当前位置:首页>文档>第三章 第1讲 课时13 大气的组成和垂直分层 大气的受热过程_9.2025地理总复习_2025年新高考资料_一轮复习_2025高考大一轮复习讲义+练习(完结)_2025高考大一轮复习地理(人教版)_243

第三章 第1讲 课时13 大气的组成和垂直分层 大气的受热过程_9.2025地理总复习_2025年新高考资料_一轮复习_2025高考大一轮复习讲义+练习(完结)_2025高考大一轮复习地理(人教版)_243

  • 2026-04-25 19:54:49 2026-03-14 01:01:44

文档预览

第三章 第1讲 课时13 大气的组成和垂直分层 大气的受热过程_9.2025地理总复习_2025年新高考资料_一轮复习_2025高考大一轮复习讲义+练习(完结)_2025高考大一轮复习地理(人教版)_243
第三章 第1讲 课时13 大气的组成和垂直分层 大气的受热过程_9.2025地理总复习_2025年新高考资料_一轮复习_2025高考大一轮复习讲义+练习(完结)_2025高考大一轮复习地理(人教版)_243
第三章 第1讲 课时13 大气的组成和垂直分层 大气的受热过程_9.2025地理总复习_2025年新高考资料_一轮复习_2025高考大一轮复习讲义+练习(完结)_2025高考大一轮复习地理(人教版)_243
第三章 第1讲 课时13 大气的组成和垂直分层 大气的受热过程_9.2025地理总复习_2025年新高考资料_一轮复习_2025高考大一轮复习讲义+练习(完结)_2025高考大一轮复习地理(人教版)_243
第三章 第1讲 课时13 大气的组成和垂直分层 大气的受热过程_9.2025地理总复习_2025年新高考资料_一轮复习_2025高考大一轮复习讲义+练习(完结)_2025高考大一轮复习地理(人教版)_243
第三章 第1讲 课时13 大气的组成和垂直分层 大气的受热过程_9.2025地理总复习_2025年新高考资料_一轮复习_2025高考大一轮复习讲义+练习(完结)_2025高考大一轮复习地理(人教版)_243
第三章 第1讲 课时13 大气的组成和垂直分层 大气的受热过程_9.2025地理总复习_2025年新高考资料_一轮复习_2025高考大一轮复习讲义+练习(完结)_2025高考大一轮复习地理(人教版)_243
第三章 第1讲 课时13 大气的组成和垂直分层 大气的受热过程_9.2025地理总复习_2025年新高考资料_一轮复习_2025高考大一轮复习讲义+练习(完结)_2025高考大一轮复习地理(人教版)_243
第三章 第1讲 课时13 大气的组成和垂直分层 大气的受热过程_9.2025地理总复习_2025年新高考资料_一轮复习_2025高考大一轮复习讲义+练习(完结)_2025高考大一轮复习地理(人教版)_243
第三章 第1讲 课时13 大气的组成和垂直分层 大气的受热过程_9.2025地理总复习_2025年新高考资料_一轮复习_2025高考大一轮复习讲义+练习(完结)_2025高考大一轮复习地理(人教版)_243
第三章 第1讲 课时13 大气的组成和垂直分层 大气的受热过程_9.2025地理总复习_2025年新高考资料_一轮复习_2025高考大一轮复习讲义+练习(完结)_2025高考大一轮复习地理(人教版)_243
第三章 第1讲 课时13 大气的组成和垂直分层 大气的受热过程_9.2025地理总复习_2025年新高考资料_一轮复习_2025高考大一轮复习讲义+练习(完结)_2025高考大一轮复习地理(人教版)_243
