当前位置:首页>文档>第一部分第四章第1讲课时22 大气的组成与垂直分层 大气受热过程_9.2025地理总复习_2025年新高考资料_一轮复习_2025高考大一轮复习讲义+练习(完结)_大一轮复习讲义

第一部分第四章第1讲课时22 大气的组成与垂直分层 大气受热过程_9.2025地理总复习_2025年新高考资料_一轮复习_2025高考大一轮复习讲义+练习(完结)_大一轮复习讲义

  • 2026-04-04 22:58:25 2026-03-14 00:48:41

文档预览

第一部分第四章第1讲课时22 大气的组成与垂直分层 大气受热过程_9.2025地理总复习_2025年新高考资料_一轮复习_2025高考大一轮复习讲义+练习(完结)_大一轮复习讲义
第一部分第四章第1讲课时22 大气的组成与垂直分层 大气受热过程_9.2025地理总复习_2025年新高考资料_一轮复习_2025高考大一轮复习讲义+练习(完结)_大一轮复习讲义
第一部分第四章第1讲课时22 大气的组成与垂直分层 大气受热过程_9.2025地理总复习_2025年新高考资料_一轮复习_2025高考大一轮复习讲义+练习(完结)_大一轮复习讲义
第一部分第四章第1讲课时22 大气的组成与垂直分层 大气受热过程_9.2025地理总复习_2025年新高考资料_一轮复习_2025高考大一轮复习讲义+练习(完结)_大一轮复习讲义
第一部分第四章第1讲课时22 大气的组成与垂直分层 大气受热过程_9.2025地理总复习_2025年新高考资料_一轮复习_2025高考大一轮复习讲义+练习(完结)_大一轮复习讲义
第一部分第四章第1讲课时22 大气的组成与垂直分层 大气受热过程_9.2025地理总复习_2025年新高考资料_一轮复习_2025高考大一轮复习讲义+练习(完结)_大一轮复习讲义
第一部分第四章第1讲课时22 大气的组成与垂直分层 大气受热过程_9.2025地理总复习_2025年新高考资料_一轮复习_2025高考大一轮复习讲义+练习(完结)_大一轮复习讲义
第一部分第四章第1讲课时22 大气的组成与垂直分层 大气受热过程_9.2025地理总复习_2025年新高考资料_一轮复习_2025高考大一轮复习讲义+练习(完结)_大一轮复习讲义
第一部分第四章第1讲课时22 大气的组成与垂直分层 大气受热过程_9.2025地理总复习_2025年新高考资料_一轮复习_2025高考大一轮复习讲义+练习(完结)_大一轮复习讲义
第一部分第四章第1讲课时22 大气的组成与垂直分层 大气受热过程_9.2025地理总复习_2025年新高考资料_一轮复习_2025高考大一轮复习讲义+练习(完结)_大一轮复习讲义
第一部分第四章第1讲课时22 大气的组成与垂直分层 大气受热过程_9.2025地理总复习_2025年新高考资料_一轮复习_2025高考大一轮复习讲义+练习(完结)_大一轮复习讲义

