当前位置:首页>文档>冲刺985211名校之2023届新高考题型模拟训练专题31圆锥曲线大题综合(新高考通用)解析版_2.2025数学总复习_2023年新高考资料_专项复习

冲刺985211名校之2023届新高考题型模拟训练专题31圆锥曲线大题综合(新高考通用)解析版_2.2025数学总复习_2023年新高考资料_专项复习

  • 2026-03-23 08:11:52 2026-03-19 07:27:11

文档预览

冲刺985211名校之2023届新高考题型模拟训练专题31圆锥曲线大题综合(新高考通用)解析版_2.2025数学总复习_2023年新高考资料_专项复习
冲刺985211名校之2023届新高考题型模拟训练专题31圆锥曲线大题综合(新高考通用)解析版_2.2025数学总复习_2023年新高考资料_专项复习
冲刺985211名校之2023届新高考题型模拟训练专题31圆锥曲线大题综合(新高考通用)解析版_2.2025数学总复习_2023年新高考资料_专项复习
冲刺985211名校之2023届新高考题型模拟训练专题31圆锥曲线大题综合(新高考通用)解析版_2.2025数学总复习_2023年新高考资料_专项复习
冲刺985211名校之2023届新高考题型模拟训练专题31圆锥曲线大题综合(新高考通用)解析版_2.2025数学总复习_2023年新高考资料_专项复习
冲刺985211名校之2023届新高考题型模拟训练专题31圆锥曲线大题综合(新高考通用)解析版_2.2025数学总复习_2023年新高考资料_专项复习
冲刺985211名校之2023届新高考题型模拟训练专题31圆锥曲线大题综合(新高考通用)解析版_2.2025数学总复习_2023年新高考资料_专项复习
冲刺985211名校之2023届新高考题型模拟训练专题31圆锥曲线大题综合(新高考通用)解析版_2.2025数学总复习_2023年新高考资料_专项复习
冲刺985211名校之2023届新高考题型模拟训练专题31圆锥曲线大题综合(新高考通用)解析版_2.2025数学总复习_2023年新高考资料_专项复习
冲刺985211名校之2023届新高考题型模拟训练专题31圆锥曲线大题综合(新高考通用)解析版_2.2025数学总复习_2023年新高考资料_专项复习
冲刺985211名校之2023届新高考题型模拟训练专题31圆锥曲线大题综合(新高考通用)解析版_2.2025数学总复习_2023年新高考资料_专项复习
冲刺985211名校之2023届新高考题型模拟训练专题31圆锥曲线大题综合(新高考通用)解析版_2.2025数学总复习_2023年新高考资料_专项复习
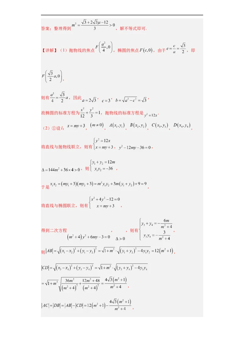
冲刺985211名校之2023届新高考题型模拟训练专题31圆锥曲线大题综合(新高考通用)解析版_2.2025数学总复习_2023年新高考资料_专项复习
冲刺985211名校之2023届新高考题型模拟训练专题31圆锥曲线大题综合(新高考通用)解析版_2.2025数学总复习_2023年新高考资料_专项复习
冲刺985211名校之2023届新高考题型模拟训练专题31圆锥曲线大题综合(新高考通用)解析版_2.2025数学总复习_2023年新高考资料_专项复习
冲刺985211名校之2023届新高考题型模拟训练专题31圆锥曲线大题综合(新高考通用)解析版_2.2025数学总复习_2023年新高考资料_专项复习
冲刺985211名校之2023届新高考题型模拟训练专题31圆锥曲线大题综合(新高考通用)解析版_2.2025数学总复习_2023年新高考资料_专项复习
冲刺985211名校之2023届新高考题型模拟训练专题31圆锥曲线大题综合(新高考通用)解析版_2.2025数学总复习_2023年新高考资料_专项复习
冲刺985211名校之2023届新高考题型模拟训练专题31圆锥曲线大题综合(新高考通用)解析版_2.2025数学总复习_2023年新高考资料_专项复习
冲刺985211名校之2023届新高考题型模拟训练专题31圆锥曲线大题综合(新高考通用)解析版_2.2025数学总复习_2023年新高考资料_专项复习
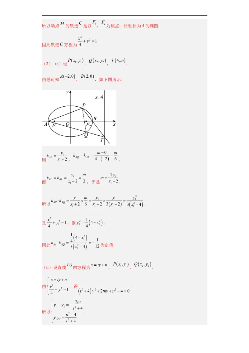
冲刺985211名校之2023届新高考题型模拟训练专题31圆锥曲线大题综合(新高考通用)解析版_2.2025数学总复习_2023年新高考资料_专项复习
冲刺985211名校之2023届新高考题型模拟训练专题31圆锥曲线大题综合(新高考通用)解析版_2.2025数学总复习_2023年新高考资料_专项复习
冲刺985211名校之2023届新高考题型模拟训练专题31圆锥曲线大题综合(新高考通用)解析版_2.2025数学总复习_2023年新高考资料_专项复习
