当前位置:首页>文档>阶段性测试五(测试)(解析版)_02中考总复习(2026版更新中)_04-物理-中考总复习_2025年中考复习资料_2025中考二轮课件ppt+讲义+练习物理_测试

阶段性测试五(测试)(解析版)_02中考总复习(2026版更新中)_04-物理-中考总复习_2025年中考复习资料_2025中考二轮课件ppt+讲义+练习物理_测试

  • 2026-04-09 11:27:29 2026-03-12 16:56:14

文档预览

阶段性测试五(测试)(解析版)_02中考总复习(2026版更新中)_04-物理-中考总复习_2025年中考复习资料_2025中考二轮课件ppt+讲义+练习物理_测试
阶段性测试五(测试)(解析版)_02中考总复习(2026版更新中)_04-物理-中考总复习_2025年中考复习资料_2025中考二轮课件ppt+讲义+练习物理_测试
阶段性测试五(测试)(解析版)_02中考总复习(2026版更新中)_04-物理-中考总复习_2025年中考复习资料_2025中考二轮课件ppt+讲义+练习物理_测试
阶段性测试五(测试)(解析版)_02中考总复习(2026版更新中)_04-物理-中考总复习_2025年中考复习资料_2025中考二轮课件ppt+讲义+练习物理_测试
阶段性测试五(测试)(解析版)_02中考总复习(2026版更新中)_04-物理-中考总复习_2025年中考复习资料_2025中考二轮课件ppt+讲义+练习物理_测试
阶段性测试五(测试)(解析版)_02中考总复习(2026版更新中)_04-物理-中考总复习_2025年中考复习资料_2025中考二轮课件ppt+讲义+练习物理_测试
阶段性测试五(测试)(解析版)_02中考总复习(2026版更新中)_04-物理-中考总复习_2025年中考复习资料_2025中考二轮课件ppt+讲义+练习物理_测试
阶段性测试五(测试)(解析版)_02中考总复习(2026版更新中)_04-物理-中考总复习_2025年中考复习资料_2025中考二轮课件ppt+讲义+练习物理_测试
阶段性测试五(测试)(解析版)_02中考总复习(2026版更新中)_04-物理-中考总复习_2025年中考复习资料_2025中考二轮课件ppt+讲义+练习物理_测试
阶段性测试五(测试)(解析版)_02中考总复习(2026版更新中)_04-物理-中考总复习_2025年中考复习资料_2025中考二轮课件ppt+讲义+练习物理_测试
阶段性测试五(测试)(解析版)_02中考总复习(2026版更新中)_04-物理-中考总复习_2025年中考复习资料_2025中考二轮课件ppt+讲义+练习物理_测试
阶段性测试五(测试)(解析版)_02中考总复习(2026版更新中)_04-物理-中考总复习_2025年中考复习资料_2025中考二轮课件ppt+讲义+练习物理_测试
阶段性测试五(测试)(解析版)_02中考总复习(2026版更新中)_04-物理-中考总复习_2025年中考复习资料_2025中考二轮课件ppt+讲义+练习物理_测试
阶段性测试五(测试)(解析版)_02中考总复习(2026版更新中)_04-物理-中考总复习_2025年中考复习资料_2025中考二轮课件ppt+讲义+练习物理_测试
阶段性测试五(测试)(解析版)_02中考总复习(2026版更新中)_04-物理-中考总复习_2025年中考复习资料_2025中考二轮课件ppt+讲义+练习物理_测试
阶段性测试五(测试)(解析版)_02中考总复习(2026版更新中)_04-物理-中考总复习_2025年中考复习资料_2025中考二轮课件ppt+讲义+练习物理_测试
阶段性测试五(测试)(解析版)_02中考总复习(2026版更新中)_04-物理-中考总复习_2025年中考复习资料_2025中考二轮课件ppt+讲义+练习物理_测试
阶段性测试五(测试)(解析版)_02中考总复习(2026版更新中)_04-物理-中考总复习_2025年中考复习资料_2025中考二轮课件ppt+讲义+练习物理_测试
阶段性测试五(测试)(解析版)_02中考总复习(2026版更新中)_04-物理-中考总复习_2025年中考复习资料_2025中考二轮课件ppt+讲义+练习物理_测试
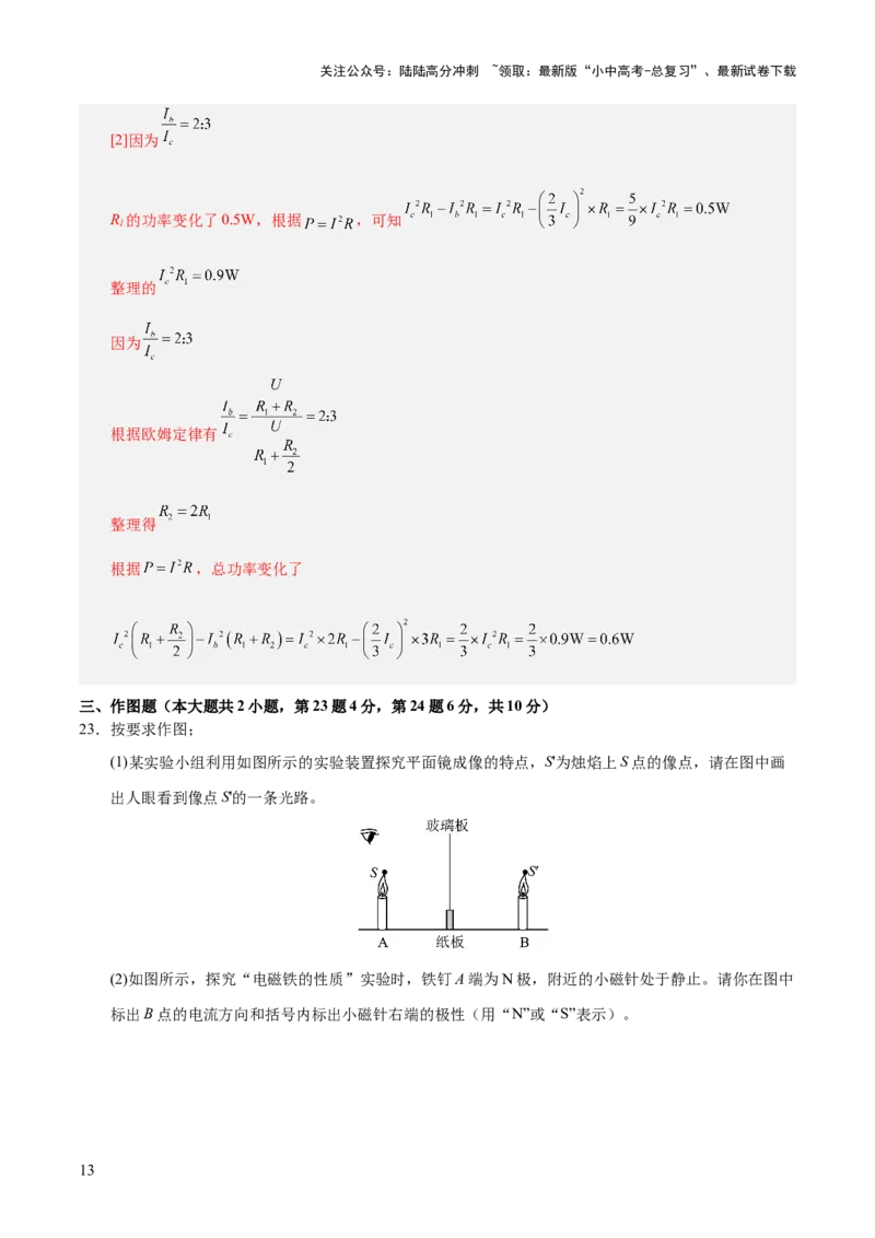
阶段性测试五(测试)(解析版)_02中考总复习(2026版更新中)_04-物理-中考总复习_2025年中考复习资料_2025中考二轮课件ppt+讲义+练习物理_测试
