当前位置:首页>文档>2025年高考地理二轮复习配套讲义通用版专题1 主题2 区域差异性_9.2025地理总复习_2025年新高考资料_二轮复习_2025年高考地理二轮复习配套讲义通用版(解析版)

2025年高考地理二轮复习配套讲义通用版专题1 主题2 区域差异性_9.2025地理总复习_2025年新高考资料_二轮复习_2025年高考地理二轮复习配套讲义通用版(解析版)

  • 2026-04-03 17:24:11 2026-03-12 04:53:24

文档预览

2025年高考地理二轮复习配套讲义通用版专题1 主题2 区域差异性_9.2025地理总复习_2025年新高考资料_二轮复习_2025年高考地理二轮复习配套讲义通用版(解析版)
2025年高考地理二轮复习配套讲义通用版专题1 主题2 区域差异性_9.2025地理总复习_2025年新高考资料_二轮复习_2025年高考地理二轮复习配套讲义通用版(解析版)
2025年高考地理二轮复习配套讲义通用版专题1 主题2 区域差异性_9.2025地理总复习_2025年新高考资料_二轮复习_2025年高考地理二轮复习配套讲义通用版(解析版)
2025年高考地理二轮复习配套讲义通用版专题1 主题2 区域差异性_9.2025地理总复习_2025年新高考资料_二轮复习_2025年高考地理二轮复习配套讲义通用版(解析版)
2025年高考地理二轮复习配套讲义通用版专题1 主题2 区域差异性_9.2025地理总复习_2025年新高考资料_二轮复习_2025年高考地理二轮复习配套讲义通用版(解析版)
2025年高考地理二轮复习配套讲义通用版专题1 主题2 区域差异性_9.2025地理总复习_2025年新高考资料_二轮复习_2025年高考地理二轮复习配套讲义通用版(解析版)
2025年高考地理二轮复习配套讲义通用版专题1 主题2 区域差异性_9.2025地理总复习_2025年新高考资料_二轮复习_2025年高考地理二轮复习配套讲义通用版(解析版)
2025年高考地理二轮复习配套讲义通用版专题1 主题2 区域差异性_9.2025地理总复习_2025年新高考资料_二轮复习_2025年高考地理二轮复习配套讲义通用版(解析版)
2025年高考地理二轮复习配套讲义通用版专题1 主题2 区域差异性_9.2025地理总复习_2025年新高考资料_二轮复习_2025年高考地理二轮复习配套讲义通用版(解析版)
2025年高考地理二轮复习配套讲义通用版专题1 主题2 区域差异性_9.2025地理总复习_2025年新高考资料_二轮复习_2025年高考地理二轮复习配套讲义通用版(解析版)
2025年高考地理二轮复习配套讲义通用版专题1 主题2 区域差异性_9.2025地理总复习_2025年新高考资料_二轮复习_2025年高考地理二轮复习配套讲义通用版(解析版)
2025年高考地理二轮复习配套讲义通用版专题1 主题2 区域差异性_9.2025地理总复习_2025年新高考资料_二轮复习_2025年高考地理二轮复习配套讲义通用版(解析版)
2025年高考地理二轮复习配套讲义通用版专题1 主题2 区域差异性_9.2025地理总复习_2025年新高考资料_二轮复习_2025年高考地理二轮复习配套讲义通用版(解析版)
2025年高考地理二轮复习配套讲义通用版专题1 主题2 区域差异性_9.2025地理总复习_2025年新高考资料_二轮复习_2025年高考地理二轮复习配套讲义通用版(解析版)
2025年高考地理二轮复习配套讲义通用版专题1 主题2 区域差异性_9.2025地理总复习_2025年新高考资料_二轮复习_2025年高考地理二轮复习配套讲义通用版(解析版)
2025年高考地理二轮复习配套讲义通用版专题1 主题2 区域差异性_9.2025地理总复习_2025年新高考资料_二轮复习_2025年高考地理二轮复习配套讲义通用版(解析版)
2025年高考地理二轮复习配套讲义通用版专题1 主题2 区域差异性_9.2025地理总复习_2025年新高考资料_二轮复习_2025年高考地理二轮复习配套讲义通用版(解析版)
2025年高考地理二轮复习配套讲义通用版专题1 主题2 区域差异性_9.2025地理总复习_2025年新高考资料_二轮复习_2025年高考地理二轮复习配套讲义通用版(解析版)

