当前位置:首页>文档>专练98_9.2025地理总复习_赠品通用版(老高考)复习资料_专项复习_2023《微专题·小练习》·地理·L-9

专练98_9.2025地理总复习_赠品通用版(老高考)复习资料_专项复习_2023《微专题·小练习》·地理·L-9

  • 2026-04-12 04:33:36 2026-03-12 08:25:19

文档预览

专练98_9.2025地理总复习_赠品通用版(老高考)复习资料_专项复习_2023《微专题·小练习》·地理·L-9
专练98_9.2025地理总复习_赠品通用版(老高考)复习资料_专项复习_2023《微专题·小练习》·地理·L-9
专练98_9.2025地理总复习_赠品通用版(老高考)复习资料_专项复习_2023《微专题·小练习》·地理·L-9

文档信息

文档格式
docx
文档大小
0.220 MB
文档页数
3 页
上传时间
2026-03-12 08:25:19

文档内容

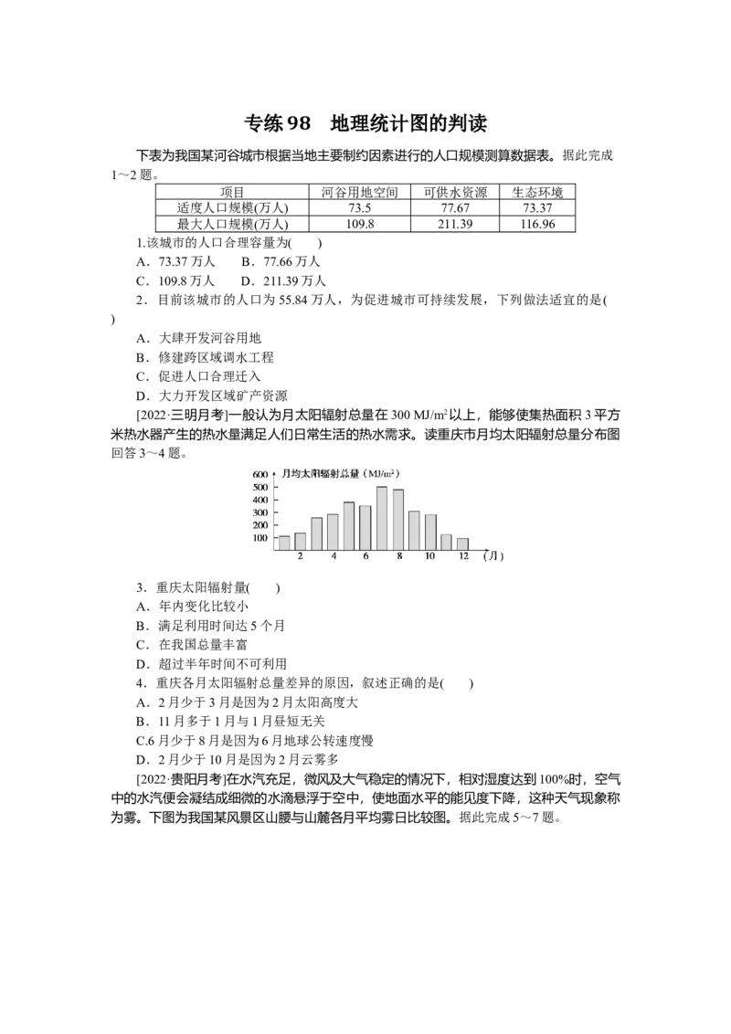
专练 98 地理统计图的判读 下表为我国某河谷城市根据当地主要制约因素进行的人口规模测算数据表。据此完成 1~2题。 项目 河谷用地空间 可供水资源 生态环境 适度人口规模(万人) 73.5 77.67 73.37 最大人口规模(万人) 109.8 211.39 116.96 1.该城市的人口合理容量为( ) A.73.37万人 B.77.66万人 C.109.8万人 D.211.39万人 2.目前该城市的人口为55.84万人,为促进城市可持续发展,下列做法适宜的是( ) A.大肆开发河谷用地 B.修建跨区域调水工程 C.促进人口合理迁入 D.大力开发区域矿产资源 [2022·三明月考]一般认为月太阳辐射总量在300 MJ/m2以上,能够使集热面积3平方 米热水器产生的热水量满足人们日常生活的热水需求。读重庆市月均太阳辐射总量分布图 回答3~4题。 3.重庆太阳辐射量( ) A.年内变化比较小 B.满足利用时间达5个月 C.在我国总量丰富 D.超过半年时间不可利用 4.重庆各月太阳辐射总量差异的原因,叙述正确的是( ) A.2月少于3月是因为2月太阳高度大 B.11月多于1月与1月昼短无关 C.6月少于8月是因为6月地球公转速度慢 D.2月少于10月是因为2月云雾多 [2022·贵阳月考]在水汽充足,微风及大气稳定的情况下,相对湿度达到100%时,空气 中的水汽便会凝结成细微的水滴悬浮于空中,使地面水平的能见度下降,这种天气现象称 为雾。下图为我国某风景区山腰与山麓各月平均雾日比较图。据此完成5~7题。5.下列关于该山地山麓地带雾日状况的叙述,正确的是( ) A.夏季空气中水汽含量高,雾日较冬季多 B.受冬季多对流层逆温现象的影响,冬季雾日较多 C.植被状况的差异导致了冬夏季雾日天数的不同 D.山麓地带集中大量空气中的悬浮颗粒物,导致雾日较山地其他地区多 6.山腰各月平均雾日多于山麓的原因是( ) A.风力微弱 B.降水充沛 C.大气稳定 D.植被茂盛 7.该山最可能位于我国( ) A.辽宁省 B.陕西省 C.云南省 D.安徽省 [2022·苏州调研]下图为“美、英、中、日四国首次购房年龄与住房自有率图”。读图, 回答8~9题。 8.据图,下列说法正确的是( ) ①美国的购房压力最大 ②英国的住房自有率与美国相同 ③日本的购房压力最大 ④中国的首次购房年龄小于日本 A.①② B.②④ C.①③ D.③④ 9.图中,中国购房特征的成因可能是( ) ①“先购房,后结婚”的观念 ②与另三国相比,投资渠道狭窄 ③日本的购房压力 最大 ④中国的首次购房年龄小于日本 A.①② B.②③ C.③④ D.①④ [2022·射洪开学考]太阳辐射强度是指到达地面的太阳辐射的多少。影响太阳辐射强度 的因素主要有太阳高度、日照时间、天气状况和海拔高低。下图为我国北京、上海、成都 和昆明四地太阳辐射强度年变化图。读图,回答10~12题。10.图中表示成都太阳辐射强度年变化的曲线是( ) A.曲线① B.曲线② C.曲线③ D.曲线④ 11.四地的太阳辐射强度年变化与全球年变化规律差异最大的城市是( ) A.城市① B.城市② C.城市③ D.城市④ 12.城市③7、8月太阳辐射强度最大的主要原因是( ) A.纬度低,太阳高度大 B.受高压控制,晴天多 C.纬度高,日照时间长 D.海拔高,大气削弱作用弱 [2022·晋江质检]开花植物百分比是指正在开花的植物种类占可开花植物种类的百分比。 下图示意“北半球不同纬度高山开花植物百分比年内变化”图。据此完成13~14题。 13.导致图中20°N到70°N高山开花植物开花季节逐渐缩短的主要气候要素是( ) A.光热 B.降水 C.温度 D.气压 14.70°N开花植物百分比始终低于30°N,可推测70°N各类开花植物( ) A.数量较少 B.花期较短 C.种类较少 D.花朵较小