当前位置:首页>文档>2025年高考地理二轮复习配套讲义通用版专题8 协调人类与地理环境的关系_9.2025地理总复习_2025年新高考资料_二轮复习_2025年高考地理二轮复习配套讲义通用版(解析版)

2025年高考地理二轮复习配套讲义通用版专题8 协调人类与地理环境的关系_9.2025地理总复习_2025年新高考资料_二轮复习_2025年高考地理二轮复习配套讲义通用版(解析版)

  • 2026-04-12 01:40:28 2026-03-12 05:10:42

文档预览

2025年高考地理二轮复习配套讲义通用版专题8 协调人类与地理环境的关系_9.2025地理总复习_2025年新高考资料_二轮复习_2025年高考地理二轮复习配套讲义通用版(解析版)
2025年高考地理二轮复习配套讲义通用版专题8 协调人类与地理环境的关系_9.2025地理总复习_2025年新高考资料_二轮复习_2025年高考地理二轮复习配套讲义通用版(解析版)
2025年高考地理二轮复习配套讲义通用版专题8 协调人类与地理环境的关系_9.2025地理总复习_2025年新高考资料_二轮复习_2025年高考地理二轮复习配套讲义通用版(解析版)
2025年高考地理二轮复习配套讲义通用版专题8 协调人类与地理环境的关系_9.2025地理总复习_2025年新高考资料_二轮复习_2025年高考地理二轮复习配套讲义通用版(解析版)
2025年高考地理二轮复习配套讲义通用版专题8 协调人类与地理环境的关系_9.2025地理总复习_2025年新高考资料_二轮复习_2025年高考地理二轮复习配套讲义通用版(解析版)
2025年高考地理二轮复习配套讲义通用版专题8 协调人类与地理环境的关系_9.2025地理总复习_2025年新高考资料_二轮复习_2025年高考地理二轮复习配套讲义通用版(解析版)
2025年高考地理二轮复习配套讲义通用版专题8 协调人类与地理环境的关系_9.2025地理总复习_2025年新高考资料_二轮复习_2025年高考地理二轮复习配套讲义通用版(解析版)
2025年高考地理二轮复习配套讲义通用版专题8 协调人类与地理环境的关系_9.2025地理总复习_2025年新高考资料_二轮复习_2025年高考地理二轮复习配套讲义通用版(解析版)
2025年高考地理二轮复习配套讲义通用版专题8 协调人类与地理环境的关系_9.2025地理总复习_2025年新高考资料_二轮复习_2025年高考地理二轮复习配套讲义通用版(解析版)
2025年高考地理二轮复习配套讲义通用版专题8 协调人类与地理环境的关系_9.2025地理总复习_2025年新高考资料_二轮复习_2025年高考地理二轮复习配套讲义通用版(解析版)
2025年高考地理二轮复习配套讲义通用版专题8 协调人类与地理环境的关系_9.2025地理总复习_2025年新高考资料_二轮复习_2025年高考地理二轮复习配套讲义通用版(解析版)
2025年高考地理二轮复习配套讲义通用版专题8 协调人类与地理环境的关系_9.2025地理总复习_2025年新高考资料_二轮复习_2025年高考地理二轮复习配套讲义通用版(解析版)
2025年高考地理二轮复习配套讲义通用版专题8 协调人类与地理环境的关系_9.2025地理总复习_2025年新高考资料_二轮复习_2025年高考地理二轮复习配套讲义通用版(解析版)
2025年高考地理二轮复习配套讲义通用版专题8 协调人类与地理环境的关系_9.2025地理总复习_2025年新高考资料_二轮复习_2025年高考地理二轮复习配套讲义通用版(解析版)
2025年高考地理二轮复习配套讲义通用版专题8 协调人类与地理环境的关系_9.2025地理总复习_2025年新高考资料_二轮复习_2025年高考地理二轮复习配套讲义通用版(解析版)
2025年高考地理二轮复习配套讲义通用版专题8 协调人类与地理环境的关系_9.2025地理总复习_2025年新高考资料_二轮复习_2025年高考地理二轮复习配套讲义通用版(解析版)
2025年高考地理二轮复习配套讲义通用版专题8 协调人类与地理环境的关系_9.2025地理总复习_2025年新高考资料_二轮复习_2025年高考地理二轮复习配套讲义通用版(解析版)
2025年高考地理二轮复习配套讲义通用版专题8 协调人类与地理环境的关系_9.2025地理总复习_2025年新高考资料_二轮复习_2025年高考地理二轮复习配套讲义通用版(解析版)
2025年高考地理二轮复习配套讲义通用版专题8 协调人类与地理环境的关系_9.2025地理总复习_2025年新高考资料_二轮复习_2025年高考地理二轮复习配套讲义通用版(解析版)