文档信息

文档格式
pdf
文档大小
4.042 MB
文档页数
18 页
上传时间
2026-03-12 04:53:24

文档内容

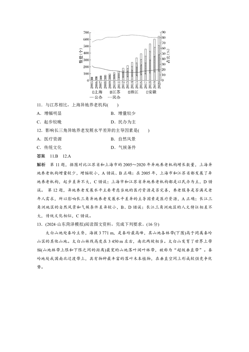
主题 2 区域差异性 (2024·广东地理)峡湾是冰川U形谷后期被海水淹没而形成的槽形谷。极地气候峡湾几乎 常年被海冰或冰川覆盖。而温带气候峡湾全年几乎没有海冰覆盖。下图示意在北半球发育极 地气候峡湾的甲地和发育温带气候峡湾的乙地位置。据此完成1~2题。 1.与甲地对比,温带气候峡湾在乙地发育的主要原因是乙地( ) A.冬季白昼的时长更长 B.受到了暖流增温影响 C.经历了更强的构造运动 D.海平面上升的幅度更大 2.研究发现,极地气候峡湾沉积物中有机碳的累积速率往往较温带气候峡湾低,主要是因为 极地气候峡湾区( ) ①植被覆盖度更低 ②入海的径流更少 ③海水的盐度更低 ④波浪的动力更小 A.①② B.①③ C.②④ D.③④ 答案 1.B 2.A 解析 第1题,乙地位于欧洲西部,受北大西洋暖流增温的影响,海水温度较高,几乎没有 海冰覆盖,B正确;甲、乙两地纬度相当,冬季白昼的时长差别不大,A错误;海冰主要与 水温、气温有关,与构造运动关系不大,C错误;大尺度上海平面上升幅度全球基本一致, D错误。第2题,极地气候峡湾区常年被海冰覆盖,太阳光线难以进入海水内部,水生植物 难以生存,即便有少量水生植物,生长速度也很慢,有机碳来源少,①正确;极地气候峡湾 区,气温更低,河流结冰期长,入海径流更少,挟带的有机碳少,②正确;因海水大量结冰, 海水的盐度可能更高,③错误;甲地位于极地东风带的迎风侧,波浪的动力可能更大,④错 误。选A。 (2023·江苏地理)下图为“我国某山地垂直带谱及云杉林亚带的植被垂直分层示意图”。 据此回答3~5题。3.图中不同坡向山地草原带分布高度存在差异,主要是由水分决定的,其推断依据是( ) A.山地坡度 B.上部林带 C.山体海拔 D.基带类型 4.该山地高山灌丛草甸带坡向差异不明显,原因是山体顶部( ) A.面积小 B.降水多 C.风力大 D.气温低 5.该山地Ⅲ 、Ⅲ 、Ⅲ 中的植被垂直分层结构不同,其主要影响因子是( ) 2 3 4 A.水分 B.土壤 C.温度 D.光照 答案 3.B 4.A 5.D 解析 第3题,由图可知,山地草原带分布较森林带海拔低,说明山地草原带热量条件好于 森林带,因此从热量条件看,山地草原带与森林带都能满足森林生长的需要,但森林发育需 要更好的水分条件,水分条件较差导致山体下部发育了草原。不同坡向林带分布的下限海拔 不同,说明不同坡向的水分条件随高度的变化状况不同,导致不同坡向山地草原带分布高度 存在差异。故选B。第4题,高山草甸带位于山体顶部,山体顶部面积狭小,自然环境高度 同质化,导致山体顶部高山灌丛草甸带坡向差异不明显。故选A。第5题,首先,在Ⅲ 、 2 Ⅲ 和Ⅲ 三个云杉林亚带中,Ⅲ 是最典型的云杉林,Ⅲ 、Ⅲ 是云杉林带与上下两植被带的 3 4 3 2 4 过渡区域,具有景观过渡性的特征。其次,造成山地垂直带谱形成的影响因素是水热条件, 而植物群落的垂直结构是不同植物对光照分层利用的结果。云杉具有浓密的树冠,云杉林的 疏密直接影响地面的光照条件,影响近地面灌木植物、草本植物、藓类植物的生长。Ⅲ 的乔 3 木发育最好,近地面光照条件最差,因此近地面是藓类,Ⅲ 、Ⅲ 的乔木密度适中,近地面 2 4 光照条件有所改善,因此发育了草本层、灌木层。分析三个云杉林亚带的植被垂直分层可知, 光照条件是植被垂直分层结构的主要影响因子。故选D。1.区域地理环境的差异性 (1)自然地理环境的差异性 受自然环境要素间物质迁移和能量交换(即自然地理过程,如大气环流、水循环、生物循环等) 的影响,自然环境及其组成要素在地表沿确定的方向有规律的分化形成地域差异。带有普遍 性的地域分异现象和地域有序性就是地域分异规律。下表为不同空间尺度的地域分异规律。 