冲刺985211名校之2023届新高考题型模拟训练专题31圆锥曲线大题综合(新高考通用)解析版_2.2025数学总复习_2023年新高考资料_专项复习
冲刺985211名校之2023届新高考题型模拟训练专题31圆锥曲线大题综合(新高考通用)解析版_2.2025数学总复习_2023年新高考资料_专项复习
冲刺985211名校之2023届新高考题型模拟训练专题31圆锥曲线大题综合(新高考通用)解析版_2.2025数学总复习_2023年新高考资料_专项复习
冲刺985211名校之2023届新高考题型模拟训练专题31圆锥曲线大题综合(新高考通用)解析版_2.2025数学总复习_2023年新高考资料_专项复习
冲刺985211名校之2023届新高考题型模拟训练专题31圆锥曲线大题综合(新高考通用)解析版_2.2025数学总复习_2023年新高考资料_专项复习
冲刺985211名校之2023届新高考题型模拟训练专题31圆锥曲线大题综合(新高考通用)解析版_2.2025数学总复习_2023年新高考资料_专项复习
冲刺985211名校之2023届新高考题型模拟训练专题31圆锥曲线大题综合(新高考通用)解析版_2.2025数学总复习_2023年新高考资料_专项复习
冲刺985211名校之2023届新高考题型模拟训练专题31圆锥曲线大题综合(新高考通用)解析版_2.2025数学总复习_2023年新高考资料_专项复习
冲刺985211名校之2023届新高考题型模拟训练专题31圆锥曲线大题综合(新高考通用)解析版_2.2025数学总复习_2023年新高考资料_专项复习
冲刺985211名校之2023届新高考题型模拟训练专题31圆锥曲线大题综合(新高考通用)解析版_2.2025数学总复习_2023年新高考资料_专项复习
冲刺985211名校之2023届新高考题型模拟训练专题31圆锥曲线大题综合(新高考通用)解析版_2.2025数学总复习_2023年新高考资料_专项复习
冲刺985211名校之2023届新高考题型模拟训练专题31圆锥曲线大题综合(新高考通用)解析版_2.2025数学总复习_2023年新高考资料_专项复习
冲刺985211名校之2023届新高考题型模拟训练专题31圆锥曲线大题综合(新高考通用)解析版_2.2025数学总复习_2023年新高考资料_专项复习
冲刺985211名校之2023届新高考题型模拟训练专题31圆锥曲线大题综合(新高考通用)解析版_2.2025数学总复习_2023年新高考资料_专项复习
冲刺985211名校之2023届新高考题型模拟训练专题31圆锥曲线大题综合(新高考通用)解析版_2.2025数学总复习_2023年新高考资料_专项复习
冲刺985211名校之2023届新高考题型模拟训练专题31圆锥曲线大题综合(新高考通用)解析版_2.2025数学总复习_2023年新高考资料_专项复习
冲刺985211名校之2023届新高考题型模拟训练专题31圆锥曲线大题综合(新高考通用)解析版_2.2025数学总复习_2023年新高考资料_专项复习
冲刺985211名校之2023届新高考题型模拟训练专题31圆锥曲线大题综合(新高考通用)解析版_2.2025数学总复习_2023年新高考资料_专项复习
冲刺985211名校之2023届新高考题型模拟训练专题31圆锥曲线大题综合(新高考通用)解析版_2.2025数学总复习_2023年新高考资料_专项复习
冲刺985211名校之2023届新高考题型模拟训练专题31圆锥曲线大题综合(新高考通用)解析版_2.2025数学总复习_2023年新高考资料_专项复习
冲刺985211名校之2023届新高考题型模拟训练专题31圆锥曲线大题综合(新高考通用)解析版_2.2025数学总复习_2023年新高考资料_专项复习
冲刺985211名校之2023届新高考题型模拟训练专题31圆锥曲线大题综合(新高考通用)解析版_2.2025数学总复习_2023年新高考资料_专项复习
冲刺985211名校之2023届新高考题型模拟训练专题31圆锥曲线大题综合(新高考通用)解析版_2.2025数学总复习_2023年新高考资料_专项复习
冲刺985211名校之2023届新高考题型模拟训练专题31圆锥曲线大题综合(新高考通用)解析版_2.2025数学总复习_2023年新高考资料_专项复习
冲刺985211名校之2023届新高考题型模拟训练专题31圆锥曲线大题综合(新高考通用)解析版_2.2025数学总复习_2023年新高考资料_专项复习
冲刺985211名校之2023届新高考题型模拟训练专题31圆锥曲线大题综合(新高考通用)解析版_2.2025数学总复习_2023年新高考资料_专项复习
冲刺985211名校之2023届新高考题型模拟训练专题31圆锥曲线大题综合(新高考通用)解析版_2.2025数学总复习_2023年新高考资料_专项复习
冲刺985211名校之2023届新高考题型模拟训练专题31圆锥曲线大题综合(新高考通用)解析版_2.2025数学总复习_2023年新高考资料_专项复习
