当前位置:首页>文档>专题08函数的图象与性质(解析版)_2.2025数学总复习_2025年新高考资料_专项复习_2024年高考真题和模拟题数学分类汇编(全国通用)(完结)

专题08函数的图象与性质(解析版)_2.2025数学总复习_2025年新高考资料_专项复习_2024年高考真题和模拟题数学分类汇编(全国通用)(完结)

  • 2026-04-07 15:21:25 2026-03-12 18:08:38

文档预览

专题08函数的图象与性质(解析版)_2.2025数学总复习_2025年新高考资料_专项复习_2024年高考真题和模拟题数学分类汇编(全国通用)(完结)
专题08函数的图象与性质(解析版)_2.2025数学总复习_2025年新高考资料_专项复习_2024年高考真题和模拟题数学分类汇编(全国通用)(完结)
专题08函数的图象与性质(解析版)_2.2025数学总复习_2025年新高考资料_专项复习_2024年高考真题和模拟题数学分类汇编(全国通用)(完结)
专题08函数的图象与性质(解析版)_2.2025数学总复习_2025年新高考资料_专项复习_2024年高考真题和模拟题数学分类汇编(全国通用)(完结)
专题08函数的图象与性质(解析版)_2.2025数学总复习_2025年新高考资料_专项复习_2024年高考真题和模拟题数学分类汇编(全国通用)(完结)
专题08函数的图象与性质(解析版)_2.2025数学总复习_2025年新高考资料_专项复习_2024年高考真题和模拟题数学分类汇编(全国通用)(完结)
专题08函数的图象与性质(解析版)_2.2025数学总复习_2025年新高考资料_专项复习_2024年高考真题和模拟题数学分类汇编(全国通用)(完结)
专题08函数的图象与性质(解析版)_2.2025数学总复习_2025年新高考资料_专项复习_2024年高考真题和模拟题数学分类汇编(全国通用)(完结)
专题08函数的图象与性质(解析版)_2.2025数学总复习_2025年新高考资料_专项复习_2024年高考真题和模拟题数学分类汇编(全国通用)(完结)
专题08函数的图象与性质(解析版)_2.2025数学总复习_2025年新高考资料_专项复习_2024年高考真题和模拟题数学分类汇编(全国通用)(完结)
专题08函数的图象与性质(解析版)_2.2025数学总复习_2025年新高考资料_专项复习_2024年高考真题和模拟题数学分类汇编(全国通用)(完结)
专题08函数的图象与性质(解析版)_2.2025数学总复习_2025年新高考资料_专项复习_2024年高考真题和模拟题数学分类汇编(全国通用)(完结)
专题08函数的图象与性质(解析版)_2.2025数学总复习_2025年新高考资料_专项复习_2024年高考真题和模拟题数学分类汇编(全国通用)(完结)
专题08函数的图象与性质(解析版)_2.2025数学总复习_2025年新高考资料_专项复习_2024年高考真题和模拟题数学分类汇编(全国通用)(完结)
专题08函数的图象与性质(解析版)_2.2025数学总复习_2025年新高考资料_专项复习_2024年高考真题和模拟题数学分类汇编(全国通用)(完结)
专题08函数的图象与性质(解析版)_2.2025数学总复习_2025年新高考资料_专项复习_2024年高考真题和模拟题数学分类汇编(全国通用)(完结)
专题08函数的图象与性质(解析版)_2.2025数学总复习_2025年新高考资料_专项复习_2024年高考真题和模拟题数学分类汇编(全国通用)(完结)
专题08函数的图象与性质(解析版)_2.2025数学总复习_2025年新高考资料_专项复习_2024年高考真题和模拟题数学分类汇编(全国通用)(完结)
专题08函数的图象与性质(解析版)_2.2025数学总复习_2025年新高考资料_专项复习_2024年高考真题和模拟题数学分类汇编(全国通用)(完结)
专题08函数的图象与性质(解析版)_2.2025数学总复习_2025年新高考资料_专项复习_2024年高考真题和模拟题数学分类汇编(全国通用)(完结)
专题08函数的图象与性质(解析版)_2.2025数学总复习_2025年新高考资料_专项复习_2024年高考真题和模拟题数学分类汇编(全国通用)(完结)
专题08函数的图象与性质(解析版)_2.2025数学总复习_2025年新高考资料_专项复习_2024年高考真题和模拟题数学分类汇编(全国通用)(完结)
