当前位置:首页>文档>2025年高考地理二轮复习配套讲义通用版专题5 主题5 土壤发育_9.2025地理总复习_2025年新高考资料_二轮复习_2025年高考地理二轮复习配套讲义通用版(解析版)

2025年高考地理二轮复习配套讲义通用版专题5 主题5 土壤发育_9.2025地理总复习_2025年新高考资料_二轮复习_2025年高考地理二轮复习配套讲义通用版(解析版)

  • 2026-04-11 21:37:26 2026-03-12 05:03:58

文档预览

2025年高考地理二轮复习配套讲义通用版专题5 主题5 土壤发育_9.2025地理总复习_2025年新高考资料_二轮复习_2025年高考地理二轮复习配套讲义通用版(解析版)
2025年高考地理二轮复习配套讲义通用版专题5 主题5 土壤发育_9.2025地理总复习_2025年新高考资料_二轮复习_2025年高考地理二轮复习配套讲义通用版(解析版)
2025年高考地理二轮复习配套讲义通用版专题5 主题5 土壤发育_9.2025地理总复习_2025年新高考资料_二轮复习_2025年高考地理二轮复习配套讲义通用版(解析版)
2025年高考地理二轮复习配套讲义通用版专题5 主题5 土壤发育_9.2025地理总复习_2025年新高考资料_二轮复习_2025年高考地理二轮复习配套讲义通用版(解析版)
2025年高考地理二轮复习配套讲义通用版专题5 主题5 土壤发育_9.2025地理总复习_2025年新高考资料_二轮复习_2025年高考地理二轮复习配套讲义通用版(解析版)
2025年高考地理二轮复习配套讲义通用版专题5 主题5 土壤发育_9.2025地理总复习_2025年新高考资料_二轮复习_2025年高考地理二轮复习配套讲义通用版(解析版)
2025年高考地理二轮复习配套讲义通用版专题5 主题5 土壤发育_9.2025地理总复习_2025年新高考资料_二轮复习_2025年高考地理二轮复习配套讲义通用版(解析版)
2025年高考地理二轮复习配套讲义通用版专题5 主题5 土壤发育_9.2025地理总复习_2025年新高考资料_二轮复习_2025年高考地理二轮复习配套讲义通用版(解析版)
2025年高考地理二轮复习配套讲义通用版专题5 主题5 土壤发育_9.2025地理总复习_2025年新高考资料_二轮复习_2025年高考地理二轮复习配套讲义通用版(解析版)
2025年高考地理二轮复习配套讲义通用版专题5 主题5 土壤发育_9.2025地理总复习_2025年新高考资料_二轮复习_2025年高考地理二轮复习配套讲义通用版(解析版)
2025年高考地理二轮复习配套讲义通用版专题5 主题5 土壤发育_9.2025地理总复习_2025年新高考资料_二轮复习_2025年高考地理二轮复习配套讲义通用版(解析版)
2025年高考地理二轮复习配套讲义通用版专题5 主题5 土壤发育_9.2025地理总复习_2025年新高考资料_二轮复习_2025年高考地理二轮复习配套讲义通用版(解析版)
2025年高考地理二轮复习配套讲义通用版专题5 主题5 土壤发育_9.2025地理总复习_2025年新高考资料_二轮复习_2025年高考地理二轮复习配套讲义通用版(解析版)
2025年高考地理二轮复习配套讲义通用版专题5 主题5 土壤发育_9.2025地理总复习_2025年新高考资料_二轮复习_2025年高考地理二轮复习配套讲义通用版(解析版)
2025年高考地理二轮复习配套讲义通用版专题5 主题5 土壤发育_9.2025地理总复习_2025年新高考资料_二轮复习_2025年高考地理二轮复习配套讲义通用版(解析版)
2025年高考地理二轮复习配套讲义通用版专题5 主题5 土壤发育_9.2025地理总复习_2025年新高考资料_二轮复习_2025年高考地理二轮复习配套讲义通用版(解析版)
2025年高考地理二轮复习配套讲义通用版专题5 主题5 土壤发育_9.2025地理总复习_2025年新高考资料_二轮复习_2025年高考地理二轮复习配套讲义通用版(解析版)
2025年高考地理二轮复习配套讲义通用版专题5 主题5 土壤发育_9.2025地理总复习_2025年新高考资料_二轮复习_2025年高考地理二轮复习配套讲义通用版(解析版)