阶段性测试五(测试)(解析版)_02中考总复习(2026版更新中)_04-物理-中考总复习_2025年中考复习资料_2025中考二轮课件ppt+讲义+练习物理_测试
阶段性测试五(测试)(解析版)_02中考总复习(2026版更新中)_04-物理-中考总复习_2025年中考复习资料_2025中考二轮课件ppt+讲义+练习物理_测试
阶段性测试五(测试)(解析版)_02中考总复习(2026版更新中)_04-物理-中考总复习_2025年中考复习资料_2025中考二轮课件ppt+讲义+练习物理_测试
阶段性测试五(测试)(解析版)_02中考总复习(2026版更新中)_04-物理-中考总复习_2025年中考复习资料_2025中考二轮课件ppt+讲义+练习物理_测试

文档信息

文档格式
docx
文档大小
13.365 MB
文档页数
24 页
上传时间
2026-03-12 16:56:14

文档内容

关注公众号:陆陆高分冲刺 ~领取:最新版“小中高考-总复习”、最新试卷下载 阶段性测试五 (试题分值:100分 测试时间:90分钟) 注意事项: 1.答卷前,考生务必将自己的姓名、准考证号填写在答题卡上。 2.回答第Ⅰ卷时,选出每小题答案后,用2B铅笔把答题卡上对应题目的答案标号涂黑。如需改动,用 橡皮擦干净后,再选涂其他答案标号。写在本试卷上无效。 3.回答第Ⅱ卷时,将答案写在答题卡上。写在本试卷上无效。 4.考试结束后,将本试卷和答题卡一并交回。 第Ⅰ卷 选择题 一、选择题(本大题共12小题,1~9题每小题只有一个正确选项,每小题2分;10~12题为多项选择,每 小题每小题至少有两个正确选项,每小题3分,共27分) 1.古诗词是中华文化的瑰宝,加点字涉及的物态变化需要吸热的是( ) A.天接云涛连晓雾 B.瀚海阑干百丈冰 C.霜重鼓寒声不起 D.晴明风日雨干时 【答案】D 【详解】A.雾的形成是水蒸气遇冷液化成的小水滴,液化放热,故A不符合题意; B.冰的形成是水发生了凝固,凝固放热,故B不符合题意; C.霜的形成是水蒸气遇冷发生了凝华,凝华放热,故C不符合题意; D.雨水变干的过程是汽化过程,汽化吸热,故D符合题意。 故选D。 2.手机折叠屏使用了超高性能石墨烯复合材料,新一代石墨烯材料的强度比钢高100倍,导电性超过铜, 同时具备超轻特性。关于该材料下列说法错误的是( ) A.密度小 B.硬度大 C.导电性好 D.韧性差 【答案】D 【详解】A.新一代石墨烯材料具备超轻特性,说明密度小,故A正确,不符合题意; B.新一代石墨烯材料的强度比钢高100倍,说明硬度大,故B正确,不符合题意; C.新一代石墨烯材料导电性超过铜,说明导电性好,故C正确,不符合题意; D.新一代石墨烯材料用作手机折叠屏制作,说明韧性好,故D错误,符合题意。 故选D。 3.2025年春运,中国铁路文旅部以车站、高铁车厢等为舞台,开展了“高铁非遗文化节”活动。为各地 1关注公众号:陆陆高分冲刺 ~领取:最新版“小中高考-总复习”、最新试卷下载 旅客精心打造了如图所示各具特色的非遗文化盛宴。书法、剪纸、篆刻、皮影、侗族大歌、川江号 子、彝绣、锅庄舞……精彩纷呈,旅客在高铁上就能感受到丰富多彩的非遗魅力。下列说法正确的是 ( ) A.剪纸用的剪刀越锋利压强越小 B.篆刻作品时作品的密度不变 C.歌声不能传递信息 D.琵琶发声是气体振动形成的 【答案】B 【详解】A.剪纸用的剪刀越锋利,受力面积越小,压力保持不变时,压强越大,故A错误; B.篆刻作品时,物质的种类不变,所以作品的密度不变,故B正确; C.通过歌声能了解歌词的意思,所以能通过歌声传递信息,故C错误; D.一切声音都是声源振动发出的,所以琵琶发声是琴弦振动形成的,故D错误。 故选B。 4.如图所示的荷塘月色图,下列描述合理的是( ) A.月亮是光源 B.月亮的倒影是实像 C.月亮的倒影是由光的折射形成的 D.月亮的像到水面的距离大于凉亭的像到水面的距离 【答案】D 【详解】A.月亮自身不能发光,不是光源,故A不符合题意; BC.月亮的倒影是平面镜成像,是光的反射形成的虚像,故BC不符合题意; D.月亮距离水面的距离大于凉亭到水面的距离,平面镜成像时,像和物体到平面镜的距离相等,所 以月亮的像到水面的距离大于凉亭的像到水面的距离,故D符合题意。 2关注公众号:陆陆高分冲刺 ~领取:最新版“小中高考-总复习”、最新试卷下载 故选D。 5.如图是我国“华为”公司研发的“无线快充”设备。当把手机放在底座上充电时,很快就能把手机电 池的电量充满,极大地方便了人们的使用。该电池的部分参数如表格所示。以下说法不正确的是( ) 锂离子电压 电池 3.7V 容量 5000mAh A.充电过程中,手机电池相当于电路中的用电器 B.