专题08函数的图象与性质(解析版)_2.2025数学总复习_2025年新高考资料_专项复习_2024年高考真题和模拟题数学分类汇编(全国通用)(完结)
专题08函数的图象与性质(解析版)_2.2025数学总复习_2025年新高考资料_专项复习_2024年高考真题和模拟题数学分类汇编(全国通用)(完结)
专题08函数的图象与性质(解析版)_2.2025数学总复习_2025年新高考资料_专项复习_2024年高考真题和模拟题数学分类汇编(全国通用)(完结)
专题08函数的图象与性质(解析版)_2.2025数学总复习_2025年新高考资料_专项复习_2024年高考真题和模拟题数学分类汇编(全国通用)(完结)
专题08函数的图象与性质(解析版)_2.2025数学总复习_2025年新高考资料_专项复习_2024年高考真题和模拟题数学分类汇编(全国通用)(完结)
专题08函数的图象与性质(解析版)_2.2025数学总复习_2025年新高考资料_专项复习_2024年高考真题和模拟题数学分类汇编(全国通用)(完结)
专题08函数的图象与性质(解析版)_2.2025数学总复习_2025年新高考资料_专项复习_2024年高考真题和模拟题数学分类汇编(全国通用)(完结)
专题08函数的图象与性质(解析版)_2.2025数学总复习_2025年新高考资料_专项复习_2024年高考真题和模拟题数学分类汇编(全国通用)(完结)
专题08函数的图象与性质(解析版)_2.2025数学总复习_2025年新高考资料_专项复习_2024年高考真题和模拟题数学分类汇编(全国通用)(完结)
专题08函数的图象与性质(解析版)_2.2025数学总复习_2025年新高考资料_专项复习_2024年高考真题和模拟题数学分类汇编(全国通用)(完结)
专题08函数的图象与性质(解析版)_2.2025数学总复习_2025年新高考资料_专项复习_2024年高考真题和模拟题数学分类汇编(全国通用)(完结)
专题08函数的图象与性质(解析版)_2.2025数学总复习_2025年新高考资料_专项复习_2024年高考真题和模拟题数学分类汇编(全国通用)(完结)
专题08函数的图象与性质(解析版)_2.2025数学总复习_2025年新高考资料_专项复习_2024年高考真题和模拟题数学分类汇编(全国通用)(完结)
专题08函数的图象与性质(解析版)_2.2025数学总复习_2025年新高考资料_专项复习_2024年高考真题和模拟题数学分类汇编(全国通用)(完结)
专题08函数的图象与性质(解析版)_2.2025数学总复习_2025年新高考资料_专项复习_2024年高考真题和模拟题数学分类汇编(全国通用)(完结)
专题08函数的图象与性质(解析版)_2.2025数学总复习_2025年新高考资料_专项复习_2024年高考真题和模拟题数学分类汇编(全国通用)(完结)
专题08函数的图象与性质(解析版)_2.2025数学总复习_2025年新高考资料_专项复习_2024年高考真题和模拟题数学分类汇编(全国通用)(完结)

文档信息

文档格式
docx
文档大小
1.963 MB
文档页数
39 页
上传时间
2026-03-12 18:08:38

文档内容

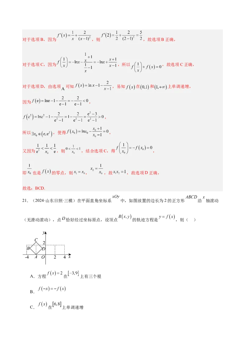
专题 08 函数的图象与性质 1.(新课标全国Ⅰ卷)已知函数为 ,在R上单调递增,则a取值的范围是 ( ) A. B. C. D. 【答案】B 【分析】根据二次函数的性质和分界点的大小关系即可得到不等式组,解出即可. 【详解】因为 在 上单调递增,且 时, 单调递增, 则需满足 ,解得 , 即a的范围是 . 故选:B. 2.(新课标全国Ⅰ卷)已知函数为 的定义域为R, ,且当 时 , 则下列结论中一定正确的是( ) A. B. C. D. 【答案】B 【分析】代入得到 ,再利用函数性质和不等式的性质,逐渐递推即可判断. 【详解】因为当 时 ,所以 , 又因为 ,则 , , , , ,则依次下去可知 ,则B正确; 且无证据表明ACD一定正确. 故选:B. 【点睛】关键点点睛:本题的关键是利用 ,再利用题目所给的函数性质 ,代入函数值再结合不等式同向可加性,不断递推即可. 3.