文档信息

文档格式
docx
文档大小
4.117 MB
文档页数
19 页
上传时间
2026-03-12 05:10:42

文档内容

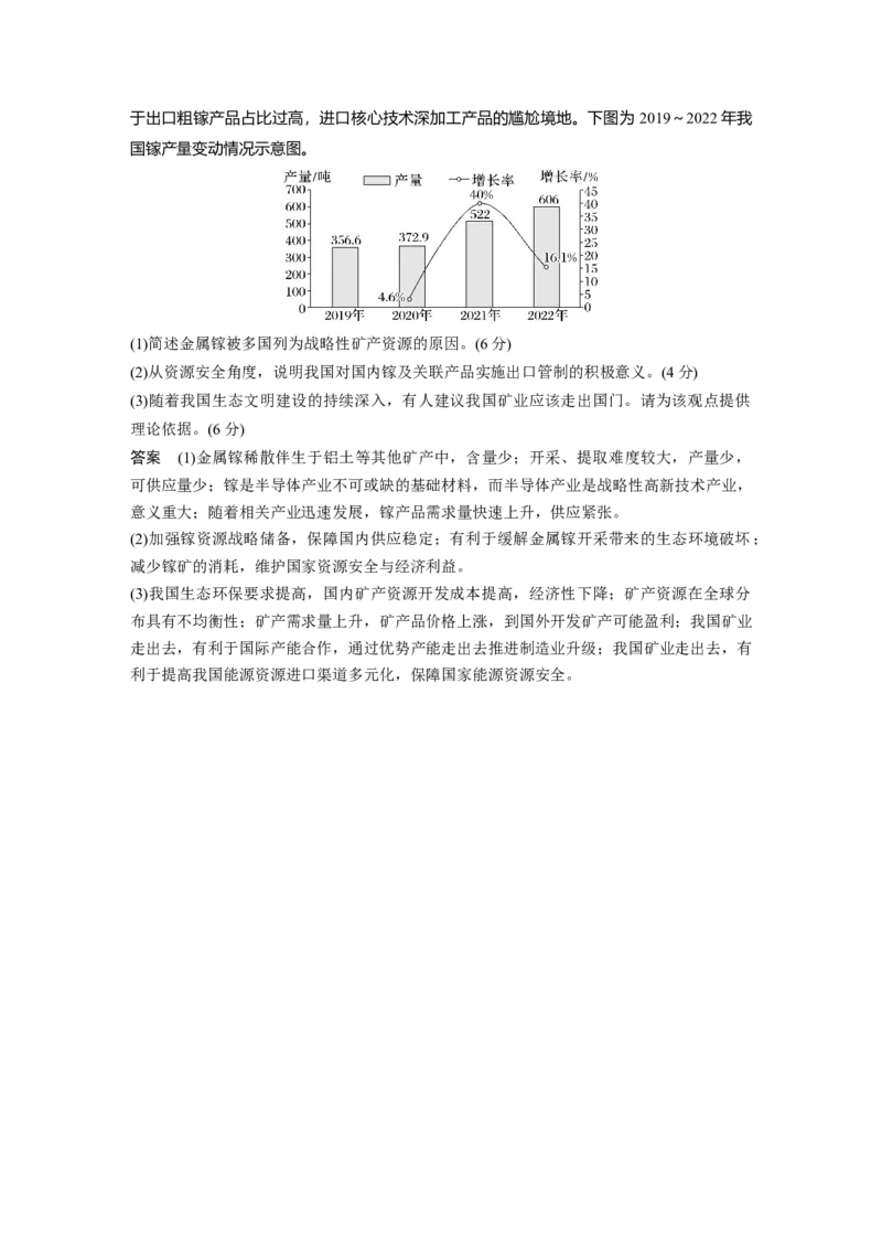
1.(2024·广东地理)阅读图文资料,完成下列要求。(12分) 针对干旱区煤矿采空区治理和水资源短缺等问题,我国学者提出利用采空区建设地下水 库的建议。M煤矿矿区位于晋陕蒙交界地带,属温带大陆性季风气候,地下水资源丰富。 该煤矿经过多年开采,已形成采空区。调查发现,该采空区水体中含有来自地表的污染物。 下图示意M煤矿采空区及地层剖面。 (1)简述M煤矿矿区地表污染物进入采空区水体的自然地理过程。(6分) (2)分析在M煤矿采空区建设地下水库的意义。(6分) 答案 (1)地表污染物随降水和地表径流向地表沉降区(塌陷区)汇聚,污染物随水流沿着裂隙 下渗,下渗的污染物进入地下水,继续下渗进入采空区水体。 (2)建设地下水库有利于增加当地水资源储备,为生态、工农业生产及生活用水等提供保障; 有利于调节当地水资源季节分配,缓解水资源紧缺状况;有利于减缓地表沉降(塌陷)。 2.(2023·河北地理)阅读图文材料,完成下列要求。(20分) 锂是我国战略性矿产资源,开发盐湖锂矿对保障我国锂资源安全意义重大。为探究盐湖 锂矿成因与可持续开发问题,苏扬老师组织学生搜集了柴达木盆地那棱格勒河流域富锂盐湖 相关资料(下图)。 资料表明:(1)印度洋板块与欧亚板块碰撞导致青藏高原隆升和柴达木盆地内部凹陷, 为该地盐湖锂矿的形成提供了基础条件;(2)锂矿物质主要源自沿昆仑断裂带和第四纪火山 活动区分布的热泉,被那棱格勒河与地下水搬运至终端湖;(3)受蒸发和补给等因素影响, 一方面湖区萎缩,分裂成三个盐湖,另一方面含锂湖水蒸发浓缩,形成多成分共生锂矿; (4)为开发东、西台吉乃尔盐湖锂矿,修筑了人工堤坝,使河水不再注入东、西台吉乃尔盐湖而改入鸭湖。 (1)经纬和丹霞两位同学分别从内、外力作用角度探究了该地盐湖锂矿的成矿条件。下面是 他们各自的观点,请任选其一并加以分析。(6分) 经纬:板块构造运动是盐湖锂矿形成的先决条件。 丹霞:流水搬运是盐湖中锂富集的主要途径。 (2)试述鸭湖可作为后备锂资源库的条件。(6分) (3)若未来东、西台吉乃尔盐湖锂矿资源枯竭,请基于“绿色低碳”理念,提出开发鸭湖锂 矿的工程和技术措施。(8分) 答案 (1)经纬观点:板块构造运动产生含锂热泉,提供锂源;形成凹陷(洼地),提供锂富集 空间;导致青藏高原隆升,引发干旱气候,利于蒸发浓缩,形成盐湖锂矿。 或丹霞观点:含锂热泉水补给河流,将锂搬运至盐湖;(由泉水、河水等转变的)地下水流经 破碎的岩石、洪积扇,溶解锂物质,出露地表后汇入盐湖;含锂地下水直接补给盐湖。 (2)鸭湖具有与东、西台吉乃尔盐湖相似的锂物质历史积累过程;含锂矿物质仍持续补给, 鸭湖中锂不断富集;气候干旱,蒸发强烈,具备锂浓缩成矿条件。 (3)完善能源供给设施,充分利用风能和太阳能;修筑堤坝,阻断鸭湖的河流补给,提升锂 浓缩效率;创新资源综合开发技术,提高资源利用率;优化污染物防控技术,妥善处理“三 废”,降低环境污染。 工业社会人地矛盾日益尖锐,区域性生态危机不断出现。随着人类对自然认识的加深和科学 技术的提升,通过转变资源观、环境观、发展观和国家安全观,实现人与自然和谐成为发展 的必由之路。 1.资源安全 充足的自然资源是人地和谐的物质基础。在一定时空范围内,自然资源的供给与需求失衡, 就可能演化为区域乃至全球性的资源安全问题。 (1)保证我国粮食安全的措施 保障措施 途径确保耕 ①严格控制人口快速增长;②坚守18亿亩耕地红线;③完善 地数量 耕地占补平衡政策 ①用养结合,防治水土流失,改良培肥;②发展节水灌溉技 提高耕 术;③加强低产坡耕地的改造;④大力推广保护性耕作技 地质量 术,改善耕层结构 保障 提高土地 ①调动和保护好主产区农民种粮积极性和主产区政府抓粮积 粮食 利用率 极性;②发展多种形式的农业规模经营 数量 ①扩大农田灌溉面积与防洪排涝,平整土地;②培育推广粮 生 提高粮 食高产品种,研发综合配套栽培技术;③大力施用农家有机 产 食单产 肥和适度增施化肥;④使用农药防治病虫害;⑤提高耕地复 环 种指数,发展间作套种;⑥发展农业机械化 节 其他 加大政府扶持力度;积极参与其他国家粮食产业下游投资 措施 ①实施高标准农田建设;②减少工业、生活污染土壤,加强 提高耕 耕地重金属污染的治理;③增施有机肥,加强生物防治病虫 保障 地质量 害 粮食 保障耕 质量 ①推广绿色安全标准化种植技术;②提高优质粮食品种种植 地生态 