当前位置:首页>文档>专练12_9.2025地理总复习_赠品通用版(老高考)复习资料_专项复习_2023《微专题·小练习》·地理·L-9

专练12_9.2025地理总复习_赠品通用版(老高考)复习资料_专项复习_2023《微专题·小练习》·地理·L-9

  • 2026-04-12 03:01:00 2026-03-12 07:20:51

文档预览

专练12_9.2025地理总复习_赠品通用版(老高考)复习资料_专项复习_2023《微专题·小练习》·地理·L-9
专练12_9.2025地理总复习_赠品通用版(老高考)复习资料_专项复习_2023《微专题·小练习》·地理·L-9

文档信息

文档格式
docx
文档大小
0.219 MB
文档页数
2 页
上传时间
2026-03-12 07:20:51

文档内容

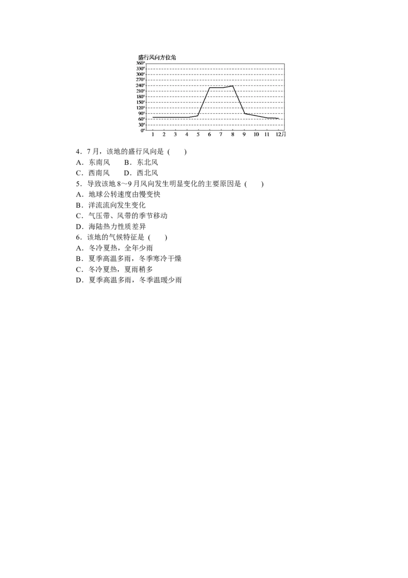
专练 12 季风环流 [2022·湖南月考]读澳大利亚大陆等温线分布图,完成第1题。 1.1月,西北部城市达尔文的风向及形成原因,正确的是( ) A.东北风,太阳直射点南移,东北信风越过赤道受地转偏向力影响向左偏 B.西北风,太阳直射点南移,东北信风越过赤道受地转偏向力影响向左偏 C.东南风,太阳直射点北移,东南信风带北移 D.西南风,太阳直射点北移,西风带北移 [2022·三明月考]读世界部分地区图,图中阴影为地面季风的地理分布区,完成2~3题。 2.关于图中①②两地季风的说法,不正确的是( ) A.①地1月盛行西北季风,7月盛行东南季风 B.②地夏季风成因与气压带、风带季节移动有关 C.②地夏季风来得迟,退得早,易产生洪涝灾害 D.①地冬季风势力强于夏季风,②地夏季风强于冬季风 3.当③地盛行西北季风时( ) A.①地高温多雨 B.②地寒冷干燥 C.③地形成高压中心 D.为 1 月左右 [2022·乐山检测]下图为我国某地风向方位角(以正北方向为起点,顺时针方向转动过的 角度)月变化统计。据此完成4~6题。4.7月,该地的盛行风向是 ( ) A.东南风 B.东北风 C.西南风 D.西北风 5.导致该地8~9月风向发生明显变化的主要原因是 ( ) A.地球公转速度由慢变快 B.洋流流向发生变化 C.气压带、风带的季节移动 D.海陆热力性质差异 6.该地的气候特征是 ( ) A.冬冷夏热,全年少雨 B.夏季高温多雨,冬季寒冷干燥 C.冬冷夏热,夏雨稍多 D.夏季高温多雨,冬季温暖少雨