当前位置:首页>文档>19.1.1变量与常量(第一课时)(教学设计)-(人教版)_初中数学_八年级数学下册(人教版)_最新教学设计

19.1.1变量与常量(第一课时)(教学设计)-(人教版)_初中数学_八年级数学下册(人教版)_最新教学设计

  • 2026-04-05 01:54:54 2026-03-18 23:38:45

文档预览

19.1.1变量与常量(第一课时)(教学设计)-(人教版)_初中数学_八年级数学下册(人教版)_最新教学设计
19.1.1变量与常量(第一课时)(教学设计)-(人教版)_初中数学_八年级数学下册(人教版)_最新教学设计
19.1.1变量与常量(第一课时)(教学设计)-(人教版)_初中数学_八年级数学下册(人教版)_最新教学设计
19.1.1变量与常量(第一课时)(教学设计)-(人教版)_初中数学_八年级数学下册(人教版)_最新教学设计
19.1.1变量与常量(第一课时)(教学设计)-(人教版)_初中数学_八年级数学下册(人教版)_最新教学设计
19.1.1变量与常量(第一课时)(教学设计)-(人教版)_初中数学_八年级数学下册(人教版)_最新教学设计
19.1.1变量与常量(第一课时)(教学设计)-(人教版)_初中数学_八年级数学下册(人教版)_最新教学设计
19.1.1变量与常量(第一课时)(教学设计)-(人教版)_初中数学_八年级数学下册(人教版)_最新教学设计
19.1.1变量与常量(第一课时)(教学设计)-(人教版)_初中数学_八年级数学下册(人教版)_最新教学设计