手机电池充电的过程中,把电能转化为化学能 C.手机电池充满一次电,所储存的电能为 D.手机电池无线快充的工作原理是电磁感应现象 【答案】C 【详解】AB.充电过程中,手机电池消耗电能,把电能转化为化学能储存起来,相当于电路中的用电 器,故AB正确,不符合题意; C.手机电池充满一次电,所储存的电能为 故C错误,符合题意; D.手机无线充电是利用底座中变化的电流产生磁场,然后手机处于变化的磁场中,使手机内部产生 电流,给电池充电,所以手机电池无线快充的工作原理是电磁感应现象,故D正确,不符合题意。 故选C。 6.深圳“无人面馆”最近火了,机器人48秒制作出一碗面。该机器可以通过扫码(开关闭合)或投币 (开关闭合)完成自动出售;当光线较暗时,光控开关闭合可以提供照明。下列设计符合该要求的是 ( ) 3关注公众号:陆陆高分冲刺 ~领取:最新版“小中高考-总复习”、最新试卷下载 A. B. C. D. 【答案】A 【详解】A.如图灯和光控开关串联,光控控制灯;扫码和投币开关分别与电机 M 连接,扫码和投 币分别作为两个支路控制电机 M,这样扫码或投币任何一个闭合,电机 M 工作,故A符合题意; B.如图扫码开关和投币开关以及电机 M 并联,这就导致当扫码或投币时,电动机被短路不能工 作,不符合题目要求,故B不符合题意; C.该电路图里,扫码开关、投币开关串联后与电动机串联,需要两个开关都闭合电动机才工作,不 符合“扫码或投币”启动电动机的要求,所以该电路不符合要求,故C不符合题意; D.如图电机M 和扫码开关串联,扫码控制电机 M ;光控开关和投币开关分别与灯连接,光控开关 和投币分别作为两个支路控制灯,不符合要求,故D不符合题意。 故选A。 7.为精确测量滑动摩擦力,小明引入拉力传感器代替弹簧测力计进行实验,如图甲所示。拉动木板时传 感器记录的数据随时间的图像如图乙所示,5s之后传感器示数不稳定的原因不可能是( ) 4关注公众号:陆陆高分冲刺 ~领取:最新版“小中高考-总复习”、最新试卷下载 A.没有匀速直线拉动长木板 B.拉力传感器与木块连接不稳定 C.传感器相比弹簧测力计测量更精确 D.长木板表面粗糙程度不均匀 【答案】D 【详解】在压力不变的情况下,弹簧测力计的示数不稳定,即摩擦力是变化的,根据影响摩擦力的因 素可知,原因是木块A下表面或长木板上表面的粗糙程度不同,与是否匀速直线拉动长木板和传感器 相比弹簧测力计测量更精确无关,也与拉力传感器与木块连接不稳定无关,故ABC错误,D正确。 故选D。 8.泗县中学生体能测试中有一项目为坐位体前屈,对身体柔韧性测试,测试者向前推动固定在滑动变阻 器滑片上的滑块,滑块被推动的距离越大,仪器的示数就越大。如图,图乙是小明设计的模拟电路, 下列正确的是( ) A.向前推的距离越远,电压表示数越大 B.向前推的距离越大,电路的总功率越小 C.闭合开关没推动时,此时电流表为零 D.此设计中是用电流表示数反映测量成绩 【答案】D 【详解】由电路图可知,滑动变阻器R 与R 串联,电压表测R 两端的电压,电流表测电路的电流。 1 2 1 AB.向前推的距离越大,滑动变阻器R 连入电路的电阻越小,则电路的电阻越小,根据欧姆定律 1 可知,电路中的电流越大,即电流表示数越大;根据 可知,R 两端的电压越大,由串联 2 电路电压的规律可知,滑动变阻器两端的电压越小,即电压表示数越小;因电源电压不变,电路的电 流变大,根据 可知,电路的总功率变大,即向前推的距离越大,电路的总功率越大,故AB错 误; C.闭合开关不推动时,滑动变阻器的最大电阻与R 串联,电路的电阻较大,电路中的电流较小,但 2 不会为零,故C错误; D.向前推的距离越大,电压表示数越小,电流表示数越大,故用电流表示数反映测量成绩,故D正 5关注公众号:陆陆高分冲刺 ~领取:最新版“小中高考-总复习”、最新试卷下载 确。 故选D。 9.2024年盘锦红海滩马拉松来自全国各地的近万名选手陆续通过起跑线,现场的欢呼声、呐喊声瞬间点 燃马拉松盛会热情。关于马拉松比赛下列说法正确的是( ) A.运动员匀速过弯道时,运动状态改变 B.运动员到达终点线冲刺,若此时所受的力全部消失,将立即静止 C.裁判是通过相同时间内比较运动员经过的路程,来判定程某夺冠 D.领奖时,地面对运动员的支持力和运动员所受重力是一对相互作用力 【答案】A 【详解】A.运动员匀速过弯道时,虽然速度的大小不变,但运动方向发生了改变,所以运动状态改 变,故A正确; B.运动员到达终点线冲刺,若此时所受的力全部消失,根据牛顿第一定律可知,运动员会保持原有 的运动速度一直做匀速直线运动,故B错误; C.