面积;③发展智慧农业;④加强综合治理,改善环境安全 安全 进行粮食跨区调剂,解决我国粮食生产与消费空间配置不均 流通环节 衡问题 进出口环节 加强国际贸易,充分利用国际粮食市场 储备环节 建立粮食储备库 (2)矿产资源安全 (3)海洋空间资源安全 影响 具体体现 对国家资源安全 拓展陆地生存空 ①通过围海造地、填海造陆、建造人工岛屿或海上城市可以拓展人们的生产和生活空间,缓 解陆上特别是沿海地区土地资源紧张的局面; 间,改善陆地空间 ②在海岸、海上或海底修建桥梁、隧道、机 通达性 场、港口和管线等设施,改善岛屿与陆地的通 达性 海洋空间是海洋生物资源、海水化学资源、海 的影响 提供丰富的资源, 洋石油天然气及其他矿产资源等海洋资源赋存 缓解陆上资源紧张 的场所,开发与利用海洋资源,可以缓解陆地 上资源紧缺的局面,保障国家资源安全 海底水温低且变化平缓、压力稳定,可为易 提供危险资源储藏 燃、有毒、有放射性的资源提供储藏场所,不 场所,减少对陆地 仅可以节省日益紧缺的陆上土地资源,还可以 的威胁 减少这些资源对陆上环境的潜在威胁 ①提高国家对海洋国土的管控能力;②保障国 维护国家领土安全 家领土和主权完整;③确保海上通道安全;④ 维护国家海洋权益等 对国家海洋国土 不同国家对海洋空间资源的主张出现了重叠, 安全的影响 任何一个国家对争议区域的海洋空间资源进行 引发海洋争端问题 开发就会导致国家间的冲突和摩擦,进而影响 相关各国的国家安全 2.生态文明——循环经济 循环经济指建立在物质不断循环利用基础上的经济发展模式,其根据资源输入减量化、资源 再利用化、使废弃物再生资源化三个原则,把经济活动组织成一个物质反复循环流动的过程。 (1)农业可持续发展的途径——生态农业 内涵 特点 用生态系统的观点,将 ①农业资源得到再生:生态农业利用生态学理论调整了农业结 农业生产和生态平衡纳 构,保护了农业资源,使资源再生 入协调一致的轨道,充 ②综合效益突出:生态农业科学地增加了物质和技术投入,提 分发挥生态经济效益以 高了农业生态系统物质能量的利用率,提高了经济效益、生态 促进持续增产的农业经 效益和社会效益; 营方式 ③实现良性循环:生态农业可以优化农业结构,使农、林、牧、副、渔业协调发展,并可调节气候,减少灾害 案例 (2)工业可持续发展模式——清洁生产 ①特点:清洁生产从原料开采—生产制造—消费使用—废弃物处理的全过程来评估产品对环 境的影响程度,克服了传统工业生产只重视末端治理的弊端。 ②措施:优化产业结构;使用清洁能源;综合利用资源;加强环境保护。 ③意义:提高资源利用率,缓解资源供给压力;提高产品和企业的竞争力;完善产业链,实 现废弃物的再利用;减少环境污染、生态破坏等。如下图:(2024·湖北武汉调研)借助网络平台,推动乡村数字经济发展,是乡村振兴的重要途径。 乡村数字经济的发展带来新业态、新产业和新模式,促使乡村经济活动和生产空间发生转变。 例如,区块链等数字技术通过唯一标识码实现农产品的溯源,完成生产到消费的对接。据此 完成1~3题。 1.发展乡村数字经济的前提是( ) A.承接产业转移 B.完善基础设施 C.培养创新人才 D.扩大消费市场 2.与传统乡村经济模式相比,乡村数字经济的特点包括( ) ①产品类型更一致 ②产销流通更复杂 ③生产空间更分散 ④金融服务更便捷 A.①② B.②③ C.③④ D.①④ 3.利用区块链技术实现农产品溯源的主要目的是( ) A.延长产业链 B.保障粮食安全 C.提高附加值 D.助推品质提升 答案 1.B 2.C 3.D 解析 第1题,根据材料,乡村数字经济需要借助网络平台,发展乡村数字经济的前提是完 善基础设施,B正确。第2题,乡村数字经济的发展,使得产业规模扩大,产品类型更加多 样,产销流通更加简单,①②错误;乡村数字经济的发展,使得生产空间更灵活、更分散, ③正确;乡村数字经济的发展,使得金融服务更加便捷,④正确。故选C。第3题,利用区 块链技术实现农产品溯源,可以完成生产到消费的对接,使产品生产更透明,对产品品质把 控更严格,有利于助推品质提升,D正确。延长产业链、提高附加值,需要对农产品进行深 加工,不是区块链技术能实现的,排除A、C。对农产品溯源可在一定程度上保障粮食质量 安全,但区块链技术可以对所有农产品溯源,不仅仅针对粮食,排除B。 (2024·山西临汾名校联考)太湖南岸平原临近天目山,发源于天目山的东、西苕溪曾导致 太湖南岸洪水肆虐。从六朝到唐宋时期,人们在太湖南岸修建横塘、纵溇、太湖堤坝(下图) 后,不断有聚落在此诞生,该地区农业也得到蓬勃发展,从而留下了众多的农业文化遗产。 如今,该地区又成为城市发展的热土。据此完成4~6题。4.