第三章 第1讲 课时13 大气的组成和垂直分层 大气的受热过程_9.2025地理总复习_2025年新高考资料_一轮复习_2025高考大一轮复习讲义+练习(完结)_2025高考大一轮复习地理(人教版)_243
第三章 第1讲 课时13 大气的组成和垂直分层 大气的受热过程_9.2025地理总复习_2025年新高考资料_一轮复习_2025高考大一轮复习讲义+练习(完结)_2025高考大一轮复习地理(人教版)_243
第三章 第1讲 课时13 大气的组成和垂直分层 大气的受热过程_9.2025地理总复习_2025年新高考资料_一轮复习_2025高考大一轮复习讲义+练习(完结)_2025高考大一轮复习地理(人教版)_243
第三章 第1讲 课时13 大气的组成和垂直分层 大气的受热过程_9.2025地理总复习_2025年新高考资料_一轮复习_2025高考大一轮复习讲义+练习(完结)_2025高考大一轮复习地理(人教版)_243
第三章 第1讲 课时13 大气的组成和垂直分层 大气的受热过程_9.2025地理总复习_2025年新高考资料_一轮复习_2025高考大一轮复习讲义+练习(完结)_2025高考大一轮复习地理(人教版)_243

文档信息

文档格式
docx
文档大小
2.903 MB
文档页数
17 页
上传时间
2026-03-14 01:01:44

文档内容

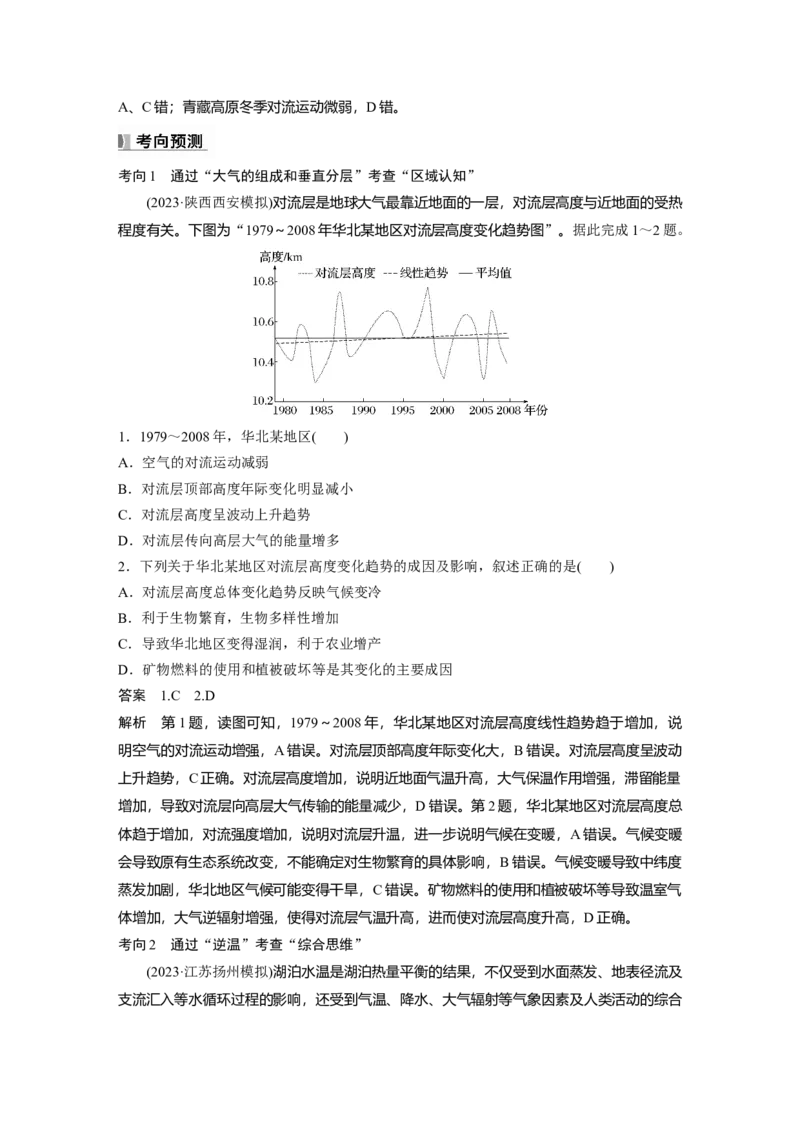
第 1 讲 地球上的大气 [课程标准] 1.运用图表等资料,说明大气的组成和垂直分层,及其与生产和生活的联系。 2.运用示意图等,说明大气受热过程与热力环流原理,并解释相关现象。 [基本概念] 逆温;气压梯度、水平气压梯度力、山谷风、海陆风、城市风。 [基本原理] 大气的受热过程;热力环流;风向、风力大小判定的基本原理。 [体系架构] 课时 13 大气的组成和垂直分层 大气的受热过程 考点 1 大气的组成和垂直分层 1.大气的组成 (1)干洁空气①氧气:氧是人类和其他生物维持生命活动所必需的物质。 ②氮气:氮是地球上生物体的基本元素。 ③二氧化碳:绿色植物进行光合作用的基本原料;吸收地面辐射的能力强,使气温升高。 ④臭氧:吸收太阳光中的紫外线,使大气增温;减少到达地面的紫外线,对生物具有保护作 用。 (2)水汽和杂质 ①水汽:成云致雨的必要条件;直接影响地面和大气的温度。 ②杂质:作为凝结核,是成云致雨的必要条件。 (3)简述人类活动对大气的影响。 答案 人类活动排放的污染物进入大气,会影响大气的成分和含量,产生大气污染,对生态 系统和人类生存造成不利影响。如:人类大量排放氟氯烃使臭氧减少;城市中人类生产、生 活比较密集,导致大气中的杂质增多;人类燃烧化石燃料(如煤炭、石油等),使大气中的二 氧化碳增多。 2.大气的垂直分层 (1)依据:大气从地面向上温度、运动状况和密度的差异。 回归教材 读必修第一册教材第31页图2.5“大气的垂直分层示意”,在下图中填出对流 层平均高度,并补绘平流层气温变化曲线。 答案(2)各层特点及与人类活动的关系 分层 高度范围 主要特点 成因 与人类的关系 气温随高度的 地面辐射是低层大气主要 升高而递减 的直接热源 低纬:17~18 人类生活在对 空气对流运动 km 该层上部冷、下部热 流层底部,对 对流层 显著 高纬: 8 ~ 9 km 流层与人类关 该层集中了大气圈质量的 平均:12 km 天气现象复杂 系最密切 3/4和几乎全部的水汽、杂 多变 质;对流运动易成云致雨 气温随高度升 臭氧吸收大量太阳紫外 高而升高 线,使大气增温 平流运动适合 