当前位置:首页>文档>专题23圆锥曲线与内心问题(原卷版)_2.2025数学总复习_2024年新高考资料_3.2024专项复习_2024年新高考数学之圆锥曲线专项重难点突破练(新高考专用)

专题23圆锥曲线与内心问题(原卷版)_2.2025数学总复习_2024年新高考资料_3.2024专项复习_2024年新高考数学之圆锥曲线专项重难点突破练(新高考专用)

  • 2026-04-19 02:24:17 2026-03-17 05:27:00

文档预览

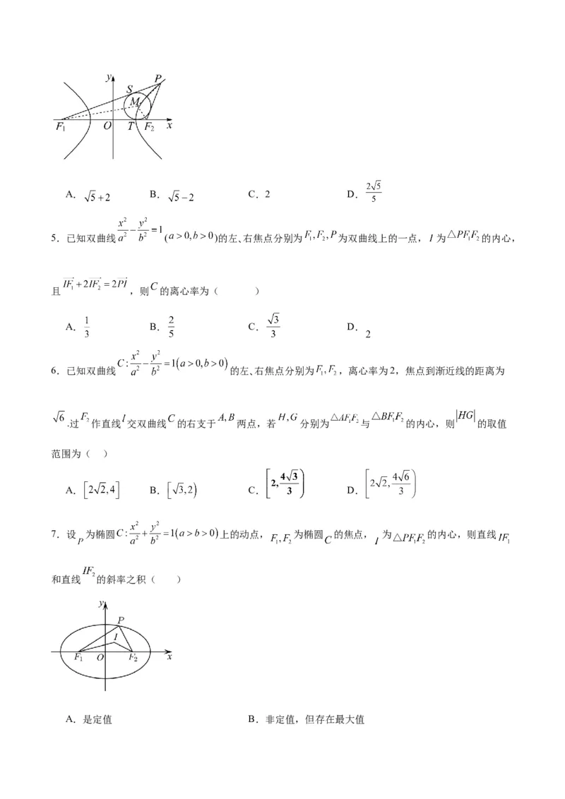
专题23圆锥曲线与内心问题(原卷版)_2.2025数学总复习_2024年新高考资料_3.2024专项复习_2024年新高考数学之圆锥曲线专项重难点突破练(新高考专用)
专题23圆锥曲线与内心问题(原卷版)_2.2025数学总复习_2024年新高考资料_3.2024专项复习_2024年新高考数学之圆锥曲线专项重难点突破练(新高考专用)
专题23圆锥曲线与内心问题(原卷版)_2.2025数学总复习_2024年新高考资料_3.2024专项复习_2024年新高考数学之圆锥曲线专项重难点突破练(新高考专用)
专题23圆锥曲线与内心问题(原卷版)_2.2025数学总复习_2024年新高考资料_3.2024专项复习_2024年新高考数学之圆锥曲线专项重难点突破练(新高考专用)
专题23圆锥曲线与内心问题(原卷版)_2.2025数学总复习_2024年新高考资料_3.2024专项复习_2024年新高考数学之圆锥曲线专项重难点突破练(新高考专用)
专题23圆锥曲线与内心问题(原卷版)_2.2025数学总复习_2024年新高考资料_3.2024专项复习_2024年新高考数学之圆锥曲线专项重难点突破练(新高考专用)
专题23圆锥曲线与内心问题(原卷版)_2.2025数学总复习_2024年新高考资料_3.2024专项复习_2024年新高考数学之圆锥曲线专项重难点突破练(新高考专用)
专题23圆锥曲线与内心问题(原卷版)_2.2025数学总复习_2024年新高考资料_3.2024专项复习_2024年新高考数学之圆锥曲线专项重难点突破练(新高考专用)