(新课标全国Ⅱ卷)设函数 , ,当 时,曲线 与 恰有一个交点,则 ( ) A. B. C.1 D.2 【答案】D 【分析】解法一:令 ,分析可知曲线 与 恰有一个交点,结合 偶函数的对称性可知该交点只能在y轴上,即可得 ,并代入检验即可;解法二:令 ,可知 为偶函数,根据偶函数的对称性可知 的零点只能为0,即可 得 ,并代入检验即可. 【详解】解法一:令 ,即 ,可得 , 令 , 原题意等价于当 时,曲线 与 恰有一个交点, 注意到 均为偶函数,可知该交点只能在y轴上,可得 ,即 ,解得 , 若 ,令 ,可得 因为 ,则 ,当且仅当 时,等号成立, 可得 ,当且仅当 时,等号成立, 则方程 有且仅有一个实根0,即曲线 与 恰有一个交点, 所以 符合题意; 综上所述: . 解法二:令 , 原题意等价于 有且仅有一个零点, 因为 , 则 为偶函数, 根据偶函数的对称性可知 的零点只能为0, 即 ,解得 , 若 ,则 , 又因为 当且仅当 时,等号成立, 可得 ,当且仅当 时,等号成立, 即 有且仅有一个零点0,所以 符合题意; 故选:D. 4.(新课标全国Ⅱ卷)设函数 ,若 ,则 的最小值为( )A. B. C. D.1 【答案】C 【分析】解法一:由题意可知: 的定义域为 ,分类讨论 与 的大小关系,结合符号 分析判断,即可得 ,代入可得最值;解法二:根据对数函数的性质分析 的符号,进而可得 的符号,即可得 ,代入可得最值. 【详解】解法一:由题意可知: 的定义域为 , 令 解得 ;令 解得 ; 若 ,当 时,可知 , 此时 ,不合题意; 若 ,当 时,可知 , 此时 ,不合题意; 若 ,当 时,可知 ,此时 ; 当 时,可知 ,此时 ; 可知若 ,符合题意; 若 ,当 时,可知 , 此时 ,不合题意; 综上所述: ,即 , 则 ,当且仅当 时,等号成立, 所以 的最小值为 ; 解法二:由题意可知: 的定义域为 , 令 解得 ;令 解得 ; 则当 时, ,故 ,所以 ;时, ,故 ,所以 ; 故 , 则 , 当且仅当 时,等号成立, 所以 的最小值为 . 故选:C. 【点睛】关键点点睛:分别求 、 的根,以根和函数定义域为临界,比较大小分类讨论, 结合符号性分析判断. 5.(全国甲卷数学(理)(文))函数 在区间 的大致图象为( ) A. B. C. D. 【答案】B 【分析】利用函数的奇偶性可排除A、C,代入 可得 ,可排除D. 【详解】 , 又函数定义域为 ,故该函数为偶函数,可排除A、C, 又 , 故可排除D.故选:B. 6.(新高考北京卷)已知 , 是函数 图象上不同的两点,则下列正确的是( ) A. B. C. D. 【答案】A 【分析】根据指数函数和对数函数的单调性结合基本不等式分析判断AB;举例判断CD即可. 【详解】由题意不妨设 ,因为函数 是增函数,所以 ,即 , 对于选项AB:可得 ,即 , 根据函数 是增函数,所以 ,故A正确,B错误; 对于选项C:例如 ,则 , 可得 ,即 ,故C错误; 对于选项D:例如 ,则 , 可得 ,即 ,故D错误, 故选:A. 7.(新高考天津卷)设 ,则“ ”是“ ”的( ) A.充分不必要条件 B.必要不充分条件 C.充要条件 D.既不充分也不必要条件 【答案】C 【分析】说明二者与同一个命题等价,再得到二者等价,即是充分必要条件. 【详解】根据立方的性质和指数函数的性质, 和 都当且仅当 ,所以二者互为充要条件. 故选:C. 8.(新高考天津卷)下列函数是偶函数的是( )A. B. C. D. 【答案】B 【分析】根据偶函数的判定方法一一判断即可. 【详解】对A,设 ,函数定义域为 ,但 , ,则 ,故 A错误; 对B,设 ,函数定义域为 , 且 ,则 为偶函数,故B正确; 对C,设 ,函数定义域为 ,不关于原点对称, 则 不是偶函数,故C错误; 对D,设 ,函数定义域为 ,因为 , , 则 ,则 不是偶函数,故D错误. 故选:B. 9.(新高考天津卷)若 ,则 的大小关系为( ) A. B. C. D. 【答案】B 【分析】利用指数函数和对数函数的单调性分析判断即可. 【详解】因为 在 上递增,且 , 所以 , 所以 ,即 , 因为 在 上递增,且 , 所以 ,即 ,所以 , 故选:B 10.(新高考上海卷)已知函数 的定义域为R,定义集合 , 在使得 的所有 中,下列成立的是( ) A.存在 是偶函数 B.存在 在 处取最大值 C.存在 是严格增函数 D.存在 在 处取到极小值 【答案】B 【分析】对于ACD利用反证法并结合函数奇偶性、单调性以及极小值的概念即可判断,对于B,构造函数 即可判断. 