当前位置:首页>文档>2025届高中地理一轮复习讲义:第一部分自然地理第四单元地球上的大气第13课时 大气受热过程(教师版)_9.2025地理总复习_2025年新高考资料_一轮复习

2025届高中地理一轮复习讲义:第一部分自然地理第四单元地球上的大气第13课时 大气受热过程(教师版)_9.2025地理总复习_2025年新高考资料_一轮复习

  • 2026-04-19 01:21:27 2026-03-12 01:31:52

文档预览

2025届高中地理一轮复习讲义:第一部分自然地理第四单元地球上的大气第13课时 大气受热过程(教师版)_9.2025地理总复习_2025年新高考资料_一轮复习
2025届高中地理一轮复习讲义:第一部分自然地理第四单元地球上的大气第13课时 大气受热过程(教师版)_9.2025地理总复习_2025年新高考资料_一轮复习
2025届高中地理一轮复习讲义:第一部分自然地理第四单元地球上的大气第13课时 大气受热过程(教师版)_9.2025地理总复习_2025年新高考资料_一轮复习
2025届高中地理一轮复习讲义:第一部分自然地理第四单元地球上的大气第13课时 大气受热过程(教师版)_9.2025地理总复习_2025年新高考资料_一轮复习
2025届高中地理一轮复习讲义:第一部分自然地理第四单元地球上的大气第13课时 大气受热过程(教师版)_9.2025地理总复习_2025年新高考资料_一轮复习
2025届高中地理一轮复习讲义:第一部分自然地理第四单元地球上的大气第13课时 大气受热过程(教师版)_9.2025地理总复习_2025年新高考资料_一轮复习
2025届高中地理一轮复习讲义:第一部分自然地理第四单元地球上的大气第13课时 大气受热过程(教师版)_9.2025地理总复习_2025年新高考资料_一轮复习
2025届高中地理一轮复习讲义:第一部分自然地理第四单元地球上的大气第13课时 大气受热过程(教师版)_9.2025地理总复习_2025年新高考资料_一轮复习
2025届高中地理一轮复习讲义:第一部分自然地理第四单元地球上的大气第13课时 大气受热过程(教师版)_9.2025地理总复习_2025年新高考资料_一轮复习
2025届高中地理一轮复习讲义:第一部分自然地理第四单元地球上的大气第13课时 大气受热过程(教师版)_9.2025地理总复习_2025年新高考资料_一轮复习
2025届高中地理一轮复习讲义:第一部分自然地理第四单元地球上的大气第13课时 大气受热过程(教师版)_9.2025地理总复习_2025年新高考资料_一轮复习
2025届高中地理一轮复习讲义:第一部分自然地理第四单元地球上的大气第13课时 大气受热过程(教师版)_9.2025地理总复习_2025年新高考资料_一轮复习
2025届高中地理一轮复习讲义:第一部分自然地理第四单元地球上的大气第13课时 大气受热过程(教师版)_9.2025地理总复习_2025年新高考资料_一轮复习
2025届高中地理一轮复习讲义:第一部分自然地理第四单元地球上的大气第13课时 大气受热过程(教师版)_9.2025地理总复习_2025年新高考资料_一轮复习
2025届高中地理一轮复习讲义:第一部分自然地理第四单元地球上的大气第13课时 大气受热过程(教师版)_9.2025地理总复习_2025年新高考资料_一轮复习