空间尺度 地域分异类型 形成原因 太阳辐射从低纬向高纬递减,造成热 全球尺度 由赤道到两极的地域分异 量纬度分布差异 (大尺度) 从沿海向内陆的地域分异 海陆因素造成降水从沿海向内陆递减 地壳隆起导致水热组合随海拔高度发 垂直地域分异 生垂直递变 区域尺度 海陆分布、地势起伏、洋流、水源等 (中等尺度) 非地带性 因素,改变了水热纬向和经向分布规 律 地形、岩性、土质等因素,改变了大、 局地尺度 地方性分异 中尺度的水、热分布规律,造成物质 (小尺度) 和能量再分配 方法技巧 地方性分异判断方法 将实际自然带类型与理论自然带类型(即符合纬度地带、经度地带、垂直地带和非地带性分异 规律)对比,不一致即为地方性分异。以温带湿润区为例: (2)人文地理环境的差异性 角度 地域差异表现 规模、密度、(自然和机械)增长率、人口(年龄、性别、就业、受教育程 人口 度、家庭等)结构、人口分布等 区位、地域形态、数量、规模、内部空间结构、发展水平、区域城镇体 聚落 系等交通 交通运输方式、通达度;交通运输网络格局等 作物种类、耕作制度、产量;农业生产类型(种植业、畜牧业等)和规模; 农业 生产方式及生产水平(技术、机械化水平、商品率);农业布局等 工业类型、规模、结构和布局;工业化水平(标准化、流程化、自动化、 工业 科技水平);产业链特点等 地域文化 语言、服饰、饮食、建筑(色彩、材料、风格与结构)等 2.区域差异与因地制宜 (1)运用区域差异性原理进行区域分析和比较 (2)案例 ①横向比较——以长江三角洲与松嫩平原比较为例 区域 比较内容 长江三角洲 松嫩平原 30°N~33°N;我国东部沿海中部;长 地理位置 44°N~48°N;我国东北地区中部 江入海口 亚热带季风气候,夏季高温多雨,雨 温带大陆性季风气候,雨热同期;东 气候及水 热同期;冬季温和少雨,河流无结冰 部有山脉阻挡,降水较少,温暖季节 文条件 期 短,河流结冰期长 水稻土,河网密布,湖泊众多,耕地 黑土,较为肥沃,耕地多为旱地,集 耕作条件 多为水田,但较为分散,人口稠密, 中连片,人口密度相对较小,人均耕 人均耕地面积小 地面积高于全国平均水平 矿产资源 矿产资源贫乏 石油等矿产资源丰富 水热条件好,水田耕作业,主要种植 水热条件差,发展旱地耕作业,种植 水稻,经济作物有油菜、棉花等作物, 玉米、春小麦、大豆等作物,一年一 农业生产 一年两熟至三熟;河湖水面较广,水 熟,生长期较短;西部降水较少,草 产业较为发达 原分布较广,主要发展畜牧业 工业生产 位于我国沿海航线的中枢,又是长江 利用当地丰富的石油资源和邻近地区的入海口,对内、对外联系方便,依 的煤炭等资源发展工业,成为我国的 托当地发达的农业基础发展轻工业, 重化工业基地 从国内外运入矿产资源发展重工业, 成为综合型工业基地 ②纵向比较——以长江中下游平原为例 开发早期 农业社会 现代社会 (2024·山东济宁模拟)城乡流动行为导致传统家庭代际空间分隔,在农村形成新的代际组 合方式。不同代际的家庭成员在劳动能力、责任分工等方面明显分化,又形成了强弱不均、 类型多元的农户类型(下图)。家庭代际组合状况是农户作出最优耕地利用决策的重要依据。 据此完成1~2题。 1.中坚型农户将耕地转出的现象在我国东部地区尤为突出,主要原因是东部地区( ) A.农业生产成本较高 B.农产品市场需求大 C.非农就业机会较多 D.耕地细碎化程度高2.老幼型农户倾向于( ) ①种植经济作物 ②撂荒耕地 ③种植粮食作物 ④种植林木 A.①③ B.①④ C.②③ D.②④ 答案 1.C 2.D 解析 第1题,中坚型农户以青壮年劳动力为主,我国东部地区经济发达,非农就业机会充 裕,为中坚型农户获取非农收入、流转租金双重收益提供了更多可能,从而将耕地转出,C 正确;东部地区农业生产中部分要素成本较高,但带来的农业收益也更加可观,故农业生产 成本较高不是土地流转的原因,A错误;农产品市场需求大不利于耕地转出,B错误;东部 地区地形较为平坦,耕地多集中连片,D错误。第2题,老幼型农户由家庭代际中的第一代 和第四代组成,均不属于劳动力,在耕地利用上更倾向于转出、撂荒,或种植对劳动力需求 小的林木。故选D。 (2024·宁夏银川统考)怒山位于横断山脉南段,是怒江与澜沧江的分水岭,山高谷深。受 地形与大气环流的影响,形成了独特的山地垂直自然带谱。下图为“怒山山脉东坡垂直自然 带变化图”。据此完成3~4题。 3.Ⅰ带谱主要植被类型为( ) A.山地暖温带针阔混交林 B.山地亚热带常绿硬叶林 C.山地暖温带荒漠草原 D.