【详解】对于A,若存在 是偶函数, 取 , 则对于任意 , 而 , 矛盾, 故 A 错误; 对于B,可构造函数 满足集合 , 当 时,则 ,当 时, ,当 时, , 则该函数 的最大值是 ,则B正确; 对C,假设存在 ,使得 严格递增,则 ,与已知 矛盾,则C错误; 对D,假设存在 ,使得 在 处取极小值,则在 的左侧附近存在 ,使得 , 这与已知集合 的定义矛盾,故D错误; 故选:B.11.(新高考北京卷)生物丰富度指数 是河流水质的一个评价指标,其中 分别表示河流中的 生物种类数与生物个体总数.生物丰富度指数d越大,水质越好.如果某河流治理前后的生物种类数 没有 变化,生物个体总数由 变为 ,生物丰富度指数由 提高到 ,则( ) A. B. C. D. 【答案】D 【分析】根据题意分析可得 ,消去 即可求解. 【详解】由题意得 ,则 ,即 ,所以 . 故选:D. 12.(全国甲卷数学(理)(文))已知 , ,则 . 【答案】64 【分析】将 利用换底公式转化成 来表示即可求解. 【详解】由题 ,整理得 , 或 ,又 , 所以 ,故 故答案为:64. 13.(新高考天津卷)若函数 有唯一零点,则 的取值范围为 . 【答案】【分析】结合函数零点与两函数的交点的关系,构造函数 与 ,则两函 数图象有唯一交点,分 、 与 进行讨论,当 时,计算函数定义域可得 或 ,计 算可得 时,两函数在 轴左侧有一交点,则只需找到当 时,在 轴右侧无交点的情况即 可得;当 时,按同一方式讨论即可得. 【详解】令 ,即 , 由题可得 , 当 时, ,有 ,则 ,不符合要求,舍去; 当 时,则 , 即函数 与函数 有唯一交点, 由 ,可得 或 , 当 时,则 ,则 , 即 ,整理得 , 当 时,即 ,即 , 当 , 或 (正值舍去), 当 时, 或 ,有两解,舍去, 即当 时, 在 时有唯一解, 则当 时, 在 时需无解,当 ,且 时, 由函数 关于 对称,令 ,可得 或 , 且函数 在 上单调递减,在 上单调递增, 令 ,即 , 故 时, 图象为双曲线 右支的 轴上方部分向右平移 所得, 由 的渐近线方程为 , 即 部分的渐近线方程为 ,其斜率为 , 又 ,即 在 时的斜率 , 令 ,可得 或 (舍去), 且函数 在 上单调递增, 故有 ,解得 ,故 符合要求; 当 时,则 ,即函数 与函数 有唯一交点, 由 ,可得 或 , 当 时,则 ,则 , 即 ,整理得 , 当 时,即 ,即 , 当 , (负值舍去)或 , 当 时, 或 ,有两解,舍去, 即当 时, 在 时有唯一解, 则当 时, 在 时需无解, 当 ,且 时, 由函数 关于 对称,令 ,可得 或 , 且函数 在 上单调递减,在 上单调递增, 同理可得: 时, 图象为双曲线 左支的 轴上方部分向左平移 所得, 部分的渐近线方程为 ,其斜率为 , 又 ,即 在 时的斜率 ,令 ,可得 或 (舍去), 且函数 在 上单调递减, 故有 ,解得 ,故 符合要求; 综上所述, . 故答案为: . 【点睛】关键点点睛:本题关键点在于将函数 的零点问题转化为函数 与函数 的交点问题,从而可将其分成两个函数研究. 14.(新高考上海卷)已知 则 . 【答案】 【分析】利用分段函数的形式可求 . 【详解】因为 故 , 故答案为: . 15.(新高考上海卷)已知 , ,且 是奇函数,则 . 【答案】 【分析】根据奇函数的性质可求参数 . 【详解】因为 是奇函数,故 即 , 故 ,故答案为: . 16.(新高考上海卷)若 . (1) 过 ,求 的解集; (2)存在 使得 成等差数列,求 的取值范围. 【答案】(1) (2) 【分析】(1)求出底数 ,再根据对数函数的单调性可求不等式的解; (2)存在 使得 成等差数列等价于 在 上有解,利用换 元法结合二次函数的性质可求 的取值范围. 【详解】(1)因为 的图象过 ,故 ,故 即 (负的舍去), 而 在 上为增函数,故 , 故 即 , 故 的解集为 . (2)因为存在 使得 成等差数列, 故 有解,故 , 因为 ,故 ,故 在 上有解, 由 在 上有解, 令 ,而 在 上的值域为 , 故 即 .一、单选题 1.(2024·北京·三模)下列函数中,是偶函数且在区间 上单调递增的是( ) A. B. C. D. 【答案】C 【分析】根据题意,结合函数奇偶性的定义和判定方法,结合初等函数的单调性,逐项判定,即可求解. 