2025届高中地理一轮复习讲义:第一部分自然地理第四单元地球上的大气第13课时 大气受热过程(教师版)_9.2025地理总复习_2025年新高考资料_一轮复习

文档信息

文档格式
doc
文档大小
1.652 MB
文档页数
16 页
上传时间
2026-03-12 01:31:52

文档内容

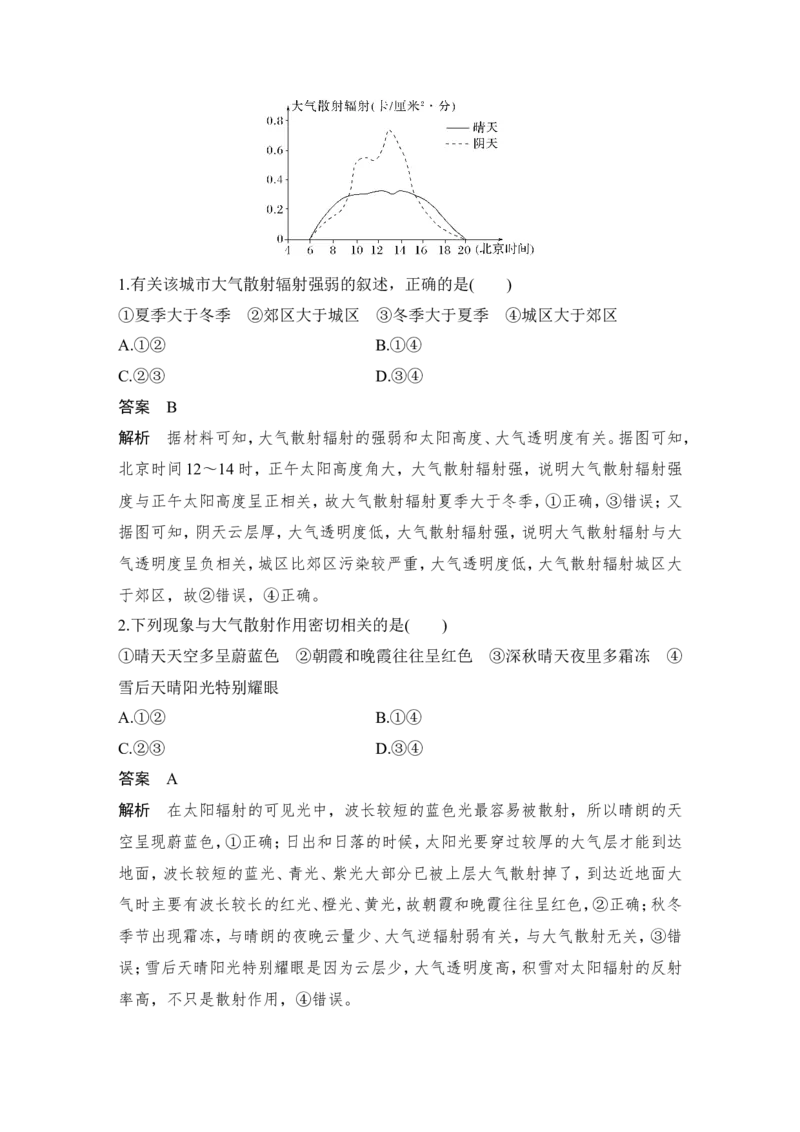
第 13 课时 大气受热过程 课程标准:运用示意图,说明大气受热过程,并解释相关现象。 目标导航 知识导图 INCLUDEPICTURE "E:\\2024\\课件\ \2025版 创新设计 高考总复习 地理 1.能用图表说明太阳辐射、地面辐射在 人教版(鲁京琼……)\\不用\\J576.TIF" 大气中的转化过程,通过原理示意图理 \* MERGEFORMATINET 解大气对太阳辐射的削弱作用和大气对 地面的保温作用。 2.结合典型高考题,利用大气受热过程 原理,解释一些与其有关的地理现象。 INCLUDEPICTURE "E:\\2024\\课件\\2025版 创新设计 高考总复习 地理 人教 版(鲁京琼……)\\不用\\图表自主填绘.TIF" \* MERGEFORMATINET 1.大气的热源:太阳辐射是地球大气最重要的能量来源;地面长波辐射是近地面大 气主要的、直接的热源。 2.大气的受热过程 (1)大气对太阳辐射的削弱作用 INCLUDEPICTURE "E:\\2024\\课件\\2025版 创新设计 高考总复习 地理 人教 版(鲁京琼……)\\不用\\J577.TIF" \* MERGEFORMATINET削弱作用 参与的物质 作用特点 典例 夏季天空多云时,白天 大气中的云层和较 云层越低、越厚,反 A反射 的气温相对来说不会太 大颗粒的尘埃 射越强(无选择性) 高 晴朗的天空呈现蔚蓝 蓝光、紫光容易被空 大气中的空气分子 色;日出前的黎明,日落 B散射 气分子散射(有选择 或微小尘埃 后的黄昏,天空仍然明 性) 亮 对流层大气中的水 水汽和二氧化碳吸收 汽和二氧化碳 红外线(有选择性) 平流层的气温随高度的 C吸收 增加而上升,地面生物 平流层大气中的臭 臭氧吸收紫外线(有 免遭过多紫外线的侵害 氧 选择性) (2)大气对地面的保温作用 在下图中填出三种辐射的名称。 INCLUDEPICTURE "E:\\2024\\课件\\2025版 创新设计 高考总复习 地理 人教 版(鲁京琼……)\\不用\\J579.TIF" \* MERGEFORMATINET 答案 INCLUDEPICTURE "E:\\2024\\课件\\2025版 创新设计 高考总复习 地理 人教 版(鲁京琼……)\\不用\\J580.TIF" \* MERGEFORMATINET知识链接 “阳伞效应”原理 INCLUDEPICTURE "E:\\2024\\课件\\2025版 创新设计 高考总复习 地理 人教 版(鲁京琼……)\\不用\\J578.TIF" \* MERGEFORMATINET 悬浮在大气中的烟尘,将部分太阳辐射反射回宇宙空间,削弱了到达地面的太阳 辐射;同时烟尘作为凝结核,加速了水汽的凝结,使云、雾增多。类似于遮阳伞,故 称“阳伞效应”。 