山地亚热带灌木草原 4.山地寒温带暗针叶林分布区( ) A.群落结构复杂 B.冰川景观典型 C.酸性红壤广布 D.夏季云雾较多 答案 3.A 4.D 解析 第3题,读图可知,Ⅰ带谱介于山地亚热带常绿阔叶林带与山地寒温带暗针叶林带之 间,主要植被类型为山地暖温带针阔混交林,A正确;Ⅰ带谱海拔较亚热带常绿阔叶林带高, 热量条件较差,不适宜山地亚热带常绿硬叶林、山地亚热带灌木草原生长,且亚热带常绿硬叶林主要分布在地中海气候区,B、D错误;上下都为森林带,说明水分条件较好,不应该 分布山地暖温带荒漠草原,C错误。第4题,山地寒温带暗针叶林分布区群落结构简单,A 错;纬度较低,海拔相对较低,夏季气温高于0℃,没有冰川景观分布,B错;海拔较高, 气温较低,微生物分解作用弱,土壤有机质含量较高,呈灰黑色,C错误;山地针叶林分布 海拔高,昼夜温差大,再加上林内湿度大,因此云雾天气较多,D正确。 (2024·广东深圳模拟)战略性关键矿产是对国家经济发展至关重要、对战略性新兴产业不 可或缺,同时又被赋予地缘政治色彩的一类矿产资源。下图示意中国、美国、欧盟的战略性 关键矿产。据此完成5~6题。 5.形成中国、美国、欧盟战略性关键矿产种类差异的主要因素是( ) ①资源禀赋 ②人口数量规模 ③产业结构 ④地域开放程度 A.①③ B.①④ C.②③ D.②④ 6.我国最具国际竞争优势的矿产主要集中于( ) A.Ⅰ区 B.Ⅱ区 C.Ⅲ区 D.Ⅳ区 答案 5.A 6.B 解析 第5题,受地质作用影响,矿产资源的空间分布、品位等禀赋特征差异大,不同国家 与地区的矿产资源储量差异极大,①正确;不同国家和地区的产业结构不同,对矿产资源的 需求差异大,对战略性关键资源的认定差异较大,③正确。选A。第6题,Ⅱ区矿产资源既 是美国也是欧盟的战略性关键矿产,国际市场需求量大,且我国稀土、萤石、石墨、镓、锗 等矿产储量大、产业链完整,产品质量高,在国际市场上最具竞争力。选B。 真题专练 [分值:100 分] (选择题1~11题,每小题6分,共66分) (2023·湖南地理)碳排放强度与社会经济发展水平、创新投入密切相关,碳中和需要付出 经济代价。下图示意某年甲国和乙国重点制造业部门产品的贸易额、每吨二氧化碳排放的研发投入与经济产出情况。据此完成1~3题。 1.乙国出口的产品中,单位GDP二氧化碳排放量最少的是( ) A.金属及金属制品 B.化工制品 C.机械制造产品 D.电子产品 2.与乙国相比,甲国生产同类制造业产品的( ) A.环境成本高 B.人力成本高 C.营销成本高 D.研发成本高 3.根据图中两国重点制造业部门产品的投入产出效果,甲国应优先考虑( ) ①扩大国际市场 ②提高创新能力 ③强化产业升级 ④承接产业转移 A.①② B.②③ C.①④ D.③④ 答案 1.D 2.A 3.B 解析 第1题,读图可知,乙国出口的产品中,电子产品每吨二氧化碳排放创造的GDP最高, 因此单位GDP二氧化碳排放量最少的是电子产品,选D。第2题,读图可知,生产同类制造 业产品,甲国每吨二氧化碳排放创造的GDP均低于乙国,即生产同类制造业产品甲国单位 GDP二氧化碳排放量均多于乙国,材料信息表明碳中和需要付出经济代价,因此与乙国相比, 甲国生产同类制造业产品的环境成本高,A正确;根据两国每吨二氧化碳排放的研发投入与 经济产出情况判断,甲国经济发展水平和技术水平明显低于乙国,因此甲国的人力成本、营 销成本和研发成本均应低于乙国,B、C、D错误。第3题,读图可知,甲国每吨二氧化碳排 放的研发投入明显低于乙国,技术投入明显不足,因此为了提高投入产出效果,应优先提高 创新能力,②符合题意;甲国生产同类制造业产品的环境成本高,为了提高投入产出效果, 应优先强化产业升级,降低单位GDP二氧化碳排放量,③符合题意;扩大国际市场、承接产 业转移(特别是承接低端产业转移)均不能提高投入产出效果,①④不符合题意。故选B。 (2023·全国文综乙)位于日本海附近的珲春与内陆的辽源各日最高气温时刻(北京时间)的 月均值不同。规定各日最高气温时刻与月均值相差超过1小时为偏离。据此完成4~6题。