【详解】对于A中,由指数函数的性质,可得函数 为非奇非偶函数,所以A不符合题意; 对于B中,函数 的定义域为 关于原点对称, 且 ,所以 为奇函数,所以B不符合题意; 对于C中,函数 的定义域为 关于原点对称,且满足 ,所以 为 偶函数, 当 时, ,在区间 上单调递增,所以C符合题意; 对于D中,函数 在期间 上不是单调递增函数,所以D不符合题意. 故选:C. 2.(2024·河南·三模)设函数 的定义域为 为奇函数, 为偶函数,若 1,则 ( ) A.1 B. C.0 D. 【答案】D 【分析】根据函数的奇偶性可得 的图象关于点 中心对称且关于直线 轴对称,进而得 的周期为4,即可求解.【详解】因为 为奇函数,所以 , 所以 的图象关于点 中心对称,则 . 因为 为偶函数,所以 , 所以 的图象关于直线 轴对称. 由 ,得 , 所以 ,则 , 则 的周期为4, ,则 . 故选:D 【点睛】方法点睛:抽象函数的奇偶性、对称性、周期性常有以下结论 (1) 关于 轴对称, (2) 关于 中心对称, (3) 的一个周期为 , (4) 的一个周期为 . 可以类比三角函数的性质记忆以上结论. 3.(2024·山东·模拟预测)函数 的图象大致为( ) A. B. C. D.【答案】C 【分析】求出函数 的定义域及奇偶性,再由奇偶性在 内函数值的正负判断即可. 【详解】依题意,函数 的定义域为 , ,则 是奇函数,其图象关于原点对称,B不满足; 当 时, ,则 ,AD不满足,C满足. 故选:C 4.(2024·湖北·模拟预测)已知函数 ,则 ( ) A. B. C. D. 【答案】A 【分析】根据分段函数的形式,结合对数和指数运算公式,即可求解. 【详解】 , 故选:A 5.(2024·河北保定·二模)函数 的部分图象大致为( ) A. B.C. D. 【答案】A 【分析】根据函数的奇偶性判断即可. 【详解】设 ,则 , 所以 为奇函数, 设 ,可知 为偶函数, 所以 为奇函数,则B,C错误, 易知 ,所以A正确,D错误. 故选:A. 6.(2024·四川内江·三模)已知函数 的定义域为R,对任意实数x都有 成立,且函数 为偶函数, ,则 ( ) A.-1 B.0 C.1012 D.2024 【答案】B 【分析】利用抽象函数的奇偶性、周期性、对称性计算即可. 【详解】由 ,即 的一个周期为4, 由 为偶函数可知 关于 轴对称,即 , 又 可知 , 所以 ,显然 , 所以 . 故选:B 7.(2024·湖北·模拟预测)已知某函数的部分图象如图所示,则下列函数中符合此图象的为( ) A. B. C. D. 【答案】A 【分析】利用排除法,根据选项代特值检验即可. 【详解】设题设函数为 ,由选项可知:ABCD中的函数定义域均为 , 对于选项D:若 ,但此时 ,矛盾,故可排除D; 对于选项C:若 ,但此时 ,矛盾,故可排除C; 对于选项B:若 ,但此时 ,矛盾,故可排除B. 故选:A. 8.(2024·河北衡水·模拟预测)已知函数 若关于 的方程 有5个不 同的实数根,则 的取值范围是( ) A. B. C. D. 【答案】A【分析】直线 与函数 的图象有5个交点,可得 是奇函数,可 得只需直线 与曲线 有2个交点即可,即方程 有2个实数根,利用导数即 可求解. 【详解】由题意得 ,则直线 与函数 的图象有5个交点. 显然,直线 与 的图象交于点 . 又当 时, ; 当 时, ; 当 时, ,所以 是奇函数, 则必须且只需直线 与曲线 有2个交点即可, 所以方程 有2个实数根.令 ,则 , 当 时, 单调递减; 当 时, 单调递增, 所以 . 又当 趋近于0时, ,所以 ; 当 趋近于 时, , 所以必须且只需 . 【点睛】方法点睛:已知函数有零点(方程有根)求参数值(取值范围)常用的方法:直接法;分离参数法;数 形结合法.9.(2024·浙江温州·三模)已知函数 ,则关于 方程 的根个数不可 能是( ) A.0个 B.1个 C.2个 D.3个 【答案】C 【分析】将原问题转化为直线 与函数 的图象交点的个数,作出 的图象,分 、 、 三种情况,结合图象求解即可. 【详解】作出函数 的图象,如图所示: 将原问题转化为直线 (过定点 )与函数 的图象交点的个数, 由图可知,当 时,直线 与函数 的图象只有一个交点; 当 时,直线 与函数 的图象没有交点; 当 时,直线 与函数 的图象有三个交点; 所以直线 与函数 的图象不可能有两个交点. 