文档信息

文档格式
docx
文档大小
3.808 MB
文档页数
11 页
上传时间
2026-03-14 00:48:41

文档内容

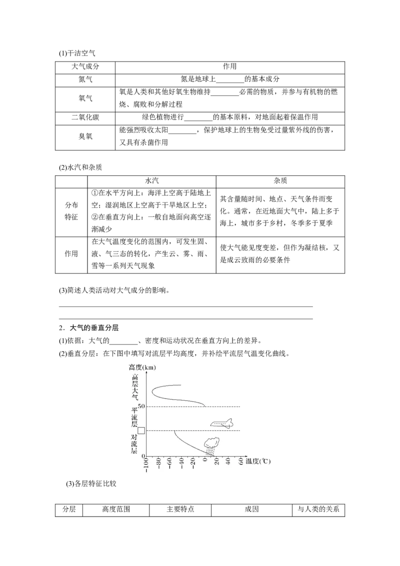
第 1 讲 地球上的大气 [课程标准] 1.运用图表等资料,说明大气的组成和垂直分层,及其与生产和生活的联系。 2.运用示意图等,说明大气受热过程与热力环流原理,并解释相关现象。 [基本概念] 对流层、平流层、高层大气;逆温;反射、散射、吸收;水平气压梯度力、热 力环流。 [基本原理] 大气的受热过程;热力环流形成原理;风向、风力大小判定的基本原理。 [体系架构] 课时 22 大气的组成与垂直分层 大气受热过程 考点 1 大气的组成与垂直分层 1.大气的组成(1)干洁空气 大气成分 作用 氮气 氮是地球上________的基本成分 氧是人类和其他好氧生物维持________必需的物质,并参与有机物的燃 氧气 烧、腐败和分解过程 二氧化碳 绿色植物进行________的基本原料,对地面起着保温作用 能强烈吸收太阳________,保护地球上的生物免受过量紫外线的伤害, 臭氧 又具有杀菌作用 (2)水汽和杂质 水汽 杂质 ①在水平方向上:海洋上空高于陆地上 其含量随时间、地点、天气条件而变 分布 空;湿润地区上空高于干旱地区上空; 化。通常,在近地面大气中,陆上多于 特征 ②在垂直方向上:一般自地面向高空逐 海上,城市多于乡村,冬季多于夏季 渐减少 在大气温度变化的范围内,可发生固、 使大气能见度变差,但作为凝结核,又 作用 液、气三态的转化,产生云、雾、雨、 是成云致雨的必要条件 雪等一系列天气现象 (3)简述人类活动对大气成分的影响。 ________________________________________________________________________ ________________________________________________________________________ 2.大气的垂直分层 (1)依据:大气的________、密度和运动状况在垂直方向上的差异。 (2)垂直分层:在下图中填写对流层平均高度,并补绘平流层气温变化曲线。 (3)各层特征比较 分层 高度范围 主要特点 成因 与人类的关系气温随高度的增 ______是对流层大气主 加而______ 要的直接热源 空气______运动 人类就生活在 对 低纬:17~18千米 该层上部冷下部热 显著 对流层底部, 流 中纬:10~12千米 集中了整个大气质量的 对流层与人类 层 高纬:______千米 ________复杂多 3/4和几乎全部的水 关系________ 变 汽、杂质;对流运动旺 盛 臭氧集中在15~35千米 的气层中,形成臭氧 气温随高度增加 层。该层大气主要靠臭 大气平稳,天 而____________ 氧吸收太阳________增 气晴朗,有利 平 自对流层顶向上至 温 于航空飞机飞 流 50~55千米 大气以水平运动 行;臭氧层有 层 该层大气上部热下部冷 为主 保护地球生命 天气现象 的作用 水汽、杂质含量稀少, ______,能见度 大气平稳 高 自平流层顶部开始,由 60~500千米 于没有吸收紫外线的臭 的高空有若干 气温随高度增加 氧,气温下降;随后, 电离层,电离 高层 平流层顶以上的大 先降低后增加 由于大气吸收了更短波 层能反射 大气 气 长的太阳紫外线,温度 __________, 上升 对远距离无线 气压很低,密度 距地面远,受到的引力 电通信有重要 很小 小 作用 逆温 (1)概念:气温随高度增加而上升的现象,或者随高度的增加气温的垂直递减率小于 6 ℃/km。 (2)类型及成因 类型 成因 特点 地面辐射冷却,在晴朗无云或少云的 辐射逆温 夜晚,地面辐射冷却快,离地面越 大陆上常年均可出现,尤以冬季最强 近,降温越快 平流逆温 暖空气水平移动到冷的地面或水面 越接近地表,降温越快上,而发生的冷接触作用 冷暖气团温度差异显著,暖气团位于 锋面逆温 出现于锋面附近 锋面上部 地形逆温 冷空气沿斜坡向低谷和盆地流动 出现于山谷或盆地 (3)辐射逆温现象的形成及消失过程 ①图a为对流层正常气温垂直分布状况。在晴朗无云或少云的夜晚,地面很快冷却,贴近地 面的大气也随之降温。离地面越近,降温越多;离地面越远,降温越少,因而形成了自地面 开始的逆温(图b)。 ②随着地面辐射冷却的加剧,逆温层逐渐向上扩展,黎明时达到最强(图c)。 ③日出后,太阳辐射逐渐增强,地面很快增温,逆温层便自下而上逐渐消失(图d),最终恢 复正常(图e)。 (4)逆温的影响 ①逆温的出现阻碍了空气对流,因此可以抑制沙尘暴的发生。 ②逆温出现在高空,有利于飞机的飞行。 有利 ③和其他天气现象一样,逆温可作为一种气候资源加以利用。例如,在我国新疆 伊犁河谷,逆温出现在10月至次年3月,长达半年之久,有效地提高了冬季谷 地的温度,越冬果树可以免受冻害等 ①逆温出现时大气结构比较稳定,不利于污染物扩散,容易加重大气污染。 不利 ②对天气的影响:容易产生大雾等天气。 ③对交通的影响:能见度降低,地面湿滑 (2021·广东地理)辐射逆温是低层大气因地面强烈辐射冷却导致气温随高度增加而升高 的现象。黄河源地区位于青藏高原腹地,平均海拔4 000多米,冬季辐射逆温现象多发。 据此完成1~3题。 1.冬季易加强辐射逆温的地形是( ) A.山峰 B.平原 C.谷地 D.丘陵2.黄河源地区辐射逆温出现的时间和天气状况是( ) A.日落前后,大风呼啸 B.正午时刻,雨雪交加 C.午夜时分,浓云密雾 D.日出之前,晴朗无风 3.黄河源地区冬季辐射逆温多发是由于( ) A.锋面气旋多 B.下沉气流盛行 C.准静止锋强 D.热力对流强盛 [关键信息点拨] 辐射逆温是因地面强烈辐射冷却导致的近地面气温____于较高处气温,大气层结构 ________,________暖____冷的逆温现象。地面附近气温越____,越有利于逆温的发育。 近地面大气热量的直接来源是__________,距离近地面越近受到地面辐射的影响就越 ____,黄河源地区位于青藏高原,平均海拔______,冬季________,冷空气冷却下沉,在近 地面集聚,形成逆温。 [地理原理再现] 辐射逆温的形成 写出辐射逆温的成因及出现的时间。 ________________________________________________________________________ ________________________________________________________________________ ________________________________________________________________________ ________________________________________________________________________ ________________________________________________________________________ 答案 1.____ 2.____ 3.____ 考向1 通过“大气的组成与垂直分层”考查“区域认知” (2024·甘肃玉门模拟)对流层是地球大气最靠近地面的一层,对流层高度与近地面的受热 程度有关。下图为“1979~2008年华北某地区对流层高度变化趋势图”。据此完成1~2题。 1.1979~2008年,华北某地区( ) A.空气的对流运动减弱B.对流层顶部高度年际变化明显减小 C.对流层高度呈波动上升趋势 D.对流层传向高层大气的能量增多 2.下列关于华北某地区对流层高度变化趋势的成因及影响,叙述正确的是( ) A.对流层高度总体变化趋势反映气候变冷 B.利于生物繁育,生物多样性增加 C.导致华北地区变得湿润,利于农业增产 D.矿物燃料的使用和植被破坏等是其变化的主要原因 考向2 通过“逆温”考查“综合思维” (2023·江苏扬州模拟)湖泊水温是湖泊热量平衡的结果,不仅受到水面蒸发、地表径流及 支流汇入等水循环过程的影响,还受到气温、降水、大气辐射等气象因素及人类活动的综合 影响。图1为“洞庭湖城陵矶水文站1991~2019年平均水温与平均气温的年内变化图”, 图2为“城陵矶水文站表层水温与降水量、风速、气温的相关关系图”。据此完成3~4题。 3.洞庭湖区域逆温出现概率小的月份是( ) A.1月 B.4月 C.7月 D.10月 4.与洞庭湖水温变化趋势相关性最大的影响因子是( ) A.降水量 B.风速C.气温 D.径流 考点 2 大气受热过程 1.大气对太阳辐射的削弱作用 (1)方式 削弱方式 参与的物质 作用特点 典例 云层越低、越____,云 大气中的__________ 夏季天空多云时,白天的 A反射 量越多反射越____(无选 和较大颗粒的尘埃 气温相对来说不会太高 择性) 晴朗的天空呈现蔚蓝色; 大气中的__________ 蓝光、紫光容易被空气 B散射 日出前的黎明,日落后的 或微小尘埃 分子散射(有选择性) 黄昏,天空仍然明亮 对流层大气中的水汽 水汽和二氧化碳吸收 平流层的气温随高度增加 和________ ____(有选择性) C吸收 而上升,地面生物免遭过 臭氧吸收__________(有 平流层大气中的____ 多紫外线的侵害 选择性) (2)简述大气削弱作用与大气路程长短的关系。 ________________________________________________________________________ ________________________________________________________________________ ________________________________________________________________________ ________________________________________________________________________ 2.大气对地面的保温作用 在下图中填出三种辐射的名称。特别提醒 一般情况下,物体温度最高时,其辐射最强。