当前位置:首页>文档>2025年高考地理二轮复习配套讲义通用版专题5 主题2 大气运动_9.2025地理总复习_2025年新高考资料_二轮复习_2025年高考地理二轮复习配套讲义通用版(解析版)

2025年高考地理二轮复习配套讲义通用版专题5 主题2 大气运动_9.2025地理总复习_2025年新高考资料_二轮复习_2025年高考地理二轮复习配套讲义通用版(解析版)

  • 2026-04-07 04:36:30 2026-03-12 05:01:29

文档预览

2025年高考地理二轮复习配套讲义通用版专题5 主题2 大气运动_9.2025地理总复习_2025年新高考资料_二轮复习_2025年高考地理二轮复习配套讲义通用版(解析版)
2025年高考地理二轮复习配套讲义通用版专题5 主题2 大气运动_9.2025地理总复习_2025年新高考资料_二轮复习_2025年高考地理二轮复习配套讲义通用版(解析版)
2025年高考地理二轮复习配套讲义通用版专题5 主题2 大气运动_9.2025地理总复习_2025年新高考资料_二轮复习_2025年高考地理二轮复习配套讲义通用版(解析版)
2025年高考地理二轮复习配套讲义通用版专题5 主题2 大气运动_9.2025地理总复习_2025年新高考资料_二轮复习_2025年高考地理二轮复习配套讲义通用版(解析版)
2025年高考地理二轮复习配套讲义通用版专题5 主题2 大气运动_9.2025地理总复习_2025年新高考资料_二轮复习_2025年高考地理二轮复习配套讲义通用版(解析版)
2025年高考地理二轮复习配套讲义通用版专题5 主题2 大气运动_9.2025地理总复习_2025年新高考资料_二轮复习_2025年高考地理二轮复习配套讲义通用版(解析版)
2025年高考地理二轮复习配套讲义通用版专题5 主题2 大气运动_9.2025地理总复习_2025年新高考资料_二轮复习_2025年高考地理二轮复习配套讲义通用版(解析版)
2025年高考地理二轮复习配套讲义通用版专题5 主题2 大气运动_9.2025地理总复习_2025年新高考资料_二轮复习_2025年高考地理二轮复习配套讲义通用版(解析版)
2025年高考地理二轮复习配套讲义通用版专题5 主题2 大气运动_9.2025地理总复习_2025年新高考资料_二轮复习_2025年高考地理二轮复习配套讲义通用版(解析版)
2025年高考地理二轮复习配套讲义通用版专题5 主题2 大气运动_9.2025地理总复习_2025年新高考资料_二轮复习_2025年高考地理二轮复习配套讲义通用版(解析版)
2025年高考地理二轮复习配套讲义通用版专题5 主题2 大气运动_9.2025地理总复习_2025年新高考资料_二轮复习_2025年高考地理二轮复习配套讲义通用版(解析版)
2025年高考地理二轮复习配套讲义通用版专题5 主题2 大气运动_9.2025地理总复习_2025年新高考资料_二轮复习_2025年高考地理二轮复习配套讲义通用版(解析版)
2025年高考地理二轮复习配套讲义通用版专题5 主题2 大气运动_9.2025地理总复习_2025年新高考资料_二轮复习_2025年高考地理二轮复习配套讲义通用版(解析版)
2025年高考地理二轮复习配套讲义通用版专题5 主题2 大气运动_9.2025地理总复习_2025年新高考资料_二轮复习_2025年高考地理二轮复习配套讲义通用版(解析版)
2025年高考地理二轮复习配套讲义通用版专题5 主题2 大气运动_9.2025地理总复习_2025年新高考资料_二轮复习_2025年高考地理二轮复习配套讲义通用版(解析版)
2025年高考地理二轮复习配套讲义通用版专题5 主题2 大气运动_9.2025地理总复习_2025年新高考资料_二轮复习_2025年高考地理二轮复习配套讲义通用版(解析版)
2025年高考地理二轮复习配套讲义通用版专题5 主题2 大气运动_9.2025地理总复习_2025年新高考资料_二轮复习_2025年高考地理二轮复习配套讲义通用版(解析版)
2025年高考地理二轮复习配套讲义通用版专题5 主题2 大气运动_9.2025地理总复习_2025年新高考资料_二轮复习_2025年高考地理二轮复习配套讲义通用版(解析版)
2025年高考地理二轮复习配套讲义通用版专题5 主题2 大气运动_9.2025地理总复习_2025年新高考资料_二轮复习_2025年高考地理二轮复习配套讲义通用版(解析版)
2025年高考地理二轮复习配套讲义通用版专题5 主题2 大气运动_9.2025地理总复习_2025年新高考资料_二轮复习_2025年高考地理二轮复习配套讲义通用版(解析版)