冲刺985211名校之2023届新高考题型模拟训练专题31圆锥曲线大题综合(新高考通用)解析版_2.2025数学总复习_2023年新高考资料_专项复习
冲刺985211名校之2023届新高考题型模拟训练专题31圆锥曲线大题综合(新高考通用)解析版_2.2025数学总复习_2023年新高考资料_专项复习
冲刺985211名校之2023届新高考题型模拟训练专题31圆锥曲线大题综合(新高考通用)解析版_2.2025数学总复习_2023年新高考资料_专项复习
冲刺985211名校之2023届新高考题型模拟训练专题31圆锥曲线大题综合(新高考通用)解析版_2.2025数学总复习_2023年新高考资料_专项复习
冲刺985211名校之2023届新高考题型模拟训练专题31圆锥曲线大题综合(新高考通用)解析版_2.2025数学总复习_2023年新高考资料_专项复习
冲刺985211名校之2023届新高考题型模拟训练专题31圆锥曲线大题综合(新高考通用)解析版_2.2025数学总复习_2023年新高考资料_专项复习
冲刺985211名校之2023届新高考题型模拟训练专题31圆锥曲线大题综合(新高考通用)解析版_2.2025数学总复习_2023年新高考资料_专项复习
冲刺985211名校之2023届新高考题型模拟训练专题31圆锥曲线大题综合(新高考通用)解析版_2.2025数学总复习_2023年新高考资料_专项复习
冲刺985211名校之2023届新高考题型模拟训练专题31圆锥曲线大题综合(新高考通用)解析版_2.2025数学总复习_2023年新高考资料_专项复习
冲刺985211名校之2023届新高考题型模拟训练专题31圆锥曲线大题综合(新高考通用)解析版_2.2025数学总复习_2023年新高考资料_专项复习

文档信息

文档格式
docx
文档大小
2.954 MB
文档页数
61 页
上传时间
2026-03-19 07:27:11

文档内容

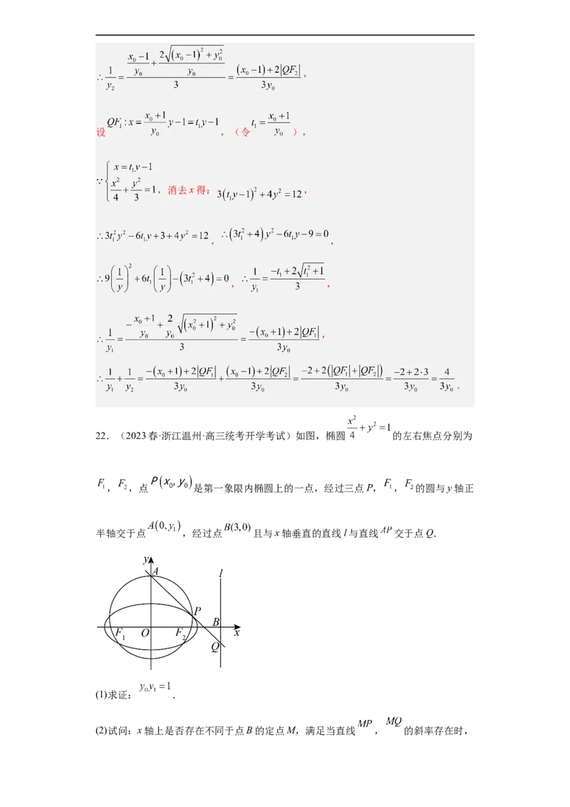
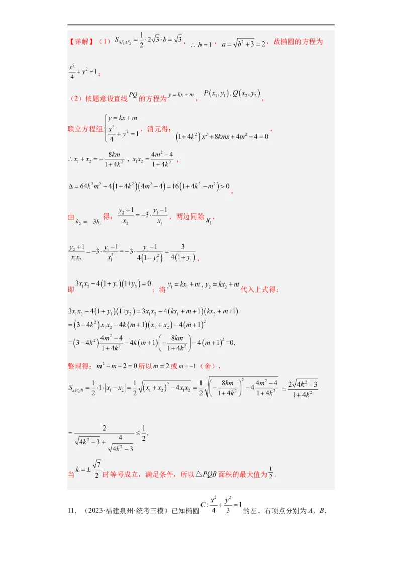
【冲刺985/211名校之2023届新高考题型模拟训练】 专题31 圆锥曲线大题综合 (新高考通用) 1.(2023春·江苏扬州·高三统考开学考试)已知 为抛物线 的弦, 点 在抛物线的准线 上.当 过抛物线焦点 且长度为 时, 中点 到 轴的距 离为 . (1)求抛物线 的方程; (2)若 为直角,求证:直线 过定点. 【答案】(1) (2)证明见解析 【分析】(1)利用抛物线弦长公式,以及中点到 轴的距离公式,计算出 即可; (2)先设 ,直线 的方程: ,联立方程组, 由韦达定理可得 , 又因为 为直角可得 ,化简求解可得 ,所以得出直线过定点 . 【详解】(1)设 ,则由题意得 , 解得 , 所以抛物线的方程为 (2)直线 过定点 ,证明如下: 设 ,直线 的方程: , 将 代入 得 ,则 ,得 , 由韦达定理可得 , 所以 , 因为 ,所以 ,即 , 即 , 即 ,所以 , 所以直线 过定点 . 2.(2023·江苏泰州·统考一模)已知双曲线 的左顶点为 ,过 左焦点 的直线与 交于 两点.当 轴时, , 的面积为3. (1)求 的方程; (2)证明:以 为直径的圆经过定点. 【答案】(1) (2)证明见解析 【分析】(1)根据题意,可得 , ,进而求解; (2)设 方程为 , ,联立直线和双曲线方程组,可得 ,以 为直径的圆的方程为 ,由对称性知以 为直径的圆必过 轴上的定点,进而得到 ,进而求解. 【详解】(1)当 轴时, 两点的横坐标均为 , 代入双曲线方程,可得 , ,即 , 由题意,可得 ,解得 , , , 双曲线 的方程为: ; (2)方法一:设 方程为 , , 以 为直径的圆的方程为 , 由对称性知以 为直径的圆必过 轴上的定点,令 ,可得 , 而 , ,对 恒成立, , 以 为直径的圆经过定点 ; 方法二:设 方程为 , 由对称性知以 为直径的圆必过 轴上的定点. 设以 为直径的圆过 , , 而 , , ,即 对 恒成立, ,即以 为直径的圆经过定点 . 3.(2023秋·浙江绍兴·高三期末)在平面直角坐标系 中,已知点 , 直线PA与直线PB的斜率之积为 ,记动点P的轨迹为曲线C. (1)求曲线C的方程; (2)若直线 与曲线C交于M,N两点,直线MA,NB与y轴分别交于E,F 两点,若 ,求证:直线l过定点. 【答案】(1) (2)证明见解析【分析】(1)设P点坐标为 ,由 可得结果; (2)设 ,联立 ,得 和 ,再求出 的坐标, 根据 得 ,从而可得结果. 【详解】(1)设P点坐标为 ,则 ,即 , 所以曲线C的方程为 . (2)设 ,由 ,消去 并整理得 , 由 ,得 , 所以 . , , 因为 ,所以 ,即 , , , 所以 , 所以 对任意 都成立,,故直线l过定点 . 