故选:C. 10.(2024·辽宁葫芦岛·二模)已知函数 , ,若关于x的方程 有三个不同实数根,则实数t的取值范围是( ) A. B. C. D. 【答案】B【分析】令 ,作出函数 的图象,结合图象得出关于 的方程 根的情况,再根据一 元二次方程根的分布情况分类讨论即可得解. 【详解】如图,作出函数 的图象, 令 , 由图可知,当 时,关于 的方程 有 个不同的实数根, 当 或 时,关于 的方程 只有 个实数根, 因为关于x的方程 有三个不同实数根, 所以关于 的方程 的一个根在 上,另一个根在 上, 或方程的两个根一个为 ,另一个在 上, 若 为方程 的根时,则 , 当 时,方程的另一个根为 ,不符题意, 当 时,方程的另一个根为 ,不符题意, 若 为方程 的根时,则 或 , 当 时,方程的另一个根为 ,不符题意, 当 时,方程只有一个根为 ,不符题意, 若关于 的方程 的一个根在 上,另一个在 上时, 令 ,则 ,即 ,解得 , 综上所述,实数t的取值范围是 . 故选:B. 【点睛】方法点睛:本题考查利用二次函数的零点分布求参数,一般要分析以下几个要素: (1)二次项系数的符号; (2)判别式; (3)对称轴的位置; (4)区间端点函数值的符号. 结合图象得出关于参数的不等式组求解. 11.(2024·江西南昌·三模)若 , , ,则正数 大小关系是( ) A. B. C. D. 【答案】B 【分析】将问题转化为函数与函数的交点的横坐标,再数形结合即可判断. 【详解】由 ,则 为 与 交点的横坐标, 由 ,则 为 与 交点的横坐标, 由 ,即 ,则 为 与 交点的横坐标, 作出 , , , 的图象如下所示,由图可知, . 故选:B 12.(2024·安徽·三模)若 , , ,则( ) A. B. C. D. 【答案】D 【分析】根据对数函数的性质有 ,可比较 ,然后 再与2比较大小,可得结果. 【详解】依题意, ,故 ;而 , 故 , 故选:D. 二、多选题 13.(2024·山东泰安·模拟预测)已知函数 ,则( ) A. 是 上的增函数 B.函数 有且仅有一个零点 C.函数 的最小值为 D. 存在唯一个极值点 【答案】BD 【分析】对于A:求导,代特值检验即可;对于B:分 、 和 三种情况,结合函数值的符号 分析判断零点;对于C:分 、 和 三种情况,可得 ,即可判断;对于D:根据 的单调性,结合零点存在性定理分析可知 ,使 ,进而判断 的单调性和极值. 【详解】对于选项A:因为 ,则 ,当 时,则 , 可得 , 即 ,所以 不是 上的增函数,故A错误; 对于选项B:因为 , 当 时, ,可知 是 的零点; 当 时, ,可知 在 内无零点; 当 时, ,则 , 可得 ,可知 在 内无零点; 综上所述:函数 有且仅有一个零点,故B正确; 对于选项C:当 时, ; 当 时, ; 当 时,则 , ,可得 , 综上所述: ,所以 不是函数 的最小值,故C错误; 对于选项D:因为 , , 所以 的符号决定于 , 显然 是 上的增函数, 又因为当 时, ;当 时, , 所以 ,使 , 所以 在 上为减函数,在 上为增函数. 所以 有唯一极小值点. 故D正确. 故选 :BD. 14.(2024·河南·三模)定义在 上的函数 满足 ,则( ) A. B. C. 为奇函数 D. 单调递增 【答案】BCD 【分析】利用赋值法可求 及 ,故可判断各项的正误,也可以由题意得 ,结合条件 推出 的解析式,进而即可求解 判断ABCD四个选项. 【详解】法1:令 ,则 , 令 ,则 , 若 或 , 若 ,则 即 , 由 的任意性可得 不恒成立,故 不成立,故 , 故A错误,B正确. 令 ,则 , 故 为奇函数,且 ,它为 上的增函数,故CD正确. 法2:由条件 ,得 , 由 的任意性得 为常数, 故代回去 得: , 所以由 的任意性只能 ,即 ,为增函数, 所以 , 为奇函数, 故A错,BCD对. 故选:BCD. 15.(2024·广西来宾·模拟预测)已知定义在R上的函数 满足 ,且 ,则( ) A. B. 为奇函数 C. 不存在零点 D. 【答案】ACD 【分析】根据题意,结合抽象函数的赋值法,列出方程,逐项判定,即可求解. 