1月各日 1月偏 7月各日 7月偏 气象 经度 纬度 最高气温 离天 最高气温 离天 台站 时刻均值 数/天 时刻均值 数/天 约14时 约14时 珲春 130.35°E 42.86°N 20.8 19.6 00分 40分 约13时 约13时 辽源 125.15°E 42.90°N 14.4 17.2 20分 50分 4.珲春7月各日最高气温时刻均值滞后当地正午约( ) A.1小时40分钟 B.2小时00分钟 C.2小时40分钟 D.3小时20分钟 5.珲春的最高气温时刻月均值滞后当地正午的时间长于辽源,原因是珲春( ) A.降水多 B.受海洋影响强 C.风力强 D.受山地影响强 6.辽源冬季偏离天数少,说明辽源冬季多( ) A.雨雪天气 B.温带气旋 C.晴朗天气 D.冷锋过境 答案 4.D 5.B 6.C 解析 第4题,珲春经度约130°E,7月各日最高气温时刻均值约为北京时间14:40,地方时 为15:20左右,比当地正午(地方时12:00)推迟3小时20分钟,选D。第5题,海水的比 热容大于陆地,珲春位于日本海沿岸,受海洋影响大,气温变化缓慢,最高气温出现的时刻 较晚;辽源位于内陆,大陆性更强,气温变化比较快,最高气温出现的时刻比较早,选B。 第6题,偏离天数少,即实际每天的最高气温出现的时刻与平均值相差少,说明天气正常的 天数多,晴朗天气多,选C。复杂天气会干扰一天中最高气温的出现时刻,排除A、B、D。 (2022·全国文综甲)蒙古族将靠近山林的优质草原称为杭盖草原。杭盖草原地形和缓,多 由缓丘和河谷组成。缓丘上牧草葱郁,河谷中的牧草更加繁茂。通常鼠类打洞、啃食等对草 原多有破坏,而杭盖草原的河谷中鼠害却很轻。杭盖草原是古时游牧民族最喜爱的牧场。据 此完成7~9题。 7.杭盖草原附近山地对古时游牧民族越冬的重要性在于( ) A.提供水源 B.挡风保暖 C.食物丰富 D.围猎场所大 8.相对于周边坡度较大的草原,杭盖草原的缓丘牧草生长更好,是因为缓丘上( ) A.降水较多 B.蒸发较弱 C.温度较高 D.径流较少9.杭盖草原的河谷鼠害很轻,是因为河谷( ) A.缺乏鼠类食物 B.冷空气易集聚 C.地下水位高 D.鼠类天敌多 答案 7.B 8.D 9.C 解析 第7题,据材料可知,杭盖草原为蒙古族的牧场,纬度较高,距离冬季风源地近,冬 季受西北季风的影响强烈,气候寒冷。选择山地的南坡即阳坡越冬,相比北坡而言,一方面 日照时间较长,光热条件较好,另一方面,位于西北季风的背风坡,受冬季风影响较小,较 温暖,B正确。山地的水源、食物相比缓丘和河谷没有优势,A、C错误。游牧民族以放牧 为生,不需要围猎,D错误。第8题,杭盖草原与周边坡度较大的草原位置相近,降水、蒸 发、温度差异不大,A、B、C错误。缓丘坡面径流速度较慢,有利于下渗,坡面径流较少, 但土壤水分条件较好,D正确。第9题,据材料可知,鼠类通过打洞、啃食等对草原多有破 坏,在河谷地区,地下水位较高,不利于鼠类打洞、啃食等,鼠害很轻,C正确。河谷中的 牧草更加繁茂,鼠类食物丰富,A错误。冷空气集聚对鼠类地下打洞、啃食等影响不大,B 错误。河谷与缓坡空间距离并不远,鼠类天敌数量差异不大,D错误。 (河北地理)湿润地区植被分布的垂直地带性与纬度地带性在植被带及其排列顺序方面具 有较大相似性,但受局地因子支配,山地植被带也会存在与纬度地带性不一致的情况。下图 示意我国东部热带某山地植被垂直带谱。据此完成10~11题。 10.与纬度地带性不一致的该山地垂直带谱是( ) A.Ⅰ-Ⅱ-Ⅲ B.Ⅰ-Ⅱ-Ⅳ C.Ⅱ-Ⅳ-Ⅴ D.Ⅳ-Ⅴ-Ⅵ 11.与纬度地带性不一致的该山地垂直带的形成主要由于( ) ①风速大 ②坡度大 ③土层薄 ④蒸发强 A.①③ B.①④ C.②③ D.②④ 答案 10.D 11.B 解析 第10题,按照纬度地带性分布规律,常绿与落叶阔叶混交林带和寒温性常绿针叶林带 之间应有落叶阔叶林带和落叶阔叶与常绿针叶混交林带;在寒温性常绿针叶林带更高海拔处 应为苔原带,而不是常绿革叶灌丛与草甸带,故Ⅳ-Ⅴ-Ⅵ山地垂直带谱与纬度地带性不一致,选D。第11题,该山地缺失落叶阔叶林带,直接过渡到了寒温性常绿针叶林带,说明受 局地因子影响,环境不适宜落叶阔叶林生长,而常绿针叶林叶片呈针状,可以适应风速大、 水分和热量条件差的环境,故①④正确;针叶林带和落叶阔叶林带同为森林,对坡度和土层 的要求相差不大,②③错误。故选B。 12.(2023·江苏地理)阅读材料,回答下列问题。