裁判是通过相同路程比较运动员经过的时间,来判定程某夺冠,故C错误; D.一对相互作用力的条件是作用在两个物体上,方向相反,大小相等,作用在同一条直线上,地面 对运动员的支持力和运动员所受重力都是作用在运动员身上,所以不是一对相互作用力,故D错误。 故选A。 10.近年来我国在科技领域取得了辉煌成就。下列说法正确的是( ) A.“白鹤滩”水电站是利用可再生能源发电的 B.“祝融号”火星车上的太阳能电池板将太阳能转化为内能 C.“华龙一号”核反应堆利用核聚变释放核能 D.“长征五号”运载火箭使用液氢作为燃料的原因之一是液氢的热值较大 【答案】AD 【详解】A.“白鹤滩”水电站是利用水流的重力势能或动能(统称为水能)来发电的。由于水能是 源源不断、可以重复利用的,因此它属于可再生能源。故A正确; B.“祝融号”火星车上的太阳能电池板的主要功能是将太阳能转化为电能,供火星车上的各种设备 6关注公众号:陆陆高分冲刺 ~领取:最新版“小中高考-总复习”、最新试卷下载 使用,而不是转化为内能。故B错误; C.“华龙一号”核反应堆实际上利用的是核裂变反应来释放核能,而不是核聚变。核裂变是指重核 在受到中子轰击后分裂成两个或多个较轻核的过程,同时释放出大量的能量。而核聚变则是指轻核在 高温、高压环境下结合成重核的过程,虽然也能释放出能量,但目前商业化的核反应堆主要利用的是 核裂变。故C错误; D.热值是燃料的一种重要属性,它表示单位质量的燃料完全燃烧时所释放出的热量。液氢的热值非 常大,这意味着它燃烧时能释放出大量的能量,因此非常适合作为运载火箭的燃料。故D正确。 故选AD。 11.如图所示的电路中,电源两端的电压保持不变,当开关S闭合后,灯L不发光,电压表指针有明显偏 转。若电路中只有一处故障,对于此电路故障的判断,下列说法中正确的是( ) A.可能灯 L短路 B.可能灯L断路 C.可能滑动变阻器 断路 D.一定是定值电阻 断路 【答案】AC 【详解】由电路图知,灯泡、滑动变阻器和定值电阻串联在电路中,电压表测量滑动变阻器和定值电 阻两端的总电压。 A.如果灯泡L短路,闭合开关灯泡不会发光,电压表测量电源电压,电压表指针偏转,故A正确; B.如果灯泡L断路,整个电路断路,灯泡不亮,电压表指针不偏转,故B错误; C.如果滑动变阻器R 断路,电路中无电流,灯不亮,电压表串联在电路中,测量电源电压,有示 2 数,故C正确; D.如果R 断路,电路中无电流,灯不亮,电压表串联在电路中,测量电源电压,有示数,故D错 1 误。 故选 AC。 12.小明感冒输液时看到药液袋外面有如图所示的标识,询问医生得知:“0.9%”是指每 的这种液 体中含有0.9g食盐、其余是纯净的水;护士在调试输液管时提醒小明,每分钟不要超过40滴,不能 太快。小明的下列估计中正确的是( ) 7关注公众号:陆陆高分冲刺 ~领取:最新版“小中高考-总复习”、最新试卷下载 A.未开封时袋内所装药液的质量略大于250g B.图中护士调试时输液袋的顶端距离地面的高度约1.5m C.输液过程中,输液袋内的气压大约为1.013×106Pa D.小明通过脉搏监控滴速,应比其脉搏速度要慢一些 【答案】AD 【详解】A. 水的质量为250g,盐水的密度大于水,所以 药液的质量要略大于250g, 故A正确; B.图中护士调试时输液袋的顶端距离地面的高度比护士身高略高,约为1.7m,故B错误; C.输液过程中,输液袋内的气压大约为一个标准大气压,约为1.013×105Pa,故C错误; D.药液滴速每分钟不超过40滴,人的脉搏每分钟约60次,所以小明通过脉搏监控滴速,应比其脉 搏速度要慢一些,故D正确。 故选AD。 第Ⅱ卷 非选择题 二、填空题(本大题共10小题,每空1分,共20分) 13.如图甲所示红墨水在水中散开,这是 现象;如图乙所示,气球在毛皮上摩擦后靠近空易拉 罐,发现易拉罐向气球方向滚动,这是因为气球摩擦带了电荷,具有 轻小物体的性质。 【答案】 扩散 吸引 【详解】[1]红墨水在水中散开是扩散现象,说明分子在不停地做无规则运动。 [2]气球在毛皮上摩擦后带上电荷,带电体可以吸引轻小物体,带电的气球靠近空易拉罐,发现易拉罐 向气球方向滚动,这是因为带电的气球具有吸引轻小物体的性质。 14.火是文明的象征和推动者。中国古代传说,燧人氏发明了钻木取火,这是通过 的方式改变了物 体内能;杭州亚运会火种在良渚古城遗址公园采集,如图所示,这是利用了 镜对光有会聚作用 8关注公众号:陆陆高分冲刺 ~领取:最新版“小中高考-总复习”、最新试卷下载 点燃了圣火。 【答案】 做功 凹面 【详解】[1]改变内能的方式有热传递和做功,钻木取火,通过做功的方式改变了物体内能; [2]凹面镜对光具有会聚作用,利用凹面镜镜对光有会聚作用可以点燃圣火。 