4.(2023秋·浙江·高三期末)已知点 是双曲线 上一 点,B与A关于原点对称,F是右焦点, . (1)求双曲线的方程; (2)已知圆心在y轴上的圆C经过点 ,与双曲线的右支交于点M,N,且直线 经过F,求圆C的方程. 【答案】(1) (2) 【分析】(1)由已知条件列方程求出 ,即可求出双曲线的方程; (2)讨论直线 的斜率不存在时不满足题意;当斜率存在时设直线 的方程为 ,联立双曲线的方程,由韦达定理求出 的中点Q的坐标以及 的坐标, 根据勾股定理有 ,代入解方程即可得出答案. 【详解】(1)由已知条件得: 双曲线方程为: . (2)若直线 的斜率不存在,则圆C的圆心不在y轴上,因此不成立. 设直线 的方程为 ,由 消元得: ∴ 的中点Q的坐标为 . 设 ,直线 ,得 , 又 , 根据勾股定理有 ∴ . 化简得 解得 或 (舍) ∴ ,∴圆C的方程为 . 5.(2023春·广东揭阳·高三校考阶段练习)已知抛物线 的焦点为F,点F关于直线 的对称点恰好在y轴上. (1)求抛物线E的标准方程; (2)直线 与抛物线E交于A,B两点,线段AB的垂直平分线与x 轴交于点C,若 ,求 的最大值. 【答案】(1) (2) 【分析】(1) 由题意得 ,设F关于直线 的对称点为 ,根据 题意列出方程组,解之即可求解; (2)将直线方程与抛物线方程联立,利用韦达定理和弦长公式,并求得线段AB的垂直 平分线方程为 ,进而得到 ,利用函数的 单调性即可求解. 【详解】(1)由题意得 ,设F关于直线 的对称点为 ,则 ,解得 , ∴抛物线E的标准方程为 . (2)由 可得 ,设 , ,则, , ∴ , ,∴线段AB的中点坐标为 ,则线段AB的垂直 平分线方程为 ,令 ,得 ,故 , 又 ,得 . ∴ ,令 , 则 , ,∴ , 易知函数 在 上单调递增,∴当 时, 取得最小值, 此时 ,故 的最大值为 . 6.(2023·湖南邵阳·统考二模)已知双曲线 的右顶点为 , 左焦点 到其渐近线 的距离为2,斜率为 的直线 交双曲线 于A, B两点,且 . (1)求双曲线 的方程; (2)过点 的直线 与双曲线 交于P,Q两点,直线 , 分别与直线 相 交于 , 两点,试问:以线段 为直径的圆是否过定点?若过定点,求出定点的坐标;若不过定点,请说明理由. 【答案】(1) (2)以线段 为直径的圆过定点 和 . 【分析】(1)根据点到直线的距离公式即可求解 ,进而联立直线与双曲线方程, 根据弦长公式即可求解 , (2)联立直线与曲线的方程得韦达定理,根据圆的对称性可判断若有定点则在 轴上, 进而根据垂直关系得向量的坐标运算,即可求解. 【详解】(1)∵双曲线 的左焦点 到双曲线 的一条渐近线 的距 离为 ,而 ,∴ . ∴双曲线 的方程为 . 依题意直线 的方程为 . 由 消去y整理得: , 依题意: , ,点A,B的横坐标分别为 , 则 . ∵ ,∴ . ∴ ,∴ . 即 ,解得 或 (舍去),且 时, ,∴双曲线 的方程为 . (2)依题意直线 的斜率不等于0,设直线 的方程为 . 由 消去 整理得: , ∴ , . 设 , ,则 , . 直线 的方程为 ,令 得: ,∴ . 同理可得 .由对称性可知,若以线段 为直径的圆过定点,则该定点一 定在 轴上, 设该定点为 ,则 , , 故 . 解得 或 . 故以线段 为直径的圆过定点 和 . 【点睛】关键点睛:本题解题的关键是根据圆的对称性可判断定点在坐标轴上,结合 向量垂直的坐标运算化简求解就可,对计算能力要求较高.7.(2023春·湖南长沙·高三雅礼中学校考阶段练习)定义:一般地,当 且 时,我们把方程 表示的椭圆 称为椭圆 的 相似椭圆. (1)如图,已知 为 上的动点,延长 至点 , 使得 的垂直平分线与 交于点 ,记点 的轨迹为曲线 ,求 的 方程; (2)在条件(1)下,已知椭圆 是椭圆 的相似椭圆, 是椭圆 的左、右顶点. 点 是 上异于四个顶点的任意一点,当 ( 为曲线 的离心率)时,设直线 与椭圆 交于点 ,直线 与椭圆 交于点 ,求 的值. 【答案】(1) (2)5 【分析】(1)由图可知 是 的中位线,由此可得 长为定值,因为点 在 的垂直平分线上,所以 ,根据椭圆定义求解析式即可; (2)假设出点 坐标,表示直线 与直线 的斜率,并找出两斜率关系,最后表 示出两直线方程,分别与椭圆C联立方程,利用弦长公式和韦达定理求出 的 值.【详解】(1)连接 ,易知 且 , ,又点 在 的垂直平分线上, , ,满足椭圆定义, , 曲线 的方程为 . (2)由(1)知椭圆 方程为 , 则离心率 , 楄圆 的标准方程为 , 设 为椭圆 异于四个顶点的任意一点,直线 斜率 , 则 , 又 , . 设直线 的斜率为 ,则直线 的斜率为 . 