历史上横塘、纵溇不断修建会( ) A.扩大耕地面积 B.阻隔交通出行 C.加重河道污染 D.加重水患灾害 5.横塘、纵溇等水利设施修建完成后,该地区( ) A.太湖泥沙淤积加剧 B.聚落形态趋于松散 C.生态系统趋于崩溃 D.农业景观重复性强 6.太湖南岸平原作为长三角为数不多的乡愁寄托之地,其合理发展措施是( ) A.全域推进城镇化+景区化发展模式 B.建设通湖连城带状生态田园和休闲空间区 C.乡村聚落外迁,保护农业文化遗产 D.推行现代交通,取代古桥、河埠、乡野交通 答案 4.A 5.D 6.B 解析 第4题,依据材料信息可知,从六朝到唐宋,人们在太湖南岸修建横塘、纵溇、太湖 堤坝后,不断有聚落在此诞生,该地区农业也得到蓬勃发展,说明该地修建横塘、纵溇后, 灌溉、排水、防洪条件改善,农用耕地面积有所扩大,A对;唐宋时期横塘、纵溇的分布较 为整齐,间隔较为合理,在建设时,应会考虑到出行的需求,因此不会阻隔交通出行,B错; 从图中给出的信息可知,横塘、纵溇的分布规划较为合理,且从事的是农业生产,没有增加 污染物排放,对河流自净能力影响小,故不会加重河道污染,C错;横塘、纵溇等水利设施 的修建可以调节水流,减少泥沙进入太湖,从而减轻太湖泥沙淤积,减少水患灾害,D错。 第5题,依据图文材料可知,横塘、纵溇等水利设施的修建,主要是为了改善农田灌溉、排 水和防洪等条件。这些水利设施的建设,使得农田的灌溉和排水得到了有效控制,有利于农 业生产的发展,然而这也可能导致农田景观的同质化和重复性增强,因为这些水利设施往往 需要在农田中进行标准化的规划和布局,D对;横塘、纵溇等水利设施的修建可以调节水流, 减少泥沙进入太湖,从而减轻太湖泥沙淤积,A错;横塘、纵溇等水利设施的建设对聚落形 态的影响较小,这些设施主要服务于农田的灌溉和排水,B错;横塘、纵溇等水利设施的建 设对生态系统的影响较小,生态系统不会趋于崩溃,C错。第6题,全域推进城镇化+景区 化的发展模式可能导致过度开发,破坏原有的自然和文化景观,不利于保护乡愁寄托之地, A错;太湖南岸平原具有独特的自然风光和丰富的历史文化资源,是人们寄托乡愁的重要地区,在保持原有生态和文化特色的前提下,建设通湖连城带状生态田园和休闲空间区,可以 充分发挥该地区的生态、文化优势,吸引游客和市民前来休闲度假,促进当地经济发展,同 时也有利于保护和传承农业文化遗产,为当地居民提供良好的生活环境,B对;乡村聚落外 迁可能导致原有的乡村文化消失,不利于乡愁的寄托,C错;现代交通完全取代古桥、河埠、 乡野交通会破坏原有的历史文化和自然景观,影响乡愁的寄托,在发展现代交通的同时,应 尽量保护原有的历史文化遗产,D错。 (2024·广东汕头模拟)2017年,上海某集团进驻汕头,积极促进12个项目的引进,助力 海上风电全产业链日臻完善。如今,汕头正建设国际风电创新港,构建“前港、中园、后 城”风电产业集群,并建立集研发设计、工艺流程、生产制造、检测认证一体化的海上风电 装备制造产业园,旨在形成粤东运维、东南亚施工、全球装备及服务出口基地,打造世界级 新能源产业集群。据此完成7~8题。 7.在汕头海上风电全产业链建设过程中,上海某集团的主要作用是( ) A.牵引上下游企业进驻 B.增加区域就业机会 C.控制各企业发展规模 D.促进风能资源开发 8.海上风电装备制造产业园最不可能入驻的项目是( ) A.风电主机制造 B.海上风力发电 C.风电设备研发 D.风电检测维护 答案 7.A 8.B 解析 第7题,由材料可知,上海某集团积极促进12个项目的引进,助力海上风电全产业 链日臻完善,说明上海某集团的主要作用是牵引上下游企业进驻,A正确。第8题,海上风 电装备制造产业园主要包括风电设备的研发、制造、运营和维护,海上风力发电是海面上的 生产活动,不能布局在产业园内。故选B。 真题专练 [分值:100 分] (选择题1~10题,每小题7分,共70分) (2023·江苏地理)古村落的研究与保护既有利于传统文化的传承,又有利于我国乡村振兴 战略的实施。下图为“我国中部山区某传统村寨土地利用结构示意图”。据此回答1~3题。1.早期铁索桥位置选择在两河交汇处的上游,主要考虑的是( ) A.村寨布局 B.洪水威胁 C.地形坡度 D.方便劳作 2.早期风雨桥成为村寨重要公共建筑空间的原因是( ) A.日常使用频率高 B.远离村民的住宅 C.便于接待外村人 D.建筑成本比较低 3.该村寨在落实乡村振兴战略的过程中,恢复村寨传统特色的最大挑战是( ) A.街巷景观还原 B.传统住宅修缮 C.精神家园重塑 D.