思维拓展 地面对太阳辐射的吸收作用 地面吸收太阳辐射与地面状况有关,一般规律:颜色越浅的物体,其反射就越强 (反射太阳辐射越多),吸收就越弱,地面辐射越弱;颜色越深的物体,其反射就越弱 (反射太阳辐射越少),吸收就越强,地面辐射越强。比如,对太阳辐射的反射率:新 雪>冰>沙土>草地。 方法技巧 图示法掌握太阳辐射、地面辐射和大气逆辐射的关系 它们之间的关系如下图所示: INCLUDEPICTURE "E:\\2024\\课件\\2025版 创新设计 高考总复习 地理 人教 版(鲁京琼……)\\不用\\J581.TIF" \* MERGEFORMATINET地面辐射是近地面大气(对流层)主要的、直接的热量来源,而地面辐射的主要能量 来源是太阳辐射,所以说,太阳辐射是地球上(地面和大气)的根本能量来源。对地 面直接起保温作用的是大气逆辐射。 INCLUDEPICTURE "E:\\2024\\课件\\2025版 创新设计 高考总复习 地理 人教 版(鲁京琼……)\\不用\\重点互动突破.TIF" \* MERGEFORMATINET 重点 大气受热过程原理及其应用 INCLUDEPICTURE "E:\\2024\\课件\\2025版 创新设计 高考总复习 地理 人教 版(鲁京琼……)\\不用\\精讲点拨.TIF" \* MERGEFORMATINET 大气受热过程原理及其应用 INCLUDEPICTURE "E:\\2024\\课件\\2025版 创新设计 高考总复习 地理 人教 版(鲁京琼……)\\不用\\J583.TIF" \* MERGEFORMATINET (1)大气削弱作用原理应用→分析某地区太阳能的多寡 ①高海拔地区(如青藏高原地区) INCLUDEPICTURE "E:\\2024\\课件\\2025版 创新设计 高考总复习 地理 人教 版(鲁京琼……)\\不用\\J584.TIF" \* MERGEFORMATINET ②内陆地区(如我国西北地区)INCLUDEPICTURE "E:\\2024\\课件\\2025版 创新设计 高考总复习 地理 人教 版(鲁京琼……)\\不用\\J585.TIF" \* MERGEFORMATINET ③湿润内陆盆地(如四川盆地) INCLUDEPICTURE "E:\\2024\\课件\\2025版 创新设计 高考总复习 地理 人教 版(鲁京琼……)\\不用\\J586.TIF" \* MERGEFORMATINET (2)大气保温作用原理应用→分析生产、生活现象 ①解释温室气体大量排放对全球气候变暖的影响 INCLUDEPICTURE "E:\\2024\\课件\\2025版 创新设计 高考总复习 地理 人教 版(鲁京琼……)\\不用\\J587.TIF" \* MERGEFORMATINET ②分析农业实践中的一些现象 INCLUDEPICTURE "E:\\2024\\课件\\2025版 创新设计 高考总复习 地理 人教 版(鲁京琼……)\\不用\\J588.TIF" \* MERGEFORMATINET (3)昼夜温差大小的分析 ①大小 INCLUDEPICTURE "E:\\2024\\课件\\2025版 创新设计 高考总复习 地理 人教版(鲁京琼……)\\不用\\J589.TIF" \* MERGEFORMATINET ②应用举例 在干旱、半干旱地区种植西瓜时,在原有土地上增铺砂砾层,西瓜的产量、质量显 著提高。