直线 为 ,由 得 , 设 ,则 , , 同理可得 , . 8.(2023·湖北武汉·统考模拟预测)过坐标原点 作圆 的两条切线, 设切点为 ,直线 恰为抛物 的准线. (1)求抛物线 的标准方程; (2)设点 是圆 上的动点,抛物线 上四点 满足: ,设 中点为 . (i)求直线 的斜率; (ii)设 面积为 ,求 的最大值. 【答案】(1) (2)(i)0;(ii)48 【分析】(1)设直线 与 轴交于 ,由几何性质易得: , 即可解决;(2)设 ,(i)中,由于 中点 在抛物线 上,得 ,将 ,代入联立得 点纵坐标为,即可解决;(ⅱ)由(i)得点 , ,又点 在圆 上,得 ,可得: 即可解决. 【详解】(1)设直线 与 轴交于 . 由几何性质易得: 与 相似, 所以 , , 即: ,解得: . 所以抛物线 的标准方程为: . (2)设 (i)由题意, 中点 在抛物线 上,即 , 又 ,将 代入, 得: , 同理: , 有 ,此时 点纵坐标为 , 所以直线 的斜率为0.(ⅱ)因为 , 所以点 , 此时 , , , 所以 , 又因为点 在圆 上,有 ,即 ,代入上式可得: , 由 , 所以 时, 取到最大价 . 所以 的最大值为48. 9.(2023·山东·潍坊一中校联考模拟预测)已知 为抛物线 的焦点, 为坐标原点, 为 的准线 上的一点,直线 的斜率为 的面积为1. (1)求 的方程; (2)过点 作一条直线 ,交 于 两点,试问在 上是否存在定点 ,使得直线 与 的斜率之和等于直线 斜率的平方?若存在,求出点 的坐标;若不存在,请 说明理由. 【答案】(1) (2)存在, 或【分析】(1)设点 的坐标为 ,根据直线 的斜率为 ,得到 ,再 根据 的面积为 求出 ,即可得解; (2)假设存在点 ,使得直线 与 的斜率之和等于直线 斜率的平方.设直 线 的方程为 , , , ,联立直线与抛物线方程, 消元列出韦达定理,又 , ,化简 ,即可得到 方程,求出 的值,即可得解. 【详解】(1)解:由题意知 ,设点 的坐标为 , 则直线 的斜率为 . 因为直线 的斜率为 ,所以 ,即 , 所以 的面积 , 解得 或 (舍去), 故抛物线 的方程为 . (2)解:假设存在点 ,使得直线 与 的斜率之和等于直线 斜率的平方. 由(1)得 ,抛物线 的准线 的方程为 . 设直线 的方程为 , , , , 联立 得 , 所以 , , . 因为 ,, 所以 ,解得 或 . 故存在定点 ,使得直线 与 的斜率之和等于直线 斜率的平方,其坐标为 或 . 10.(2023·山东菏泽·统考一模)如图,椭圆 的焦点分别为 为椭圆 上一点, 的面积最大值为 . (1)求椭圆 的方程; (2)若 分别为椭圆 的上、下顶点,不垂直坐标轴的直线 交椭圆 于 ( 在上 方, 在下方,且均不与 点重合)两点,直线 的斜率分别为 ,且 ,求 面积的最大值. 【答案】(1) (2) 【分析】(1)根据条件,得到关于 的方程,即可得到结果; (2)根据题意设直线 的方程为 ,联立直线与椭圆方程,结合韦达定理, 再由 列出方程,代入计算,即可得到结果.【详解】(1) , , ,故椭圆的方程为 ; (2)依题意设直线 的方程为 , , 联立方程组 ,消元得: , , , 由 得: ,两边同除 , , 即 ;将 代入上式得: 整理得: 所以 或 (舍), 当 时等号成立,满足条件,所以 面积的最大值为 . 11.(2023·福建泉州·统考三模)已知椭圆 的左、右顶点分别为A,B.直线l与C相切,且与圆 交于M,N两点,M在N的左侧. (1)若 ,求l的斜率; (2)记直线 的斜率分别为 ,证明: 为定值. 【答案】(1) ; (2)证明过程见解析. 【分析】(1)根据圆弦长公式,结合点到直线距离公式、椭圆切线的性质进行求解即 可; (2)根据直线斜率公式,结合一元二次方程根与系数关系进行求解即可. 【详解】(1)当直线l不存在斜率时,方程为 ,显然与圆也相切,不符合题意, 设直线l的斜率为 ,方程为 ,与椭圆方程联立,得 , 因为直线l与C相切,所以有 , 圆 的圆心坐标为 ,半径为 , 圆心 到直线 的距离为 , 因为 ,所以有 ; (2) , 由 , 设 ,则有 , , , 把 , 代入上式,得 ,而 , 所以 . 【点睛】关键点睛:利用一元二次方程根与系数关系,结合椭圆切线的性质进行求解 是解题的关键. 12.(2023·江苏南通·统考模拟预测)已知 , , 三个点在椭 圆 ,椭圆外一点 满足 , ,( 为坐标原点). (1)求 的值; (2)证明:直线 与 斜率之积为定值. 【答案】(1) (2)证明见解析 【分析】(1)设 ,根据向量关系用 表示 ,代入椭圆方程即可 求解; (2)用 表示 ,代入斜率公式即可求解. 【详解】(1)设 ,因为 ,所以 解得 , 又因为 ,所以 解得, 因为点 在椭圆上, 所以 , 即 . (2)设直线 与 斜率分别为 , 是定值. 13.