2025年高考地理二轮复习配套讲义通用版专题5 主题5 土壤发育_9.2025地理总复习_2025年新高考资料_二轮复习_2025年高考地理二轮复习配套讲义通用版(解析版)

文档信息

文档格式
docx
文档大小
4.250 MB
文档页数
19 页
上传时间
2026-03-12 05:03:58

文档内容

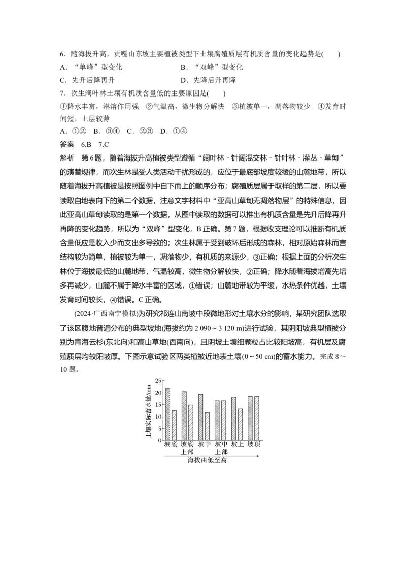
主题 5 土壤发育 1.(2023·山东地理)阅读图文资料,完成下列要求。(16分) 白浆化棕壤是指在土壤表层以下存在白浆层的棕壤,白浆层底部常见坚硬的铁锰结核层。 白浆化棕壤分布区地下水位较低,年降水量800~950 mm,降水主要集中于6~9月。目前, 白浆化棕壤大部分被辟为农田,以种植花生、地瓜、冬小麦为主,是低产土壤之一。图 1示 意白浆化棕壤的剖面构型及各土层主要理化性质。 (1)分析白浆化棕壤“上砂下黏”的剖面构型在不同季节对土壤水分的影响。(6分) (2)针对白浆化棕壤低产的原因,江苏北部某地农民在长期生产实践过程中,摸索出了一种 改良及合理利用白浆化棕壤的农田工程措施——丰产沟(图2)。说明丰产沟如何克服白浆化 棕壤对农业生产的不利影响。(10分) 答案 (1)上层砂土土质疏松,蓄水保水能力弱,蒸发能力强,下层黏土坚实,阻碍地下水 向上补给,在少雨季节土壤水分少;多雨季节上层沙土质地粗,水分易下渗,受黏土阻碍容 易滞水,使土壤水分过多。 (2)培垄增加了耕作层厚度,提高了土壤养分供给能力;培垄和沟底深翻减少了白浆层的不 利影响,利于作物扎根;沟底深翻改变土层“上砂下黏”的不良构型,有效缓解了土壤少雨 季易旱、多雨季易涝的问题,提高了土壤保水保肥能力;沟底有利于冬季积雪,可以改善冬 小麦生长期内的土壤墒情;雨季前冬小麦收获,两垄之间的沟有助于排水,可以减少渍涝危 害。2.(2022·湖南地理)阅读图文材料,完成下列要求。(14分) 土壤有机质包括腐殖质、生物残体等,大多以有机碳的形式存在。土壤有机碳密度是指 单位面积内一定深度的土壤有机碳储量。海南岛某自然保护区内保存着较完整的热带山地雨 林,此地常受台风影响。下图示意该保护区内一块样地的地形及该样地内部分点位土壤表层 (0~10 cm)的有机碳密度(单位:kg/m2)。 (1)指出该样地山脊与山谷土壤表层有机碳密度的差异,并分析其原因。(6分) (2)该地森林固碳能力比长白山更强,请说明理由。(4分) (3)森林固碳是降低大气二氧化碳浓度的重要途径,提出增强当地森林碳吸收能力的主要措 施。(4分) 答案 (1)差异:山脊土壤表层有机碳密度较大,山谷土壤表层有机碳密度较小。原因:与 山谷相比,山脊受台风影响更大,易使植被倾倒死亡、腐烂,树木更新快,增加土壤中有机 碳输入。 (2)与长白山相比,该地水热条件更好,植被更茂密,热带森林光合作用更强,吸收二氧化 碳更多,把碳大量固定在植物体内。 (3)积极恢复森林,扩大森林面积;加强森林抚育和管理,注重林木的保护性间伐与更新, 提升森林固碳能力等。 1.土壤的形成过程 土壤是岩石、气候、生物、地形、时间、人类活动等因素综合作用下的产物。随着时间推移, 土壤从无到有,从薄到厚,层次由少到多,逐步发育成熟。 (1)在风化作用下,岩石形成成土母质。 岩石受到气候因素(风吹、日晒、雨淋、冰冻等)的影响,物理结构变得疏松,化学成分也发 生改变,形成成土母质。这是土壤形成的初始阶段。 (2)在低等生物改造作用下,有机质陆续积累,形成原始土壤。 藻类、地衣、苔藓等低等生物在裸露的岩石表面着生,岩石表面逐渐形成生物风化层,是原始土壤发育的基础,为高等植物的生长提供了更好的条件。 (3)在高等生物、微生物改造作用下,养分富集,形成成熟土壤。 (4)在人类耕作培育下,形成有利于农业生产的耕作土壤。 人类的耕作活动,将自然土壤改造为各种耕作土壤,改善土壤的结构与性状,提高土壤的生 产能力。 2.土壤发育的影响因素 (1)自然地理要素与土壤的发育 (2)人类活动对土壤形成的影响 3.土壤特征的形成 (1)土壤的颜色 土壤颜色主要由有机质含量、矿物质组成以及含水量等因素共同影响。 