砂砾层对西瓜生长自然条件具有改善作用,减少水分的蒸发;白天增温快, 夜晚冷却快,增大土壤日温差,利于瓜果糖分的积累;有效减少(风沙等造成的)土 壤养分流失。 INCLUDEPICTURE "E:\\2024\\课件\\2025版 创新设计 高考总复习 地理 人教 版(鲁京琼……)\\不用\\真题感悟.TIF" \* MERGEFORMATINET [典例] (2020·全国Ⅱ卷)对我国甘肃某绿洲观测发现,在天气稳定的状态下,会季节 性出现绿洲地表温度全天低于周边沙漠的现象。下图呈现该绿洲和附近沙漠某时 段内地表温度的变化。据此完成(1)~(3)题。 INCLUDEPICTURE "E:\\2024\\课件\\2025版 创新设计 高考总复习 地理 人教 版(鲁京琼……)\\不用\\J590.TIF" \* MERGEFORMATINET(1)图示观测时段内( ) A.正午绿洲和沙漠长波辐射差值最大 B.傍晚绿洲降温速率大于沙漠 C.凌晨绿洲和沙漠降温速率接近 D.上午绿洲长波辐射强于沙漠 (2)导致绿洲夜间地表温度仍低于沙漠的主要原因是绿洲( ) ①白天温度低 ②蒸发(腾)多 ③空气湿度大 ④大气逆辐射强 A.①② B.②③ C.③④ D.①④ (3)这种现象最可能发生在( ) A.1~2月 B.4~5月 C.7~8月 D.10~11月 INCLUDEPICTURE "E:\\2024\\课件\\2025版 创新设计 高考总复习 地理 人教 版(鲁京琼……) \\不用\\关键能力提升 .TIF" \* MERGEFORMATINET 第(1)题:物体的温度越高,辐射能力越强,辐射电磁波波长越短。 INCLUDEPICTURE "E:\\2024\\课件\\2025版 创新设计 高考总复习 地理 人教 版(鲁京琼……)\\不用\\J591.TIF" \* MERGEFORMATINET 第(2)题:INCLUDEPICTURE "E:\\2024\\课件\\2025版 创新设计 高考总复习 地理 人教 版(鲁京琼……)\\不用\\J591A.TIF" \* MERGEFORMATINET 第(3)题: INCLUDEPICTURE "E:\\2024\\课件\\2025版 创新设计 高考总复习 地理 人教 版(鲁京琼……)\\不用\\J591B.TIF" \* MERGEFORMATINET 答案 (1)C (2)A (3)C INCLUDEPICTURE "E:\\2024\\课件\\2025版 创新设计 高考总复习 地理 人教 版(鲁京琼……)\\不用\\变式训练.TIF" \* MERGEFORMATINET (2024·云南大理期末)2023年11月26日我国某城市的天气状况为:最低和最高气 温分别为4 ℃和21 ℃,天气晴朗。下图为大气受热过程示意图。据此完成1~2题。 INCLUDEPICTURE "E:\\2024\\课件\\2025版 创新设计 高考总复习 地理 人教 版(鲁京琼……)\\不用\\J592.TIF" \* MERGEFORMATINET 1.形成当日该城市气温特点的原因是( ) A.①减弱,④增强 B.②减弱,③减弱 C.①增强,③减弱 D.④增强,③增强 答案 C解析 读图可知,①为太阳辐射,②为大气吸收的地面辐射,③为大气逆辐射,④ 为地面辐射。