2025年高考地理二轮复习配套讲义通用版专题5 主题2 大气运动_9.2025地理总复习_2025年新高考资料_二轮复习_2025年高考地理二轮复习配套讲义通用版(解析版)
2025年高考地理二轮复习配套讲义通用版专题5 主题2 大气运动_9.2025地理总复习_2025年新高考资料_二轮复习_2025年高考地理二轮复习配套讲义通用版(解析版)

文档信息

文档格式
docx
文档大小
3.753 MB
文档页数
22 页
上传时间
2026-03-12 05:01:29

文档内容

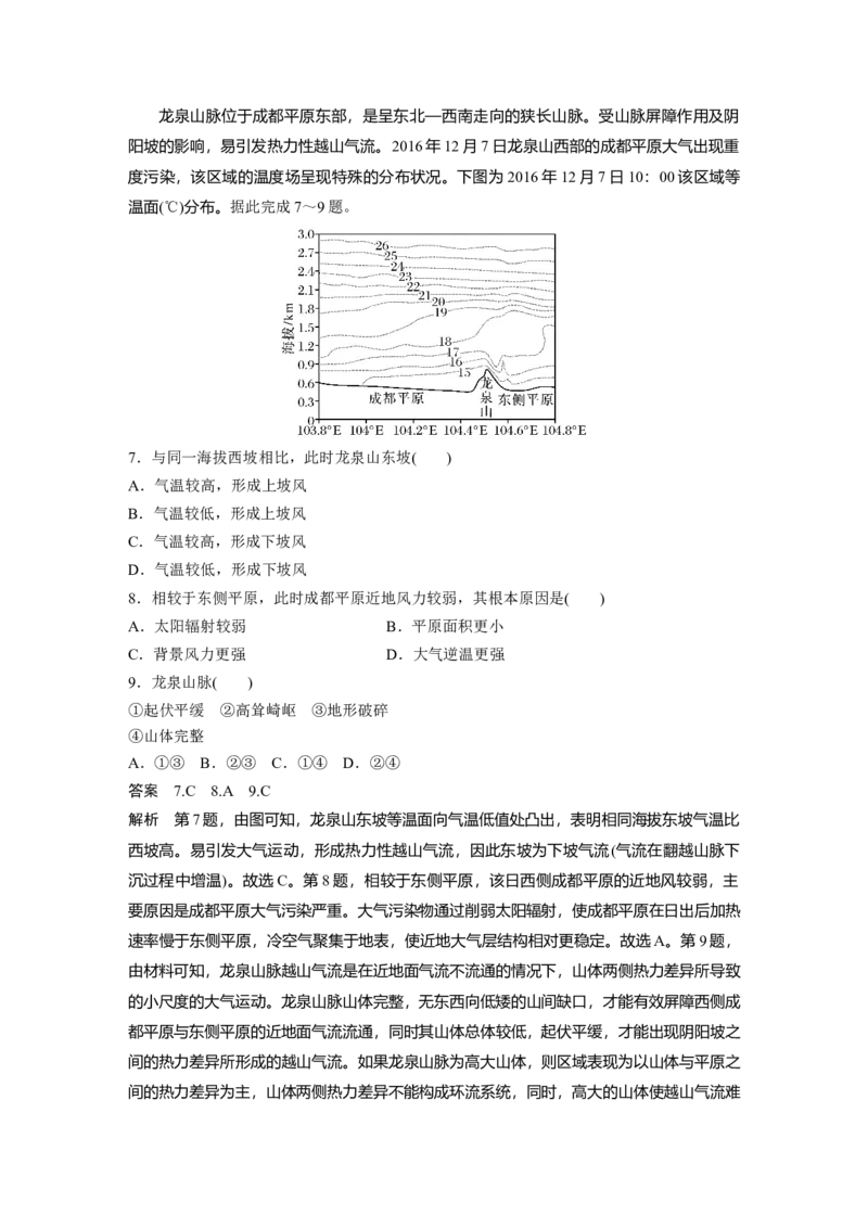
主题 2 大气运动 (2024·湖南地理)2019年9月17~18日西藏林芝市出现了两次强降雨。研究表明,深入 谷地的季风为该地降雨提供了充足的水汽,山谷风影响了降雨的时空变化,使降雨呈现明显 的时段特征。下图示意两次强降雨时距地面10米处的风向与风速。据此完成1~2题。 1.第一次和第二次强降雨可能出现的时段分别为( ) A.17日00:00~01:00 18日12:00~13:00 B.17日07:00~08:00 18日12:00~13:00 C.17日22:00~23:00 18日01:00~02:00 D.17日13:00~14:00 18日00:00~01:00 2.两次强降雨时谷地风速差异显著,主要原因是( ) A.地形阻挡 B.东南风影响 C.气温变化 D.摩擦力作用 答案 1.D 2.B 解析 第1题,读图可知,第一次强降雨时,以谷风为主,应为白天;第二次强降雨时,以 山风为主,应为晚上。D正确。第2题,由材料“深入谷地的季风为该地降雨提供了充足的 水汽”可知,该区域谷地受季风影响,该时间为9月,应为东南风。第一次强降雨时,谷风 与东南风叠加,导致谷地风速大;第二次强降雨时,山风与东南风相互抵消,导致谷地风速 小。选B。 (2024·湖北地理)某科研小组利用多套测风系统,观测记录了敦煌绿洲边缘某年沙漠风和 绿洲风的风速、风向与频次,并对表层沙粒采样分析。结果发现,当地冬季白天以沙漠风为 主,晚上沙漠风和绿洲风频次相当;自沙漠向绿洲方向风速呈减小趋势,绿洲风风速衰减幅 度比沙漠风小。下图示意采样点及其沙粒分选系数。据此完成3~5题。3.沿采样点1至9方向,沙粒( ) A.分选性由好变差 B.平均粒径由细到粗 C.分选性由差变好 D.平均粒径由粗到细 4.关于当地冬季昼夜主要风向成因的说法,合理的是( ) A.冬季白天,绿洲“冷岛效应”显著 B.冬季白天,绿洲“热岛效应”显著 C.冬季夜晚,绿洲“冷岛效应”显著 D.冬季夜晚,绿洲“热岛效应”显著 5.绿洲风对当地绿洲生态环境改善明显,是因为绿洲风有利于( ) A.降低绿洲居住区噪声污染 B.给绿洲地区带来丰富的降水 C.沙物质从绿洲运移回沙漠 D.增加绿洲地区阳光照射强度 答案 3.D 4.B 5.C 解析 第3题,由图中注记可知,分选系数数值越小,表示分选性越好。图中沿采样点1至 9方向,沙粒分选系数先变大后变小,说明分选性由好变差再变好,A、C错误;由文字材 料可知,自沙漠向绿洲方向风速呈减小趋势,可推测自沙漠向绿洲方向风力搬运作用逐渐减 弱,沿采样点1至9方向,沙粒平均粒径由粗到细,D正确、B错误。第4题,由材料可知, 当地冬季白天以沙漠风为主,说明近地面沙漠气压高于绿洲,沙漠温度低于绿洲,可推测冬 季白天绿洲“热岛效应”显著,B正确、A错误;由材料可知,冬季晚上绿洲风和沙漠风频 次相当,说明冬季夜晚有时吹绿洲风,有时吹沙漠风,若绿洲“冷岛效应”显著,则以绿洲 风为主,若绿洲“热岛效应”显著,则以沙漠风为主,C、D错误。第5题,绿洲风从绿洲 吹向沙漠,由材料可知,绿洲风风速衰减幅度比沙漠风小,故可推测绿洲风搬运沙物质向绿洲外输送,将部分沙物质运移回沙漠,从而改善绿洲的生态环境,C正确;绿洲风对噪声和 光照影响不大,且噪声和光照也不是绿洲地区的生态环境问题,A、D错误;绿洲风会将绿 洲的水汽向外输送,不能给绿洲地区带来降水,B错误。 6.(2022·北京地理)读图,回答下列问题。(8分) 毛里求斯岛地处印度洋西南部,易受热带气旋影响。图(a)为毛里求斯岛地图,图(b)为 当地时间2022年2月2日16时海平面气压分布图。 (1)分析在强热带气旋影响下,此时毛里求斯岛的主导风向和降水状况。(5分) (2)说明岛上不适合发展内河航运的理由。(3分) 答案 (1)强热带气旋中心位于毛里求斯岛西北方,因南半球热带气旋顺时针旋转,该岛主 导风向为东南风;在气旋的辐合上升作用和地形的共同影响下,该岛出现强降雨。 (2)岛屿面积小,河流短小、落差大、流量季节变化大等。