因素 影响 有机质,尤其是腐殖质,是影响土壤颜色的主要因素之一。腐殖质由动植 有机质 物残体经过微生物分解后形成,一般呈黑色或棕色。因此,当土壤中的腐 含量 殖质含量较高时,土壤会呈现较深的颜色,如黑土 矿物质 土壤中的矿物质对土壤颜色有显著影响。例如,氧化铁是土壤中的一种重 组成 要矿物质,它能赋予土壤偏红色 含水量 含水量的多少会影响土壤的颜色深浅,水分含量较高的土壤通常颜色较深 意义:根据颜色可以理解土壤的性质和肥力,从而为农业生产和土地管理提供指导 (2)土壤的质地 土壤质地是指土壤中不同大小直径的矿物颗粒的组合状况,根据土壤中这些颗粒的比例,土 壤可以被分为砂土、壤土和黏土。4.土壤的性质及其影响因素 土壤性质 影响因素 ①“收”:大气降水、地下水、灌溉用水、凝结水等; 土壤含 ②“支”:蒸发、植物吸收和蒸腾、水分渗漏和径流(壤中流); 水量 ③“储”:最大储水量受土壤空隙空间大小制约 受土壤空隙空间和土壤含水量的共同影响: ①土质疏松、土壤含水量小,土壤透气性好(但水分不足时,植物会 土壤透 凋萎); 气性 ②土质黏重、土壤含水量大,土壤透气性差(水分充足易导致空气受 到排挤,土壤温度下降,透气性减弱,土壤肥力下降) 土壤肥力最终取决于水、肥、气、热的协调程度: ①“收”:外力搬运输入;自身有机质产出(生物提供);自身矿物质 土壤 产出(岩石风化);人类活动补充(施肥)等。 肥力 ②“支”:微生物分解;植物吸收;雨水淋溶、径流侵蚀;不合理的 人类活动等 ①母质:基性岩母质形成的土壤偏碱性;酸性岩母质形成的土壤偏酸 性。 土壤酸 ②气候:湿润地区往往与酸性土壤的分布是一致的;干旱和少雨地 碱度 区,淋溶作用弱,往往是中性或碱性土壤的分布区。 ③人类活动:增施熟石灰可中和土壤酸性;酸雨导致土壤酸性增强等 ①“收”:直接来源为太阳辐射; ②“支”:地面辐射、蒸发; 土壤 ③“调”:土壤含水量增加导致土壤温度变化减小,人类活动(如覆 温度 盖黑膜可减少到达地面的太阳辐射,使土壤温度降低;覆盖透明膜可 减少地面辐射的散失,提高土壤温度)可以影响土壤温度 (2024·九省联考河南地理)挪威南部某高寒地区的植被主要由地衣、小灌木等组成。近年 来的研究表明,该地区灌木向高海拔的地衣群落扩张,植被出现“绿化”现象(下图);夏季 地衣下的土壤温度比灌木下的土壤温度高1.45 ℃。据此完成1~3题。1.该地区植被“绿化”的主要原因是( ) A.降水增多 B.气温升高 C.光照增强 D.风力减弱 2.该地区夏季灌木下土壤温度低于地衣的主要原因是灌木下土壤( ) A.吸收太阳辐射较少 B.吸收大气逆辐射较少 C.反射太阳辐射较多 D.释放地面辐射较多 3.随着灌木的扩张,该地区土壤( ) A.日温差变大 B.厚度增加 C.有机质减少 D.生物多样性减少 答案 1.B 2.A 3.B 解析 第1题,制约高海拔地区植被生长的主导因素是热量。随着全球气候变暖,较高海拔 处热量条件改善,逐渐适合灌木生长,B正确。第2题,根据大气受热过程可知,土壤主要 靠吸收太阳辐射增温。灌木地上生物量较多,遮挡了太阳辐射,导致地面吸收的太阳辐射较 少,土壤温度更低,A正确。 第3题,随着灌木的扩张,该地区土壤吸收的太阳辐射较少, 白天土壤温度降低;夜间受灌木的保护,地面辐射损失减少,日温差变小,A错误。灌木扩 张,生物活动增加,加速土壤的形成,厚度增加,B正确;灌木的生物量大,枯枝落叶多于 地衣群落,土壤有机质增多,C错误;灌木扩张,物种比地衣种类增加,生物多样性增多, D错误。 (2024·湖南长沙模拟)土壤有机碳是通过微生物作用所形成的腐殖质、动植物残体和微生 物体的合称,对植被的更新与恢复、生物多样性的维护、生态系统的稳定等具有重要作用。 伏牛山为秦岭东段支脉,植被种类多样。下图分别示意伏牛山地理位置及其土壤有机碳含量 与海拔的关系。完成4~5题。4.伏牛山( ) A.海拔越低处,受人类活动影响越大,土壤有机碳含量越多 B.海拔高处气温低,微生物分解作用弱,土壤有机碳较丰富 C.海拔1 600 m附近,土壤有机碳输入量最大 D.土壤有机碳含量主要受气温影响,与降水关系不大 5.伏牛山相同海拔处北坡土壤有机碳含量较南坡大的主要影响因素是( ) A.