由材料可知,当日该城市昼夜温差大是因为天气晴朗,云量较少,白 天大气对太阳辐射的削弱作用较小,升温较快,①增强;夜晚大气逆辐射弱,大气 对地面的保温作用弱,气温较低,③减弱。故选C。 2.当夜该城市出现的天气现象与下列古诗词描写景象相近的是( ) A.乌云接日低,有雨在夜里 B.寒露惊秋晚,朝看菊渐黄 C.穷冬不见雪,正月已闻雷 D.满地梨花白,风吹碎月明 答案 B 解析 从时间和该城市某日气温可知,该城市处于深秋。当日夜间晴朗且气温较 低,地面辐射强烈降温冷却,使近地面的空气层也随之降温,空气中的水汽在地物 上凝结可能形成露。当日天气晴朗,排除A项;“寒露惊秋晚,朝看菊渐黄”描写 的是深秋晴朗夜晚关于露的景象,B项符合题意;“穷冬不见雪,正月已闻雷”描 写的是冬季的天气现象,排除C项;“满地梨花白,风吹碎月明”描写的是春季时 的天气现象,排除D项。 INCLUDEPICTURE "E:\\2024\\课件\\2025版 创新设计 高考总复习 地理 人教 版(鲁京琼……)\\不用\\课堂巩固精练.TIF" \* MERGEFORMATINET (2022·浙江卷)大气散射辐射的强弱和太阳高度、大气透明度有关。下图为我国某 城市大气散射辐射日变化图。完成1~2题。 INCLUDEPICTURE "E:\\2024\\课件\\2025版 创新设计 高考总复习 地理 人教 版(鲁京琼……)\\不用\\22GD11.tif" \* MERGEFORMATINET1.有关该城市大气散射辐射强弱的叙述,正确的是( ) ①夏季大于冬季 ②郊区大于城区 ③冬季大于夏季 ④城区大于郊区 A.①② B.①④ C.②③ D.③④ 答案 B 解析 据材料可知,大气散射辐射的强弱和太阳高度、大气透明度有关。据图可知, 北京时间12~14时,正午太阳高度角大,大气散射辐射强,说明大气散射辐射强 度与正午太阳高度呈正相关,故大气散射辐射夏季大于冬季,①正确,③错误;又 据图可知,阴天云层厚,大气透明度低,大气散射辐射强,说明大气散射辐射与大 气透明度呈负相关,城区比郊区污染较严重,大气透明度低,大气散射辐射城区大 于郊区,故②错误,④正确。 2.下列现象与大气散射作用密切相关的是( ) ①晴天天空多呈蔚蓝色 ②朝霞和晚霞往往呈红色 ③深秋晴天夜里多霜冻 ④ 雪后天晴阳光特别耀眼 A.①② B.①④ C.②③ D.③④ 答案 A 解析 在太阳辐射的可见光中,波长较短的蓝色光最容易被散射,所以晴朗的天 空呈现蔚蓝色,①正确;日出和日落的时候,太阳光要穿过较厚的大气层才能到达 地面,波长较短的蓝光、青光、紫光大部分已被上层大气散射掉了,到达近地面大 气时主要有波长较长的红光、橙光、黄光,故朝霞和晚霞往往呈红色,②正确;秋冬 季节出现霜冻,与晴朗的夜晚云量少、大气逆辐射弱有关,与大气散射无关,③错 误;雪后天晴阳光特别耀眼是因为云层少,大气透明度高,积雪对太阳辐射的反射 率高,不只是散射作用,④错误。(2024·南京外国语学校高三月考)图一为大气受热过程示意图。读图完成3~5题。 INCLUDEPICTURE "E:\\2024\\课件\\2025版 创新设计 高考总复习 地理 人教 版(鲁京琼……)\\不用\\J594.TIF" \* MERGEFORMATINET 3.