(18分) 材料一 第七次全国人口普查资料显示:江苏昆山、福建晋江、浙江慈溪和义乌4个县级市 的城市人口规模均超100万,跃居我国大城市之列。 材料二 下表为2021年4个县级市人口与经济指标统计表。 项目 昆山 晋江 慈溪 义乌 常住人口 211.2 206.9 185.9 188.5 (万人) GDP 4748.1 2986.4 2379.2 1730.2 (亿元) 规模以上 工业企业 4.34 2.71 2.25 1.47 平均产值 (亿元) 优势产业 电子信息 体育鞋服 小家电 小商品 (1)从产业发展的角度,简述4个县级市优势产业形成的相似条件。(6分) (2)依据晋江、慈溪和义乌的优势产业类型,分析其人均GDP较昆山存在的差异及其主要原 因。(6分) (3)说明优势产业对4个县级市发展成为大城市的促进作用。(6分) 答案 (1)改革开放时间早,产业起步早(产业区位好);产业基础好,产业发展快;专业化生 产协作好,生产效率高;产业集聚强,产业创新环境好。 (2)相对较低。原因:三市优势产业均以劳动力指向型产业为主,技术含量和产品附加值较低; 规模以上工业企业平均产值较低,优势产业工业企业规模小,GDP总量相对较小;劳动力指 向型产业单位GDP所需劳动力较多,导致其人均GDP较昆山低。 (3)产业规模大,产业集聚;对第三产业以及基础设施建设带动强,容纳劳动力多,城镇化进 程快。 13.(湖南地理)阅读材料,完成下列要求。(16分) 海南省是我国栽培稻种起源地之一,自然条件优越。“杂交水稻之父”袁隆平院士科研 团队在海南省三亚市建有水稻育种试验基地,在此选育了多个高产杂交水稻品种。一直以来, 海南省稻作以“一年一熟”为主,“一年二熟”“一年三熟”仅分布在水源充足地区且总面积不大。海南省目前稻米缺口仍然较大。下表为海南省和湖南省2019年水稻生产的相关数据。 省份 海南 湖南 项目 水稻占农作物播种面积比重(%) 34.0 47.5 水稻播种面积(千公顷) 229.7 3855.2 水稻产量(万吨) 126.5 2611.5 人均水稻产量(千克) 133.9 377.5 (1)湖南省与海南省拟加强杂交水稻育种试验合作,指出各自的优势条件。(6分) (2)说明海南省大部分地区水稻种植以“一年一熟”为主的原因。(4分) (3)海南省目前稻米缺口仍然较大,试分析其社会经济原因。(6分) 答案 (1)湖南省:水稻科研力量雄厚;地域范围广,水稻播种面积大,试验推广条件好。 海南省:全年高温,热量条件好(生长期长),育种周期短;野生稻种丰富;环境质量好,育 种试验自然条件好。 (2)大部分地区水源不足,水利设施不完善;夏秋多台风,影响农民种两季或三季稻的积极性, 一些地区种一季稻外,其他时间种植附加值更高的经济作物。 (3)大部分地区水稻种植以“一年一熟”为主;蔬菜、瓜果等经济作物播种面积比重较大(水稻 播种面积比重较小);稻米需求量大。 解析 (1)海南和湖南两省在杂交水稻育种试验合作中各自的优势应从技术、育种条件等方面 进行分析。对于湖南省来说,材料信息表明,“杂交水稻之父”袁隆平院士科研团队在海南 省三亚市建有水稻育种试验基地,该团队属于湖南杂交水稻研究中心,因此湖南省水稻科研 力量雄厚;根据所学知识和表格信息可知,与海南省相比,湖南地域范围广,水稻播种面积 大,因此湖南的育种试验推广条件好于海南省。对于海南省来说,海南位于热带地区,具有 全年高温、热量条件好(生长期长)、育种周期短等自然优势;材料信息表明,海南省是我国 栽培稻种起源地之一,自然条件优越,因此野生稻种丰富,有利于水稻进行杂交育种;海南 省工业化程度相对较低,加上环境保护得力,环境质量好,因此育种试验自然条件好,成为 海南育种试验中的明显优势条件。(2)说明海南省大部分地区水稻种植以“一年一熟”为主的 原因本质是分析海南省水稻种植的不利农业区位条件,应从水源、自然灾害、经济效益等方 面进行分析。材料信息表明,当地“一年二熟”“一年三熟”仅分布在水源充足地区,由此 推断,当地大部分地区水源不足,水利设施不完善,导致许多地区无法达到一年三熟,甚至 一年二熟;海南省位于我国南部沿海,夏秋多台风,台风往往给当地水稻带来毁灭性灾害, 从而影响农民种两季或三季稻的积极性;由表格可知,海南水稻占农作物播种面积比重小, 这是由于水稻种植经济效益较低,一些地区种一季稻外,其他时间当地农民往往更愿意种植 附加值更高的经济作物,从而提高经济收入,因此海南省大部分地区水稻种植以“一年一熟”为主。