基础设施完善 答案 1.B 2.A 3.C 解析 第1题,依据材料可知,该村寨位于我国中部山区,气候为季风气候,夏季降水集中 且多暴雨,据此可推知该山区河流径流量大、季节变化大、有夏汛;山区夏季多暴雨,地表 径流汇流快,易出现洪水。因此铁索桥布局于两河交汇处的上游,主要考虑有效避免两河洪 水同时暴涨对铁索桥安全的影响。故选B。第2题,由图可知,风雨桥连接了支流两侧的村 寨和农田,是寨民们前往农田劳作与回寨生活的必经之路,日常使用频率高,从而成为村寨 重要公共建筑空间。故选A。第3题,随着经济发展和城镇化的不断推进,如今村寨人口流 失,许多传统的生活方式与理念在市场经济冲击下发生了很大变化。还原街巷景观、修缮传 统住宅、完善基础设施都属于物质文化建设,只要有资金投入即可开展,而重塑精神家园属 于精神文化建设,需要年轻一代来传承发扬,其难度更大。故选C。 (2023·河北地理)五指山大叶种茶品质优良,被誉为“华夏第一早春茶”。位于五指山热 带雨林深处的毛纳村,曾是一个偏远落后的黎族村寨,近年来因地制宜发展茶产业,并依托 茶旅融合(下图),将生态优势转变为产业优势,走上了生态美、产业兴、生活好的发展之路。 在党的二十大精神指引下,毛纳村乡村振兴的步伐越来越坚实。据此完成4~5题。4.五指山大叶种茶品质优良,得益于当地( ) A.悠久的种植历史 B.传统的加工技艺 C.优越的自然环境 D.丰富的种植经验 5.除茶产业之外,毛纳村茶旅融合发展的特色资源禀赋是( ) A.黎族文化和热带雨林 B.热带雨林和乡村田园 C.黎族文化和海岛风光 D.海岛风光和乡村田园 答案 4.C 5.A 解析 第4题,五指山属典型的低纬度、高海拔的热带海洋性季风气候,多雨多雾,光、热、 水资源丰富,土质微酸、土层深厚肥沃,加之冬春季少病虫害,出产的茶叶香醇。得天独厚 的高山雨林生态环境和自然气候的滋润,成就了五指山大叶种茶的优良品质。选C。第5题, “位于五指山热带雨林深处的毛纳村”突出了毛纳村拥有独特的热带雨林景观;“黎族村 寨”表明毛纳村有着黎族文化特色,黎族文化和热带雨林是毛纳村茶旅融合发展独具特色的 资源禀赋。选A。 (2022·湖南地理)某地(图1)位于太行山南段东麓,该地山势险峻,多暴雨,易发山洪。 为适应当地地理环境,该地形成了西北—东南向的“山—林—田—村—水”空间格局(图 2),体现了当地居民的生存智慧。据此完成6~8题。6.该地易发山洪,主要是因为( ) A.水流汇集快 B.年降水量丰富 C.河道较弯曲 D.地质条件复杂 7.从防洪和方便取水的角度,推测该地早期民居主要布局在( ) A.a处 B.b处 C.c处 D.d处 8.该地形成的“山—林—田—村—水”空间格局有利于当地( ) ①降低暴雨的频率 ②提高水资源利用效率 ③抑制土壤盐碱化 ④减轻山洪带来的危害 A.①② B.①③ C.②④ D.③④ 答案 6.A 7.A 8.C 解析 第6题,山洪是指山区溪沟中发生的暴涨洪水,该地山势险峻,多暴雨,地表径流汇 集快,在山谷中水量集中流速大,从而形成山洪,A正确;该地位于北方地区太行山麓,年 降水量并不丰富,B错误;该地河流为山区河流,河道弯曲不是其突出特征,C错误;地质 条件复杂与易发山洪直接关系不大,D错误。第7题,从方便取水的角度来看,聚落应接近 河流,图中a、b、c三处均接近河流,d处离河流较远,不应是该地早期民居主要布局地, 排除D;从防洪角度来看,b、c两处临近河谷底部,容易受山洪影响,a处地势较高,受山 洪影响较小,排除B、C,故选A。第8题,森林可有效涵养水源,该地空间格局能提高水 资源利用效率,且能减轻山洪带来的危害,②④正确;暴雨主要由大气环流和天气系统决定, 该地空间格局不会降低暴雨的频率,①错误;该地地势较高,地下水位很难接近地表,当地 土壤盐碱化并不明显,③错误。故选C。 (2022·广东地理)田螺是广西稻田养殖的重要水产品。近年来,为助力乡村振兴,当地一 些农民在传统稻田养螺基础上,开挖螺沟,发展了新型“稻-螺”生态循环农业模式(下图)。 据此完成9~10题。 9.稻田中开挖螺沟主要是为了( ) A.增加稻田光照强度 B.加强稻田通风透气C.减少田螺天敌威胁 D.改善田螺生长环境 10.图中生态循环过程最为复杂的区域是( ) A.进水区 B.出水区 C.水稻区 D.螺沟区 答案 9.D 10.C 解析 第9题,传统稻田养螺时间为稻田水量充足的夏季,秋冬季稻田排水后,田螺无法正 常养殖;由于田螺缺水时有钻泥的习性,还会造成捕捞困难。开挖螺沟后,秋冬季节可以在 螺沟内保存水源,为田螺生长、越冬提供适宜的环境。因此稻田中开挖螺沟是为了保障田螺 的生长,目的不是改善稻田的条件,A、B排除,D正确。田螺的天敌是鸟类,开挖螺沟后, 会使田螺更容易暴露,增加了鸟类对田螺的威胁,C错。