1.较大时空尺度的大气运动——以西太平洋副热带高压(副高)为例 (1)副高与我国雨带位置移动 我国东部地区的主要雨带,经常处于高压脊线以北5~8个纬度的距离处。 ①正常规律:冬季副高脊线位于15°N附近,随着太阳直射点北移,副高脊线缓慢地向北移 动。 时间 副高脊线位置 雨带位置 4、5月 15°N~20°N 4月登陆华南,5月到南岭 6月 雨带到达江淮地区,江淮地区出现梅雨(华南则转入 20°N~25°N 中旬 晴热干旱的盛夏) 7月中 雨带到达华北地区,华北地区进入雨季(江淮地区梅 25°N~30°N 下旬 雨结束,伏旱开始;华南地区台风明显活跃) 7月 跨过30°N到 底至 华北、东北 达最北位置 8月初 8月 自北向南迅速 下旬至 撤退,最终回 华西秋雨(其余大部分地区秋高气爽) 10月 撤到20°N以南 上旬 ②异常年份 类型 对我国的影响副高西伸北进快,夏季风北移速度快,北方雨季提 副高强的年份(副高较常年偏北) 前,雨季延长,降水增多;而南方雨季变短,降水减 少,易出现北涝南旱 副高西伸北进慢,夏季风北移速度慢,雨带长时间滞 副高弱的年份(副高较常年偏南) 留在南方,导致南方雨季延长,降水增多;而北方雨 季变短,降水减少,容易出现南涝北旱 (2)副高与台风的关系 ①影响台风的形成 台风是低压系统,中心气流上升,副高是高压系统,中心气流下沉,二者势力此消彼长,垂 直方向气流相互抑制。因副高是大尺度天气系统,空间规模极大,台风尺度小,势力相对较 弱,所以一般是台风受副高的影响更大;距离副高近的区域,气压、气流均有相互抵消的趋 势,台风很难形成;只有低压系统势力很强大、距离副高稍远的南部海域才利于台风的形成。 ②影响台风的移动 台风移动方向基本上取决于副高四周的引导气流:如果副高西伸并加强,或者台风发生在副 高南部边缘,台风就在东南风引导下沿副高南侧西行;如果副高东退或断裂,台风就可能在 高压的西缘或裂口处转向北行,当绕到高压北部边缘,在西南风影响下,就向东北移动。 2.中等时空尺度的大气运动——以天气系统为例 (1)常见天气系统与天气变化 天气系统 天气特征 活动特点 冬半年活跃,如冬春季节的沙尘暴、冬季的 冷锋 大风、降温、阴雨天气 寒潮等;我国北方夏季的暴雨也多是由冷锋 带来的在我国活动范围较小,大多伴随着气旋出 暖锋 连续性降水 现,春季主要出现在华南地区、江淮流域和 东北地区 准静止锋 夏秋季节,热带气旋主要影响我国东南沿海 气旋 常出现阴雨天气 地区;温带气旋主要出现在春季和秋季的华 北、东北地区 7、8月长江流域出现的伏旱是副热带高压控 反气旋 天气晴朗 制的结果,冬季北方地区常受亚洲高压控制 (2)锋面气旋 锋面气旋常与温带气旋联系在一起,低压槽或低压中心控制区域多降水。北半球锋面呈逆时 针方向运动,南半球锋面呈顺时针方向运动,即“北逆南顺”;东侧锋面均为暖锋,西侧均 为冷锋,即“东暖西冷”。由于冷锋移动速度快于暖锋,锋面气旋有时会发育锢囚锋,其形 成过程如下图所示: 3.较小时空尺度的大气运动——以热力环流为例(2024·江苏连云港模拟)切变线通常是指对流层下层风场中风向或风速的不连续线,该线 两侧风向、风速存在明显差异。影响我国的切变线一般位于副热带太平洋高压北侧,与近地 面锋面系统共同影响降水。下图为“某年某月22日23时东亚部分地区850 hPa风场图”。 据此完成1~3题。 1.此时靠近切变线的城市是( ) A.海口 B.台北 C.重庆 D.武汉 2.图示月份为( ) A.3月 B.6月 C.10月 D.12月 3.一个月后,切变线将移至( ) A.华南地区 B.江淮地区 C.华北地区 D.西北地区 答案 1.D 2.B 3.C 解析 第1题,由材料可知,切变线通常是指对流层下层风场中风向或风速的不连续线,该 线两侧风向、风速存在明显差异。由图可知,切变线位于 30°N附近。武汉西北部附近以偏 北风为主,且风力较小,武汉南部以西南风为主,且风力较大,武汉周边地区的风向、风速 存在明显差异,说明武汉靠近切变线,D正确。第2题,根据图中副热带高压范围,可知此 时副热带太平洋高压脊位于25°N附近,锋面雨带推移至江淮地区,故最可能为6月,选 B。第3题,一个月后(7月),副热带太平洋高压继续北移,切变线继续向北推移到华北地区, C正确。 (2024·江苏苏锡常镇模拟)2022年2月中旬,北大西洋冬季风暴“尤尼斯”生成于北大 西洋西部,沿着副热带高压北侧边缘向东北方向移动。风暴给欧洲中西部带来严重自然灾害。 下图分别为“‘尤尼斯’中心附近最低海平面气压演变及移动路径示意图”。据此回答4~6题。 4.17~19日,“尤尼斯”中心附近气压快速下降,主要是所经地区( ) A.