(2023·浙江嘉兴·统考模拟预测)已知抛物线 ,过焦点 的直 线交抛物线 于 , 两点,且 . (1)求抛物线 的方程; (2)若点 ,直线 , 分别交准线 于 , 两点,证明:以线段 为直径 的圆过定点. 【答案】(1) (2)证明见解析 【分析】(1)设 ,联立抛物线方程,由根与系数的关系及抛物 线的定义,根据 建立方程求出 得解; (2)由直线方程求出 的坐标,计算 ,设 是以线段 为直径的圆上任意一点,根据 化简 ,根据对称性令 可得解. 【详解】(1)设 , , , 则联立 得 , 所以 ,所以 , 又 , ,所以 由 得 , 即 所以 ,化简得 ,又 , 所以 ,所以抛物线 的方程为 . (2)由(1)知 , , , 所以 , ,易得 , , 由题意知 , , 所以令 得 , , 即 , , 所以设 是以线段 为直径的圆上得任意一点,则有 , 即 , 由对称性令 得 ,所以 或 所以以线段 为直径的圆经过定点,定点坐标为 与 . 【点睛】关键点点睛:求出 的点的坐标,计算出 为定值 ,是解题的关 键之一,其次写出以 为直径的圆的方程,根据圆的方程 ,由对称性,令 求定点是解题的关键. 14.(2023·江苏连云港·统考模拟预测)已知椭圆E: 的焦距为 ,且经过点 . (1)求椭圆E的标准方程: (2)过椭圆E的左焦点 作直线l与椭圆E相交于A,B两点(点A在x轴上方),过点 A,B分别作椭圆的切线,两切线交于点M,求 的最大值. 【答案】(1) (2)2 【分析】(1)由待定系数法求解析式; (2)设出直线方程,由韦达定理法及导数法求得两切线方程,即可联立两切线方程解 得交点M,再由弦长公式及两点距离公式表示出 ,进而讨论最值.【详解】(1)由题意得 ,所以 ,即椭圆方程为 ; (2)当直线l斜率为0时,A,B分别为椭圆的左右顶点,此时切线平行无交点.故设 直线l: , 由 ,得 . , , . 不妨设 在x轴上方,则 在x轴下方. 椭圆在x轴上方对应方程为 , , 则A处切线斜率为 ,得切线方程为 ,整理得 . 同理可得B处的切线方程为 . 由 得 ,代入①得 ,所以 . 因为 ,所以 设 ,则 ,则 , 当且仅当 ,即 时, 的最大值是2. 另解:当直线l的斜率存在时,设l: , 由 得 , 所以 , , , 椭圆在x轴上方的部分方程为 , , 则过 的切线方程为 , 即 , 同理可得过 的切线方程为 .由 得 设 ,则 , 所以直线l的方程为 ,所以 . , 令 ,则 ,所以 , 当 时,即 时, 取得最大值,为2. 【点睛】直线与圆锥曲线问题,一般设出直线,联立直线与圆锥曲线方程,结合韦达 定理表示出所求的内容,进而进行进一步讨论. 15.(2023春·江苏常州·高三校联考开学考试)已知点 在椭圆 上, 的长轴长为 ,直线 与 交于 两点, 直线 的斜率之积为 . (1)求证: 为定值; (2)若直线 与 轴交于点 ,求 的值. 【答案】(1)证明见解析 (2) 【分析】(1)根据题意求出椭圆方程为 ,将椭圆,及相关直线、点进行平移, 将 看作方程 的两不等实根,进而可得 ,代入直线方程化简即可; (2)联立直线与椭圆方程,结合韦达定理得 ,化简 ,代入韦达定理即可求解. 【详解】(1)由题意知 椭圆方程为 . 将椭圆平移至 即 , 此时 点平移至 分别平移至 , 设直线 方程为 代入椭圆 , 整理得 ,两边同除以 , 令 ,则 可看作关于 的一元二次方程, 的两不等实根, ,即 , 直线 方程为 , 的斜率为定值 ,即 的定值 . (2)设 , ,即 ,故 , , 16.(2023春·江苏苏州·高三统考开学考试)已知抛物线 的焦点也是离心率为 的椭圆 的一个焦点F. (1)求抛物线与椭圆的标准方程; (2)设过F的直线 交抛物线于A、B,交椭圆于C、D,且A在B左侧,C在D左侧,A 在C左侧.设 , , . ①当 时,是否存在直线l,使得a,b,c成等差数列?若存在,求出直线l的方程; 若不存在,说明理由; ②若存在直线 ,使得a,b,c成等差数列,求 的范围. 【答案】(1)抛物线的标准方程是 ,椭圆的标准方程为 (2)①不存在,理由见解析;② 【分析】(1)根据相同焦点得到 ,解得 ,得到答案. (2)设l: 和各点坐标,联立方程利用韦达定理得到根与系数的关系,计算 , ,根据等差数列的性质得到方程,方程无解得到答案;整理得到 ,解不等式即可. 【详解】(1)抛物线的焦点 ,椭圆的焦点 ,由于 ,即 , 则有 ,因此 , , , 故椭圆的标准方程为 ,抛物线的标准方程是 . (2)①设l: , , , , , , 将直线与抛物线联立,则有 , , ,则 , 于是 , 将直线与椭圆联立,则有 , 得到二次方程 , ,则有 , 则 , , ,假设存在直线l,使得a,b,c成等差数列,即 即有 , 整理得到 ,方程无解,因此不存在l满足题设. ②只需使得方程 有解即可. 