15.茶是中华民族的传统饮品,最早发现于神农氏,繁盛于唐宋时期。泡茶时,向杯里加水,水对杯底的 压强逐渐变 ,拿起杯盖,茶香四溢,说明分子 。 【答案】 大 在不停做无规则运动 【详解】[1]根据 可知,密度不变,向杯里加水,深度变大,故水对杯底的压强逐渐变大。 [2]茶香四溢,是香味分子在运动,说明分子在不停做无规则运动。 16.“红灯停,绿灯行,黄灯也要等一等,交通安全要注意”。路口的这些LED交通指示灯的连接方式是 的;制作LED灯的主要材料是 (选填“导体”“绝缘体”或“半导体”)。 【答案】 并联 半导体 【详解】[1]根据交通信号灯工作时的常识知,红灯亮时,黄灯不亮,绿灯不亮,它们工作时互不影 响,故是并联连接。 [2]制作LED灯的主要材料是半导体。LED(发光二极管)是由半导体材料制成的。 17.小思家临街而住,于是在家装了一个噪声监测仪,如图所示。在监测仪上看到显示的数字,该装置显 示了噪声的 (选填“响度”“音调”或“音色”)。医院里常用超声波除去人体内的结 石,是因为超声能够 (选填“传递信息”或“传递能量”)。 【答案】 响度 传递能量 【详解】[1]噪声监测仪是用来监测噪声大小的仪器,测量的是声音的响度,响度表示声音的强弱。 [2]声音可以传递能量,也可以传递信息,医院里常用超声波除去人体内的结石,是因为超声能够传递 能量。 9关注公众号:陆陆高分冲刺 ~领取:最新版“小中高考-总复习”、最新试卷下载 18.如图,这是我国古代的“舂米石臼”,人在A端用力踩下,使B端的重锤翘起,放脚后重锤由于重力 作用下落,打在石臼内的谷物上,帮谷物脱壳,此装置属于 杠杆,若一小孩无法将 B端 的重锤抬起,可采用的改进方法是 。(写出一条即可) 【答案】 费力 让脚远离支点 【详解】[1]在图中B端所受石锥的重力为阻力,脚的力为动力,阻力臂>动力臂,所以此装置属于费 力杠杆。 [2]当阻力和阻力臂不变时,若人脚离O点越远,动力臂越长,根据杠杆的平衡条件知,动力越小,所 以若一小孩无法将B端的重锤抬起,可采用的改进方法是让脚远离支点。 19.冬天利用循环流动热水可为房间供暖,一段时间内提供的热水质量为1000kg、温度为60℃,出水的温 度为40℃,则这段时间水向外界放出 J的热量。若这些热量全部由天然气完全燃烧提供,需要 燃烧 m3天然气。[c =4.2×103/(kg•℃),q =7×107J/m3] 水 天然气 【答案】 8.4×107 1.2 【详解】[1][2]这段时间水向外界放出的热量为 若这些热量全部由天然气完全燃烧提供,即 根据 可知,需要燃烧的天然气体积为 20.如图所示,该国产电动汽车安装了可逆电机,车辆在减速或制动时,车轮的转动驱动电机转动,此时 驱动电机就变成了发电机,其工作原理为 ,能够产生电能为汽车的蓄电池充电。该 品牌电动车的电池支持快充、慢充和普通220 V插座充电三种充电方式,充满电后的“电量”可达60 kW·h。快充0.5小时即可将电量由30%充至80%,此过程中的充电功率为 kW。 10关注公众号:陆陆高分冲刺 ~领取:最新版“小中高考-总复习”、最新试卷下载 【答案】 电磁感应 60 【详解】[1]发电机的工作原理是:闭合电路的部分导体在磁场中作切割磁感线运动,产生感应电流, 即电磁感应现象。 [2]在0.5h内,电量的增加量 此过程的充电功率 21.如图所示,重力不计、侧面竖直的“凸”型容器放置在水平地面上。容器下部横截面积为上部面积的 3倍,容器下部中装有质量为30kg的某种液体,现在容器上部装入与容器下部等高的同种液体,则此 时液体对容器底部的压力为 N,容器前后对水平地面的压强之比为 。 【答案】 600 3︰4 【详解】[1][2]设容器上部横截面积为S,容器下部横截面积为3S,容器下部所装液体的体积为 因为容器下部中装有质量为30kg的某种液体,则有 则液体的密度为 容器上部装入与容器下部等高的同种液体,则此时液体对容器底部的压力为 在容器上部装入与容器下部等高的同种液体,则在容器上部装入的液体的质量为 11关注公众号:陆陆高分冲刺 ~领取:最新版“小中高考-总复习”、最新试卷下载 则容器上部装入的液体后容器中所装的液体的总质量为 容器重力不计,在容器上部装入液体前,容器对水平地面的压力为 在容器上部装入液体后,容器对水平地面的压力为 由 知道,容器前后对水平地面的压强之比为 22.如图甲电路中,电源电压恒定不变,R 为定值电阻。a、b为滑动变阻器R 的两个端点,c为中点。滑 1 2 片P从中点c滑到最右端b的过程中,R 的功率变化了0.5W,电压表的示数U 随R 变化的图像如图 1 2 乙。