就某一地区而言,地方时 12时, 太阳辐射最强;地方时13时,地面温度最高,地面辐射最强;地方时14时,大气温度最高, 大气辐射(包括大气逆辐射)最强。 概念辨析 温室效应与全球变暖 温室效应:近地面大气中的二氧化碳和水汽等吸收地面长波辐射,并通过大气逆辐射将热量 返还给地面。大气的这种保温作用称为温室效应,是大气层中时刻存在的一种自然现象,维 持着地球表面的温度。 全球变暖:全球变暖是由于大气层中二氧化碳等温室气体急剧增加,大量吸收地面红外线长 波辐射,进而使温室效应增强造成的。全球变暖是一种生态或气候破坏。 大气两种作用的实践应用 (1)大气削弱作用原理应用→分析某地区太阳能的多寡 ①高海拔地区(如青藏高原地区) ②内陆地区(如我国西北地区)③湿润内陆盆地(如四川盆地) (2)大气保温作用原理应用→分析生产、生活现象 ①解释温室气体浓度升高对全球气候变暖的影响 ②分析农业实践中的一些现象 我国北方地区利用温室大棚生产反季节蔬菜;深秋农民利用燃烧秸秆制造烟雾预防霜冻;华 北地区早春农民利用地膜覆盖进行农作物种植。 (3)昼夜温差大小的分析 晴朗的天气条件下,白天大气的削弱作用和夜晚大气的保温作用都弱→昼 天气状况 夜温差大 地势高→大气稀薄→白天大气的削弱作用和夜晚大气的保温作用都弱→昼 地势高低 夜温差大 下垫面的比热容大→增温和降温速度都慢→昼夜温差小,如海洋的昼夜温 下垫面性质 差一般小于陆地 (2022·1月浙江选考)大气散射辐射的强弱和太阳高度、大气透明度有关。下图为“我 国某城市大气散射辐射日变化图”。完成1~2题。 1.有关该城市大气散射辐射强弱的叙述,正确的是( ) ①夏季大于冬季 ②郊区大于城区 ③冬季大于夏季 ④城区大于郊区 A.①② B.①④ C.②③ D.③④2.下列现象与大气散射作用密切相关的是( ) ①晴天天空多呈蔚蓝色 ②朝霞和晚霞往往呈红色 ③深秋晴天夜里多霜冻 ④雪后天晴阳 光特别耀眼 A.①② B.①④ C.②③ D.③④ [关键信息点拨] 北京时间12~14时,该城市太阳高度大,大气散射辐射强,说明大气散射辐射与太阳高 度呈__________相关。 阴天云层厚,大气透明度低,大气散射辐射强,说明大气散射辐射与大气透明度呈____相 关。 在太阳辐射的可见光中,波长较短的蓝紫光容易被散射,波长较长的红光、橙光、黄光不 易被散射。 [地理原理再现] 大气的散射作用 描述大气散射作用的特点。 ________________________________________________________________________ ________________________________________________________________________ ________________________________________________________________________ ________________________________________________________________________ ________________________________________________________________________ 答案 1.____ 2.____ 考向1 通过“大气对太阳辐射的削弱作用”考查“地理实践力” (2024·山西吕梁模拟)1815年4月,地处东南亚的S岛发生人类历史上最强的火山喷发 事件,在距离S岛800 km以外的人们连续多日听到隆隆的雷声,看见飘动的灰尘。受此事 件影响,1816年北半球盛夏出现人类历史上罕见的低温天气,造成西欧、亚洲、北美洲农 作物大范围减产。下图示意火山喷发后海拔25 km处大气温度距平和北半球陆地年降水量距 平的变化。据此完成1~3题。 1.海拔25 km处位于( )A.对流层 B.平流层 C.高层大气 D.电离层 2.造成北半球农作物大范围减产的主要原因是大气对( ) A.太阳辐射的削弱作用增强 B.地面的保温作用增强 C.太阳辐射的削弱作用减弱 D.地面的保温作用减弱 3.1816年北半球陆地年降水量距平变化的主要原因可能是( ) A.海陆温差减小,季风环流减弱 B.海陆温差增大,季风环流减弱 C.海陆温差减小,季风环流增强 D.海陆温差增大,季风环流增强 考向2 通过“大气对地面的保温作用”考查“区域认知” (2023·广东部分学校联考)研究表明,水汽充足、微风且大气稳定有利于雾的形成。有雾 时,海面能见度大大降低,对轮渡的运行影响很大。下面两图分别示意 1975~2009年广东 省南澳岛大雾出现次数与月份、气温的关系。据此完成4~6题。 4.南澳岛大雾( ) ①季节变化明显 ②开始出现时气温一般在28 ℃左右 ③水汽多源于暖海水面的水分蒸发 ④由强冷空气促成 A.①③ B.②④ C.①② D.③④ 5.促使南澳岛大雾消散的直接原因是( ) A.大气逆辐射增强 B.地面辐射增强 C.大气逆辐射减弱 D.太阳辐射增强 6.连续多日的大雾,导致南澳岛( ) A.航行更加安全 B.作物光合作用效果好 C.生态环境更好 D.昼夜温差减小