:AC. 4.(2023·黑龙江大庆·大庆中学校考模拟预测)将函数 的图象向左平移 个单位得到函数 的图象,若 在区间 上有且仅有一个零点,则实数m的一个取值为 . 【答案】 (答案不唯一) 【详解】由题设 , 在 ,则 ,要使 在区间 上有且仅有一个零点, 所以 ,即 ,故 满足要求. 故答案为: (答案不唯一) 5.(2023·陕西咸阳·武功县普集高级中学校考模拟预测)已知 ,当 (其中 )时, 有且只有一个解,则 的取值范围是 . 【答案】 【详解】由于 , 所以 有且只有一个解,即 有且只有一个解, 因为 ,所以 , 由题意知 ,解得 , 即 的取值范围是为 , 故答案为:6.(2023·辽宁鞍山·鞍山一中校考二模)函数 的部分图象如图所 示. (1)求函数 的解析式; (2)将函数 的图象先向右平移 个单位,再将所有点的横坐标缩短为原来的 (纵坐标不变),得到 函数 的图象,若关于 的方程 在 上有两个不等实根 ,求实数 的取值范 围,并求 的值. 【答案】(1) (2) , 【详解】(1)由图可知, , ∵ , ∴ ,∴ , 又 , ∴ , ,∴ , 由 可得 , ∴ ; (2)将 向右平移 个单位得到 , 再将所有点的横坐标缩短为原来的 ,得到 ,令 ,则 , 易知函数 在 上单调递增,在 上单调递减, 又 , , ,∴ ; 由对称性可知 , ∴ ,∴ , ∴ . 7.(2023·宁夏银川·校考模拟预测)已知函数 ( , ). 再从条件①、条件②、条件③这三个条件中选择能确定函数 的解析式的两个作为已知. 条件①:函数 的最小正周期为 ; 条件②:函数 的图象经过点 ; 条件③:函数 的最大值为 . (1)求 的解析式及最小值; (2)若函数 在区间 ( )上有且仅有1个零点,求 的取值范围. 【答案】(1)选择①② , 的最小值为 ;选择①③ , 的最小 值为 (2)选择①② ;选择①③ 【详解】(1)由题可知, , 选择①②: 因为 ,所以 , 又因为 ,所以 . 所以 .当 ,即 时, , 所以函数 的最小值为 . 选择①③: 因为 ,所以 , 又因为函数 的最大值为 ,所以 . 所以 , 当 ,即 时, . 所以函数 的最小值为 . 选择②③:因为 ,所以 . 又因为函数 的最大值为 ,所以 ,与 矛盾,不符合题意. (2)选择①②: 因为 , ,所以 , 又因为 在区间 ( )上有且仅有1个零点, 所以 ,所以 ,所以 . 选择①③: 因为 , ,所以 , 又因为 在区间 ( )上有且仅有1个零点, 又 时, 或 , 所以 ,所以 ,所以 . 8.(2023·福建宁德·校考模拟预测)已知函数 . (1)若方程 在 上有且只有一个实数根,求实数m的取值范围;【答案】(1) 或 ; 【详解】(1)依题意, , 当 时, ,则当 时, 单调递增,函数值从 增大到2, 当 时, 单调递减,函数值从 减小到 , 方程 在 上有且只有一个实数根,即直线 与函数 在 的图象只有一 个公共点, 在同一坐标系内作出直线 与函数 在 的图象,如图, 观察图象,当 或 时,直线 与函数 在 的图象只有一个公共点, 所以实数m的取值范围是 或 . 9.(2023秋·辽宁·高三校联考阶段练习)已知曲线 ( , )相邻的两条对 称轴之间的距离为 ,若将函数 的图象先向左平移 个单位,再向下平移 个单位,得到函数 的 图象,且 为奇函数. (1)求函数 的的解析式和其图象的对称中心; (2)若关于 的方程 在区间 上有两个不相等的实数根,求实数 的取值范围. 【答案】(1) ;对称中心为 , (2)【详解】(1)由题意可知 ,∴ ,∴ , 将函数 的图象先向左平移 个单位,再向下平移 个单位后得到的新函数为: , 又 为奇函数,且定义域为 , ∴ 且 , , , ∴ , ,∴ , 令 , ,解得 , , ∴ 的对称中心为 , . (2)由(1)可知 ,设 , ∵ ,∴ ,∴ ,∴ , 由关于 的方程 在区间 内有两个不相等的实数根, 可得 在区间 内仅有一个实数根,且另一个根不等于1或在 内有两个相等的根, 令 ,则 , 故 或 ,解得 或 . 所以 . 10.(2023秋·安徽六安·高三六安一中校考阶段练习)已知函数 (1)求函数 在区间 上的单调递减区间; (2)将函数 的图象上所有的点向右平移 个单位,再将所得图象上每一个点的横坐标变为原来的 倍(纵坐标不变),再向上平移 个单位,得到函数 的图象.当 时,方程 恰 有三个不相等的实数根 、 、 ,求实数 的取值范围和 的值.【答案】(1) (2) , 【详解】(1)解: , 因 ,则 , 又 在 上单调递增,在 上单调递减, 由 可得 , 即函数 在区间 上的单调递减区间为 . (2)解:将函数 的图象上所有的点向右平移 个单位, 可得到函数 的图象, 再把所得图象上每一个点的横坐标变为原来的 倍(纵坐标不变),可得到函数 的图象, 再将所得图象向上平移 个单位,可得到函数 的图象, 当 时, ,令 , 则 ,令 , 令 ,可得 ,其中 , 作出函数 与函数 在 时的图象如下图所示:由图可知,当 时,函数 与函数 在 时的图象有三个交点, 设 ,其中 , 则点 与点 关于直线 对称,点 与点 关于直线 对称, 所以, , ,则 , 所以, ,解得 . 