(3)稻米缺口大,应从产量低和需求大两方面分析。材料信息表明,海南省稻作大部分 地区以“一年一熟”为主,复种指数低,导致水稻产量不高;当地农民往往更愿意种植附加 值更高的经济作物,蔬菜、瓜果等经济作物播种面积比重较大,使得水稻播种面积比重较小, 导致水稻产量不高;当地人口较多,且以大米为主食,稻米的需求量大,因此导致海南省目 前稻米缺口仍然较大。 模拟演练 [分值:100 分] (选择题1~12题,每小题7分,共84分) (2024·湖南永州模拟)1957年1月开始,由多位地理学家组成的“综合自然区划”工作组 成立。数年之后,《中国综合自然区划》诞生,其成果之一就是划出了中国气候带(下图)。这 份《中国综合自然区划》时至今日,都是科学、理性的典范。据此完成1~3题。 1.制订《中国综合自然区划》的目的是( ) A.为农业服务 B.为工业服务 C.为旅游服务 D.为军事服务 2.热带季风气候区分布的纬度位置甲地高于乙地,其主要影响因素是( ) A.海陆分布 B.地形 C.大气环流 D.太阳辐射 3.从植被看,柴达木盆地的植被与新疆、甘肃、内蒙古干旱区的植被很相似,都是属于干旱 荒漠型的植被,但在《中国综合自然区划》中,柴达木盆地没有划到西北干旱区,而是划到 了青藏高原区,这主要考虑到柴达木盆地的( ) A.多样性 B.独特性 C.干湿性 D.高寒性 答案 1.A 2.B 3.D 解析 第1题,据材料可知,《中国综合自然区划》诞生,其成果之一就是划出了中国气候带,不同的气候带气温和降水差异较大,可以为农业发展提供参考,目的是为农业服务,A正确。 第2题,乙地位于我国地势的第三级阶梯,冬季,西伯利亚冷高压较强,冷空气南下,导致 乙地以北气温较低,热带分布的纬度偏低。甲地位于云贵高原以南地区,受北部高原地形阻 挡,冷空气对甲地影响较小,形成热带季风气候,B正确。第3题,柴达木盆地位于青藏高 原地区,海拔高,气温低,与西北干旱区的气温特征有较大差异,考虑到柴达木盆地的高寒 性,与青藏高原气温相似,所以划分到了青藏高原区,D正确。 (2024·安徽江淮十校联考)研究表明,植被对青藏高原地表大气氧含量的贡献率存在巨大 时空差异。读图完成4~6题。 4.青藏高原植被覆盖面积最大的是( ) A.森林 B.草原 C.灌丛 D.沼泽湿地 5.地形是影响产氧贡献率分布格局的主要驱动因素。柴达木盆地单位面积植被产氧贡献率偏 低的原因是( ) A.气温低 B.海拔高 C.降水少 D.光照弱 6.下列符合青藏高原单位面积植被产氧贡献率时空差异的推测是( ) A.东南到西北先增加后减少B.与海拔呈负相关 C.第一季度空间分布差异大 D.第三季度较高 答案 4.B 5.C 6.D 解析 第4题,结合图1,某植被全年总产氧量=全年单位面积产氧量×该植被的分布面积, 可知草原面积最大,故选B。第5题,联系上题,不同植被类型影响产氧量,进而影响地表 产氧贡献。而植被类型、空间分布的差异与气候(光照、热量等)、土壤中的水分(降水或融水 形成的地表径流下渗转化)、养分等有关,题干中指出地形(类型、空间组合、海拔、坡向、 坡度等)是主要驱动因素。结合图2,虽然青藏高原东北侧的柴达木盆地平均海拔较低,但是 其降水少,植被覆盖度低,植被产氧量低,植被产氧贡献率低。故选C。第6题,产氧贡献 的主体是植被。产氧贡献率的时空差异与不同空间植被的年内生长特征(与水热的时空分布和 变化有关)关系密切,7~9月(第三季度)青藏高原水热较充足,植被生长旺盛,单位面积植被 产氧贡献率高。故选D。 (2024·江苏南通模拟)某谷地位于黄土高原和毛乌素沙地的过渡地带。下图为“该谷地植 被分布示意图”。据此回答7~8题。 7.坡顶到沟谷植被变化体现了( ) A.纬度地带性分异规律 B.垂直地域分异规律 C.干湿度地带性分异规律 D.地方性分异规律 8.影响该谷地植被分异的主要因素是( ) A.热量条件 B.降水状况 C.坡度陡缓 D.土壤水分 答案 7.D 8.D 解析 第7题,图示范围局限于小尺度的谷地,水热变化不足以形成大尺度的纬度地带性、 干湿度地带性分异规律,排除A、C。