文档信息

文档格式
docx
文档大小
0.411 MB
文档页数
8 页
上传时间
2026-03-17 05:27:00

文档内容

专题23 圆锥曲线与内心问题 限时:120分钟 满分:150分 一、单选题:本大题共8小题,每个小题5分,共40分.在每小题给出的选项中,只有一项是符合题目要 求的. 1.已知点 , 分别是椭圆 : 的左、右焦点,点P是椭圆E上的一点,若 的内心是G,且 ,则椭圆E的离心率为( ) A. B. C. D. 2.已知 、 是椭圆 的左右焦点,点 为 上一动点,且 ,若 为 的内心,则 面积的取值范围是( ) A. B. C. D. 3.若椭圆 的离心率为 ,两个焦点分别为 , , 为椭圆 上异于顶点的任意一点,点 是 的内心,连接 并延长交 于点 ,则 ( ) A.2 B. C.4 D. 4.已知 , 分别为双曲线 的左、右焦点,且 ,点P为双曲线右支上一点,M为 的内心,若 成立,则λ的值为( )A. B. C.2 D. 5.已知双曲线 ( )的左、右焦点分别为 为双曲线上的一点, 为 的内心, 且 ,则 的离心率为( ) A. B. C. D. 6.已知双曲线 的左、右焦点分别为 ,离心率为2,焦点到渐近线的距离为 .过 作直线 交双曲线 的右支于 两点,若 分别为 与 的内心,则 的取值 范围为( ) A. B. C. D. 7.设 为椭圆 上的动点, 为椭圆 的焦点, 为 的内心,则直线 和直线 的斜率之积( ) A.是定值 B.非定值,但存在最大值C.非定值,但存在最小值 D.非定值,且不存在最值 8.已知双曲线 的左、右焦点分别为 ,过右焦点 的直线 与双曲线的右支交于 两点, 若 的内心分别为 ,则 与 面积之和的取值范围是( ) A. B. C. D. 二、多选题:本大题共4小题,每个小题5分,共20分.在每小题给出的选项中,只有一项或者多项是符 合题目要求的. 9.已知 , 分别为双曲线 的左、右焦点,M为C的右顶点,过 的直线与C的 右支交于A,B两点(其中点A在第一象限),设点P,Q分别为 , 的内心,R,r分别为 , 内切圆的半径,则( ) A.点M在直线PQ上 B.点M在直线PQ的左侧 C. D. 10.已知椭圆: 的左、右焦点分别为 ,右顶点为A,点M为椭圆 上一点,点 I是 的内心,延长MI交线段 于N,抛物线 (其中c为椭圆下的半焦距)与椭圆 交于B,C两点,若四边形 是菱形,则下列结论正确的是( ) A. B.椭圆 的离心率是 C. 的最小值为 D. 的值为 11.已知双曲线 的左、右顶点分别为 , ,左、右焦点分别为 , ,点 是双曲线 的右支上一点,且三角形 为正三角形( 为坐标原点),记 , 的斜率分别为 , , 设 为 的内心,记 , , 的面积分别为 , , ,则下列说法正确的是 ( ) A. B.双曲线 的离心率为 C. D. 12.已知 , 分别是双曲线 的左、右焦点,过 且倾斜角为 的直线交双曲 线C的右支于A,B两点,I为 的内心,O为坐标原点,则下列结论成立的是( ) A.若C的离心率 ,则 的取值范围是 B.若 且 ,则C的离心率 C.若C的离心率 ,则 D.过 作 ,垂足为P,若I的横坐标为m,则 三、填空题:本大题共4小题,每小题5分,共20分.把答案填在答题卡中的横线上. 13.已知双曲线的中心在原点,右顶点为 ,点 在双曲线的右支上,点 到直线 的距离 为1.当 时, 的内心恰好是点 ,则双曲线的方程 . 14.已知双曲线 的左、右焦点分别为 , ,P是C在第一象限上的一点,且 直线 的斜率为 ,点B为 的内心,直线PB交x轴于点A,且 ,则双曲线C的渐近 线方程为 .15.已知双曲线 的左、右焦点分别为 , ,M是双曲线C右支上一点,记 的重心为G,内心为I.若 ,则双曲线C的离心率为 . 16.已知 , 分别为椭圆 的左、右焦点,点 在椭圆上,点 为 的内心,若 ,则 的面积为 . 四、解答题:本大题共6小题,共70分.解答应写出必要的文字说明、证明过程或演算步骤. 17.已知椭圆 的左、右焦点分别为 ,其离心率是 , 为椭圆上异于长轴端 点的一点, ,设 的内心为 ,且 . (Ⅰ)求椭圆 的方程; (Ⅱ)已知直线 过定点 ,若椭圆 上存在两点 关于直线 对称,求直线 斜率 的取值范围. 18.已知椭圆C: ,直线 与以原点为圆心,以椭圆C的短半轴长为半径的 圆相切, 为其左、右焦点,P为椭圆C上任一点, 的重心为G,内心为I,且 . (1)求椭圆C的方程; (2)若直线 与椭圆C交于不同的两点A、B,且线段AB的垂直平分线 过定点 ,求实数k的取值范围.19.已知 是圆 : 上的动点,点 ,直线 与圆 的另一个交点为 ,点 在直线 上, ,动点 的轨迹为曲线 . (1)求曲线 的方程; (2)若过点 的直线 与曲线 相交于 , 两点,且 , 都在 轴上方,问:在 轴上是否存在定 点 ,使得 的内心在一条定直线上?请你给出结论并证明. 20.已知椭圆 , 直线 与以原点为圆心,以椭圆 的短半轴为半径的圆相切, 为其左右焦点, 为椭圆 上的任意一点, 的重心为 ,内心为 ,且 , (Ⅰ)求椭圆 的方程; (Ⅱ)已知 为椭圆 上的左顶点,直线 过右焦点 与椭圆 交于 两点,若 的斜率 满 足 ,求直线 的方程.21.已知点 是双曲线 的左、右焦点, 是 右支上一点, 的周长为 , 为 的内心,且满足 . (1)求双曲线 的标准方程; (2)过 的直线 与双曲线的右支交于 两点,与 轴交于点 ,满足 (其中 ),求 的取值范围. 22.已知椭圆 的右焦点为 ,点A,B在椭圆C上,点 到直线 的距 离为 ,且 的内心恰好是点D. (1)求椭圆C的标准方程;(2)已知O为坐标原点,M,N为椭圆上不重合两点,且M,N的中点H在直线 上,求 面积的 最大值.