自对流层顶部至 大气以平流运 该层大气上热下冷,大气 航空飞行;臭 平流层 50 ~ 55 km高空 动为主 稳定 氧层有保护地 无云雨现象, 水汽、杂质含量很少,气 球生命的作用 能见度好 流平稳 自平流层顶部开始,由于 没有吸收紫外线的臭氧, 80~500 km的 气温随高度增 自平流层顶部到 气温会下降;随后,由于 高空有若干电 加先下降后上 高层大气 2 000~3 000 km 大气吸收了更短波长的太 离层,对无线 升 的高空 阳紫外线,温度又持续上 电通信有重要 升 作用 空气密度很小 距地面远,受到的引力小 逆温 (1)概念:气温随高度增加而上升的现象,或者随高度的增加气温的垂直递减率小于 6 ℃/km。 (2)逆温的类型及成因类型 成因 特点 地面辐射冷却,在晴朗无云或少云的夜 辐射 大陆上常年均可出现, 晚,地面辐射冷却快,离地面越近,降温 逆温 尤以冬季最强 越快 平流 暖空气水平移动到冷的地面或水面上而发 越接近地表或水面,降 逆温 生的冷接触作用 温越快 锋面 冷暖气团温度差异显著,暖气团位于锋面 出现于锋面附近 逆温 上部 地形 冷空气沿斜坡向低谷或盆地流动 出现于山谷或盆地 逆温 (3)辐射逆温形成过程 ①图a为对流层正常气温垂直分布状况。在晴朗无云或少云的夜晚,地面很快冷却,贴近地 面的大气也随之降温。离地面越近,降温越快;离地面越远,降温越慢,因而形成了自地面 开始的逆温 (图b)。 ②随着地面辐射冷却的加剧,逆温层逐渐向上扩展,黎明时达到最强 (图c)。 ③日出后,太阳辐射逐渐增强,地面很快增温,逆温层便自下而上逐渐消失(图d),最终恢 复正常(图e)。 (4)逆温的影响 ①逆温的出现阻碍了空气对流,因此可以抑制沙尘暴的发生。 ②逆温出现在高空,有利于飞机的飞行。 有利 ③和其他天气现象一样,逆温可作为一种气候资源加以利用。例如,在我国新疆伊 犁河谷,逆温出现在10月至次年3月,长达半年之久,有效地提高了冬季谷地的温 度,越冬果树可以免受冻害等 ①逆温出现时大气结构比较稳定,不利于污染物扩散,容易加重大气污染。 不利 ②对天气的影响:容易产生大雾等不利天气。 ③对交通的影响:能见度降低,地面湿滑(2021·广东地理)辐射逆温是低层大气因地面强烈辐射冷却导致气温随高度增加而升高 的现象。黄河源地区位于青藏高原腹地,平均海拔4 000多米,冬季辐射逆温现象多发。 据 此完成1~3题。 1.冬季易加强辐射逆温的地形是( ) A.山峰 B.平原 C.谷地 D.丘陵 2.黄河源地区辐射逆温出现的时间和天气状况是( ) A.日落前后,大风呼啸 B.正午时刻,雨雪交加 C.午夜时分,浓云密雾 D.日出之前,晴朗无风 3.黄河源地区冬季辐射逆温多发是由于( ) A.锋面气旋多 B.下沉气流盛行 C.准静止锋强 D.热力对流强盛 [关键信息点拨] 辐射逆温是因地面强烈辐射冷却导致的近地面气温低于较高处气温,大气层结构稳定,上 暖下冷的逆温现象。地面附近气温越低,越有利于逆温的发育。 近地面大气热量的直接来源是地面辐射,距离近地面越近受到地面辐射的影响就越大,黄 河源地区位于青藏高原,平均海拔高,冬季严寒,冷空气冷却下沉,在近地面集聚,形成逆 温。 [地理原理再现] 辐射逆温的形成 写出辐射逆温的成因及出现的时间。 答案 辐射逆温是因地面强烈辐射冷却导致的近地面气温低于较高处气温的逆温现象。主要 出现在晴朗无云或少云的夜晚。 答案 1.C 2.D 3.B 解析 第1题,从现象上看,逆温是近地面气温低于较高处气温,地面附近气温越低,越有 利于逆温的发育。