当前位置:首页>文档>第二章 第1讲 真题专练_9.2025地理总复习_2025年新高考资料_一轮复习_2025高考大一轮复习讲义+练习(完结)_2025高考大一轮复习地理(人教版)_配套Word版文档第一部分第一~二章

第二章 第1讲 真题专练_9.2025地理总复习_2025年新高考资料_一轮复习_2025高考大一轮复习讲义+练习(完结)_2025高考大一轮复习地理(人教版)_配套Word版文档第一部分第一~二章

  • 2026-04-03 18:08:41 2026-03-14 01:38:01

文档预览

第二章 第1讲 真题专练_9.2025地理总复习_2025年新高考资料_一轮复习_2025高考大一轮复习讲义+练习(完结)_2025高考大一轮复习地理(人教版)_配套Word版文档第一部分第一~二章
第二章 第1讲 真题专练_9.2025地理总复习_2025年新高考资料_一轮复习_2025高考大一轮复习讲义+练习(完结)_2025高考大一轮复习地理(人教版)_配套Word版文档第一部分第一~二章
第二章 第1讲 真题专练_9.2025地理总复习_2025年新高考资料_一轮复习_2025高考大一轮复习讲义+练习(完结)_2025高考大一轮复习地理(人教版)_配套Word版文档第一部分第一~二章
第二章 第1讲 真题专练_9.2025地理总复习_2025年新高考资料_一轮复习_2025高考大一轮复习讲义+练习(完结)_2025高考大一轮复习地理(人教版)_配套Word版文档第一部分第一~二章
第二章 第1讲 真题专练_9.2025地理总复习_2025年新高考资料_一轮复习_2025高考大一轮复习讲义+练习(完结)_2025高考大一轮复习地理(人教版)_配套Word版文档第一部分第一~二章