【详解】对于A中,由 ,令 ,可得 , 因为 ,所以 ,所以A正确; 对于B中,函数 的定义域为全体实数,由 ,显然不符合 , 所以函数 不是奇函数,所以B不正确; 对于C中,由 ,令 ,可得 ,即 ,解得 或 , 所以函数 没有零点,所以C正确; 对于D中,由 , 令 ,可得 ,所以 ,即 , 所以D正确. 故选:ACD. 16.(2024·重庆·三模)已知实数 满足 ,则( ) A. B. C. D. 【答案】C 【分析】先依据题目所给条件得 ,所以对于A,依据函数 的增减性即可判断;对于 B、D,对 取特殊值为 即可判断;对于C,由 可直接判断. 【详解】因为 , 所以 ,又 为增函数,故 , 对于A,因为 为减函数,所以 ,故A错误; 对于B,当 时, ,故B错误; 对于C, ,故C正确; 对于D,当 时,且 与 均为增函数,所以 ,此时 ,故D错误. 故选:C. 17.(2024·湖南怀化·二模)已知函数 的零点为 的零点为 ,则( ) A. B. C. D. 【答案】BC 【分析】利用函数零点的意义,结合函数 与 互为反函数,确定 的关系,再逐项分析判断 得解. 【详解】依题意, , , 则 分别是直线 与函数 , 图象交点的横坐标, 而函数 与 互为反函数,它们的图象关于直线 对称, 又直线 垂直于直线 ,则点 与点 关于直线 对称, 则 ,于是 , , ,BC正确,A错误; ,即 ,D错误. 故选:BC 18.(2024·河南·三模)已知函数 ,则( )A. 的定义域为 B. 的值域为 C. D. 的单调递增区间为 【答案】ABC 【分析】根据函数的解析式,求出函数的定义域值域即可判断A、B,求出 利用对数运算法 则即可求解C,根据复合函数的单调性即可判断D. 【详解】对AB,由 ,得 ,则 的定义域为 ,值域为 ,A,B均正确; 对C, ,C正确; 对D,因为 ,所以 ,外层函数为增函数, ,令 ,所以函数定义域为 , 内层函数 ,在 上单调递增, 上单调递减, 所以 的单调递增区间为 不是 D错误. 故选:ABC 19.(2024·吉林长春·模拟预测)已知函数 ,则下列说法正确的是( ) A.函数 单调递增 B.函数 值域为 C.函数 的图象关于 对称 D.函数 的图象关于 对称【答案】ABD 【分析】根据复合函数单调性的判断方法,即可判断A,根据函数形式的变形,根据指数函数的值域,求 解函数的值域,即可判断B,根据对称性的定义, 与 的关系,即可判断CD. 【详解】 , 函数 , ,则 , 又内层函数 在 上单调递增,外层函数 在 上单调递增, 所以根据复合函数单调性的法则可知,函数 单调递增,故A正确; 因为 ,所以 ,则 ,所以函数 的值域为 ,故B正确; , ,所以函数 关于点 对称,故C错误,D 正确. 故选:ABD 20.(2024·广东广州·二模)已知函数 ,则( ) A. 的定义域为 B. 的图象在 处的切线斜率为 C. D. 有两个零点 ,且 【答案】BCD 【分析】根据题意直接求出 的范围即可判断 ;求出导函数,进而求得 即可判断B;求得 即 可判断C;易知 的单调性,结合零点存在定理及C即可判断D. 【详解】由题意, , 对于选项A,易知 且 ,故选项A错误,对于选项B,因为 ,则 ,故选项B正确, 对于选项C,因为 ,所以 ,故选项C正确, 对于选项D,由选项 可知 ,易知 在 和 上单调递增, 因为 , , 所以 ,使得 , 又因为 ,则 ,结合选项C,得 , 即 也是 的零点,则 , ,故 ,故选项D正确, 故选:BCD. 21.(2024·山东日照·三模)在平面直角坐标系 中,如图放置的边长为2的正方形 沿 轴滚动 (无滑动滚动),点 恰好经过坐标原点,设顶点 的轨迹方程是 ,则( ) A.方程 在 上有三个根 B. C. 在 上单调递增D.对任意 ,都有 【答案】AC 【分析】根据正方形的运动,得到点B的轨迹,然后根据函数的图象和性质分别进行判断即可. 【详解】分析正方形顶点 的运动状态可知, 当 时, 的轨迹是以 为圆心,半径为2的 圆; 当 时, 的轨迹是以 为圆心,半径为 的 圆; 当 时, 的轨迹是以 为圆心,半径为2的 圆; 当 时, 的轨迹是以 为圆心,半径为2的 圆, 作出函数的图象如下图所示: 由图知:函数 的图象与直线 在 上有三个交点, 即方程 在 上有三个根,A正确; 函数 的图象关于 轴对称,所以函数 是偶函数,B错误; 函数 在 上单调递增,C正确; 由图象知: , , ,D错误. 故选:AC. 三、填空题 22.(2024·四川雅安·三模)已知函数 是偶函数,则实数 . 