当前位置:首页>文档>专练82_9.2025地理总复习_赠品通用版(老高考)复习资料_专项复习_2023《微专题·小练习》·地理·L-9

专练82_9.2025地理总复习_赠品通用版(老高考)复习资料_专项复习_2023《微专题·小练习》·地理·L-9

  • 2026-03-18 17:01:27 2026-03-12 08:19:59

文档预览

专练82_9.2025地理总复习_赠品通用版(老高考)复习资料_专项复习_2023《微专题·小练习》·地理·L-9
专练82_9.2025地理总复习_赠品通用版(老高考)复习资料_专项复习_2023《微专题·小练习》·地理·L-9
专练82_9.2025地理总复习_赠品通用版(老高考)复习资料_专项复习_2023《微专题·小练习》·地理·L-9

文档信息

文档格式
docx
文档大小
0.269 MB
文档页数
3 页
上传时间
2026-03-12 08:19:59

文档内容

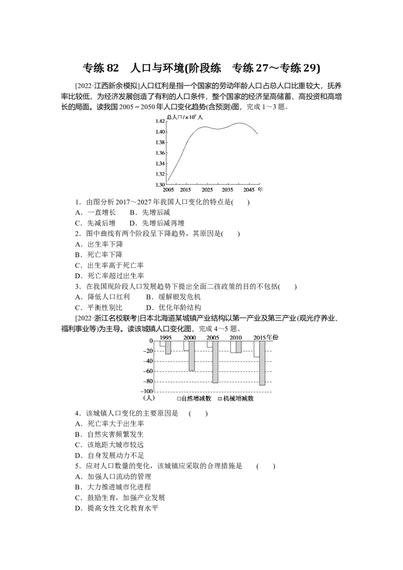
专练 82 人口与环境(阶段练 专练 27~专练 29) [2022·江西新余模拟]人口红利是指一个国家的劳动年龄人口占总人口比重较大,抚养 率比较低,为经济发展创造了有利的人口条件,整个国家的经济呈高储蓄、高投资和高增 长的局面。读我国2005~2050年人口变化趋势(含预测)图,完成1~3题。 1.由图分析2017~2027年我国人口变化的特点是( ) A.一直增长 B.先增后减 C.先减后增 D.先增后减再增 2.图中曲线有两个阶段呈下降趋势,其原因是( ) A.出生率下降 B.死亡率下降 C.出生率高于死亡率 D.死亡率超过出生率 3.在我国现阶段人口发展趋势下提出全面二孩政策的目的不包括( ) A.降低人口红利 B.缓解银发危机 C.平衡性别比 D.优化年龄结构 [2022·浙江名校联考]日本北海道某城镇产业结构以第一产业及第三产业(观光疗养业、 福利事业等)为主导。读该城镇人口变化图,完成4~5题。 4.该城镇人口变化的主要原因是 ( ) A.死亡率大于出生率 B.自然灾害频繁发生 C.该地距大城市较远 D.自身发展动力不足 5.应对人口数量的变化,该城镇应采取的合理措施是 ( ) A.加强人口流动的管理 B.大力推进城市化进程 C.鼓励生育,加强产业发展 D.提高女性文化教育水平[2022·福建南平联考]生育更替水平是指同一批妇女生育子女的数量恰好能替代她们本 身以及她们伴侣的人口更替水平。少子化是指生育率长期处于生育更替水平以下的状态。 下图示意日本出生人数和总和生育率(妇女在育龄期间,每个妇女平均生育的子女数)的变 化。据此完成6~8题。 6.日本初次出现少子化现象是在20世纪( ) A.60年代 B.70年代 C.80年代 D.90年代 7.日本出现少子化问题主要是由于 ( ) A.政府实施生育限制 B.经济发展比较落后 C.生育观念发生转变 D.育龄妇女比重太低 8.日本政府为解决少子化问题可采取的有效措施是 ( ) A.鼓励国外人口迁入 B.实施生育激励政策 C.提高人口受教育水平 D.健全养老保障体系 常住人口是指在某地实际居住半年以上的人口,一般包括户籍人口和外来常住人口。 下图为2011~2020年上海市常住人口和户籍人口同比(比上一年度)增长率统计图。据此完 成9~10题。 9.2011~2019年上海市( ) A.户籍人口减少 B.人口总量下降 C.常住人口减少 D.人口迁入趋缓 10.造成该时段上海市户籍人口占常住人口比例变化的主要原因是 ( ) A.人口政策变化 B.产业转型升级C.城区面积扩大 D.人口自然增长慢 [2022·湖南开学考]人口学上对人类社会或国家中的男女性别比,通常是以每100位女 性所对应的男性数目为计算标准。下图为我国某省份 2000年和2016年省份外流入人口各 年龄段的性别比情况曲线图。据此完成11~12题。 11.关于该省份省份外流入人口的说法,正确的是( ) A.2016年性别比最大的年龄段是40~44岁 B.从2000年到2016年流入的男性劳动人口比重下降 C.从2000年到2016年少年儿童的性别比有降低的趋势 D.从2000年到2016年迁入人口性别比不平衡加剧 12.与2000年相比,2016年该省份省份外流入中年人口性别比变化明显,其影响因 素最可能是( ) A.生态改善 B.交通运输 C.工程建设 D.家庭婚姻