文档信息

文档格式
docx
文档大小
0.836 MB
文档页数
5 页
上传时间
2026-03-14 01:38:01

文档内容

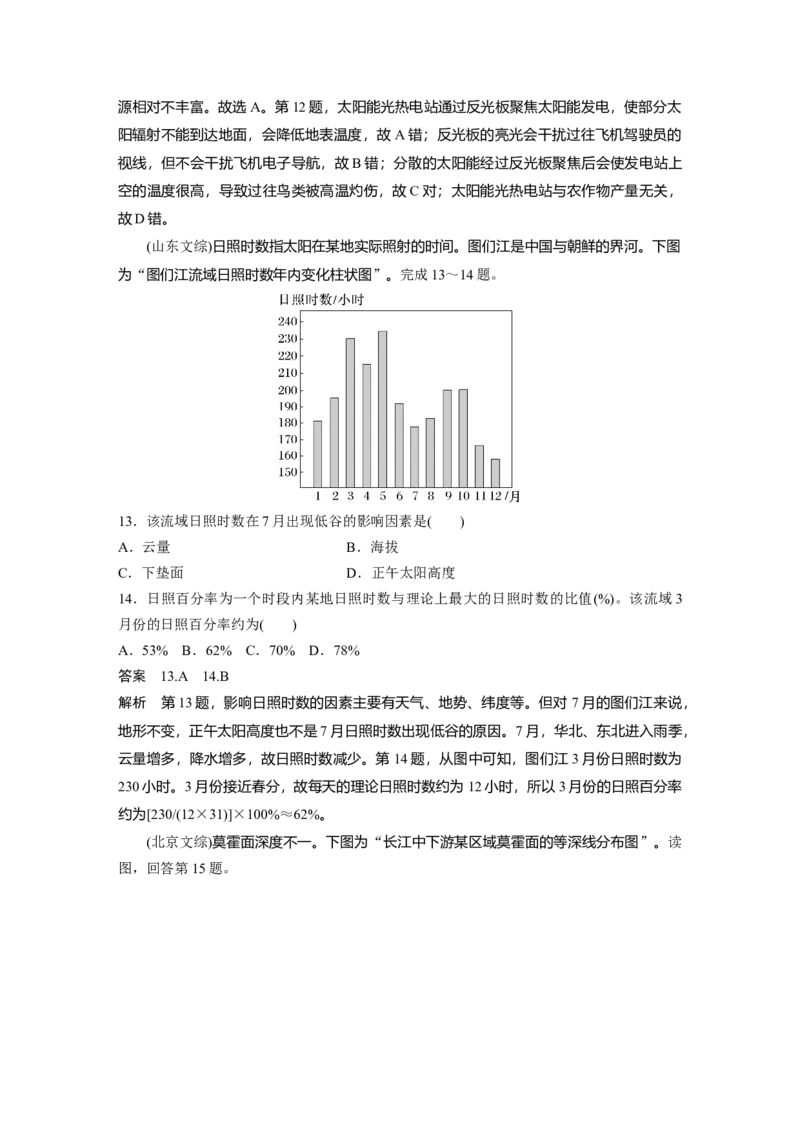
真题专练 (上海地理)太空中隐藏着无限的奥秘,人类对太空的探索越来越深入……据此回答1~2 题。 1.人类在探月过程中发现,月球表面覆盖着厚厚的月壤。月壤的形成主要是由于月球表面( ) A.平均温度过低 B.平均温度过高 C.温度变化无常 D.昼夜温差过大 2.2018年我国将发射嫦娥4号飞行器,实现人类首次在月球背面软着陆。飞行器在月球表 面会受到诸多来自宇宙空间的威胁,其中人类难以预估的威胁可能是月球表面( ) A.空气太稀薄 B.宇宙辐射太强 C.陨石撞击太多 D.月球引力太小 答案 1.D 2.C 解析 第1题,月球表面是真空状态,没有大气和水,表面由岩石组成,热容量小,昼夜温 差大;月球表面存在强烈的热胀冷缩和物理风化作用,破坏表面岩石形成月壤,故选D。第 2题,由于月球表面是真空状态,没有大气的保护,因而月球表面陨石撞击密集,对飞行器 威胁大且难以预估,故选C。 (2021·全国文综甲)2011年日本福岛核泄漏事件之后,德国宣布逐步放弃核电而重点发 展光伏发电。下图示意2014年某日德国电力总需求和电力净需求的变化(电力净需求量=电 力总需求量-光伏发电量)。据此完成3~5题。 3.图示这一天所在的月份是( ) A.3月 B.6月 C.9月 D.12月 4.随着光伏发电量的增加,电力净需求量( ) A.全天性减少 B.时段性增加 C.时段性减少 D.不发生变化 5.降低夜间的电力净需求量,关键是发展( ) A.火力发电技术 B.光伏发电技术C.特高压输电技术 D.电能储存技术 答案 3.B 4.C 5.D 解析 第3题,根据电力净需求量=电力总需求量-光伏发电量可以得出该日光伏发电的时 间,从而可以推断该日有太阳光的时长大约15小时,德国位于北半球中高纬度,昼长夜短, 显然是夏半年,排除D;德国该日昼长15小时,远大于12小时,3月、9月都接近二分日, 接近昼夜平分,排除A、C;6月接近夏至日,北半球中高纬度昼长可达15小时,选B。第 4题,图中曲线显示,随着光伏发电量增加,电力净需求量预测大约在3时到18时减少,其 余时段没有变化,选C。第5题,根据公式,电力净需求量=电力总需求量-光伏发电量, 要降低夜间电力净需求量,需要增加光伏发电量,而光伏发电在白天进行,若夜间使用必须 提高电能的储存量,因此要发展电能储存技术,B错误,D正确;火力发电技术和特高压输 电技术与此无关,A、C错误。故选D。 (北京文综)下图为“我国某地立秋至处暑期间天气晴好条件下辐射量日变化示意图”。 读图,回答6~7题。 6.代表太阳辐射变化的曲线是( ) A.① B.② C.③ D.④ 7.该地最可能位于( ) A.珠江三角洲 B.河西走廊 C.松嫩平原 D.钓鱼岛 答案 6.C 7.B 解析 第6题,立秋至处暑期间,太阳直射点在北半球,我国昼长夜短,日出地方时早于6 时,日落晚于18时,在日出之前、日落之后的太阳辐射应该是 0,而不是大于0或者小于 0,图中只有③符合条件,故选C。第7题,太阳辐射应在当地12时前后达到最大值,根据 上题分析可知,③表示太阳辐射的变化曲线,该曲线达到最大值时,北京时间约在 13~14 时,所以当地的经度大约位于90°E~105°E,A、C、D错(注意珠江三角洲的经度大约位于 110°E~120°E之间),B正确,故选B。 (浙江选考)2015年7月14日“新视野号”飞船经过9年多的太空飞行,到达最接近冥 王星的位置。完成8~10题。 8.“新视野号”飞船在飞向冥王星的过程中,接触到太阳系中天体最多的是( )A.恒星 B.行星 C.流星体 D.行星际物质 9.威胁“新视野号”飞船在太空中安全运行的太阳活动是( ) ①黑子 ②耀斑 ③日珥 ④太阳风 A.