当前位置:首页>文档>第一部分 第一章 训练3 等高线地形图的应用_9.2025地理总复习_2024年新高考资料_1.2024一轮复习_2024年高考地理一轮复习讲义(新人教版)_学生版在此文件夹_一轮复习89练

第一部分 第一章 训练3 等高线地形图的应用_9.2025地理总复习_2024年新高考资料_1.2024一轮复习_2024年高考地理一轮复习讲义(新人教版)_学生版在此文件夹_一轮复习89练

  • 2026-03-22 04:30:39 2026-03-13 14:47:42

文档预览

第一部分 第一章 训练3 等高线地形图的应用_9.2025地理总复习_2024年新高考资料_1.2024一轮复习_2024年高考地理一轮复习讲义(新人教版)_学生版在此文件夹_一轮复习89练
第一部分 第一章 训练3 等高线地形图的应用_9.2025地理总复习_2024年新高考资料_1.2024一轮复习_2024年高考地理一轮复习讲义(新人教版)_学生版在此文件夹_一轮复习89练
第一部分 第一章 训练3 等高线地形图的应用_9.2025地理总复习_2024年新高考资料_1.2024一轮复习_2024年高考地理一轮复习讲义(新人教版)_学生版在此文件夹_一轮复习89练
第一部分 第一章 训练3 等高线地形图的应用_9.2025地理总复习_2024年新高考资料_1.2024一轮复习_2024年高考地理一轮复习讲义(新人教版)_学生版在此文件夹_一轮复习89练
第一部分 第一章 训练3 等高线地形图的应用_9.2025地理总复习_2024年新高考资料_1.2024一轮复习_2024年高考地理一轮复习讲义(新人教版)_学生版在此文件夹_一轮复习89练

文档信息

文档格式
docx
文档大小
1.761 MB
文档页数
5 页
上传时间
2026-03-13 14:47:42

文档内容

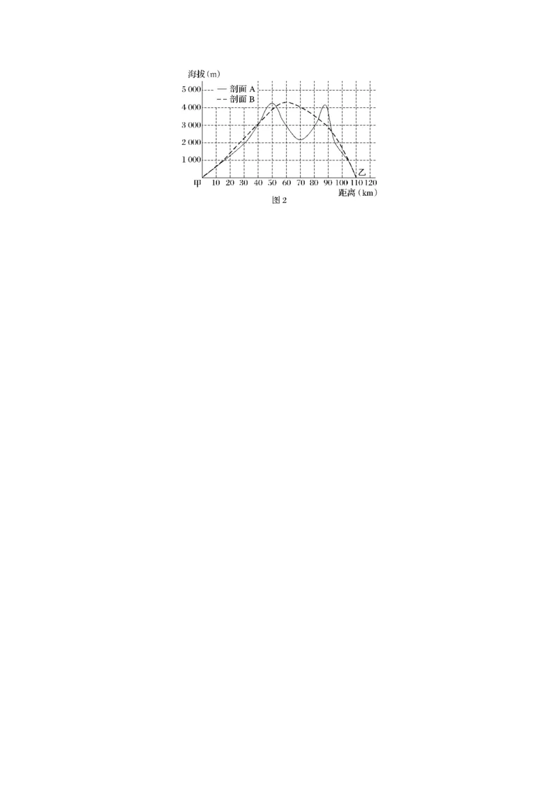
训练 3 等高线地形图的应用 八达岭长城是举世闻名的万里长城中非常雄伟壮观的一段,而穿行该区的京张铁路是完 全由中国人自己设计建造的第一条铁路,其“人”字形的设计更是彰显了中国人的智慧。读 图,完成1~3题。 1.从图中可以看出,长城的走向特点为( ) A.沿等高线 B.沿山脊线 C.沿山谷线 D.连接聚落 2.图中能眺望到“八达岭关城”的地点是( ) A.甲地 B.乙地 C.丙地 D.丁地 3.图中“人”字形铁路线的设计目的是( ) A.避开河流,节省建设桥梁的成本 B.绕过山岭,减少开挖隧道的成本 C.既方便停靠车站,又可降低坡度 D.尽量平行于等高线,缩短运输距离 (2023·江苏淮安模拟)千年古镇丙安因赤水河中游的大险滩——丙滩而得名,曾因川盐 入黔途经之地而快速发展,后随盐路改道而发展缓慢。下面图1为某旅游爱好者拍摄的丙安 古镇的照片,图2为“丙滩及其附近地区地形示意图”。据此完成4~5题。4.拍摄照片的位置位于图2中的( ) A.① B.② C.③ D.④ 5.关于丙安古镇描述正确的是( ) A.位于临江而建的滩地,有利于船舶装卸货物 B.三面临水,有利于军事防御 C.古镇所处位置地质灾害频发 D.位于河流南岸,流水侵蚀作用强 通济堰是浙江南部山区一处古老的水利工程,主要由拱形堰坝、进水闸、排沙门、引水 桥和水渠等组成。研究发现,堰坝呈拱形使得河水对坝体的冲击力被引向河岸(图1)。图2 示意甲地引水桥景观。据此完成6~8题。 6.图中水渠的流向为( ) A.由西南流向东北 B.由东北流向西南 C.由西北流向东南 D.由东南流向西北7.为使排沙防淤的效果更好,排沙门设置的位置及原因是( ) A.①处 靠近进水闸,有助于减少泥沙入渠 B.①处 水流冲击力较小,有利于泥沙淤积 C.②处 河水受堰坝阻滞和引流,含沙量大 D.②处 河流中心水流速度较快,利于排沙 8.甲地引水桥的主要作用是( ) A.提供休闲娱乐场所 B.方便当地居民出行 C.保障溪流水流通畅 D.防止水渠淤积泥沙 下图所示区域位于我国东部,受天气影响,图中东阳河河水时清时黄,当该河流量偏大、 水色泛黄时,图中所示区域可观测到“白日依山尽,黄河入海流”的独特景象。某中学地理 社团成员9月23日来到图示区域开展研学活动,并选择好观测点进行观测。据此回答9~10 题。 9.该社团有四名成员分别位于甲、乙、丙、丁四处,受地形影响,在观测点只能看到其中 一处的成员,该处是( ) A.甲 B.乙 C.丙 D.丁 10.在图中观测点观测到“白日依山尽”时,落日位于图中( ) A.① B.② C.③ D.④ 某中学地理学习小组暑假到我国南方某小流域源头地区进行实地考察,收集到该流域相 关信息如图所示。据此完成11~13题。 11.图中AB、CD两河段长度相同,则两河段流速( ) A.AB段流速较快 B.CD段流速较快 C.两河段流速相等 D.无法比较12.图中P处与湖泊沿岸的高差最接近( ) A.170 m B.180 m C.190 m D.200 m 13.当Q居民点遭受泥石流威胁时,最佳逃生路线是( ) A.1 B.2 C.3 D.4 14.(2023·河北唐山期末)阅读图文材料,完成下列要求。(12分) 小明同学通过查阅资料得知,北太平洋某岛由海底火山爆发而形成,岛上目前仍有数座 活火山,其中海拔4 169米的火山是世界著名的活火山。图1为小明同学绘制的该岛地理位 置及地形示意图。 (1)归纳该岛的地形特征。(4分) (2)估算图中两座火山之间的大致距离并指出这两座火山的山体基本形态。(4分) (3)图2是小明同学以甲、乙两地之间的虚线作为剖面线绘制的地形剖面示意,判断 A、B中 正确示意甲、乙两地之间地形剖面的是哪条?并说明判断理由。(4分)