题目提供的四种地形中,凹型的谷地更易于积累冷空气,冬季冷空气沿山 坡下沉到谷底,导致底部冷空气聚集,产生下冷上热的逆温现象,故选C。第2题,辐射逆 温是“因地面强烈辐射冷却导致”的,近地面气温低于高处气温,形成上暖下冷的逆温现象, 其实质是近地面热量的收支平衡问题。近地面大气热量的直接来源是地面辐射,距离地面越 近受到地面的影响就越大;逆温发生时,近地面气温低,意味着地面辐射弱,即地温低。地 温最低的时刻一般是日出之前。逆温的发育需要相对稳定的气象条件,晴朗天气,大气逆辐 射弱,地面降温快,利于逆温的形成;风力小,空气稳定,与周边大气热量交换微弱,更易 于冷空气集聚,选D。第3题,逆温的形成是近地面低温的结果,黄河源地区地处青藏高原, 冬季严寒,空气冷却下沉,冷空气在地面集聚,利于逆温的形成,选 B。锋面气旋、准静止 锋多发生于中纬度、冷暖空气易于交汇的地区,青藏高原海拔高,冷暖空气难以在此汇聚,A、C错;青藏高原冬季对流运动微弱,D错。 考向1 通过“大气的组成和垂直分层”考查“区域认知” (2023·陕西西安模拟)对流层是地球大气最靠近地面的一层,对流层高度与近地面的受热 程度有关。下图为“1979~2008年华北某地区对流层高度变化趋势图”。据此完成1~2题。 1.1979~2008年,华北某地区( ) A.空气的对流运动减弱 B.对流层顶部高度年际变化明显减小 C.对流层高度呈波动上升趋势 D.对流层传向高层大气的能量增多 2.下列关于华北某地区对流层高度变化趋势的成因及影响,叙述正确的是( ) A.对流层高度总体变化趋势反映气候变冷 B.利于生物繁育,生物多样性增加 C.导致华北地区变得湿润,利于农业增产 D.矿物燃料的使用和植被破坏等是其变化的主要成因 答案 1.C 2.D 解析 第1题,读图可知,1979~2008年,华北某地区对流层高度线性趋势趋于增加,说 明空气的对流运动增强,A错误。对流层顶部高度年际变化大,B错误。对流层高度呈波动 上升趋势,C正确。对流层高度增加,说明近地面气温升高,大气保温作用增强,滞留能量 增加,导致对流层向高层大气传输的能量减少,D错误。第2题,华北某地区对流层高度总 体趋于增加,对流强度增加,说明对流层升温,进一步说明气候在变暖,A错误。气候变暖 会导致原有生态系统改变,不能确定对生物繁育的具体影响,B错误。气候变暖导致中纬度 蒸发加剧,华北地区气候可能变得干旱,C错误。矿物燃料的使用和植被破坏等导致温室气 体增加,大气逆辐射增强,使得对流层气温升高,进而使对流层高度升高,D正确。 考向2 通过“逆温”考查“综合思维” (2023·江苏扬州模拟)湖泊水温是湖泊热量平衡的结果,不仅受到水面蒸发、地表径流及 支流汇入等水循环过程的影响,还受到气温、降水、大气辐射等气象因素及人类活动的综合影响。图1为“洞庭湖城陵矶水文站1991~2019年平均水温与平均气温的年内变化图”, 图2为“城陵矶水文站表层水温与降水量、风速和气温的相关关系图”。据此完成3~4题。 3.洞庭湖区域逆温出现概率小的月份是( ) A.1月 B.4月 C.7月 D.10月 4.与洞庭湖水温变化趋势相关性最大的影响因子是( ) A.降水量 B.风速 C.气温 D.径流 答案 3.A 4.C 解析 第3题,根据所学知识可以分析出,当水温低于气温时逆温出现的概率大。读图1可 知,4月、7月和10月平均水温低于平均气温,容易出现逆温,B、C、D错误;1月平均水 温高于平均气温,逆温出现的概率小,故选A。第4题,根据图2可以看出水温随气温变化 呈明显的正相关关系,故与洞庭湖水温变化趋势相关性最大的影响因子是气温,C正确;图 中降水量、风速与水温变化的相关性不明显,A、B错误;径流对水温变化的影响相对较小, D错误。