在夏季,广东省湛江市的园林工人一般会给新栽大树覆盖黑色尼龙网(图二)。这 样做的目的是( ) A.增加大气逆辐射,提高夜间温度 B.阻止地面辐射,防止夜间温度过低 C.增强地面辐射,提高树木存活率 D.削弱太阳辐射,减少树木水分蒸腾 答案 D 解析 夏季,广东省湛江太阳高度大,太阳辐射强,蒸发量大。覆盖黑色尼龙网,可 以削弱太阳辐射,降低地面温度,减少树木水分蒸腾,保护新栽的大树,D项正确; 湛江纬度低,夏季夜晚气温也较高,尼龙网增强大气逆辐射和地面辐射的效果不 显著,也不能阻止地面辐射,A、B、C三项错误。 4.拉萨郊区农民在冬季给蔬菜大棚覆盖黑色尼龙网的主要目的是对应图一中( ) A.增强A,提高农作物存活率 B.阻止B,防止夜间温度过低 C.削弱C,提高夜间的温度 D.增强D,增强作物水分蒸腾 答案 A 解析 图一中,A示意大气逆辐射,B示意到达地面的太阳辐射,C示意大气削弱 作用,D示意大气吸收的地面辐射。拉萨冬季寒冷,郊区农民给蔬菜大棚覆盖黑色 尼龙网的主要目的是减少大棚热量的散失,增强大棚内大气逆辐射,防止夜间温 度过低,提高农作物存活率,A项正确;阻止B(到达地面的太阳辐射),会使地面温度过低,不利于冬季蔬菜生长,B项错误;白天,黑色尼龙网加强对太阳辐射的削 弱作用,不利于夜间温度的提高,C项错误;冬季给蔬菜大棚覆盖黑色尼龙网,不 能增强大气吸收地面辐射(D)会减少作物水分蒸腾,D项错误。 5.冬季拉萨的农民与夏季湛江的园林工人在一天中使用黑色尼龙网的时间分别是 ( ) A.白天,夜晚 B.夜晚,白天 C.全天,白天 D.全天,全天 答案 B 解析 由上题可知,冬季拉萨的农民一天中使用黑色尼龙网的时间主要是夜间, 防止夜间温度过低。夏季湛江的园林工人在一天中使用黑色尼龙网的时间主要是 白天,增强对太阳辐射的削弱作用,防止温度过高,B项正确。 课时作业 (2024·浙江名校联盟第一次联考)2023年12月13日至15日,山东省德州市出现降 温、降水天气。农业专家表示,这次降水对冬小麦生长较为有利,但对部分旺长的 麦田来说,要注意防止冻害发生。如图为大气受热过程示意图。据此完成1~3题。 INCLUDEPICTURE "E:\\2024\\课件\\2025版 创新设计 高考总复习 地理 人教 版(鲁京琼……)\\不用\\J595.TIF" \* MERGEFORMATINET 1.德州出现冻害的原因是( ) A.①减弱 B.②增强 C.③减弱 D.④增强 答案 C 解析 出现冻害,说明夜晚降温幅度大,大气保温作用弱。对地面具有保温作用的 是③大气逆辐射。 2.为了减少冻害带来的危害,德州的农民采用了熏烟的方法,其原理是( )A.增强① B.增强② C.增强③ D.增强④ 答案 C 解析 熏烟可增加二氧化碳及颗粒物浓度,有利于增强大气逆辐射。 3.浓雾出现时( ) A.①增强 B.②增强 C.③减弱 D.④增强 答案 D 解析 浓雾出现时,大气对太阳辐射的削弱作用④增强,到达地面的太阳辐射减 少。 (2024·福建六校联考)下图示意我国某中学地理兴趣小组记录的学校旁边一隧道内 部和外部1月和7月平均气温日变化。读图完成4~5题。 INCLUDEPICTURE "E:\\2024\\课件\\2025版 创新设计 高考总复习 地理 人教 版(鲁京琼……)\\不用\\J596.TIF" \* MERGEFORMATINET 4.