文档信息

文档格式
docx
文档大小
2.445 MB
文档页数
9 页
上传时间
2026-03-18 23:38:45

文档内容

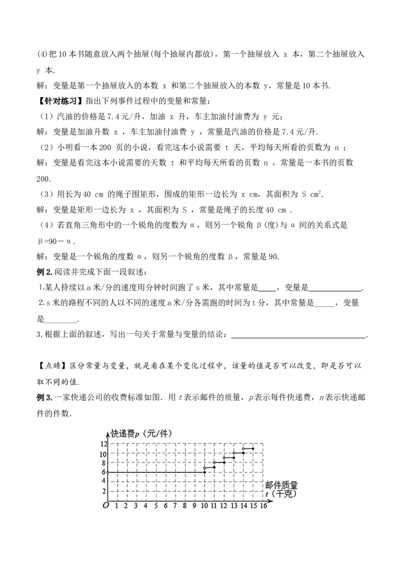
人教版初中数学八年级下册 19.1.1变量与常量 教学设计 一、教学目标: 1.了解变量与常量的意义. 2.在实际问题中,会区分常量与变量,能够建立变量之间的关系式. 二、教学重、难点: 重点:掌握在简单的过程中辨别常量和变量的方法. 难点:体会变化与对应的数学思想,感悟事物之间相互联系. 三、教学过程: 情境引入 “万物皆变”——行星在宇宙中的位置随时间而变化,气温随海拔而变化,树高随树龄而变 化…… 知识精讲 问题1 汽车以60 km/h的速度匀速行驶,行驶路程为 s km,行驶时间为 t h. 1.请同学们根据题意填写下表: t/h 1 2 3 4 5 s/km 2.在以上这个过程中,变化的量是:_______________;不变化的量是:_____________. 3.试用含 t 的式子表示 s :________. 这个问题反映了匀速行驶的汽车所行驶的路程___随行驶时间___的变化过程. 问题2 电影票售价为10元/张.第一场售出票150张票,第二场售出票205张票,第三场售出 310张票,三场电影的票房收入各多少元?设一场电影售出 x 张票,票房收入y 元. 1.第一场票房收入=_________________; 第二场票房收入=_________________; 第三场票房收入=_________________. 2.在以上这个过程中,变化的量是:________________________;不变化的量是: __________. 3.试用含 x 的式子表示 y :________. 这个问题反映了票房收入____随售票张数____的变化过程. 问题3 你见过水中涟漪吗,如图,圆形水波慢慢地扩大.在这一过程中,当圆的半径 r 分别 为10cm,20cm,30cm时,圆的面积 S 分别为多少? 1.圆的面积公式:_______. 当r=10cm时,S=____________; 当r=20cm时,S=____________; 当r=30cm时,S=____________.2.在以上这个过程中, 变化的量是:______________________;不变化的量是:___________. 这个问题反映了圆的面积____随圆的半径____的变化过程. 问题4 用10m长的绳子围一个矩形.当矩形的一边长 x 分别为3m,3.5m,4m,4.5m时,它的 邻边长 y 分别为多少? 1.请同学们根据题意填写下表: x/m 3 3.5 4 4.5 y/m 2.在以上这个过程中, 变化的量是:__________________;不变化的量是:_________. 3.试用含 x 的式子表示 y :_______. 这个问题反映了矩形的一邻边长___随另一边长___的变化过程. 归纳: 1.小结:在上面的问题反映了不同事物的变化过程,其中有些些量(例如时间 t,路程 s;售 出票数 x,票房收入 y;圆的面积 S,半径 r…)的值按照某种规律变化;有些量的值始终不 变(例如汽车的速度60km/h,电影票的单价10元/张,圆周率π…). 变量:在一个变化过程中,数值发生变化的量为变量. 2.剖析:s = 60t,y =10x,S=πr2. 常量:在一个变化过程中,数值始终不变的量为常量. 典例解析 例1.指出下列问题的变量和常量: (1)某市的自来水价为4元/t.现要抽取若干户居民调查水费支出情况,记某户月用水量为 x t,月应交水费为 y 元. 解:变量是用水量x和应交水费y,常量是水价4元/t. (2)某地手机通话费为0.2元/min.李明在手机话费卡中存入30元,记此后他的手机通话时间 为 t min,话费卡中的余额为 w 元. 解:变量是通话时间 t 和话费余额 w,常量是话费0.2元/min和存入话费30元. (3)水中涟漪(圆形水波)不断扩大,记它的半径为 r,圆周长为 C,圆周率(圆周长与直径之 比)为π. 解:变量是圆的半径r和圆的周长C,常量是圆周率π.(4)把10本书随意放入两个抽屉(每个抽屉内都放),第一个抽屉放入 x 本,第二个抽屉放入 y 本. 解:变量是第一个抽屉放入的本数 x 和第二个抽屉放入的本数 y,常量是10本书. 【针对练习】指出下列事件过程中的变量和常量: (1)汽油的价格是7.4元/升,加油 x 升,车主加油付油费为 y 元; 解:变量是加油升数 x ,车主加油付油费 y ,常量是汽油的价格是7.4元/升. (2)小明看一本200 页的小说,看完这本小说需要 t 天,平均每天所看的页数为 n ; 解:变量是看完这本小说需要的天数 t 和平均每天所看的页数 n ,常量是一本书的页数 200. (3)用长为40 cm 的绳子围矩形,围成的矩形一边长为 x cm,其面积为 S cm2. 解:变量是矩形一边长为 x ,其面积为 S ,常量是绳子的长度40 cm . (4)若直角三角形中的一个锐角的度数为α,则另一个锐角β(度)与α间的关系式是 β=90-α. 解:变量是一个锐角的度数α,则另一个锐角的度数β,常量是90. 例2.阅读并完成下面一段叙述: ⒈某人持续以a米/分的速度用分钟时间跑了s米,其中常量是 ,变量是 . ⒉s米的路程不同的人以不同的速度a米/分各需跑的时间为t分,其中常量是_____,变量 是________. 3.根据上面的叙述,写出一句关于常量与变量的结论: ________________________ _ . 【点睛】区分常量与变量,就是看在某个变化过程中,该量的值是否可以改变,即是否可以 取不同的值. 例3.一家快递公司的收费标准如图.用t表示邮件的质量,p表示每件快递费,n表示快递邮 件的件数.(1)填写下表. (2)在投寄快递邮件的事项中,t,p,n是常量,还是变量?若0