谷地垂直高差不足200米,水热条件差异较小,不能 形成垂直地域分异规律,排除B。根据示意图,在较小范围的不同区域分布着不同的植被类 型,符合地方性分异规律,D正确。第8题,山坡地势较高,而山谷地势较低,造成地下水水位不同,谷地中地下水接近地表,土壤中水分较多,形成沼泽化土壤,生长水生植被,山 坡土壤中水分含量较小,生长灌木、草等植被,因此影响该谷地植被分异的主要因素是土壤 水分,而与热量、降水状况和坡度陡缓关系不大。故选D。 (2024·河北石家庄模拟)南非海岸带各土地利用类型的分布存在区域差异,未利用地主要 分布在西北部海岸带,耕地在东部沿海广泛分布。南非东、西部海岸地势起伏不大。伴随南 非城镇化推进,海岸带城镇周边土地利用类型发生明显转化。下图示意南非海岸带(海岸线向 内陆20km)分布。据此完成9~10题。 9.导致南非东部和西北部海岸带土地利用类型差异的主导因素是( ) A.交通 B.城市 C.地形 D.气候 10.伴随南非城镇化推进,海岸带城镇周边土地利用类型主要转化为( ) A.建设用地 B.林地 C.草地 D.耕地 答案 9.D 10.A 解析 第9题,结合所学知识分析,南非东部受到暖流(莫桑比克暖流)影响,气候较为湿润, 适合农业耕作,因此耕地在东部沿海地区广泛分布,而西北部海岸带受副热带高压和本格拉 寒流影响,气候干旱少雨,不适合农作物生长,所以未利用地较多,D正确;东西部海岸地 势起伏不大,地形条件相差不大,C错误;城市和交通对东西部海岸带土地利用类型影响较 小,A、B错误。第10题,随着人口集聚和经济发展,城镇规模扩大,原来的农业用地、林 地或草地等可能会转化为住宅区、商业区、工业区以及其他城市配套设施用地,以满足城镇 化进程中不断增长的城市建设和居住需求,故选A。 (2024·江苏南京模拟)异地养老是老年人离开长期生活地,前往非出生地和非户籍地生活 的一种新兴养老方式。一个地区“接受异地老人”的养老机构数量指标表征其异地养老发展 水平。下图为“2005~2020年长三角异地养老机构发展趋势图”。据此回答11~12题。11.与江苏相比,上海异地养老机构( ) A.增幅明显 B.增量较少 C.起步较晚 D.民办为主 12.影响长三角异地养老发展水平差异的主导因素是( ) A.医疗资源 B.自然风景 C.传统文化 D.气候条件 答案 11.B 12.A 解析 第11题,据图对比江苏省和上海市的2005~2020年异地养老机构增长数量,上海异 地养老机构增量较少,增幅较小,A错误、B正确;在2005年,上海市和江苏省都发展了异 地养老机构,起步差异不大,C错误;上海市和江苏省异地养老机构都是以民办为主,D错 误。 第12题,异地养老发展水平主要考虑当地的医疗资源是否完善,养老服务是否满足老 年人需求,所以影响长三角异地养老发展水平差异的主导因素是医疗资源,A正确;长江三 角洲地区的自然风景和气候条件差异较小,B、D错误;长江三角洲地区的人文特征相差不 大,传统文化相似,C错误。 13.(2024·山东菏泽模拟)阅读图文资料,完成下列要求。(16分) 太白山地处秦岭主脊,海拔3771m,是秦岭最高峰,其山地各林带(下图)高于同属秦岭 山区的其他山地。太白山林线高度在3450m左右,南北两坡相当。太白山发育了世界上带 幅(山地林带上限和下限之间的距离)最宽的山地落叶阔叶林带,被称为“超级垂直带”。秦 岭地处我国南北过渡带上,具有物种最丰富的落叶木本植物,在垂直空间上形成较强竞争优 势。(1)从大气受热过程角度解释太白山各林带海拔较高的原因。(6分) (2)说明太白山南北两坡林线高度相当的原因。(4分) (3)分析物种丰富的落叶木本植物对太白山“超级垂直带”形成的作用。(6分) 答案 (1)太白山位于秦岭主脊,且海拔最高,相同海拔高度上隆起地块的表面积大;山体可 吸收更多太阳辐射,并转换成长波辐射被附近大气吸收;从而使温度高于同海拔其他山地, 热量条件好,使林带发育的位置更高。 (2)太白山林线距离山顶较近,其山体体积较小,山坡面积较小;南北两坡水分和热量交换充 分,水热条件差别小。 (3)物种丰富的木本植物为太白山落叶阔叶林带提供了耐寒和耐热物种;从而在林带的上限和 下限区域形成较强的竞争优势,拓宽了其垂直空间。