第10题,生态循环是营养物质和 能量在各个营养级之间流动的过程,是环境、植物、动物、微生物之间相互作用的过程。进 水区、出水区只在环境和微生物之间存在物质与能量的交换,相对来说最简单,排除A、 B;螺沟区包括环境、田螺、微生物之间的物质与能量流动,比较复杂;水稻区在此基础上 又增加了植物,所有环节在此区域都参与了生态循环过程,因此最为复杂,选C。 11.(2023·湖南地理)阅读图文材料,完成下列要求。(14分) 锆是一种战略性稀有重金属。锆资源集中分布在澳大利亚和非洲,绝大多数由澳大利亚、 英国和美国的三大供应商开发,消费集中在中国、欧洲和北美。莫桑比克锆砂矿资源丰富, 其成矿物质主要来源于前寒武纪火成岩。含锆重砂矿物多在海岸带低潮线附近富集,1~3 月在高潮线以上也有大量沉积。“一带一路”背景下,某中资企业与莫桑比克合作开发锆砂 矿。下图示意采矿区及所在区域。 (1)甲、乙、丙、丁四地中,哪一处最有可能是该采矿区成矿物质的来源地,并说明理由。(4 分) (2)含锆重砂矿物1~3月在高潮线以上有大量沉积,请作出合理解释。(6分) (3)根据材料,简述我国锆资源供应安全面临的主要问题。(4分)答案 (1)丙地。丙地有太古宙侵入岩(火成岩),太古宙属前寒武纪,成矿物质主要来源于前 寒武纪火成岩;临近河流。 (2)1~3月为当地雨季,成矿物质的来源地侵蚀作用强,河流对重砂搬运能力强,含锆重砂 矿物多;飓风(旋风)、风暴潮多发,波浪向岸搬运能力强,含锆重砂矿物容易被搬运至高潮 线以上。 (3)国内供应能力低,对外依赖程度高;全球锆资源被国外供应商垄断,进口来源集中。 12.(2022·湖南地理)阅读图文材料,完成下列要求。(16分) 耕地由种植粮食作物改种非粮食作物的现象,称为种植结构“非粮化”。山东省种植结 构“非粮化”率空间差异明显,2019年鲁中南山地丘陵地区明显高于鲁西北平原地区。下 图示意山东省山脉水系分布。 (1)鲁中南山地丘陵地区与鲁西北平原地区的种植结构“非粮化”率差异大,请从自然条件 方面做出解释。(4分) (2)近年来,山东省部分经济发达地区种植结构“非粮化”类型逐渐由棉花、花生、蔬菜向 蔬菜、瓜果转变,说明其变化的主要原因。(6分) (3)为保障粮食安全,请提出防止耕地种植结构“非粮化”的合理建议。(6分) 答案 (1)与鲁西北平原地区相比,鲁中南山地丘陵地区地形多样,气候温暖湿润,水、热、 土组合多样,适宜种植多种农作物。(或与鲁中南山地丘陵地区相比,鲁西北平原地区地形 平坦开阔,水、热、土组合相对单一,适合粮食作物规模经营。) (2)经济发达地区对蔬菜、瓜果需求量变大;农户种植蔬菜、瓜果经济效益更高;农业生产 技术经济条件好。 (3)加大粮食种植补贴力度,提高粮食种植的积极性;推进耕地适度规模经营,增加粮食种 植收益;改善粮食生产条件,提升农业科技水平,增强粮食综合生产能力;严格耕地用途管 制,确保粮食播种面积稳定。(本大题答案仅供参考) 模拟演练 [分值:100 分] (选择题1~14题,每小题6分,共84分)(2024·江苏南京模拟)地下水过量开采易导致地面沉降。1980年以来,三江平原水稻种 植规模快速扩张,建三江地区地下水水位大幅下降,但地面沉降幅度较小。下图为“三江平 原地区含水层空间结构示意图”。据此回答1~2题。 1.建三江地区地面沉降幅度较小的原因是( ) A.地表水下渗多 B.岩土结构稳定 C.地下潜水汇集 D.冻土广泛发育 2.为缓解三江平原潜水水位下降,以下措施最合理的是( ) A.农业休耕轮作 B.跨流域调水 C.改进灌溉技术 D.提高用水价格 答案 1.B 2.C 解析 第1题,建三江地区表层为黏土,质地黏重,地表水下渗少,A错误;读图可知,建 三江地区表层为黏土,而其他地区为砂土,黏土较黏重,结构更稳定,因此地面沉降幅度小, 而砂土质地比较松软,容易塌陷,B正确;建三江地区虽然有地下潜水汇集,但潜水水位线 比周边地区低,C错误;建三江和周边地区均有冻土发育,D错误。第2题,三江平原位于 我国东北地区,是我国重要的商品粮基地,由于长期开垦,地下水过量开采,导致地下水水 位下降,因此应改进灌溉技术,减少地下水的使用,从而缓解三江平原潜水水位下降,C正 确;农业休耕轮作对土壤肥力的修复作用明显,对地下水水位影响较小,A错误;跨流域调 水工程量大,成本高,B错误;盲目提高用水价格会加重居民的经济负担,D错误。 (2024·江苏苏锡常镇模拟)确保粮食与生态双安全是国家安全层面上的重大战略需求。粮 食主产区既是我国粮食生产的功能区,又是我国重要的生态屏障或涵养区。我国的粮食主产 区涵盖了全国13个省级行政区,在不同地域范围内,耕地利用变化的粮食与生态效应存在 明显的空间分异特征。