当前位置:首页>文档>专练29_9.2025地理总复习_赠品通用版(老高考)复习资料_专项复习_2023《微专题·小练习》·地理·L-9

专练29_9.2025地理总复习_赠品通用版(老高考)复习资料_专项复习_2023《微专题·小练习》·地理·L-9

  • 2026-04-04 11:53:47 2026-03-12 08:02:51

文档预览

专练29_9.2025地理总复习_赠品通用版(老高考)复习资料_专项复习_2023《微专题·小练习》·地理·L-9
专练29_9.2025地理总复习_赠品通用版(老高考)复习资料_专项复习_2023《微专题·小练习》·地理·L-9

文档信息

文档格式
docx
文档大小
0.099 MB
文档页数
2 页
上传时间
2026-03-12 08:02:51

文档内容

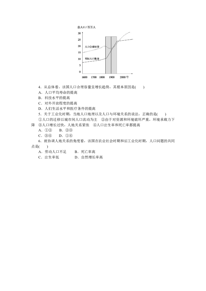
专练 29 环境承载力与环境人口容量 [2022·吉林顶级名校期中]新疆和田地区年均降水量为 33 mm,年均蒸发量为 2 600 mm。20世纪50年代该地区人口数量为50万,耕地面积为1 260平方千米。2016年该地区 人口数量为244.98万,耕地面积大约为2 607.6平方千米。读新疆和田地区保护绿洲的三道 防线示意图,完成1~2题。 1.影响和田绿洲地区区域资源环境承载力的主要因素是 ( ) A.交通 B.土地 C.水源 D.热量 2.从20世纪50年代至2016年和田地区区域资源环境承载力大幅度提高的主要原因 是 ( ) A.城市化进程的快速推进 B.铁路运输条件进一步完善 C.医疗卫生条件保障健全 D.农业生产技术水平的提高 [2022·宁夏石嘴山三中月考]人口压力指数分为人口经济压力指数和人口资源压力指数。 一个地区的人口经济压力指数或人口资源压力指数是全国人均经济或资源指标除以该地区 相应人均指标后所得的比值。读我国东部、中部和西部地区的人口经济压力指数和人口资 源压力指数统计表,完成第3题。 东部 中部 西部 全国 人口经济压力指数 0.70 1.31 1.58 1.00 人口资源压力指数 1.30 0.93 1.01 1.00 3.关于人口压力指数和环境承载力关系的叙述,正确的有 ( ) ①人口压力指数大于1,说明环境承载力相对富裕 ②人口压力指数小于1,说明环境 承载力相对超载 ③人口压力指数大于1,说明环境承载力相对超载 ④人口压力指数小 于1,说明环境承载力相对富裕 A.①② B.①③ C.②④ D.③④ [2022·重庆月考]下图示意某研究机构对北欧某发达国家近代人口合理容量与实际人口 数量之间关系的研究结果,其中阴影部分表示工业化迅速推进时期。读图,回答4~6题。4.从总体看,该国人口合理容量呈增长趋势,其根本原因是( ) A.人口平均寿命的提高 B.科技水平的提高 C.对外开放程度的提高 D.人们生活水平和医疗条件的提高 5.关于工业化时期,当地人口地理以及人口与环境关系的说法,正确的是( ) ①人口的迁移以城市间人口流动为主 ②由于对资源和环境破坏严重,环境承载力下 降 ③人口增长过快,人地关系紧张 ④人口出生率和死亡率都提高 A.①② B.②③ C.③④ D.①④ 6.就协调人地关系的角度看,该国在农业社会时期和后工业化时期,人口问题的共同 点是( ) A.劳动人口不足 B.死亡率高 C.出生率低 D.自然增长率高