考点 2 大气的受热过程 1.在下图中填出三种辐射的名称。 答案 自左向右依次为:太阳辐射、地面辐射、大气逆辐射。 2.两个来源 (1)地球大气最重要的能量来源:太阳辐射。 (2)近地面大气主要的、直接的热源:地面长波辐射。 3.两大过程 (1)地面增温:大部分太阳辐射透过大气射到地面,使地面增温。 (2)大气增温:地面被加热,并以长波辐射的形式向大气传递热量。 4.两大作用 (1)削弱作用:大气层中水汽、云层、尘埃等对太阳辐射的吸收、反射和散射作用。 (2)保温作用:大气逆辐射对地面辐射损失的热量有补偿作用。 概念辨析 温室效应与全球变暖 ①温室效应:近地面大气中的二氧化碳和水汽等吸收地面长波辐射,并通过大气逆辐射将热 量返还给地面。大气的这种保温作用称为温室效应,是大气层中时刻存在的一种自然现象, 维持着地球表面的温度。 ②全球变暖:全球变暖是由于大气层中二氧化碳等温室气体急剧增加,大量吸收地面红外线 长波辐射,进而使温室效应增强造成的。全球变暖是一种生态或气候破坏。 大气两种作用的实践应用 (1)大气削弱作用原理应用→分析某地区太阳能的多寡①高海拔地区(如青藏高原地区) ②内陆地区(如我国西北地区) ③湿润内陆盆地(如四川盆地) (2)大气保温作用原理应用→分析生产、生活现象 ①解释温室气体大量排放对全球变暖的影响 ②分析农业实践中的一些现象 我国北方地区利用温室大棚生产反季节蔬菜;深秋农民利用秸秆燃烧制造烟雾以预防霜冻; 华北地区早春农民利用地膜覆盖进行农作物种植。 (3)昼夜温差大小的分析 晴朗的天气条件下,白天大气的削弱作用和夜晚大气的保温作用都弱→昼 天气状况 夜温差大 地势高→大气稀薄→白天大气的削弱作用和夜晚大气的保温作用都弱→昼 地势高低 夜温差大 下垫面 下垫面的比热容大→增温和降温速度都慢→昼夜温差小,如海洋的昼夜温 性质 差一般小于陆地 (2022·1月浙江选考)大气散射辐射的强弱和太阳高度、大气透明度有关。下图为“我 国某城市大气散射辐射日变化图”。完成1~2题。1.有关该城市大气散射辐射强弱的叙述,正确的是( ) ①夏季大于冬季 ②郊区大于城区 ③冬季大于夏季 ④城区大于郊区 A.①② B.①④ C.②③ D.③④ 2.下列现象与大气散射作用密切相关的是( ) ①晴天天空多呈蔚蓝色 ②朝霞和晚霞往往呈红色 ③深秋晴天夜里多霜冻 ④雪后天晴阳 光特别耀眼 A.①② B.①④ C.②③ D.③④ [关键信息点拨] 北京时间12~14时,该城市太阳高度大,大气散射辐射强,说明大气散射辐射与太阳高 度 呈正相关。 阴天云层厚,大气透明度低,大气散射辐射强,说明大气散射辐射与大气透明度呈负相 关。 在太阳辐射的可见光中,波长较短的蓝紫光容易被散射,波长较长的红光、橙光、黄光不 易被散射。 [地理原理再现] 大气的散射作用 描述大气散射作用的特点。 答案 蓝光、紫光容易被空气分子散射(有选择性);颗粒较大的尘埃可散射可见光所有波段 (无选择性)。 答案 1.B 2.A 解析 第1题,由图可知,阴天比晴天大气散射辐射能力强,我国的城市冬季晴天多,大气 散射辐射弱,夏季阴雨天多,大气散射辐射强。城区受热岛效应影响,阴雨天多,大气散射 辐射强,选B。第2题,天空呈蔚蓝色是因为空气中的颗粒将波长较短的蓝紫光散射,渲染 天空所致,①对。朝霞和晚霞是可见光,其他波长的光线被散射完毕,红色光不易被散射, 保留在地平面低层大气中,呈红色,②对,选A。深秋晴天夜里多霜冻是大气逆辐射弱导致 气温低,③错;雪后天晴阳光耀眼,是因为新雪的反射率极高,④错。 