【答案】 【分析】根据偶函数的定义,即可列关系式求解.【详解】 定义域为 , , 所以 , 故 , 故答案为: 23.(2024·山东济宁·三模)已知函数 ,则 . 【答案】 【分析】利用已知的分段函数,可先求 ,再求 即可. 【详解】因为 ,所以 . 所以 . 故答案为: . 24.(2024·宁夏银川·二模)已知函数 的图象关于直线 对称,则 . 【答案】 /0.75 【分析】求出函数 的定义域,利用对称性的特征可得定义域关于数 对称,再利用特值求出 并验证 即得. 【详解】函数 的定义域为 , 由函数 的图象关于直线 对称,得 的定义域关于数 对称,则 ,此时必有 ,即 ,解得 , 此时 , 因此函数 的图象关于直线 对称,即 满足题意, 所以 . 故答案为: 25.(2024·广东广州·三模)函数 ,其中 且 ,若函数是单调函数,则 a的一个可能取值为 . 【答案】4(答案不唯一) 【分析】根据题意, 在R上单调递增,根据分段函数单调性列式求解. 【详解】因为 且 ,若函数是单调函数,结合二次函数可知: 在R上单调递增, ,解得 . 故答案为:4(答案不唯一). 26.(2024·四川内江·三模)若函数 是奇函数,则 . 【答案】 【分析】利用奇函数定义,结合分段函数分段探讨求解即得. 【详解】函数 是奇函数, , 当 时, , , 而当 时, ,则 ,当 时, , , 而当 时, ,则 , 所以 , . 故答案为: 27.(2024·河北保定·三模)定义在 上的函数 满足 为偶函数, 为奇函数,且当 时, .当 时,函数 与 图象的交点个数为 . 【答案】4 【分析】根据题意,推出函数 的对称性和周期性,再利用作图即得. 【详解】因为函数 的定义域为 ,且 为偶函数, 为奇函数,所以 , , 则 的图象关于直线 对称,也关于点 对称,所以 , , 故有 ,则 ,从而, ,即函数 是周期为 8的周期函数. 根据函数的对称性和周期性,可以画出函数 和 在 上的图象(如图). 由图可知 与 的图象在 上有4个交点. 故答案为:4.【点睛】思路点睛:本题主要考查抽象函数的对称性和周期性应用,属于难题. 解题思路在于,根据函数的奇偶性,写出抽象函数满足的等式,据此推出函数的轴对称或中心对称特点, 再利用条件推得函数的周期性,最后利用这些性质作图即得. 28.(2024·上海·三模)设 ,若在区间 上,关于x的不等式 有意义且能恒成立,则t的 取值范围为 . 【答案】 【分析】根据 在 上恒成立,故 ,分 时,满足要求,当 时,变形为 在 上恒成立,构造 , ,根据函数单调性得到 ,从而得到 ,得到答案. 【详解】由题意得 在 上有意义,故 在 上恒成立, 故 , 当 时, ,而 ,满足 ,符合题意, 当 时, , 在 上恒成立, 令 , , 其中 在 上单调递减, 故 , 故 , 综上,t的取值范围是 ,故答案为: 29.(2024·湖南长沙·二模)若平面直角坐标系内 两点满足: (1)点 都在 的图象上; (2)点 关于原点对称,则称点对 是函数 的一个“姊妹点对”,且点对 与 记为一个“姊 妹点对”. 已知函数 ,则 的“姊妹点对”有 个. 【答案】2 【分析】问题转化为 关于原点对称的函数与 在 交点的个数,先求出 关于原点对称的函数 ,利用导数方法求出 在 解的个数,即可得出结论. 【详解】设 是 关于原点对称函数图象上的点, 则点P关于原点的对称点为 在 上, ,设 ,“姊妹点对”的个数即为 与 在 交点的个数, 于是 ,即 ,令 , 由 ,得 ,即 ,于是只考虑 即可, 求导得 ,显然函数 在区间 上单调递增, 而 , ,则存在 使得 , 当 单调递减, 单调递增, 而 , , , 因此函数 在区间 , 分别各有一个零点, 所以函数 的“姊妹点对”有2个.故答案为:2 【点睛】思路点睛:函数的新定义,等价转化为函数图象的交点,利用函数导数研究单调性,结合零点存 在性定理是解题的关键. 30.(2024·河北秦皇岛·三模)已知奇函数 的定义域为 , ,且 ,则 在 上的零点个数的最小值为 . 【答案】9 【分析】由 结合 是奇函数可求出 的周期为3,即可求出 ,再由 的对称性和周期性可得 . 【详解】由 ,可得 的图象关于点 对称, 又 是奇函数,所以 , 则 的周期为3,所以 , , 而 ,则 . 故 在 上的零点个数的最小值为9. 故答案为:9.