则滑片在中点c时与最右端b时的电流表示数之比I:I= 。在上述变化过程中,总功率 b c 变化了 W。 【答案】 0.6 【详解】[1]由图甲可知,定值电阻R 与滑动变阻器R 串联,电压表测R 两端的电压,电流表测电路 1 2 2 中的电流。滑片P在b点时,电压表时数为4V,根据欧姆定律有 滑片P在中点c时,电压表时数为3V,根据欧姆定律有 则 。 12关注公众号:陆陆高分冲刺 ~领取:最新版“小中高考-总复习”、最新试卷下载 [2]因为 R 的功率变化了0.5W,根据 ,可知 1 整理的 因为 根据欧姆定律有 整理得 根据 ,总功率变化了 三、作图题(本大题共2小题,第23题4分,第24题6分,共10分) 23.按要求作图; (1)某实验小组利用如图所示的实验装置探究平面镜成像的特点,S'为烛焰上S点的像点,请在图中画 出人眼看到像点S'的一条光路。 (2)如图所示,探究“电磁铁的性质”实验时,铁钉A端为N极,附近的小磁针处于静止。请你在图中 标出B点的电流方向和括号内标出小磁针右端的极性(用“N”或“S”表示)。 13关注公众号:陆陆高分冲刺 ~领取:最新版“小中高考-总复习”、最新试卷下载 【答案】(1) (2) 【详解】(1)人眼能看到蜡烛的虚像,是因为S点发出的光,经平面镜反射后,有反射光线进入眼 睛,人眼便在反射光线的方向延长线上看到蜡烛的虚像,连接眼睛和像点S',连线与玻璃板的交点为 入射点,入射点与眼睛的连线为反射光线,再连接S点和入射点,作出入射光线,如图所示: (2)已知铁钉A端为N极,由安培定则可知,B点的电流方向为向上;铁钉A端为N极,钉尖一端 为S极,由磁极间的作用规律可知,小磁针右端为S极,如图所示: 24.(1)如图所示,是未完成的家庭电路三孔插座和电灯电路图,请用笔画线表示导线,将插座、电灯和开 关正确接入家庭电路。 14关注公众号:陆陆高分冲刺 ~领取:最新版“小中高考-总复习”、最新试卷下载 (2)如图所示,游客们在游乐场游玩的场景,某游客和座椅总重为700N,请在模拟图中画出游客和座 椅一起所受重力的示意图。 (3)如图所示,请画出经过凸透镜折射后的光线。 【答案】(1) (2) (3) 15关注公众号:陆陆高分冲刺 ~领取:最新版“小中高考-总复习”、最新试卷下载 【详解】(1)三孔插座连接:三孔插座的接法是 “左零右火上接地”。所以将零线连接到三孔插座左 边的孔,火线连接到右边的孔,地线连接到上面的孔。 电灯和开关连接:开关要接在火线和灯泡之间,这样断开开关时能切断火线,保证用电安全。所以将 火线先连接到开关的一个接线柱,开关的另一个接线柱连接到灯泡的顶端金属点;零线直接连接到灯 泡的螺旋套。如图所示 (2)重力的方向是竖直向下的,过游客和座椅重心画一条带箭头的竖直向下的有向线段,大小为 700N,如图所示 (3)平行于主光轴的光线经凸透镜折射后将过焦点,过光心的光线经凸透镜折射后传播方向不改变,如 图所示: 四、实验题(本大题共3小题,共17分) 25.(7分)小明做“探究凸透镜成像规律”的实验。 (1)如图甲所示,将一束平行光正对凸透镜照射,光屏上出现一个最小、最亮的光斑,则凸透镜的焦距 f = cm; (2)小明在某次实验中,将蜡烛、凸透镜、光屏放在光具座上如图乙所示的位置,光屏上呈现清晰的 16关注公众号:陆陆高分冲刺 ~领取:最新版“小中高考-总复习”、最新试卷下载 像,此像是倒立、 的实像,生活中 (选填“照相机”、“投影仪”或“放大镜”) 就是依据此成像原理制成的; (3)当光屏上出现清晰的像时,一只苍蝇飞过来停留在了凸透镜上,这时光屏上 (选填“仍 能”或“不能”)成烛焰完整的像; (4)小明在图乙中烛焰和凸透镜之间的适当位置放一副眼镜,发现光屏上原本清晰的像变模糊了。将蜡 烛向靠近凸透镜方向移动适当距离后,发现光屏上再次得到清晰的像,则该眼镜是 (选填 “近视”或“远视”)眼镜。 (5)保持蜡烛位置不变,移动凸透镜至如图丙所示位置,则人眼在图中 (选填“A”或“B”)处能 观察到烛焰的像;用放大镜观察报纸时,要使观察的像更大些,放大镜要 (选填“靠近” 或“远离”)报纸。 【答案】(1)10.0 (2) 放大 投影仪 (3)仍能 (4)远视 (5) B 远离 【详解】(1)由图甲可知,一束平行光正对凸透镜照射时,光屏上出现一个最小、最亮的光斑,那 便是凸透镜的焦点,焦点到光心的距离是焦距,如图尺子分度值为1cm,所以焦距为 (2)[1][2]由图乙可知,光屏上呈现清晰的像,此时 ,根据凸透镜成实像规律,则物距大于一倍 焦距小于二倍焦距,在光屏上成倒立、放大的实像,投影仪就是根据这一原理制成的。 (3)凸透镜成像是由于物体发出的光线经凸透镜折射后,在光屏上会聚形成的。当苍蝇停在凸透镜 上时,只是挡住了部分光线,物体上各点发出的光线仍能通过凸透镜的其他部分折射后会聚到光屏 上,所以仍能成烛焰完整的像。但是由于通过凸透镜的光线减少了,所以像的亮度会变暗。 (4)远视眼镜是凸透镜,对光线有会聚作用。在烛焰和凸透镜之间放一副眼镜后,光屏上原本清晰 的像变模糊了,将蜡烛向靠近凸透镜方向移动适当距离后,像变远了,光屏上再次得到清晰的像,说 明该眼镜使光线提前会聚了,即该眼镜对光线的会聚能力较强,是远视眼镜。而近视眼镜是凹透镜, 对光线有发散作用,会使像成在光屏后方,与题中现象不符。 (5)[1]由图丙可知,蜡烛位于凸透镜的一倍焦距以内,此时成正立、放大的虚像,虚像不能呈现在 光屏上,只能通过透镜向蜡烛一侧观察到像,所以人眼在 B 处能观察到烛焰的像。 [2]根据凸透镜成像规律,用放大镜观察物体时,物距越小,像越小,物距越大,像越大。所以要使观 17关注公众号:陆陆高分冲刺 ~领取:最新版“小中高考-总复习”、最新试卷下载 察的像更大些,放大镜要远离报纸,增大物距。 26.(5分)如图是小明同学探究电流与电阻关系的电路,提供的器材有:3V的电源一个,电流表 (0∼0.6A,0∼3A)、电压表(0∼3V,0∼15V)各一个,开关一个,5Ω、10Ω、15Ω、30Ω的定值电 阻各一个,“10Ω,1A”的滑动变阻器一个,导线若干(忽略导线电阻),以上实验器材完好无损,实 验中数据读取准确无误。 实验次序 电阻R/Ω 电流I/A 1 5 0.4 2 10 0.2 3 15 0.18 (1)小明同学先将阻值为5Ω的电阻接入电路,连接电路如图所示,请你用笔画线表示导线,将电路连 接完整 ;(要求:滑片P向右移动时,电流表的示数变大) (2)连接好电路后闭合开关,发现电流表有示数,电压表无示数,若电路中只有一处故障,则电路出现 的故障可能是 ; (3)故障排除后,闭合开关,移动滑动变阻器的滑片P到某处,使电压表为某一示数时,记录电流表的 示数,更换电阻,重复实验,记录数据填在表格中。由于操作不当,导致表中有一次实验的数据存在 错误,是第 次实验的数据有误,出错的原因可能是 ; (4)纠正错误以后,小明用30Ω的电阻替换15Ω电阻进行第4次实验,发现实验无法进行下去,为完成 第4次实验,请给小明提出可行的解决方案(不限于提供的实验器材): 。 【答案】(1) (2)电阻短路 18关注公众号:陆陆高分冲刺 ~领取:最新版“小中高考-总复习”、最新试卷下载 (3) 3 更换定值电阻后,没有移动滑片,直接读取了电流表的示数 (4)换用最大电阻不小于15Ω的滑动变阻器 【详解】(1)滑片P向右移动时,电流表的示数变大,可知电路的电阻变小,变阻器D接线柱连入 电路中,如下所示: (2)连接好电路后闭合开关,发现电流表有示数,电路为通路,电压表无示数,若电路中只有一处 故障,则电路出现的故障可能是电阻短路。 (3)[1][2]由表格中数据知,前2次实验,电流与电阻之积,即电压表示数 电压表示数保持不变,当换用 的电阻时,电流为 ,电压表示数 可能没有移动变阻器滑片保持电阻两端的电压不变;第3次实验的数据有误,出错的原因可能是:更 换定值电阻后,没有移动滑片,直接读取了电流表的示数。 (4)根据串联电路电压的规律,变阻器分得的电压 变阻器分得的电压为电压表示数的 倍,根据分压原理,当接入 电阻时,变阻器连入电路中的 电阻为 换用最大电阻不小于 的滑动变阻器。 27.(5分)李佳和同学们利用弹簧测力计、物块、溢水杯、小桶和足量的水等实验器材,做“探究浮力 的大小跟排开液体所受重力的关系”的实验,进行了如图所示的操作(g取 , )。 19关注公众号:陆陆高分冲刺 ~领取:最新版“小中高考-总复习”、最新试卷下载 (1)由 两图得出物块所受浮力 ,再由另外两图得出物块排开液体所受重力 ,可 初步得出结论:浸在液体中的物体所受浮力的大小等于它排开的液体所受的重力; (2)实验时,若溢水杯中未装满水,则会导致测出的 (选填“偏大”或“偏小”); (3)为了得到更普遍的结论,接下来的操作中合理的是( )(选填字母); A.用原来的方案和器材多次测量求平均值 B.将物块换成小石块,用原来的方案再次进行实验 (4)小组同学经过交流、评估和反思后,得出实验步骤的最佳顺序是 。(填入“甲、乙、丙、 丁”的合理顺序) (5)根据实验数据,还可以计算出物块的密度 。 