当前位置:首页>文档>专题5考点练3 垂直地域分异规律_9.2025地理总复习_赠品通用版(老高考)复习资料_二轮复习_2023年高考地理二轮复习讲义+课件(全国版)_2023年高考地理二轮复习讲义(全国版)

专题5考点练3 垂直地域分异规律_9.2025地理总复习_赠品通用版(老高考)复习资料_二轮复习_2023年高考地理二轮复习讲义+课件(全国版)_2023年高考地理二轮复习讲义(全国版)

  • 2026-04-16 01:18:55 2026-03-12 16:24:18

文档预览

专题5考点练3 垂直地域分异规律_9.2025地理总复习_赠品通用版(老高考)复习资料_二轮复习_2023年高考地理二轮复习讲义+课件(全国版)_2023年高考地理二轮复习讲义(全国版)
专题5考点练3 垂直地域分异规律_9.2025地理总复习_赠品通用版(老高考)复习资料_二轮复习_2023年高考地理二轮复习讲义+课件(全国版)_2023年高考地理二轮复习讲义(全国版)
专题5考点练3 垂直地域分异规律_9.2025地理总复习_赠品通用版(老高考)复习资料_二轮复习_2023年高考地理二轮复习讲义+课件(全国版)_2023年高考地理二轮复习讲义(全国版)

文档信息

文档格式
docx
文档大小
0.268 MB
文档页数
3 页
上传时间
2026-03-12 16:24:18

文档内容

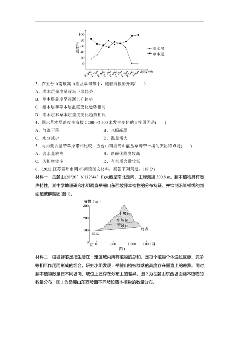
考点练 3 垂直地域分异规律 在一些较封闭的河谷中,从山坡到谷底依次呈现由乔木到灌木再到草甸的递变规律,这 种现象被称为倒置的垂直地带性。下图示意金沙江(28°15′N)河谷两岸的自然带垂直分布。 据此完成1~2题。 1.图中③区域的自然带是( ) A.山地寒温带针叶林带 B.高山荒漠草原带 C.亚热带常绿阔叶林带 D.山地中温带落叶阔叶林带 2.金沙江河谷西坡雪线较高的原因是( ) A.位于背风坡,降水较少 B.位于阳坡,光热充足 C.位于迎风坡,降水较多 D.位于阴坡,热量较低 (2022·河南省百所名校联考)五台山地处太行山脉北端,是华北地区最高峰,植被分布呈 明显的垂直地带性,在海拔2 200~3 000米的山地南坡分布着典型的高山灌丛草甸带。下图 示意五台山南坡高山灌木层和草本层盖度随海拔的变化。据此完成3~5题。3.在五台山南坡高山灌丛草甸带中,随着海拔的升高( ) A.灌木层盖度呈逐渐下降趋势 B.草本层盖度呈逐渐上升趋势 C.灌木层和草本层盖度变化趋势相同 D.灌木层和草本层盖度变化趋势相反 4.图示草本层盖度在海拔2 200~2 500米发生变化的直接原因是( ) A.气温下降 B.光照减弱 C.水分减少 D.温差增大 5.与内蒙古温带草原带相比较,五台山南坡高山灌丛草甸带土壤的突出特点是( ) A.含水量较高 B.盐碱化程度较高 C.风积物较多 D.有机质含量较低 6.(2022·江苏泰州市期末)阅读图文材料,回答下列问题。(18分) 材料一 岳麓山(28°20′N,112°44′E)大致呈南北走向,主峰海拔300.8 m。藤本植物具有湿 热特性,某中学地理研究小组调查岳麓山东西坡藤本植物的分布特征,并绘制沿某样线的剖 面植被群落图(图1)。 材料二 植被群落是指生活在一定区域内所有植物的总和,是每个植物个体通过互惠、竞争 等相互作用而形成的组合。研究小组发现,岳麓山植被群落的高度存在垂直上的差异。同时, 藤本植物数量在不同坡向、坡位上还存在分布上的差异。图2为岳麓山东西坡面藤本植物的 数量分布,图3为岳麓山东西坡面不同坡位藤本植物的数量分布。(1)比较东、西坡面藤本植物数量差异,并说明理由。(6分) (2)简述西坡面不同坡位藤本植物差异的主要表现,分析形成差异的主要原因。(8分) (3)推测自坡脚到山顶岳麓山植被群落的变化特征,并解释原因。(4分)