整理得到 ,故 , 解得 【点睛】关键点睛:本题考查了抛物线和椭圆的标准方程,等差数列性质,直线和抛 物线,椭圆的位置关系,意在考查学生的计算能力,转化能力和综合应用能力,其中, 利用韦达定理得到根与系数的关系,根据设而不求的思想,可以简化运算,是解题的 关键,需要熟练掌握. 17.(2023秋·江苏无锡·高三统考期末)已知椭圆 的右焦点F 和抛物线 的焦点重合,且 和 的一个公共点是 . (1)求 和 的方程; (2)过点F作直线l分别交椭圆于A,B,交抛物线 于P,Q,是否存在常数 ,使 为定值?若存在,求出 的值;若不存在,说明理由. 【答案】(1) , (2)存在,【分析】(1)先求出抛物线的方程,进而求出焦点,再根据椭圆的右焦点与其重合, 列出方程组求解即可; (2)利用弦长公式分别表示出 ,然后代入 ,可求出使 为 定值的常数 . 【详解】(1)解:由题意知 , ∴ ,抛物线焦点 , ∴ 方程: , 方程: . (2)解:方法一:假设存在这样的l, 设直线l的方程为: , , , , . , ∴ . 设 , , , , ,∴ , ∴ 为定值. ∴ ,∴存在常数 使 为定值 . 方法二: 对比 前系数 . 方法三:设l倾斜角为 , ∴ , , ∴ 为定值, ∴ , ,此时定值为 . 18.(2023秋·江苏·高三统考期末)如图,已知椭圆 的左、右顶点分别为 ,点 是椭圆上异于 的动点,过原点 平行于 的直线与椭圆交于点 的中点为点 ,直线 与椭圆交于点 ,点 在 轴的上方. (1)当 时,求 ; (2)求 的最大值. 【答案】(1) (2)10【分析】(1)根据题意求出 ,根据 分析出点 满足的方程, 求出点 坐标,进而求出 ; (2)利用弦长公式求出 和 ,再利用基本不等式求出最值. 【详解】(1)由题知 ,设 ,则 , 则 . 因为 ,所以 在圆 上, 又 在椭圆 上, 所以 满足 ,所以 , ,所以 或 (舍去), 又 在 轴上方,所以 , 所以直线 的斜率为 ,故直线 的斜率为 , 所以直线 与直线 关于 轴对称. 设直线 的倾斜角 , (2)当直线 斜率为 ,则直线 ,直线 , 满足 ,所以 , 所以 , 同理 ,所以 所以 ,当且仅当 ,即 时取“ ”, 所以 的最大值为10. 【点睛】方法点睛:解决直线与椭圆的综合问题时,要注意: (1)注意观察应用题设中的每一个条件,明确确定直线、椭圆的条件; (2)强化有关直线与椭圆联立得出一元二次方程后的运算能力,重视根与系数之间的关 系、弦长、斜率、三角形的面积等问题. 19.(2023·浙江·校联考模拟预测)设双曲线 的右焦点为 ,F到 其中一条渐近线的距离为2. (1)求双曲线C的方程; (2)过F的直线交曲线C于A,B两点(其中A在第一象限),交直线 于点M, (i)求 的值; (ii)过M平行于OA的直线分别交直线OB、x轴于P,Q,证明: . 【答案】(1) (2)(i)1;(ii)证明见解析 【分析】(1)结合点F到其中一条渐近线的距离为2和 ,即可求得本题答 案; (2)(i)设AB直线方程为 , ,得 ,直线方程 与双曲线方程联立消 ,然后由韦达定理得 , ,把 逐步化简,即可求得本题答案;(ii)把 和 的直线方程分别求出, 联立可得到点 的坐标,由此即可得到本题答案.【详解】(1)因为双曲线其中一条渐近线方程为 ,又点 到它的距离 为2, 所以 ,又 ,得 , 又因为 ,所以 , 所以双曲线C的方程为 . (2)(2)设AB直线方程为 ,则 , 代入双曲线方程整理得: , 设 ,则 , , (i) 而 , 所以 ,,则 , 所以 ; (ii)过M平行于OA的直线方程为 , 直线OB方程为 与 联立, 得 , 即 , 则 ,所以 , 由 , 两式相除得, ,则 , 所以 , 因为 ,所以 , 故P为线段MQ的中点,所以 . 【点睛】关键点点睛:本题第二小题第一问考了 如何用 表示出来, 进而利用韦达定理进行化简求值,考查了学生的转化能力以及对复杂运算的求解能力 20.(2023春·浙江绍兴·高三统考开学考试)在平面直角坐标系 中,已知椭圆 C: . (1)设 是椭圆 上的一个动点,求 的取值范围; (2)设与坐标轴不垂直的直线 交椭圆 于 两点,试问:是否存在满足条件的直线 ,使得 是以 为直角顶点的等腰直角三角形?若存在,求出直线 的方程,若 不存在,请说明理由. 【答案】(1) (2) 或 【分析】(1)设点 ,将 转化为坐标表示,求取值范围; (2)设直线方程,与椭圆方程联立,设 中点为D,若 是以B为直角顶点 的等腰直角三角形,则 , ,解出直线方程.