纬度 B.坡度 C.水分 D.海陆位置 答案 4.B 5.C 解析 第4题,据图可知,伏牛山低海拔处土壤有机碳含量低,A错误。高海拔处,虽然生 物量较少,但气温较低,微生物分解慢,经过长期积累,土壤有机碳较丰富,B正确。海拔 1 600 m附近土壤有机碳含量最大,主要原因是微生物分解较慢,低海拔处有机碳输入量最 大,C错误。土壤有机碳输出主要通过微生物分解及雨水淋溶等,因此土壤有机碳含量受降 水的影响也较大,D错误。第5题,伏牛山地处秦岭东段,北坡是阴坡,与南坡相比,光照 较弱,蒸发较少,土壤含水量较高,植被更丰富,枯枝落叶更多,土壤有机碳含量更大,因 此主要影响因素是水分,C正确。伏牛山南北坡纬度相差不大,排除A。材料并无坡度的信 息,无法推知坡度对土壤有机碳含量的影响,排除B。南北坡与海洋的距离差别不大,排除 D。 位于横断山区的贡嘎山,垂直高差极大,自然带类型多,从山麓到山顶依次发育了森林、 草原、冰雪等植被类型。下图为“贡嘎山东坡主要植被类型下土壤有机质沿土壤剖面分布 图”,图中各点所对应纵坐标分别为取样点凋落物层、腐殖质层、淀积层、母质层的取样深 度(亚高山草甸无凋落物层)。完成6~7题。6.随海拔升高,贡嘎山东坡主要植被类型下土壤腐殖质层有机质含量的变化趋势是( ) A.“单峰”型变化 B.“双峰”型变化 C.先升后降再升 D.先降后升再降 7.次生阔叶林土壤有机质含量低的主要原因是( ) ①降水丰富,淋溶作用强 ②气温高,微生物分解快 ③植被单一,凋落物较少 ④发育时 间短,土层较薄 A.①② B.③④ C.②③ D.①④ 答案 6.B 7.C 解析 第6题,随着海拔升高植被类型遵循“阔叶林-针阔混交林-针叶林-灌丛-草甸” 的演替规律,而次生林是受人类活动干扰形成的,应位于最底部坡度较缓的山麓地带,所以 随着海拔升高植被是按照图例中自下而上的顺序分布;腐殖质层属于取样的第二层,所以要 读取自地表向下的第二个数据,注意文字材料中“亚高山草甸无凋落物层”的特殊信息,因 此亚高山草甸读取的是第一个数据,从图中读取的数据可以推出有机质含量是先升后降再升 再降的变化趋势,所以为“双峰”型变化,B正确。第7题,根据收支理论可以推断有机质 含量低应是收入少而支出多导致的;次生林属于受到破坏后形成的森林,相对原始森林而言 结构较为简单,植被较为单一,凋落物少,有机质的来源少,③正确;根据上面的分析次生 林位于海拔最低的山麓地带,气温较高,微生物分解较快,②正确;降水随着海拔增高先增 多再减少,山麓不属于降水丰富的区域,①错误;山麓地带较为平缓,水热条件优越,土壤 发育时间较长,④错误。C正确。 (2024·广西南宁模拟)为研究祁连山南坡中段微地形对土壤水分的影响,某研究团队选取 了该区腹地普遍分布的典型坡地(海拔约为2 090~3 120 m)进行试验,其阴阳坡典型植被分 别为青海云杉(东北向)和高山草地(西南向),且阴坡土壤细颗粒占比较阳坡高,有机层及腐 殖质层均较阳坡厚。下图示意试验区两类植被近地表土壤(0~50 cm)的蓄水能力。完成8~ 10题。说明:土壤饱和蓄水量为土壤孔隙中水分达到饱和时的蓄水量。 8.关于青海云杉近地表土壤蓄水能力的叙述,正确的是( ) A.土壤饱和蓄水量完全不受坡位影响 B.土壤实际蓄水量受坡位的影响较大 C.随海拔升高,土壤实际蓄水量先减后增 D.在坡顶附近,土壤饱和蓄水量达最大值 9.青海云杉近地表土壤实际蓄水量普遍小于高山草地,主要是因为( ) A.地表的坡度较大,导致地表径流相对较少 B.所在坡向为阳坡,近地表土壤水分易蒸发 C.降水被林冠层截留,到达地表的降水量较少 D.受土壤质地的影响,近地表土壤水分易下渗 10.青海云杉近地表土壤饱和蓄水量普遍大于高山草地,主要是因为( ) A.有机质改善土壤结构,使近地表土壤疏松多孔 B.有机质集中于近地表,利于促进地表径流下渗 C.细颗粒占比较高,有利于抑制近地表土壤水分蒸发 D.土壤易板结,阻挡近地表土壤水分向深处下渗 答案 8.B 9.C 10.A 解析 第8题,读图可知,不同坡位的青海云杉近地表土壤实际蓄水量差异较大,因此土壤 实际蓄水量受坡位的影响较大,B正确;青海云杉近地表土壤饱和蓄水量受坡位影响较小, A错误;随海拔升高,青海云杉近地表土壤实际蓄水量变化较为复杂,C错误;在坡顶附近, 青海云杉近地表土壤实际蓄水量达最大值,在坡中,土壤饱和蓄水量达最大值,D错误。