海洋广阔 B.平原宽广 C.森林茂密 D.海岸曲折 5.“尤尼斯”影响英国的时间主要在( ) A.17日下午至 18日凌晨 B.18日凌晨至上午 C.18日下午至 19日凌晨 D.19日凌晨至上午 6.“尤尼斯”爆发性发展阶段,冷暖气团强烈对峙区域大致位于( ) A.30°N B.40°N C.50°N D.60°N 答案 4.A 5.B 6.C 解析 第4题,根据移动路径可知,“尤尼斯”在17~19日经过地区主要为广阔的海洋。2 月,北半球处于冬季,大洋温度高、水汽充足,“尤尼斯”经过广阔海洋时,增温增湿,使 “尤尼斯”气流快速上升,气压快速下降,A正确。第5题,从移动路径可看出“尤尼斯” 风暴经过英国的时间大致在18日0:00后到18日12:00之间,即18日凌晨至上午,故选 B。第6题,“尤尼斯”爆发性发展阶段,应是风暴中心附近气压迅速下降时期,从气压变 化可看出,17日12:00至18日4:00气压迅速下降,低压势力增强,此时段冷暖气团强烈 对峙,对应纬度在50°N附近,故选C。龙泉山脉位于成都平原东部,是呈东北—西南走向的狭长山脉。受山脉屏障作用及阴 阳坡的影响,易引发热力性越山气流。2016年12月7日龙泉山西部的成都平原大气出现重 度污染,该区域的温度场呈现特殊的分布状况。下图为2016年12月7日10:00该区域等 温面(℃)分布。据此完成7~9题。 7.与同一海拔西坡相比,此时龙泉山东坡( ) A.气温较高,形成上坡风 B.气温较低,形成上坡风 C.气温较高,形成下坡风 D.气温较低,形成下坡风 8.相较于东侧平原,此时成都平原近地风力较弱,其根本原因是( ) A.太阳辐射较弱 B.平原面积更小 C.背景风力更强 D.大气逆温更强 9.龙泉山脉( ) ①起伏平缓 ②高耸崎岖 ③地形破碎 ④山体完整 A.①③ B.②③ C.①④ D.②④ 答案 7.C 8.A 9.C 解析 第7题,由图可知,龙泉山东坡等温面向气温低值处凸出,表明相同海拔东坡气温比 西坡高。易引发大气运动,形成热力性越山气流,因此东坡为下坡气流(气流在翻越山脉下 沉过程中增温)。故选C。第8题,相较于东侧平原,该日西侧成都平原的近地风较弱,主 要原因是成都平原大气污染严重。大气污染物通过削弱太阳辐射,使成都平原在日出后加热 速率慢于东侧平原,冷空气聚集于地表,使近地大气层结构相对更稳定。故选A。第9题, 由材料可知,龙泉山脉越山气流是在近地面气流不流通的情况下,山体两侧热力差异所导致 的小尺度的大气运动。龙泉山脉山体完整,无东西向低矮的山间缺口,才能有效屏障西侧成 都平原与东侧平原的近地面气流流通,同时其山体总体较低,起伏平缓,才能出现阴阳坡之 间的热力差异所形成的越山气流。如果龙泉山脉为高大山体,则区域表现为以山体与平原之 间的热力差异为主,山体两侧热力差异不能构成环流系统,同时,高大的山体使越山气流难以发生。故选C。 真题专练 [分值:100 分] (选择题1~15题,每小题6分,共90分) (2022·全国文综乙)我国一海滨城市背靠丘陵,某日海陆风明显。下图示意当日该市不同 高度的风随时间的变化。据此完成1~3题。 1.当日在观测场释放一只氦气球,观测它在1千米高度以下先向北漂,然后逐渐转向西南。 释放气球的时间可能为( ) A.1时 B.7时 C.13时 D.19时 2.据图推测,陆地大致位于海洋的( ) A.东北方 B.东南方 C.西南方 D.西北方 3.当日该市所处的气压场的特点是( ) A.北高南低,梯度大 B.北高南低,梯度小 C.南高北低,梯度大 D.南高北低,梯度小 答案 1.C 2.D 3.B 解析 第1题,首先明确图中风向和风力大小的符号,风矢尾方向表示风的来向。1千米之 下气球先向北漂,说明近地面应该是南风;上升过程中逐渐转向西南,说明较高海拔处风向 转为东北风,看图可知13时最符合,选C。第2题,海陆的相对方位可以根据海陆风风向 判断。因陆风被丘陵干扰,已经不明显,故使用海风来判断。白天午后的海风最明显,图中 近地面附近午后风向是东南风,说明海洋在陆地的东南方向,则陆地在海洋的西北方向,选 D。第3题,本题问的是该市的气压差,即较大尺度背景风的气压场,而不是形成海陆风的 小尺度气压场。海陆风是小尺度的热力环流,海陆风明显,则说明较大尺度的背景风相对较 弱,即气压梯度小,排除A、C;海陆风是近地面的热力环流,高处越来越弱,风力发生明 显改变的高度意味着不再是海陆风的空间尺度范围,再往高处的风向即代表较大尺度的背景 风;图中显示,1 000 m高度上已经高过丘陵海拔,该高度的风即为该市较大尺度的背景风;图中显示,该市一天中较大尺度的背景风都是偏北风,且风力都偏小,最大风力为 3级,故 气压场是北高南低,梯度小,选B。 (2023·江苏地理)蒙古气旋是发源于蒙古国的温带气旋。下图为“某年4月9日某时刻亚 洲局部地区海平面天气图”。据此回答4~6题。 4.图中蒙古气旋总体上( ) A.气压梯度小,冷锋活动弱 B.气压梯度大,冷锋活动强 C.气压梯度小,暖锋活动弱 D.气压梯度大,暖锋活动强 5.此刻影响西乌尔特地区的气团性质是( ) A.冷干 B.冷湿 C.暖干 D.暖湿 6.未来我国受该气旋过境影响最大的地区是( ) A.华中地区 B.华北地区 C.东北地区 D.西北地区 答案 4.B 5.C 6.C 解析 第4题,据图示信息可知,此时蒙古气旋与周边地区之间等压线密集,水平气压梯度 大,且冷锋所处位置等压线比暖锋更密集,说明冷锋活动强于暖锋,B正确。第5题,据图 示信息可知,西乌尔特地区位于冷锋锋前、暖锋锋后,受暖气团控制,位于大风区,气团性 质为暖干,故选C。第6题,我国东北地区距离该气旋较近,且位于其移动路径之上,受其 影响最大,C正确。华中地区、华北地区、西北地区距离该气旋较远,受其影响较小,A、 B、D错误。 (2023·广东地理)露点温度是指气压不变、水汽无增减情况下,未饱和空气因冷却而达到 饱和时的温度。下图所示的是2020年11月18~19日吉林省某气象站记录的一次较强降水 过程相关信息。据此完成7~8题。7.此次降水过程呈现的天气变化依次是( ) A.风雨交加、冻雨夹雪、雪花纷飞 B.疾风骤雨、雪花纷飞、冻雨夹雪 C.雪花纷飞、风雨交加、冻雨夹雪 D.风和日丽、冻雨夹雪、和风细雨 8.此次天气过程形成的主要原因是( ) A.对流旺盛 B.逆温增强 C.暖锋经过 D.冷锋过境 答案 7.A 8.D 解析 第7题,露点是水汽可以凝结成液态水的气温临界值,18日14~20时距离地面2 m 处的大气持续保持在露点温度,因气温随高度增加而降低,可知距离地面2 m以上的气温明 显低于露点温度,即高空会有大量水汽凝结,并产生降水;因此时近地面附近气温高于0 ℃,高空的降水一般是降雪,到0 ℃的高度附近会融化为降雨,加上此时风速逐渐增大, 应为风雨交加天气。18日20时左右,离地2 m处的气温开始低于0 ℃,部分雪花飘落到0 ℃附近会融化为过冷的雨水,过冷的雨水降落到低温的地物上会结冰,形成冻雨。19日4 时后,气温虽然开始高于露点温度,但始终相差不大,意味着近地面空气湿度很大、接近饱 和,而高空气温则持续在露点温度之下,仍然在持续形成降水;此时近地面气温已经在0 ℃之下,雪花不会融化,形成雪花纷飞的天气,选A。第8题,对流旺盛,气温应较高,A 错;逆温增强会抑制气流上升,难以产生降水,B错;暖锋过境后气温应该升高,C错;此 地位于我国吉林省,经历的天气过程是降水、大风、降温等,此时为 11月中旬,冷空气增 强,故最有可能是冷锋过境,D正确。 (2023·湖南地理)大气污染受湿度、大气运动等因素影响。我国某地某月7日8:00至10 日20:00经历了一次较强的大气污染,PM 浓度变化大。此期间该地空气垂直运动弱。下 2.5 图示意此期间该地相关气象要素的变化情况(箭头表示对应时刻的近地面风向和风速,帕/秒 是气象部门计量空气垂直运动速度的单位)。据此完成9~11题。9.7日20:00至9日20:00,该地( ) A.不同高度空气垂直运动方向相同 B.空气当中的水汽以向外输出为主 C.垂直气流强弱与湿度大小变化一致 D.下沉气流相对较强时近地面风速小 10.8日8:00至10日20:00,先后控制该地的天气系统是( ) A.冷锋、反气旋 B.冷锋、气旋 C.暖锋、反气旋 D.暖锋、气旋 11.下列四个时刻,该地污染最严重的是( ) A.7日20:00 B.8日20:00 C.9日20:00 D.10日20:00 答案 9.B 10.A 11.A 解析 第9题,读图可知,不同高度空气垂直运动方向有实线、有虚线,即有上升也有下沉, 方向并不相同,A错误;7日20:00至9日20:00空气的湿度呈下降趋势,因此空气当中 的水汽以向外输出为主,B正确;图中显示,垂直气流总体上海拔越高湿度越小,而垂直方 向气流的强弱不同时刻、不同海拔大小不一,C错误;读图可知,下沉气流速度与近地面风 速关联度不大,如8日20:00~9日8:00下沉气流相对较强,但近地面风速大,D错误。 第10题,读图可知,8日8:00至10日20:00,当地近地面先是盛行北风,风力较大,符 合冷锋系统控制下的天气特征;后近地面以下沉气流为主,空气湿度下降,符合反气旋天气 系统控制下的天气特征,故选A。