当前位置:首页>文档>2023年高考地理二轮复习(全国版)第1部分专题突破专题7综合提升练7_9.2025地理总复习_赠品通用版(老高考)复习资料_二轮复习_2023年高考地理二轮复习讲义+课件(全国版)

2023年高考地理二轮复习(全国版)第1部分专题突破专题7综合提升练7_9.2025地理总复习_赠品通用版(老高考)复习资料_二轮复习_2023年高考地理二轮复习讲义+课件(全国版)

  • 2026-04-02 22:36:51 2026-03-11 18:37:52

文档预览

2023年高考地理二轮复习(全国版)第1部分专题突破专题7综合提升练7_9.2025地理总复习_赠品通用版(老高考)复习资料_二轮复习_2023年高考地理二轮复习讲义+课件(全国版)
2023年高考地理二轮复习(全国版)第1部分专题突破专题7综合提升练7_9.2025地理总复习_赠品通用版(老高考)复习资料_二轮复习_2023年高考地理二轮复习讲义+课件(全国版)
2023年高考地理二轮复习(全国版)第1部分专题突破专题7综合提升练7_9.2025地理总复习_赠品通用版(老高考)复习资料_二轮复习_2023年高考地理二轮复习讲义+课件(全国版)

文档信息

文档格式
docx
文档大小
0.532 MB
文档页数
3 页
上传时间
2026-03-11 18:37:52

文档内容

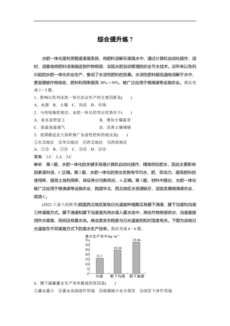
综合提升练 7 水肥一体化是利用管道灌溉系统,将肥料溶解在灌溉水中,通过计算机自动化操作,适 时、适量地将肥料溶液输送到作物根部,实现水肥自动管理的农业节水技术。近年来以色列 兴起的水肥一体化农业生产,推动了水溶性肥料的发展。水溶性肥料能迅速地溶解于水中, 更容易被作物吸收,肥料利用率提高30%~50%,被广泛应用于喷滴灌等设施农业。据此完 成1~3题。 1.影响以色列水肥一体化农业生产的主要因素是( ) A.水源 B.土壤 C.科技 D.市场 2.与传统施肥相比,水肥一体化的突出优势在于( ) A.省水省肥省工 B.增加土壤温差 C.保温保湿通气 D.改善土壤墒情 3.我国最适宜大面积推广水溶性肥料的地区是( ) ①东北地区 ②华北地区 ③西北地区 ④西南地区 A.①② B.①③ C.②③ D.②④ 答案 1.C 2.A 3.C 解析 第1题,水肥一体化的关键手段是计算机自动化操作,精准供给肥水,因此主要影响 因素是科技,C正确。第2题,水肥一体化的突出优势有节约水、肥、劳动力,提高肥料的 使用率,提高土地利用率,保证养分均衡供应,A正确。第3题,材料中提出,水肥一体化 被广泛应用于喷滴灌等设施农业,我国华北、西北地区水资源缺乏,适宜发展喷滴灌农业, 故选C。 (2022·八省八校联考)我国西北地区某地日光温室种植黄瓜有膜下滴灌、膜下沟灌和沟灌 三种灌溉方式。膜下滴灌和膜下沟灌是先将水灌入蓄水池中,再给作物根部供水,沟灌直接 用井水灌溉,田间没有蓄水池。病虫害发生程度与日光温室的相对湿度有关。下图为该地日 光温室在不同灌溉方式下的灌水生产效率。据此完成4~6题。 4.膜下滴灌灌水生产效率最高的原因是( ) ①灌水量小 ②蓄水池保湿作用强 ③地膜减少水分蒸发 ④深层下渗作用强A.①② B.②④ C.①③ D.③④ 5.三种灌水方式中病虫害发生程度最低的是( ) A.膜下滴灌 B.膜下沟灌 C.沟灌 D.差别不大 6.与膜下滴灌相比,沟灌产投比(产出/投入)低,其原因可能是( ) A.沟灌设备投入高 B.膜下滴灌设备折旧费低 C.沟灌的农药投入高 D.膜下滴灌肥料投入高 答案 4.C 5.A 6.C 解析 第4题,膜下滴灌灌水量小,①正确;地膜可减少水分蒸发,③正确;蓄水池不能直 接给作物供水,滴灌深层下渗少,更节水,②④错。故选C。第5题,根据材料“病虫害发 生程度与日光温室的相对湿度有关”可知,与其他灌溉方式相比,膜下滴灌灌水量小,水分 蒸发量小,温室内的相对湿度最低,故病虫害的发生程度最低,A正确。第6题,膜下滴灌 虽然设备投入高,折旧费高,但能实现水肥精准施用,节约水肥;加上病虫害少,农药投入 也少,因此产投比高,C正确。 7.(2022·山东省潍坊市测评)阅读图文资料,完成下列要求。(14分) 河套灌区位于阴山以南,黄河以北,是我国最大的引黄灌区(图1)。20世纪70年代中期 开始,该地区引进了优质向日葵,2014年5月“河套向日葵”凭借优良品质获评国家地理 标志产品,目前葵花产业已经成为河套农民增收致富的一大特色支柱产业。传统向日葵采收 是将花盘割下,运至庭院场地晾晒,该地多推广插盘晾晒技术(即割下花盘,用刀斜削茎秆, 将花盘正面向阳斜插在削好的茎秆上晾晒),如图2所示。 (1)指出自阴山山脉至黄河不同地域适宜发展的主要农业类型。(4分) (2)与传统晾晒相比,说明插盘晾晒的好处。(4分)(3)简述“河套向日葵”获评国家地理标志产品对当地葵花产业的影响。(6分) 答案 (1)北部山区适合发展林业,山麓地区发展畜牧业,河套灌区发展种植业,黄河水域 和乌梁素海发展渔业(水产养殖业)。 (2)就地晾晒,可避免另辟场地,缩短晾晒时间,提高劳动效率;通风透气性能好,不易发 生霉变,利于提高葵花籽品质。 (3)有利于提高“河套向日葵”的影响力,扩大市场;有利于扩大种植规模,提高产量;有 利于提高品牌效应,提升产品价格,增加收益;有利于发展葵花旅游业,提高附加值。