第 9题,地表坡度越大,地表径流越容易流失(地表径流越多),土壤水分含量越少,A错误; 青海云杉地处东北向,以阴坡为主,B错误;针叶林垂直结构更复杂,林冠层可截留降水, 到达地表的降水量较少,C正确;青海云杉所处坡向的土壤细颗粒占比高,只考虑土壤质地 的影响,近地表土壤水分不易下渗,D错误。第10题,土壤饱和蓄水量为土壤孔隙中水分 达到饱和时的蓄水量,因此土壤饱和蓄水量主要受土壤孔隙大小的影响。青海云杉地处阴坡, 有机层及腐殖质层均较阳坡厚,有机质含量丰富,可以改善土壤结构,使近地表土壤疏松多 孔,故选A。真题专练 [分值:100 分] (选择题1~9题,每小题10分,共90分) (2024·新课标文综)土壤水分转化是联系降水、地表水、地下水的重要环节。某科研小组 进行人工降雨实验,测量降雨前后土壤体积含水率随时间的变化过程:降雨情景相同,土壤 质地相同,在30°的坡地上设置覆盖石子、裸地两种情况,土壤体积含水率的测量深度分别 为30厘米、60厘米和100厘米。实验结果如下图所示。据此完成1~3题。 1.根据图a判断曲线Ⅰ是深度为30厘米的土壤体积含水率变化曲线,依据是曲线Ⅰ( ) A.变化最早 B.初始值适中 C.峰值最高 D.波动最大 2.图b中曲线Ⅱ和Ⅲ没有明显变化,表明( ) A.降雨量大 B.地表产流多 C.土壤水分饱和 D.雨水下渗多 3.相对于裸地,坡地上覆盖石子有利于增加( ) ①地表径流 ②地下径流 ③土壤水分 ④蒸发 A.①③ B.①④ C.②③ D.②④ 答案 1.A 2.B 3.C 解析 第1题,三个不同测量深度下,30厘米最浅,土壤体积含水率最先受到雨水下渗影 响从而最先上升,变化最早,A正确;初始值是没下雨之前的原始状态,其含水量大小与土 壤深浅没有必然关系,B错误;从图中可看出,峰值最高、波动最大的都是曲线Ⅲ,C、D错误。第2题,图b坡地为裸地,曲线Ⅰ是深度为30厘米的土壤体积含水率变化曲线,曲 线Ⅱ和Ⅲ埋藏较深,在降雨后没有明显变化,说明裸地降雨后雨水下渗量小、地表产流多、 地下径流少,深层土壤还未受到降雨的影响,土壤水分未饱和,B正确,C、D错误;根据 文字材料可知,该实验降雨情景相同,A错误。第3题,相对于裸地,坡地上覆盖的石子可 以阻碍地表水的流动,降低流速,延长地表水下渗的时间,增加下渗量,因此地表径流减少, 地下径流增加,土壤水分增加,①错误,②③正确;与裸地相比,在坡地上覆盖石子可以遮 挡太阳辐射,降低地表温度,减少土壤水分蒸发,④错误。故选C。 (2022·山东地理)图a示意黑龙江省一小型山间盆地景观。某研究小组在甲、乙、丙、丁 四处布设采样点进行土壤调查,图b示意该小组绘制的四个采样点0~60 cm土壤剖面。据 此完成4~5题。 4.该区域植被类型分异的主要影响因素是( ) A.热量 B.降水 C.地形 D.岩性 5.图b中②示意的土壤剖面位于( ) A.甲处 B.乙处 C.丙处 D.丁处 答案 4.C 5.C 解析 第4题,图示区域是小型山间盆地,空间尺度较小,海拔差异也不足 50 m,热量、 降水条件差异较小,A、B错误。该地地形有起伏,导致土壤中水分的空间差异较大,溪流处地势最低,土壤中水分最多,易发育水生草本植被;盆地边缘地势较高,地下水埋藏较深, 易发育森林,由此产生了明显的植被分异,C正确;材料信息没有体现岩性的相关信息,D 错误。第5题,根据图示信息可知,②土壤剖面枯枝落叶层和腐殖质层最厚,缺失淋溶层。 丙处接近溪流位置,地下水丰富,形成湿生草甸植被,腐殖质层和枯枝落叶层较厚;且丙处 地下水埋藏浅、水位高,没有足够空间形成淋溶层,故②土壤剖面位于丙处,C正确。 (2022·海南地理)地处黄土高原的延安市经过几十年生态建设,生态环境得到极大的改善。 某研究团队对延安市安塞区(图1)不同利用类型的土壤碳固存量进行了抽样调查,调查结果 如图2所示。据此完成6~7题。 6.图1中信息制图、图2中数据的获取分别利用( ) ①地理信息系统 ②遥感 ③全球卫星导航系统 ④实验 A.