第11题,大气污染受空气湿度、大气运动等因素影响大, 7日20:00近地面空气湿度最大,大气以微弱的上升气流为主,污染物难以扩散,污染物 与湿润空气结合更容易形成气溶胶,污染最严重,A正确。 (2022·湖南地理)根据关键区域(虚线框内)风场辐合情况,冬季强华南准静止锋可分为三类。下图示意三类冬季强华南准静止锋及其 850百帕等压面上≥4 m/s的风场。据此完成12 ~13题。 12.与北风辐合型相比,南风辐合型关键区域降水更多。下列解释合理的是( ) A.雨区范围更大 B.冷空气势力更强 C.水汽量更充足 D.地形阻挡更明显 13.受南北风辐合型冬季强华南准静止锋的影响,广东省北部地区( ) A.低温雨雪频发 B.土壤侵蚀加剧 C.河流入汛提前 D.昼夜温差增大 答案 12.C 13.B 解析 第12题,读图可知,北风辐合型气流来自陆地,而南风辐合型气流主要来自海洋, 带来的水汽更充足,因此关键区域降水更多,C正确;降雨量是在一定时间内降落在地面上 的某一点或某一单位面积上的水层深度,与雨区范围大小无关,排除A;从图中可以看出, 与北风辐合型相比,南风辐合型在关键区域以偏南风为主,冷空气势力并不强,排除 B;当 地地形并不会有短时间的变化,排除D。第13题,受南北风辐合型冬季强华南准静止锋的 影响,广东省北部地区会出现降雨天气,雨水到达地表形成地表径流,对土壤具有明显的侵 蚀作用,因此土壤侵蚀加剧,B正确;图中显示,该类型锋面在广东省北部以偏南风为主, 比较温暖,因此当地出现低温雨雪的频率并不高,排除A;当地河流一般在春末夏初入汛, 而此类锋面出现在冬季,降水强度和持续时间有限,因此使河流入汛提前的可能性不大,排 除C;受锋面影响,广东省北部地区会出现阴雨天气,云层加厚,大气对太阳辐射的削弱和对地面的保温作用增强,昼夜温差会减小,排除D。 (2022·广东地理)某研究统计了50°N以北地区1979~2016年发生的所有气旋,并将中心 气压值最低的前5%的气旋定义为超强气旋。下图示意该地区1979~2016年超强气旋总频数 空间分布。据此完成14~15题。 14.影响图中北大西洋地区超强气旋生成的气压带、风带主要是( ) ①副极地低气压带 ②副热带高气压带 ③极地东风带 ④盛行西风带 ⑤东北信风带 A.①③④ B.①③⑤ C.②③④ D.②④⑤ 15.冬季甲区域的超强气旋比乙区域多发,从洋流的影响考虑,是因为甲区域( ) A.寒流的范围更广 B.离岸流规模更大 C.暖流的势力更强 D.沿岸上升流更盛 答案 14.A 15.C 解析 第14题,据图可知,在北大西洋中超强气旋频率最高的位置出现在 60°N~70°N之 间。副极地低气压带位于60°纬线到极圈附近,与超强气旋频率最高的位置接近,①正确。 副热带高气压带位于30°纬线附近,并不在超强气旋频率最高的位置附近,②错误。极地东 风带与盛行西风带分别位于副极地低气压带两侧,与超强气旋频率最高的位置较为接近, ③④正确。东北信风带位于北半球低纬度地区,位置差异明显,⑤错误。故选A。第15题, 依据材料,超强气旋是气旋中中心气压值最低的前5%,中心气压低,说明中心气温高,根 据海—气相互作用原理,可知该处海水温度较高。题干要求从洋流的影响考虑,甲区域有 北大西洋暖流,乙区域有阿拉斯加暖流,两者相比,北大西洋暖流势力更强,使流经地区水 温更高,C正确。甲、乙两处皆有暖流,且均属于风海流,与寒流、离岸流、上升补偿流并 无关联,A、B、D错误。 16.(2023·山东地理)阅读图文资料,完成下列要求。(10分)为研究某地焚风的发展变化,研究人员在该地设A、B两处气象观测点进行观测(图 1)。图2为某年1月28日在A观测点获取的气象数据。另据B观测点数据显示,当日地方 时14:00左右该处出现一个锋面,停留了一段时间后,15:30左右开始移动。 (1)指出A观测点焚风出现的时间(地方时)。(2分) (2)分析AB段地形对焚风发展变化的影响。(4分) (3)解释B处锋面形成的原因并指出15:30后锋面的移动方向。(4分) 答案 (1)7:00~8:00之间。 (2)偏北方向的气流翻越北部山地后,在下沉过程中形成干热的焚风;经过AB河谷,狭管效 应使风速增大;到达下游地区,地形开阔,风速减小。 (3)湖泊地区上空在午后形成相对冷湿的气团,干热的焚风气团到达湖泊附近,与冷湿的气 团相遇,形成锋面。15:30后锋面的移动方向是偏北方向。 模拟演练 [分值:100 分] (选择题1~13题,每小题6分,共78分) (2024·广东汕头模拟)2021年12月6~12日,我国长株潭城市群出现一次大气污染,主要污染源为外源性输入与本地污染物积累。