考向1 通过“大气对太阳辐射的削弱作用”考查“地理实践力” (2023·安徽合肥模拟)1815年4月,地处东南亚的S岛发生人类历史上最强的火山喷发 事件,在距离S岛800 km以外的人们连续多日听到隆隆的雷声,看见飘动的灰尘。受此事 件影响,1816年北半球盛夏出现人类历史上罕见的低温天气,造成西欧、亚洲、北美洲农 作物大范围减产。下图示意火山喷发后海拔25 km处大气温度距平和北半球陆地年降水量距 平的变化。据此完成1~3题。1.海拔25 km处位于( ) A.对流层 B.平流层 C.高层大气 D.电离层 2.造成北半球农作物大范围减产的主要原因是大气对( ) A.太阳辐射的削弱作用增强 B.地面的保温作用增强 C.太阳辐射的削弱作用减弱 D.地面的保温作用减弱 3.1816年北半球陆地年降水量距平变化的主要原因可能是( ) A.海陆温差减小,季风环流减弱 B.海陆温差增大,季风环流减弱 C.海陆温差减小,季风环流增强 D.海陆温差增大,季风环流增强 答案 1.B 2.A 3.A 解析 第1题,对流层的平均厚度是12 km,自对流层顶部向上至50~55 km高度的范围为 平流层,B正确。第2题,火山喷发产生大量火山灰飘在空气中,对太阳辐射的削弱作用增 强,气温降低,从而造成北半球农作物大范围减产,A正确、C错误;空气中的火山灰使大 气对地面的保温作用增强,但保温作用增强会使气温升高,与题意不符,B、D错误。第3 题,由图可知,1816年北半球陆地年降水量距平值为负,说明1816年降水偏少。火山灰削 弱太阳辐射,会使海陆温差减小,B、D错误;海陆温差减小,会使季风环流减弱,夏季风 减弱,降水减少,A正确、C错误。 考向2 通过“大气对地面的保温作用”考查“区域认知” (2024·广东省部分学校联考)研究表明,水汽充足、微风及大气稳定有利于雾的形成。有 雾时,海面能见度大大降低,对轮渡的运行影响很大。下图示意 1975~2009年广东省南澳 岛大雾出现次数与月份、气温的关系。据此完成4~6题。4.南澳岛大雾( ) ①季节变化明显 ②开始出现时气温一般在28 ℃左右 ③水汽多源于暖海水面的水分蒸发 ④由强冷空气促成 A.①③ B.②④ C.①② D.③④ 5.促使南澳岛大雾消散的直接原因是( ) A.大气逆辐射增强 B.地面辐射增强 C.大气逆辐射减弱 D.太阳辐射增强 6.连续多日的大雾,导致南澳岛( ) A.航行更加安全 B.作物光合作用效果好 C.生态环境更好 D.昼夜温差减小 答案 4.A 5.B 6.D 解析 第4题,读图可知,南澳岛大雾主要出现在2~4月,集中出现在春季和冬季,夏秋 季节较少,季节变化明显,①正确;南澳岛大雾开始出现时气温一般在14 ℃左右,集中出 现时气温一般在17~26 ℃,消散于28 ℃,②错误;南澳岛周围海域广阔,暖海水面的水 分蒸发,不断扩散到冷空气层内,水汽受冷凝结,达到过饱和状态,最终形成大雾,③正确; 当强冷空气过境时,近地面风力大,不利于雾的形成,④错误。故A正确。第5题,注意 设问关键词“直接原因”,日出后太阳辐射出现并不断增强,使地表温度回升,地面辐射增 强,加之对流运动逐渐增强,利于大雾消散,故大雾消散的直接原因是地面辐射增强。故 B 正确。第6题,受大雾影响,白天大气对太阳辐射的削弱作用加强,气温下降,夜间大雾能 够增强大气逆辐射,气温升高,从而导致昼夜温差减小;大雾天气能见度低,不利于航行; 连续大雾天气会极大地减少日照时间,光照较弱,雾天低温、高湿,导致作物光合作用效果 差,对作物生长危害很大;大雾天气风力较小,空气对流较弱,不利于污染物扩散,在一定 程度上会降低环境质量。