11.(2023秋·河南新乡·高三卫辉一中校联考阶段练习)已知函数 相 邻两条对称轴的距离为 ,将 的图象向右平移 个单位长度,得到函数 的图象,且 的图象 关于原点对称. (1)求 ; (2)设函数 ,当 时,方程 有且仅有两个实数根 ,求实数 的取值 范围. 【答案】(1) (2) 【详解】(1)解,因为函数 相邻两条对称轴的距离为 ,可得 ,即 , 所以 ,即 , 将函数 的图象向右平移 个单位长度,可得 , 因为 的图象关于原点对称,所以 , 又因为 ,所以 ,所以 . (2)解:由(1)可知, , 因为 ,所以 , 当 时,即 ,可得 , 当 时,即 ,可得 , 当 时,即 ,可得 , 要使得 有且仅有两个实数根,即 和 的图象有两个不同的交点, 如图所示,可得 ,即实数 的取值范围是 . 12.(2023秋·安徽六安·高三六安二中校联考阶段练习)已知 ,其中 , , ,且满足 , . (1)求 的解析式; (2)若关于 的方程 在区间 上总有实数解,求实数 的取值范围. 【答案】(1) ;(2) . 【详解】(1)由题意,函数 , 由 得, , 又因为 , 由 ,得: , 所以 , 所以 的解析式为: . (2)由(1)得 , 因为 ,所以 , 所以 ,则有 , 即 又因为方程 在区间 上总有实数解, 所以 在区间 上成立, 所以 , , 所以 , 所以实数 的取值范围为 . 13.(2023春·黑龙江齐齐哈尔·高一齐齐哈尔中学校考期中)已知函数 的最小正周期为 . (1)求 的解析式及对称轴方程; (2)若关于x的方程 在 上有两个不等实数解 , . ①求实数m的取值范围; ②求 的值.【答案】(1) ,对称轴方程 (2)① ;② 0. 【详解】(1) , 的最小正周期为 , , ,解得 , 故 ; 由 ,解得 的对称轴方程 . (2)① ,即 , 关于 的方程 在区间 上有相异两解 , , 则函数 与 的图象在区间 上有两个交点, , , 在 上单调递增,在 上单调递减,且 , 在 上的图象如图: 由图象可知,若函数 与 的图象在区间 上有两个交点, 则 , 故实数 的取值范围为 ; ②由(1)和正弦函数的对称性可知, 与 关于直线 对称,则 ,解得 , 故 . 14.(2023秋·内蒙古通辽·高三校考阶段练习)已知函数 . (1)求 的最小正周期. (2)求 的单调递增区间. (3)若关于 的方程 在 上有解,求实数m的取值范围. 【答案】(1)最小正周期为 (2) . (3) 【详解】(1)函数 故函数的最小正周期为 . (2)令 ,解得 , ∴单调递增区间为 . (3)因为 , 所以 , 所以 , 所以 的值域为 , 关于 的方程 在 上有解, 则关于 的方程 在 上有解, 所以 ,所以 , 所以实数 的取值范围是 . 15.(2023·全国·高三专题练习)已知向量 ,函数 , . (1)当 时,求 的值; (2)若 的最小值为﹣1,求实数m的值; (3)是否存在实数m,使函数 , 有四个不同的零点?若存在,求出m的取值 范围;若不存在,说明理由. 【答案】(1) (2) (3)存在, 【详解】(1) , 当 时, , 则 ; (2)∵ , ∴ , ∴ , 则 , 令 ,则 , 则 ,对称轴 , ①当 ,即 时,当 时,函数取得最小值,此时最小值 ,得 (舍), ②当 ,即 时, 当 时,函数取得最小值,此时最小值 ,得 或 (舍去), ③当 ,即 时, 当 时,函数取得最小值,此时最小值 ,得 (舍), 综上:若 的最小值为﹣1,则实数 . (3)令 ,得 或 , ∴方程 或 在 上有四个不同的实根, 则 ,解得 ,则 , 即实数m的取值范围是 . 16.(2023秋·辽宁沈阳·高三新民市高级中学校考开学考试)已知函数 . (1)求 的单调递增区间; (2)方程 在 上的两解分别为 ,求 的值. 【答案】(1) (2) 【详解】(1), 由 ,得 , 所以 的单调递增区间为: . (2)设 ,则 , 由于正弦函数 在区间 上单调递增,在区间 上单调递减, 由 ,得 , 因为方程 在 上的两解分别为 , 则 ,必有 , 所以, ,同理 , , 由于 且 ,则 , 由 ,可得 . 17.(2023春·重庆长寿·高一重庆市长寿中学校校考期中)已知函数 为奇函数,且 图象的相邻两对称轴间的距离为 . (1)求 的解析式; (2)当 时,求 的单调递减区间; (3)将函数 的图象向右平移 个单位长度,再把横坐标缩小为原来的 (纵坐标不变),得到函数的图象,记方程 在 上的根从小到大依次为 ,试确定 的值,并求 的值. 【答案】(1) (2)单调递减区间为 (3) , 【详解】(1)由题意得 , 因为 图象的相邻两对称轴间的距离为 , 所以 , , 又由 为奇函数,可得 , ,此时 为奇函数,符合题意, 函数 ; (2)令 ,解得 , 则 的单调递减区间为: , 又 ,可得 的单调递减区间为 ; (3)将函数 的图象向右平移 个单位长度,得到 的图象, 再把横坐标缩小为原来的 (纵坐标不变),得到函数 的图象,则 , 故 ,即 , ,可得 ,设 ,其中 ,即 , 结合正弦函数 的图象: 可得方程 在区间 有5个解,即 , 其中 , 即 , , 解得 , 所以 .