表示1月隧道内气温日变化的曲线是( ) A.① B.② C.③ D.④ 答案 C 解析 1月气温低,故曲线③和④表示1月隧道内外气温日变化曲线;7月气温高, 故曲线①和②代表的是7月隧道内外气温日变化曲线;7月隧道外升温快,降温快, 气温日变化幅度大,曲线①日温差较大,应为7月隧道外气温日变化曲线,曲线② 为7月隧道内气温日变化曲线;1月隧道外升温快,降温快,气温日变化幅度大,曲线④为1月隧道外气温日变化曲线;1月气温较低,隧道内比隧道外温差小,故曲 线③是1月隧道内气温日变化曲线,故选C。 5.此隧道( ) A.15时太阳辐射量最大 B.内部温差比外部大 C.午后内外的温差最大 D.具有冬暖夏凉特点 答案 D 解析 影响太阳辐射的因素包含纬度位置、天气状况、光照、海拔,只通过气温变 化不能判断太阳辐射量的大小,A错;隧道墙壁具有保温作用,且通过图示可以看 出,隧道内温差小,B错;读图并结合上题分析可看出,1月6时前后隧道内外温差 最大,C排除;7月曲线②相对曲线①平均气温较低,说明夏季隧道内较凉快,1月 曲线③相对曲线④平均气温较高,说明冬季隧道内气温较高,因此隧道具有冬暖 夏凉的特点,D对。 6.(2024·湖南长沙期末)阅读图文资料,回答下列问题。(18分) 某中学地理学习小组在暑假期间赴甘肃进行考察,图甲示意祁连山北麓绿洲及周 边地区。 INCLUDEPICTURE "E:\\2024\\课件\\2025版 创新设计 高考总复习 地理 人教 版(鲁京琼……)\\不用\\J597.TIF" \* MERGEFORMATINET (1)依据大气受热原理,分析张掖气温日较差大的原因。(6分)干旱地区土壤的湿度一般由表层向深层逐渐增加,在特定条件下可能在浅层土壤 出现“逆湿”现象。学生们在图甲所示采样点的某处无人干扰土地进行采样,测 量土壤湿度随深度变化数据,并绘制连续两日不同深度土壤湿度变化图(图乙)。 INCLUDEPICTURE "E:\\2024\\课件\\2025版 创新设计 高考总复习 地理 人教 版(鲁京琼……)\\不用\\J598.TIF" \* MERGEFORMATINET (2)据图乙说出“逆湿”发生的主要时段及深度,并分析成因。(6分) 同学们发现坡地上“摆”着一个个圆滚滚的大西瓜(图丙)。当地人们为了适应气 候条件,在耕作土壤表面铺设10~15 cm的砂石,创造了“砂田”这一耕作方式。 砂田作物产量较高,品质较好。 INCLUDEPICTURE "E:\\2024\\课件\\2025版 创新设计 高考总复习 地理 人教 版(鲁京琼……)\\不用\\J599.TIF" \* MERGEFORMATINET (3)说明采用“砂田”耕作方式对种植西瓜的好处。(6分) 答案 (1)深居内陆,降水少,晴天多;白天,大气对太阳辐射的削弱作用弱(到达地 面的太阳辐射强,大气吸收地面辐射强),气温较高;夜晚,大气逆辐射弱(或保温作用弱),气温较低。 (2)1~6时(或凌晨),10 cm深度土壤出现“逆湿”现象。原因:临近绿洲,水汽较 多,此时气温低,地表水汽凝结量较大;此时土壤水分蒸发少,表层土壤湿度大,出 现“逆湿”现象。 (3)增大气温日较差,利于糖分积累;利于地表水下渗;减少土壤水分蒸发,利于保 持土壤水分;覆盖土壤表面,减少对土壤的侵蚀,保持水土。(任答3点)