①② B.①④ C.②③ D.③④ 7.据图判断,对该地土壤固碳效果最好的是( ) A.梯田建设 B.退耕还林 C.打坝淤地 D.退耕还草 答案 6.B 7.B 解析 第6题,图1是根据数据信息进行的“制图”,并不是依靠传感器拍摄得到的卫星照片,制图是对数据的分析、加工处理,然后输出的产品,是地理信息系统的应用,①对;图 2的数据是实地调查取样计算的结果,属于实验方式,④对,选B。第7题,读图2可知, 土壤深处有机碳储量相差不大,但表层差距很大。同样深度的表层土壤,人工林的有机碳储 量最大,固碳效果最佳,选B。 (浙江选考)下图为“土壤与其他自然地理要素的关系图”。完成8~9题。 8.下列成土因素,比较活跃的是( ) A.气候和地形 B.气候和生物 C.母质和生物 D.地形和母质 9.与陡坡相比,缓坡土壤肥力一般较高是因为( ) A.自然植被茂密 B.有机质积累多 C.生物残体分解快 D.矿物养分流失快 答案 8.B 9.B 解析 第8题,生物是成土因素中最活跃的因素,气候决定着成土过程的水、热条件,影响 土壤有机物的积累和分解,是成土因素中比较活跃的因素。第9题,降雨时缓坡水流速度慢, 流水侵蚀作用弱,表层土壤和有机质流失少,有机质积累多;陡坡相反。 10.(2023·北京地理)1944年,摄影师萨尔出生于巴西东南部一个1 500平方千米的农庄,农 庄一半属于大西洋森林。下面图1示意大西洋森林的分布,图2是2001年和2019年萨尔家 族农庄景观。读图,回答下列问题。(10分)东南沿岸森林保护区动植物种类丰富,众多水生生物中有巴西特有的鱼类。这里有大面 积森林、湿地、群岛、海滩、河流及其入海口,茂密的红树林覆盖岛屿和河口。 (1)简述该保护区生物多样性丰富的主要自然条件。(4分) 在过去五个世纪里大西洋森林被大规模开发,出现了起源于染料木贸易点的里约热内卢、 兴起于皮拉蒂尔村庄的圣保罗等城市,森林面积持续减少。20世纪40年代初,萨尔的父亲 购置土地,和其他许多农民一样,砍掉树木,种植牧草、咖啡、大豆和甘蔗等。 (2)概括大西洋森林面积持续减少的人为原因。(4分) 20世纪90年代,萨尔夫妇开始经营农庄。1999年他们筹集10万棵树苗,招募工人, 志在把毫无生机的土地还原成儿时的模样,到2019年已植树200万棵。与此同时,巴西、 阿根廷和巴拉圭形成“大西洋森林恢复三国网络”机制,通过人工造林,大约7 000平方千 米森林得以恢复。 (3)阐述与2001年相比,2019年农庄土壤的变化。并指出建立“大西洋森林恢复三国网络” 机制的必要性。(2分) 答案 (1)气候温暖湿润,生物栖息地范围广、类型多样;植被覆盖岛屿和河口,适宜多种 水生生物生长。 (2)人口增加,森林被砍伐;土地被开辟发展农牧业,城镇兴起。 (3)土壤含水量增加,土壤有机质含量增加。 按照自然环境整体性推动森林恢复,需要跨国协作。模拟演练 [分值:100 分] (选择题1~14题,每小题6分,共84分) (2024·福建漳州模拟)土壤碳含量取决于碳的输入量和输出量,自然生态系统中土壤碳输 入主要受有机体残渣归还量的影响。下图示意贡嘎山东坡针叶林中四个样地土壤剖面各层碳 含量随海拔的分布特征,其中(S1~S4)样地海拔逐渐升高。据此完成1~2题。 1.图中a、b、c层分别对应土壤剖面中的( ) A.母质层、淋溶层、淀积层 B.淋溶层、淀积层、母质层 C.淀积层、淋溶层、母质层 D.淋溶层、母质层、淀积层 2.S 样地b层土壤碳含量明显高于其他样地,该现象指示了S 样地( ) 2 2 A.枯枝落叶最少 B.大气温度最高 C.微生物量最少 D.淋溶作用最强 答案 1.B 2.D 解析 第1题,从图示信息可知,a、b、c三层位于凋落物层以下且深度逐渐加深,根据所 学土壤垂直剖面的相关知识并结合选项可知,图中a、b、c层分别对应土壤剖面中的淋溶层、 淀积层和母质层,故选B。第2题,由图可知,在凋落物层和淀积层(b层)中,S 样地的土 2 壤碳含量都是最高的,但是在淋溶层(a层)中,S 样地的土壤碳含量相对较小,由此指示出 2 S 样地的淋溶作用强,从而导致淋溶层土壤碳流失及淀积层中土壤碳积累,D正确;S 样地 2 2 的土壤碳含量在凋落物层中最高,说明其枯枝落叶收入量最大,A错误;S 样地海拔较S 2 1 高,故大气温度不是最高的,B错误;S 样地海拔适中,气温适宜,因此土壤微生物量并非 2 最少,C错误。 (2024·江苏南通模拟)我国南方山区某河上游水土流失严重,该河水位季节变化大,水位 暴涨暴落,部分河段发育了宽阔的河漫滩。下图为“该河某河漫滩表土粒径构成与有机质含 量分布示意图”。据此完成3~4题。3.影响河漫滩不同部位表土粒径构成差异的主要因素是( ) A.水文 B.坡度 C.生物 D.时间 4.砂砾石滩有机质的主要来源是( ) A.原地植物残体 B.草地土壤淋溶 C.成土母质分解 D.河川径流沉积 答案 3.A 4.D 解析 第3题,河漫滩是河流洪水期淹没的河床以外的滩地,由洪水期水流挟带的泥沙沉积 而成,洪水期水流速度快,挟带的泥沙颗粒大,沉积的先后顺序是颗粒大的先沉积,颗粒小 的后沉积,距离河床越近、粒径越大,故选A。第4题,砂砾石滩是河流洪水期漫滩沉积, 枯水期出露的河滩,有机质主要来源于河流搬运沉积,D正确; 图中砂砾石滩上原地植物 稀少,A错误;草地土壤淋溶作用使有机质被带走,土壤发育差,该图示信息显示,草地土 壤有机质含量较高,B错误;成土母质是土壤形成的物质基础和植物矿物养分元素(除氮外) 的最初来源,分解的产物是无机物,不会产生有机质,C错误。 (2024·广东汕头模拟)放牧作为高寒草甸的主要利用方式,家畜采食和践踏会对草地生态 系统造成影响。在青藏高原,放牧活动对高寒草甸表层土壤的入渗能力产生一定影响。研究 人员在祁连山某河谷划分了5个放牧强度不同的样区。下图示意某次降水结束后不同样区土 壤入渗率的变化。据此完成5~6题。 5.放牧强度4.35和2.75的两个样区土壤入渗率存在差异的影响因素最可能是( ) A.降水强度 B.植被根系 C.地形坡度 D.冻土厚度 6.从土壤入渗率的角度考虑,最有利于降低地表径流侵蚀土壤效果的放牧强度是( )A.2.75~3.64 B.3.64~4.35 C.4.35~4.76 D.4.76~5.20 答案 5.B 6.B 解析 第5题,适度放牧(4.35)下,家畜的排泄物及家畜对植物适当地采食有利于植物根系 的生长发育,使根系与土壤接触面形成无数微小导水通道和储水小空间,增加土壤通气性, 提高降水的入渗,故B正确。第6题,土壤入渗率高,地表径流量少,土壤流水侵蚀差,因 此,为了降低土壤流水侵蚀效果,应选择入渗率最高的放牧强度,即样区B和样区C,故选 B。 (2024·云南昆明模拟)桉树具有生长快、产出木材多、适应性强等诸多优点。广东省电白 区某小尺度区域,地貌类型单一,1954年开始高密度种植桉树,林内没有其他植被,凋落 物少,表层土壤易板结。之后逐渐更新为结构复杂的混交林,具有多层林冠的特点。这些人 工林在生态环境方面取得较好的效果,同时也使区域自然要素产生了变化。下图示意该地某 年9月纯桉林、混交林、无林地(杂草多)三种植被环境的土壤含水量变化。据此完成7~9题。 7.图中 a、b、c分别代表( ) A.无林地 混交林 纯桉林 B.纯桉林 无林地 混交林 C.无林地 纯桉林 混交林 D.纯桉林 混交林 无林地 8.纯桉林和混交林土壤表层含水量存在差异,原因分析正确的是( ) A.纯桉林林冠蒸腾量大,含水量低 B.混交林凋落物数量多,含水量低 C.纯桉林土壤表层板结度高,含水量高 D.混交林林冠截流的降水多,含水量高 9.高密度种植桉树后该地土壤的变化是( ) A.淋溶层增厚 B.表层易沙化 C.矿物质增多 D.团粒结构增多 答案 7.D 8.D 9.B 解析 第7题,纯桉林表层土壤易板结,下渗少,表层土壤含水量最低,故a为纯桉林;混交林结构复杂,具有多层林冠,截流的降水多,水分下渗多,涵养水源能力强,表层土壤含 水量最大,对应b;无林地多为杂草,根系浅,基本不吸收深层土壤水分,深层土壤含水量 大,c是无林地。故选D。第8题,纯桉林与混交林的林冠蒸腾量相差不大,A错误;混交 林凋落物数量多,阻挡土壤水分蒸发,土壤表层含水量高,B错误;纯桉林土壤表层板结度 高,说明土壤表层含水量低,C错误;混交林多层林冠截流的降水多,含水量高,D正确。 