①③ B.②③ C.③④ D.②④ 10.获取“新视野号”飞船传输的数据并输出专题图像,运用的地理信息技术是( ) ①地理信息系统 ②卫星遥感技术 ③全球定位系统 ④航空遥感技术 A.①② B.②③ C.①④ D.③④ 答案 8.D 9.D 10.A 解析 第8题,太阳系是由太阳、围绕太阳运行的行星、矮行星,以及小行星、彗星、卫星 和行星际物质等组成;行星际物质是填充在太阳系的物质,包括星际气体、星际尘埃。“新 视野号”飞船在飞向冥王星的过程中,仍然处在太阳系中,没有其他恒星;太阳系中行星际 物质的数量远远大于其他天体的数量。故选D。第9题,太阳活动最激烈的标志是耀斑和太 阳风,耀斑爆发时,太阳风格外强烈,引起地球大气电离层的电磁扰动,产生磁暴,影响无 线电短波通信,干扰电子设备,威胁运行在太空中的宇航器的运行,②④正确,故选D。第 10题,获取“新视野号”飞船传输的数据,需要用卫星遥感技术;处理、分析这些数据信 息及输出专题图像采用的是地理信息系统,①②正确。故选A。 (全国文综Ⅰ)太阳能光热电站(下图)通过数以十万计的反光板聚焦太阳能,给高塔顶端 的锅炉加热,产生蒸汽,驱动发电机发电。据此完成11~12题。 11.我国下列地区中,资源条件最适宜建太阳能光热电站的是( ) A.柴达木盆地 B.黄土高原 C.山东半岛 D.东南丘陵 12.太阳能光热电站可能会( ) A.提升地表温度 B.干扰飞机电子导航 C.误伤途经飞鸟 D.提高作物产量 答案 11.A 12.C 解析 第11题,最适宜建太阳能光热电站的地区是太阳能资源丰富的地区。柴达木盆地位 于青藏高原地区,地势高,大气稀薄,晴天多,日照时间长,太阳能资源丰富;而黄土高原、 山东半岛和东南丘陵位于我国东部季风区,夏秋季节受夏季风影响,阴雨天较多,太阳能资源相对不丰富。故选A。第12题,太阳能光热电站通过反光板聚焦太阳能发电,使部分太 阳辐射不能到达地面,会降低地表温度,故 A错;反光板的亮光会干扰过往飞机驾驶员的 视线,但不会干扰飞机电子导航,故B错;分散的太阳能经过反光板聚焦后会使发电站上 空的温度很高,导致过往鸟类被高温灼伤,故C对;太阳能光热电站与农作物产量无关, 故D错。 (山东文综)日照时数指太阳在某地实际照射的时间。图们江是中国与朝鲜的界河。下图 为“图们江流域日照时数年内变化柱状图”。完成13~14题。 13.该流域日照时数在7月出现低谷的影响因素是( ) A.云量 B.海拔 C.下垫面 D.正午太阳高度 14.日照百分率为一个时段内某地日照时数与理论上最大的日照时数的比值(%)。该流域3 月份的日照百分率约为( ) A.53% B.62% C.70% D.78% 答案 13.A 14.B 解析 第13题,影响日照时数的因素主要有天气、地势、纬度等。但对 7月的图们江来说, 地形不变,正午太阳高度也不是7月日照时数出现低谷的原因。7月,华北、东北进入雨季, 云量增多,降水增多,故日照时数减少。第 14题,从图中可知,图们江3月份日照时数为 230小时。3月份接近春分,故每天的理论日照时数约为12小时,所以3月份的日照百分率 约为[230/(12×31)]×100%≈62%。 (北京文综)莫霍面深度不一。下图为“长江中下游某区域莫霍面的等深线分布图”。读 图,回答第15题。15.据图可推断( ) A.①地地壳厚度最薄 B.②地金属矿产丰富 C.③地地幔深度最浅 D.④地地下水埋藏深 答案 B 解析 莫霍面是地壳和地幔的分界面,莫霍面以上到地表为地壳。莫霍面深度越小,地壳越 薄,图中①地莫霍面深度为38.5~39.0千米,不是最小的,故地壳厚度不是最薄的。②地位 于河流附近,且该处河流大致沿莫霍面等深线发育,说明②地可能位于莫霍面断裂带上,因 此②地金属矿产丰富。③地莫霍面深度为37.5~38.0千米,不是最小的,故地幔深度不是最 浅的。④地位于河流附近,地下水埋藏浅。