故D正确。课时精练 (2023·重庆南开中学期末)下图为“地球某大气成分浓度垂直分布图”。据此完成1~2 题。 1.该大气成分主要分布于( ) A.对流层 B.平流层 C.高层大气 D.电离层 2.受人类活动影响,部分地区该大气成分浓度降低,带来的主要影响是( ) A.大气透明度提高 B.到达地面的紫外线增多 C.大气透明度降低 D.到达地面的紫外线减少 答案 1.B 2.B 解析 第1题,读图可知,该大气成分浓度最高的高度在 25~35 km,属于平流层,选B。 第2题,该大气成分在25~35 km高度范围内浓度最高,最可能是臭氧。臭氧能吸收太阳紫 外线,臭氧浓度降低后到达地面的紫外线增多,故选B。 (2023·吉林通化期末)气球作为探空的工具已被广泛使用。下图示意一探空气球由地面上 升至100 km高空处。据此完成3~4题。 3.该探空气球记录的随高度升高气温变化的规律可能是( ) A.递减→递增→递减 B.递增→递减→递增C.递增→递减→递增→递减 D.递减→递增→递减→递增 4.该探空气球探测到水汽集中分布的大气层应是( ) A.对流层 B.平流层 C.臭氧层 D.电离层 答案 3.D 4.A 解析 第3题,探空气球由地面上升至100 km高空处,说明由对流层进入平流层再进入高 层大气。对流层的气温随海拔升高而递减,平流层由于存在臭氧,所以气温随海拔升高而升 高,高层大气气温随海拔增加先降低后升高,故选D。第4题,根据所学知识可知,大气中 的水汽和杂质几乎都分布在对流层,故选A。 (2023·广东广州模拟)逆温是指对流层大气中气温随高度增加而上升的现象,从地面开始 的逆温称为接地逆温,从离地面一定高度处开始的逆温称为悬浮逆温。逆温厚度是指出现逆 温现象上、下限的高度差。下图反映甘肃省酒泉市 2009~2018年8时和20时平均逆温厚度 的年内变化。据此完成5~7题。 5.逆温厚度年内变化最小的是( ) A.8时悬浮逆温 B.20时悬浮逆温 C.8时接地逆温 D.20时接地逆温 6.8时接地逆温厚度比20时接地逆温厚度大,原因是8时( ) A.地面温度较低 B.大气的对流较强 C.太阳辐射较弱 D.大气逆辐射较强 7.影响夏季与冬季逆温厚度差异的主要因素是( ) A.风速 B.昼夜长短 C.降水 D.气温日较差 答案 5.B 6.A 7.B 解析 第5题,逆温厚度年内变化是指一年内平均逆温厚度最高的月份与平均逆温厚度最低 的月份的平均厚度之差。根据图中信息,结合所学内容可以判断出20时悬浮逆温厚度年内 变化小于200 m,其余逆温厚度年内变化均大于200 m,故选B。第6题,逆温是指对流层 大气中气温随高度增加而上升的现象,逆温层下冷上热,近地面的温度低,会导致近地面大 气温度低,有利于接地逆温层的形成,导致接地逆温层较厚,因此8时地面温度较低,导致8时接地逆温厚度比20时接地逆温厚度大,A正确;大气对流强不利于逆温的形成,B错误; 8时是白天,有太阳光照,太阳辐射较强,20时是夜晚,太阳辐射较弱,C错误;大气逆辐 射较强会导致地面温度较高,不利于逆温的形成,D错误。第7题,与夏季相比,冬季逆温 厚度大,主要是因为冬季夜晚时间较长,地面辐射冷却充分,B正确;甘肃酒泉冬季风力强 劲,不利于逆温形成,A错误;降水、气温日较差对逆温的形成影响较小,C、D错误。 (2024·湖北武汉模拟)辐射表是测量各种辐射的工具,测量不同的辐射可以选择不同的传 感器和安装方式。下图为“某校地理社团研究大气热力作用所采用的辐射表及安装示意图”。 读图完成8~9题。 8.