第9题,高密度种植桉树后,桉树生长速度快,吸收土壤中的养分多,导致土壤中矿物质减 少,土壤肥力下降,土壤板结,表层易沙化,B正确,C错误;高密度种植桉树,土壤易板 结,水分不易下渗,淋溶层较薄,A错误;土壤易板结,团粒结构少,D错误。 (2024·九省联考安徽地理)在干旱与半干旱地区,盐分易在地表析出结晶并与土壤颗粒聚 合形成“盐结皮”(下图)。据此完成10~12题。 10.“盐结皮”的形成主要是由于当地( ) A.降水稀少 B.地表径流少 C.蒸发强烈 D.地下水位低 11.研究表明,“盐结皮”地表吸收的太阳辐射少,其主要原因是( ) A.大气削弱作用强 B.地表辐射强 C.大气逆辐射弱 D.地表反射率高 12.“盐结皮”的形成( ) A.导致土壤酸化加剧 B.利于土壤湿度保持 C.导致土壤风蚀加强 D.利于土壤肥力提高 答案 10.C 11.D 12.B 解析 第10题,干旱、半干旱地区,因蒸发旺盛,土壤中的盐分随地下水上升到地表,水 分蒸发后盐分析出形成结晶,选C。第11题,盐分在地表结晶,在地表形成一层白色的盐 碱,对太阳辐射反射率高,大量太阳辐射被反射到空中,地表能吸收到的太阳辐射减少,选 D。第12题,“盐结皮”形成后,阻隔了地下水的蒸发,可以保持土壤湿度,选B。“盐结 皮”是盐碱化的表现,土壤碱性增强,A错;“盐结皮”加固了地表物质,土壤风蚀减弱, C错;盐碱化会中和酸性的腐殖质等有机酸,降低土壤肥力,D错。 (2024·山东菏泽模拟)土壤有机碳主要来源于植物残体、根系分泌物、生物扰动和溶解性 有机质。下图示意我国东北黑土区农田土壤有机碳储量随深度的变化情况。据此完成13~ 14题。13.随农田土壤深度增加有机碳储量不断降低的原因是( ) ①微生物活性降低 ②根系分泌物下渗增多 ③植物残体输入量减少 ④溶解性有机质逐渐 被吸附 A.①② B.①④ C.②③ D.③④ 14.该区域农田土壤有机碳储量在0~40 cm深度范围内降低最快是因为( ) A.作物根系浅 B.根茬回田少 C.翻耕频率高 D.淋溶渗漏多 答案 13.D 14.C 解析 第13题,随农田土壤深度增加,温度逐渐降低,微生物活性降低,有机质分解速度 慢,有机碳储量应不断增加,①错误;根系分泌物下渗增多,有机碳储量应增加,②错误; 植物残体输入量减少,有机碳储量减少,③正确;较深处土壤中的溶解性有机质逐渐被吸附, 导致随农田土壤深度增加,有机碳储量不断降低,④正确。故选D。第14题,根据材料可 知,农田土壤有机碳储量在0~40 cm深度范围内降低最快,主要是因为该区域农田翻耕频 率高,土壤中的有机碳被氧化,导致有机碳储量降低,C正确;多数农作物根系可以到达 20~40 cm深处土壤处,A错误;根茬回田少、淋溶渗漏多会导致0~20 cm表层的有机碳储 量降低,故不是农田土壤有机碳储量在0~40 cm深度范围内降低最快的主要原因,B、D错 误。故选C。 15.(2024·福建泉州质检)阅读图文资料,完成下列要求。(16分) 被誉为“大陆阿里山”的福建省漳平市永福镇,目前已成为大陆最大的台湾高山生态乌 龙茶生产基地,台湾高山茶种植面积广,主要采摘春茶和秋茶两季;一高山茶园沿茶园道路 种四十多种樱花,颜色丰富,花期主要集中在 1 月中下旬到 2 月底,主花期适逢中国传统 春节前后,经过多年发展,被评为“中国最美樱花胜地”。当地中学生在该高山茶园研学发 现,茶树下铺满修剪下来的茶树枝叶,并且用豆浆等浇灌土壤。下图示意永福镇樱花茶园景 观。(1)说明该高山茶园樱花品种的选择对旅游业及协调旅游与茶业生产的积极影响。(8分) (2)说明当地中学生的调查发现对提升茶园土壤肥力的作用。(8分) 答案 (1)品种多,颜色丰富,景色优美,提高茶园景点的观赏价值;花期较长,延长茶园 景点的观赏游览时间;主花期适逢春节假期,能够吸引游客(春节客流量大、有利于扩大茶 园景点消费市场);主花期适逢春节,旅游观赏与采茶生产时间错开,保证茶园正常生产。 (2)枝叶覆盖可减少土壤水分蒸发,保持土壤湿度;减少雨水对土壤的侵蚀作用,增加下渗, 保持水土;枝叶微生物分解有利于提高土壤有机质含量,提升茶园土壤肥力;增加土壤营养 物质含量,有利于微生物和土壤动物生长繁殖,改善土壤结构。