下图为“2000~2018年我国粮食主产省区耕地利用变化的粮食与生 态效应图”。据此回答3~5题。3.生态增值-粮食增产区与生态减值-粮食减产区占比相当区域主要分布在( ) A.华北平原、东北平原 B.长江中下游平原、珠江三角洲 C.东北平原、成都平原 D.黄河中下游平原、长江三角洲 4.2000~2018年间,江苏省耕地转出类型主要属于( ) A.耕地→水域 B.耕地→建设用地 C.耕地→草地 D.耕地→生态用地 5.为确保粮食与生态双安全,耕地净转入地区应( ) A.提高耕地复种指数,实行稻田“单改双” B.加大技术投入,积极推进耕地“旱改水” C.重点发展稻渔工程、生态种养殖等复合型经济农业 D.释放以玉米为主、大豆和水稻为辅的粮食品种红利 答案 3.A 4.B 5.D 解析 第3题,读图可知,两者占比相当省区有河北、吉林、黑龙江、安徽、山东、河南。 故选A。第4题,2000~2018年,中国经历了快速的城镇化和工业化进程,对土地利用产 生了显著影响,江苏省经济发达,这种变化更为明显。城镇化和工业化进程中对建设用地的 需求大幅增加,而耕地作为易于获取的土地资源,往往成为满足这种需求的主要来源,故选 B。第5题,读图可知,耕地净转入的地区有内蒙古、吉林、黑龙江三个省区。三个省区热 量条件相对较差,会限制稻田“单改双”的实行,A错误;“旱改水”由当地的水资源条件 决定,并非由耕地数量决定,B错误;内蒙古、吉林、黑龙江三个省区,水源相对不足,发 展稻渔工程不利于维护生态安全,C错误;释放以玉米为主、大豆和水稻为辅的粮食品种红 利可以激发农民种植粮食的积极性,增加土壤肥力,确保粮食与生态双安全,D正确。 (2024·山东济南模拟)海洋牧场依据其功能可分为渔业增殖型、生态修复型、休闲观光型 等。蜈支洲岛是我国一处5A级旅游景区,位于海南省三亚市北部,该地的定位是“休闲型海洋牧场”,当地通过投放人工鱼礁、移植珊瑚等修复海洋环境,牧场内生活着数百个海洋 生物物种。 下图为工作人员在海南省三亚市蜈支洲岛海域投放人工鱼礁。据此完成6~7题。 6.在该地海洋牧场的建设过程中,人工鱼礁的作用是( ) A.作为网箱进行养殖 B.取代本地珊瑚礁 C.诱集鱼类便于捕捞 D.营造生物栖息地 7.蜈支洲岛海洋牧场建设的主要目的是( ) A.修复生态,维护环境安全 B.开发旅游,提高景区质量 C.增加渔产,保障粮食安全 D.固定礁盘,保护领海安全 答案 6.D 7.B 解析 第6题,人工鱼礁是人为在海中设置的构造物,其目的是营造海洋生物栖息的良好环 境,为鱼类等提供繁殖、生长、索饵等场所,达到保护、增殖和提高渔获量的目的。故选 D。第7题,蜈支洲岛是5A级旅游景区,定位为“休闲型海洋牧场”。休闲型海洋牧场是 以牧渔体验为主要内容,配合吃、住、行、游、购等娱乐活动来提高涉海休闲产业的吸引力。 所以蜈支洲岛海洋牧场建设的主要目的是开发旅游,提高景区质量。故选B。 (2024·江西红色十校联考)为改善能源结构和实现碳中和目标,英国大力发展海上风电。 目前,英国已建成40多个海上风电场(下图所示)。受航运、国防、海底地质等因素影响, 近海海域已不能满足风电场建设需求,为此英国海上风电场开始向深远海发展。据此回答8 ~9题。 8.英国东、西部海域风电场分布存在明显差异,主要影响因素是( ) A.电力需求 B.技术水平 C.风能资源 D.海域面积9.英国海上风电场开始向深远海发展,主要原因有( ) ①清洁能源需求量增大 ②近海海域空间不足 ③深远海风力较大且相对稳定 ④深远海海 底地质条件较好 A.②③④ B.①③④ C.①②④ D.①②③ 答案 8.A 9.D 解析 第8题,图中显示,英国城市多分布在东部地区,东部地区电力需求较西部大,使东 部海域风电场分布较西部海域多,A正确;技术水平东西部差别不大,B错误;该地区终年 受盛行西风影响,风能资源西部海域较东部海域丰富,C错误;海域面积西部较东部广阔, D错误。第9题,英国海上风电场向深远海发展,主要原因是为改善能源结构和实现碳中和 目标,对清洁能源的需求量增大,以及近海海域空间不足和深远海风力较大且相对稳定(受 陆地影响小),①②③正确;深远海海底地质条件较近海地区复杂,地质条件较差,④错误。 故选D。 (2024·广东惠州调研)浙江省仙居县乡民在山区酸性土壤地带栽培杨梅,经千百年经验积 累,形成“梅—茶—鸡—蜂”古杨梅群复合种养系统。2023年11月,该系统入选全球重要 农业文化遗产。据此完成10~12题。 10.选择茶树与杨梅树混栽,是因为两者具有( ) A.相近的生长周期 B.相近的采摘时期 C.相似的环境需求 D.