下图分别示意长株潭城市群位置及长株潭城市群 PM 质量浓度逐日变化曲线(PM 平均值大于75 μg/m3开始出现轻度污染,150~250 μg/m3 2.5 2.5 为重度污染)。据此回答1~2题。 1.长沙、株洲两市大气污染开始时间存在差异的主要影响因素有( ) ①相对位置 ②植被类型 ③大气环流 ④海拔高低 A.①② B.②④ C.①③ D.③④ 2.根据12月8~10日长株潭城市群空气质量的变化,推断当时的天气形势( ) A.受副热带高压控制 B.有明显降水过程 C.空气对流运动旺盛 D.近地面风速较小 答案 1.C 2.D 解析 第1题,根据材料“PM 平均值大于75 μg/m3开始出现轻度污染”,及图中数据可 2.5 知,株洲开始出现轻度污染的时间滞后长沙约8小时。材料提示,此次污染源除本地污染物 积累外,还存在外源性输入。外源污染物的输入动力主要是风力。影响12月长株潭城市群 的大气环流主要为冬季风(偏北风);根据图中长株潭城市群三个城市的相对位置可知,长沙 位于城市群北部,株洲位于城市群东南方位。综合以上因素,污染物在大气环流主导风向偏 北风的影响下,首先影响长沙,株洲处在下风区,轻度污染开始出现的时间滞后于长沙,故选①③,答案为C。植被类型对污染开始的时间没有直接影响,材料没有相关提示,①错误; 根据图示地形,长株潭城市群位于湘江流域地势较平坦的区域,海拔差异不大,④错误。答 案为C。第2题, 读图可知,12月8~10日期间长株潭城市群PM 浓度大于150,属于重 2.5 度污染,空气质量差。副热带高压主要在夏季控制我国,A 错;若有明显降水过程,则污 染物会被雨水冲刷,空气质量改善,B错;空气对流运动旺盛,污染物扩散,空气质量应改 善,C错;长株潭重度污染天气在8~10日持续,说明近地面风速小,不利于污染物扩散, 选D。 (2024·江苏南京模拟)风向切变线是指风矢量(风向、风速)发生突然变化的不连续线。下 图为“2023年10月16日16时(北京时间)世界某地区海平面气压场(单位:hPa)、部分海面 风场分布示意图”。据此回答3~5题。 3.图中未标出风矢量处,风力最强的是( ) A.① B.② C.③ D.④ 4.图中能形成风向切变线的是( ) A.a B.b C.c D.d 5.此时下列各地天气状况描述,正确的是( ) A.甲 阴云密布 B.乙 大雾弥漫 C.丙 阳光灿烂 D.丁 狂风暴雨 答案 3.D 4.B 5.A 解析 第3题,同一幅等压线地图中等压线越密集,风力越大,②③处等压线较①④稀疏, 风力较小,B、C错误;据图示可知,①处东北侧有山地分布,山地会阻挡偏北风,风力相 对较小;④处位于山地的鞍部附近,风从山垭口吹过,狭管效应加大风力,选D。第4题, 风向切变线是指风矢量(风向、风速)发生突然变化的不连续线,b处的风向由西北风明显转 变为西南风,且风力有所增加,符合风向切变线的形成条件,B正确;据图示可知a、c两 处附近风力较小,且没有明显的风向变化,不能形成风向切变线,A、C错误;d处附近风 向和风力差异较小,D错误。第5题,由图可知,甲处气流逆时针辐合上升,水汽易凝结, 多阴雨天气,故选A。通过乙处风矢量可知,乙处有风且风速较大,大雾易被吹散,B错误; 丙处为来自海洋的风的迎风坡,易形成地形雨,C错误;丁处等压线较稀疏,风力较小,D错误。 (2024·湖南长沙模拟)暖气团、较冷气团和更冷气团相遇时先构成两个锋面,然后其中一 个锋面追上另一个锋面,即形成锢囚锋。我国常见的是锋面受山脉阻挡所形成的地形锢囚; 或冷锋追上暖锋,或两条冷锋迎面相遇形成的锢囚。下图示意某年 2月20~22日一次较强 寒潮过程中,青海湖地区锢囚锋生消过程中降水落区(阴影部分)分布概念模型。据此完成6 ~7题。 6.此次锢囚锋生消过程时序,生成前、维持时、消亡后依次对应( ) A.①→②→③ B.②→③→① C.③→②→① D.③→①→② 7.锢囚锋维持时,近地降水主要发生在( ) A.锋线位置 B.较暖空气一侧 C.冷气团抬升区域 D.抬升空气地面投影区 答案 6.B 7.D 解析 第6题,结合材料信息可知,暖气团、较冷气团和更冷气团相遇时先构成两个锋面, 然后其中一个锋面追上另一个锋面,即形成锢囚峰。结合图示不同区域天气变化可知,此次 锢囚峰应属两条冷锋迎面相遇形成的锢囚,最开始两条冷锋相距较远,迎面相遇距离拉近, 开始形成锢囚锋,锢囚锋移动产生集中降水后消亡,故对应图中②→③→①,B正确。第7 题,图③为锢囚锋维持时,由图③阴影降水区分布可知,锢囚锋维持时降水对称分布在地面锢囚锋锋线一定距离之外的区域内,说明降水区域是暖气团沿两侧冷气团爬升至凝结高度时 在地面上的投影,其对应地面位置主要发生在冷空气一侧,A、B错误,D正确;冷暖空气 相遇,冷空气并不会抬升,C错误。 (2024·甘肃兰州模拟)东北冷涡是活动于我国东北地区或其附近的高空气旋式涡旋,是从 地面到6 000米上空的深厚系统,一年四季都可出现,但夏季出现的概率较冬季大。下图示 意某时刻东北冷涡高空500百帕等压面的高度分布。据此回答8~10题。 8.图示时刻,东北冷涡影响下的近地面气压与水平气流运动状况描述正确的是( ) A.中心气压低,气流呈逆时针辐合 B.中心气压高,气流呈逆时针辐散 C.中心气压低,气流呈顺时针辐合 D.中心气压高,气流呈顺时针辐散 9.图示时刻,我国东北地区天气特征描述合理的是( ) A.晴天 气温升高 B.晴天 气温降低 C.暴雨 气温升高 D.暴雨 气温降低 10.夏季,东北冷涡势力较强时( ) A.东北地区气温较同期偏高 B.北方冷空气南下受阻 C.江淮梅雨期降水较多 D.长江流域的降水偏少 答案 8.A 9.D 10.C 解析 第8题,由材料可知,东北冷涡是从地面到6 000米上空的气旋式涡旋,北半球气旋 (中心气压低)呈逆时针方向辐合,故A正确。第9题,我国东北地区此时正处于高空冷涡的 中东部,冷空气控制,气温降低,A、C错误;冷涡东部的东南风从海洋上带来大量水汽, 湿润气流遇冷形成强降水,B错误、D正确。第10题,东北冷涡势力较强时,垂直方向上 气流容易出现强对流天气,多阴雨天气,东北地区气温较同期偏低,A错误;东北冷涡势力 较强时,有利于冷涡北侧的冷空气南下,B错误;东北冷涡势力较强时,夏季风北上受阻, 雨带在长江中下游滞留,导致江淮梅雨期降水较多,长江流域的降水偏多,C正确、D错误。(2024·河南新乡模拟)西伯利亚的暖气团向北移入北冰洋的过程中,气温的垂直分布发生 改变,出现上暖下冷的逆温层。北冰洋洋面蒸发提供水汽形成云雾,伴随着暖气团北移,云 雾的高度也相应发生变化(下图)。据此完成11~13题。 11.从西伯利亚移入北冰洋的暖气团较少,主要受制于( ) A.盛行西风 B.东北信风 C.极地东风 D.西北季风 12.该现象最可能出现在( ) A.春季 B.夏季 C.秋季 D.冬季 13.西伯利亚的暖气团北移过程中,逆温的形成原因有( ) ①昼长变短 ②地面辐射散热 ③融冰吸热 ④冰面反射率高 A.①② B.①④ C.②③ D.③④ 答案 11.C 12.B 13.D 解析 第11题,从西伯利亚移入北冰洋的暖气团,其移动方向和极地东风风向基本相反, 阻力较大,导致从西伯利亚移入北冰洋的暖气团较少,选C。第12题,夏季,北冰洋海冰 消融,且从西伯利亚来的气团为暖气团,导致北极地区气温升高,极地高气压带势力减弱, 极地东风带势力减弱,对北上的暖气团阻力减弱,选B。第13题,逆温形成的关键在于近 地面气温下降。暖气团北移过程发生在夏季,夏季,越往北,昼长越长,①错误;夏季暖气 团北移过程中,北冰洋部分海冰消融,融冰吸收热量导致近海面气温进一步下降,易出现上 暖下冷的逆温层,②错误,③正确;夏季北冰洋仍有部分海冰,海冰反射率高,吸收的太阳 辐射少,温度低,受海冰影响近地面气温低,④正确,选D。 14.阅读图文材料,回答下列问题。(22分) 海岸带大雾是指发生在近海、岸滨和岛屿上空的低层大气中,水汽凝结形成大量水滴或 冰晶,使大气水平能见度下降至小于1 000 m的海、陆雾,其发生与特定环流背景、气温、 露点温度、相对湿度、风向风速、大气稳定度、水汽平流输送等存在密切关系,因局地性和 突发性强,海、陆雾的预报警难度较大。渤海湾海岸带大雾夏季出现频率比冬季低,且夏季 全部陆雾未入海(海岸带附近只在陆地形成雾,没有向海洋扩展)。12月某日渤海湾塘沽观测点自2时开始出现大雾,且不断加强,8时后逐渐消散。图1为渤海湾位置图,图2为12月 某日塘沽观测点风速、气温、湿度变化图。 (1)说明塘沽观测点12月某日2~8时海岸带大雾持续加强的原因。(8分) (2)根据热力环流原理,分析渤海湾夏季陆雾未入海的原因。(8分) (3)说明海岸带大雾对渤海及附近区域带来的不利影响。(6分) 答案 (1)该日2~8时,空气湿度较大且快速增加,为大雾的形成提供充足的水汽条件;气 温较低且逐渐下降,有利于水汽冷凝;风速小且较为稳定,不利于雾的消散。 (2)夏季风(东南季风)势力较强,阻碍陆雾向海洋扩展;夏季在海岸带附近陆地温度比海洋温 度高的时段,近地面吹海风,阻碍陆雾向海洋扩展;夏季在海岸带附近陆地温度比海洋温度 低的时段,近地面吹陆风,陆风入海后由于海面较温暖,不利于水汽冷凝成雾。 (3)大雾导致能见度下降,交通运输不便,易引发交通事故;大雾时段逆温现象严重,阻止 污染物扩散,加剧空气污染;大雾影响渔业等生产活动,对水、电、通信设备有一定损害。