图中四个辐射表的功能各不相同,正确的是( ) A.①—测量大气辐射 B.②—测量地面反射的太阳辐射 C.③—测量太阳辐射 D.④—测量大气逆辐射 9.某日雪后,地表积雪,天气转晴且气温下降,各辐射表测得的辐射量变化情况是( ) A.①不变 B.②减少 C.③减少 D.④增加 答案 8.B 9.C 解析 第8题,读图可知,①②为短波辐射传感器,根据安装位置可知,①测量太阳辐射, ②测量地面反射的太阳辐射;③④为长波辐射传感器,根据安装位置可知,③测量大气逆辐 射,④测量地面辐射。故选B。第9题,天气转晴,大气对太阳辐射的削弱作用减弱,①增 加,A错误;地表积雪,地面对太阳辐射的反射作用增强,②增加,B错误;天气转晴,大 气的保温作用减弱,大气逆辐射减弱,③减少,C正确;地表积雪,地面反射的太阳辐射增 多,吸收的太阳辐射减少,地面辐射减弱,④减少,D错误。故选C。 冬季冰雪路面常常引发交通事故,桥面路段更是容易结冰路段。下图示意四川盆地某段 道路提示信息,下表为该地某年1月5日~9日天气变化过程。据此完成10~11题。 日期 5日 6日 7日 8日 9日天气符号 气压(hPa) 1 002 1 003 1 003 1 004 1 012 日均温(℃) 10 6 6 5 5 10.推测下列时段中桥面最容易结冰的是( ) A.6日早晨 B.7日早晨 C.8日早晨 D.9日早晨 11.某日路面上无结冰,但桥面上有结冰,主要是由于( ) A.路面吸收大气辐射较少 B.桥面吸收大气辐射较少 C.桥面释放地面辐射较多 D.路面释放地面辐射较多 答案 10.D 11.C 解析 第10题,结合表格信息可知,5日为晴天,故6日早晨地面无积水,即使气温降低也 不会结冰,A错误;6、7日为阴雨天气,夜晚大气逆辐射强,保温作用明显,故7、8日早 晨不易结冰,B、C错误;8日白天天气转晴,夜晚大气的保温作用弱,9日早晨气温最低, 且地面积水较多,容易结冰,故选D。第11题,道路无结冰,但桥面结冰,说明路面的温 度高于桥面。结合所学知识,路面、桥面的热量主要来自太阳辐射或大气逆辐射,A、B错 误;路面、桥面以长波辐射的形式向外释放热量,与路面相比,桥面释放地面辐射较多,温 度下降幅度较大,导致桥面上有结冰,C对、D错误。 12.(2023·湖南邵阳期中)阅读图文材料,回答下列问题。(19分) 风沙肆虐的沙漠一直是蔬果生产的禁区,日光温室可以极大地改变这一现状。南疆地区 早期建成的温室,普遍存在着冬季夜间室内冻害时常发生的问题。水幕集热-地暖加温系统 的应用,较好地解决了这一难题。研究表明,日光温室后墙白天接受太阳总辐射约占温室接 收太阳总辐射的50%~60%,夜间,室内获得的热量中墙面放热量约占 1/3,地面放热量约 占2/3。此外,土壤夜间放热性能较为稳定,受气候条件影响小。(1)指出沙漠温室的主要功能。(3分) (2)简述温室建设厚实后墙的作用。(6分) (3)解释水幕集热—地暖加温系统能减轻冻害问题的原因。(6分) (4)电动卷帘可以根据气温高低对玻璃进行择时覆盖。根据沙漠地区的气温变化分析电动卷 帘覆盖的时间。(4分) 答案 (1)保温、保湿、防风沙。 (2)墙面太阳高度大,吸收太阳辐射多;墙体厚实,蓄热能力强;保温效果好;厚实的墙体 较为稳固,利于阻挡(偏北)风沙。 (3)墙面白天吸热多夜晚放热少;地面白天获得太阳辐射少而夜晚放热多;水幕集热—地暖 加温系统将白天墙体获得的热量传递给土壤;夜晚气温较低时土壤也能稳定放热而减少冻害。 (4)冬季夜晚,沙漠气温过低,覆盖可以起到保温作用;夏季白天,气温过高,覆盖可以减 弱温室效应。