相似的市场需求 11.该复合种养系统中( ) ①杨梅林提供生存空间 ②茶树利于中和土壤酸性 ③土蜂维护生物多样性 ④梅林鸡有利 于保水增肥 A.①② B.①③ C.②③ D.③④ 12.对仙居县乡民而言,该复合种养系统长期存在,主要因为该系统能够( ) A.保护当地水源 B.增加乡民收入 C.改善人居环境 D.形成品牌效应 答案 10.C 11.B 12.B 解析 第10题,茶树与杨梅树都属于木本植物,植株较为高大,对水肥的要求高,若二者 生长周期、采摘时期相近,则二者会发生争水争肥,不利于二者的生长发育,A、B错误; 茶树与杨梅树的市场需求差异大,茶叶为饮品,杨梅为水果,D错误;茶树与杨梅树对酸性 土壤的适应性较强,对水热等条件要求较高,生长发育的环境需求相似,所以可以混栽,C 正确。第11题,该复合种养系统中,杨梅林能够为蜜蜂、鸡提供生存空间,①对;茶树耐 酸,适合在酸性土壤中生长,但是并不能中和土壤酸性,②错误;土蜂能够促进花粉传播, 利于维护生物多样性,③对;梅林鸡的粪便利于增肥,但是不能起到保水的作用,④错。故 选B。第12题,对仙居县乡民而言,该复合种养系统长期存在,主要是因为该系统能够增加乡民收入,B正确;杨梅林养鸡,鸡粪便不利于当地水质的保护,A错误;该系统对于改 善人居环境的作用不大,C错误;形成品牌效应主要是对外而言,对于本区域的影响很小, D错误。 (2024·山东枣庄模拟)酵素农业是一种新型的生态农业,其生产流程如下图所示。位于浙 江省山区的箭岭村自2017年起使用醇素种植大米、果蔬等农产品 。该村的许多酵素农产品 深受消费者喜爱,市场价格较高,往往在刚种下时就被预订一空。 目前,酵素农业在我国 发展较快,但还属于“小众”农业。据此完成13~14题。 13.箭岭村发展酵素农业的主要目的是( ) A.缓解土壤板结状况 B.丰富农产品的种类 C.提高农业生产效率 D.减少生活垃圾污染 14.酵素农业的规模化推广面临的困难有( ) ①单产水平较低 ②酵素液产量不足 ③劳动力成本高 ④产品价格较高 A.①② B.①④ C.②③ D.③④ 答案 13.D 14.C 解析 第13题,根据图示信息可知,厨余垃圾经分类回收可用作农业生产的肥料,可减少 垃圾的排放量,减少生活垃圾污染,D正确;增施有机肥可以缓解土壤板结状况,但无法从 材料中获取该地土壤板结的相关信息,A错误;没有增加农产品种类,B错误;农业生产效 率指劳动时间与劳动成果的比率,发展酵素农业对提高农业生产效率影响不大,C错误。第 14题,该地位于浙江省,水热条件优越、土壤肥沃,单位面积产量较高,①错误;根据图 示信息可知,酵素液原料主要来自厨余垃圾和植物鲜垃圾,且需要经过发酵三个月以上才能 产生酵素液,所以酵素液的产量不足,②正确;浙江省经济发展水平较高,劳动力成本较高, ③正确;根据材料信息“该村的许多酵素农产品深受消费者喜爱,市场价格较高,往往在刚 种下时就被预订一空”可知,虽然产品的价格较高,但市场需求量较大,产品价格不是影响 酵素农业规模化推广的主要因素,④错误。故选C。 15.(2024·广东部分名校联考)阅读图文材料,完成下列要求。(16分) 2023年8月起,我国对国内镓及关联产品实施出口管制。镓是一种稀散金属,以微小 的含量主要伴生于铝土矿中,主要从炼铝工业的副产物中回收和提取,是半导体产业不可或 缺的基础材料,已被多国列为战略性矿产资源。我国是金属镓的最大生产国,镓产业一直处于出口粗镓产品占比过高,进口核心技术深加工产品的尴尬境地。下图为 2019~2022年我 国镓产量变动情况示意图。 (1)简述金属镓被多国列为战略性矿产资源的原因。(6分) (2)从资源安全角度,说明我国对国内镓及关联产品实施出口管制的积极意义。(4分) (3)随着我国生态文明建设的持续深入,有人建议我国矿业应该走出国门。请为该观点提供 理论依据。(6分) 答案 (1)金属镓稀散伴生于铝土等其他矿产中,含量少;开采、提取难度较大,产量少, 可供应量少;镓是半导体产业不可或缺的基础材料,而半导体产业是战略性高新技术产业, 意义重大;随着相关产业迅速发展,镓产品需求量快速上升,供应紧张。 (2)加强镓资源战略储备,保障国内供应稳定;有利于缓解金属镓开采带来的生态环境破坏; 减少镓矿的消耗,维护国家资源安全与经济利益。 (3)我国生态环保要求提高,国内矿产资源开发成本提高,经济性下降;矿产资源在全球分 布具有不均衡性;矿产需求量上升,矿产品价格上涨,到国外开发矿产可能盈利;我国矿业 走出去,有利于国际产能合作,通过优势产能走出去推进制造业升级;我国矿业走出去,有 利于提高我国能源资源进口渠道多元化,保障国家能源资源安全。