【答案】(1)甲、乙 (2)偏小 (3)B (4)丁、甲、乙、丙 (5) 【详解】(1)根据称重法可知需要测量的物理量:物体的重力、物体完全浸没后测力计的拉力,即 甲、乙两步骤可计算出圆柱体物块浸没在水中时受到的浮力 (2)若溢水杯的水没有装满,则会导致本实验测量的 偏小,称重法测得的浮力不变,故会导致本 20关注公众号:陆陆高分冲刺 ~领取:最新版“小中高考-总复习”、最新试卷下载 实验测量的 (3)为了得到更普遍的结论,应换用不同液体和不同物体进行多次实验,而不是用原来的方案和器 材多次测量取平均值,故选B。 (4)实验步骤:测出空的小桶所受的重力;用测力计测出某物体所受的重力;把被测物体浸没在盛 满水的溢水杯中,读出此时测力计的示数,同时,用小桶收集物体排开的水;测出小桶和物体排开的 水所受的总重力;所以合理顺序为丁、甲、乙、丙。 (5)甲图可以测出物块的质量为 ;丙、丁两幅图可以测出排开水的体积: 即物体的体积 物块的密度 五、计算题(本大题共3小题,共26分) 28.(8分)为了让居民享受更便利的居家生活,长沙自贸临空区大力推进低空物流服务,如图为长沙县 某小区内无人机配送生鲜时的场景。某次配送中无人机提着质量为4kg的生鲜以2m/s的速度匀速从地 面竖直上升40m,然后斜向上飞行了20s,仪表盘上显示离地最终高度为120m。最后无人机水平飞行 3.6km到达目的地,用时4min。(g取10N/kg)(飞机上升时,不计空气阻力) (1)无人机水平飞行的过程中,平均速度是多少? (2)无人机整个上升过程中,它对生鲜做的功是多少? (3)无人机整个上升过程中,它对生鲜做功的功率为多少? 【答案】(1)15m/s (2)4800J (3)120W 21关注公众号:陆陆高分冲刺 ~领取:最新版“小中高考-总复习”、最新试卷下载 【详解】(1)无人机水平飞行的过程中,平均速度 (2)生鲜的重力 无人机整个上升过程中,它对生鲜做的功 (3)从地面竖直上升40m的时间 无人机整个上升过程中所用的时间 它对生鲜做功的功率为 29.(8分)如图所示,在容器底部固定一轻质弹簧,弹簧上端连有密度为0.4×103kg/m3的正方体物块A, 当容器中水的深度为30cm时,此时弹簧恰好处于自然伸长状态。求: (1)物块A浸入水中的体积占总体积的几分之几? (2)往容器缓慢加水至物块A刚好浸没水中时,弹簧对物块A的拉力为F=6N,求物块A的体积。 【答案】(1) (2)1×10-3m3 【详解】(1)当容器中水的深度为30cm时,弹簧恰好处于自然伸长状态,此时物块A刚好漂浮于水 面上, 根据阿基米德原理和漂浮条件有F =G =G 浮 排 A 即ρ gV =ρ gV 水 排 A A 所以物块A浸入水中的体积占总体积的比例为 (2)物块A刚好完全浸没水中时,弹簧对物块A的作用力为F=6N, 根据受力平衡有F ′=G +F 浮 A 即:ρ gV =ρ gV+F 水 A A A 22关注公众号:陆陆高分冲刺 ~领取:最新版“小中高考-总复习”、最新试卷下载 代入数据解得 30.(10分)图甲为一家用电热菜板,图乙是该电热菜板的电路图,该电热菜板有高温挡、中温挡和低温 挡三挡,其发热元件为两个电阻 、 ,额定工作电压为220 V,调节开关S、 的通断和接入A或 1 B的情况可控制电热菜板的加热挡位。若低温挡正常工作时的电流为0.5A,中温挡正常工作时的功率 为400W,则: 餐桌匹配 宽120cm以上 摆盘数 建议12~16盘 高温挡功率 ?W 温度范围 40~140℃ (1)判断当该电热菜板分别在低温挡和中温挡工作时的电路连接方式; (2)求出定值电阻 的阻值大小; (3)若使用该电热菜板的中温挡给汤加热,将质量为1000g、初温为20℃的肉汤加热到50℃需要 5min,求该电热菜板的电热效率;(保留小数点后1位)[ ] (4)如表所示,该电热菜板产品标识上的高温挡功率模糊了,请你计算出该电路板高温挡工作的电功 率。(保留小数点后1位) 【答案】(1)见解析 (2) (3) (4)551.7W 23关注公众号:陆陆高分冲刺 ~领取:最新版“小中高考-总复习”、最新试卷下载 【详解】(1)由电路图可知:当 断开, 接 时,电路中 和 串联,此时电路中电阻最大,根 据 可知,在电压一定时,电阻越大,电功率越小,处于低温挡。当只有 闭合时,电路中只 有 ,此时为中温挡。S 闭合,S 接B时,两个电阻并联接入电路,此时电路中的电阻最小,据 1 2 知,电功率最大,为高温挡。 (2)当电热菜板在中温挡工作时,只有 工作,则根据公式可知 (3)结合题意可知:5min中温挡消耗的电能为 肉汤吸收的热量为 则电热菜板的电热效率为 (4)低温挡时,两电阻串联,结合题意可知: 则R 阻值 2 当高温挡时,两电阻并联,结合题意可知: 则高温挡时的功率 24