【详解】(1)设点 ,则 , , 因为 ,所以当 时, , 当 时, , 所以 . (2)设直线l: ( ), , , ,消去y得, , 由题, , , , , , 若 是以B为直角顶点的等腰直角三角形,则 , , 所以 ,① 设 中点为D,则 ,因为 , 所以 ,即 ,② 由①②,得 , 或 , ,满足 , 所以存在直线l使得 是以B为直角顶点的等腰直角三角形, 直线方程为 或 .21.(2023春·浙江·高三开学考试)已知椭圆 的离心率为 , 且经过点 , 为椭圆C的左右焦点, 为平面内一个动点,其中 ,记直线 与椭圆C在x轴上方的交点为 ,直线 与椭圆C在x轴 上方的交点为 . (1)求椭圆C的标准方程; (2)①若 ,证明: ; ②若 ,探究 之间关系. 【答案】(1) (2)①证明见解析 ;② 【分析】(1)根据椭圆的离心率和 即可求解; (2)①根据两点求斜率公式和直线的点斜式方程表示出直线 ,得 .根据平面平行向量的坐标表示可得 , 即可证明; ②设直线 方程,联立椭圆方程,消去x,得关于y的一元二次方程,化简整理方程 可得 .同理可得 ,对于 化简计算即可 求解.【详解】(1)由题意得: , 因此,椭圆C的标准方程为 ; (2)①由(1)知, , , , 即 , 又 , 即 , ,即 ; ②设 (令 ), ,消去x得: , , , , ,, 设 ,(令 ), ,消去x得: , , , , , , . 22.(2023春·浙江温州·高三统考开学考试)如图,椭圆 的左右焦点分别为 , ,点 是第一象限内椭圆上的一点,经过三点P, , 的圆与y轴正 半轴交于点 ,经过点 且与x轴垂直的直线l与直线 交于点Q. (1)求证: . (2)试问:x轴上是否存在不同于点B的定点M,满足当直线 , 的斜率存在时,两斜率之积为定值?若存在定点M,求出点M的坐标及该定值;若不存在,请说明理 由. 【答案】(1)证明见解析; (2)存在点 ,可使得直线 与 的斜率之积为定值,该定值为 . 【分析】(1)设 、圆的方程 ,代入 、 及 可解得 ,即可证; (2)设 ,由A,P,Q三点共线 得 ,即可表示出 讨 论定值是否存在. 【详解】(1)由 可得 , 设 ,则 , 设圆的方程为 , 代入 及 ,得 , 两式相减,得 , 所以圆的方程为 即 , 令 ,得 , 由 ,可得 ,即 . (2)设 ,由(1)知 ,由A,P,Q三点共线,得,解得 , 则 , 代入 ,得 , 当且仅当 ,即 时, 为定值. 综上,存在点 ,可使得直线 与 的斜率之积为定值,该定值为 . 【点睛】探索圆锥曲线的定值问题常见方法有两种:① 从特殊入手,先根据特殊位置 和数值求出定值,再证明这个值与变量无关;② 直接推理、计算,并在计算推理的过 程中消去变量,从而得到定值. 23.(2023春·广东·高三校联考阶段练习)已知双曲线 的右 顶点为 ,直线 过点 ,当直线 与双曲线 有且仅有一个公共点时,点 到直线 的距离为 . (1)求双曲线 的标准方程; (2)若直线 与双曲线 交于 两点,且 轴上存在一点 ,使得 恒成立,求 . 【答案】(1) (2) 【分析】(1)根据点到直线的距离可得 ,结合双曲线中 的关系即可求解 ,(2)联立直线与双曲线方程,得到韦达定理,将 转化成斜率关系,即 可代入求解. 【详解】(1)因为双曲线 的右顶点为 ,所以 . 当直线 与双曲线 有且仅有一个公共点时,直线 平行于双曲线 的一条渐近线. 不妨设直线 的方程为 ,即 , 所以点 到直线 的距离 , 所以 . 因为 ,所以 , 故双曲线 的方程为 . (2)设直线 的方程为 , 联立方程组 ,得 , 则 且 . 因为 , 所以 , 所以 , 解得 . 当直线 恰好为 轴时, 也满足题意, 故 【点睛】直线与双曲线抛物线的位置关系和直线与椭圆、抛物线的位置关系类似,一 般要用到根与系数的关系;解析几何简化运算的常见方法: (1)正确画出图形,利用平面几何知识简化运算;(2)坐标化,把几何关系转化为坐标运算; (3)巧用定义,简化运算. 24.(2023·广东梅州·统考一模)已知动圆 经过定点 ,且与圆 : 内切. (1)求动圆圆心 的轨迹 的方程; (2)设轨迹 与 轴从左到右的交点为点 ,点 为轨迹 上异于 的动点,设 交直线 于点 ,连结 交轨迹 于点 .直线 、 的斜率分别为 、 . (i)求证: 为定值; (ii)证明直线 经过 轴上的定点,并求出该定点的坐标. 【答案】(1) (2)(i)证明见解析;(ii)证明见解析,定点 【分析】(1)根据定点 和圆心 的位置关系,利用两圆内切即可得出半径之和等 于圆心距,再根据椭圆定义即可求得轨迹 的方程;(2)(i)易知 即为椭圆的 左右顶点,设出点 坐标,利用共线时斜率相等即可得出 的表达式,化简即 可得出 ;(ii)根据(i)中的结论,写出直线 的方程,将表达式化简 即可得出直线 经过定点 . 【详解】(1)设动圆的半径为 ,由题意得圆 的圆心为 ,半径 ; 所以 , , 则 .所以动点 的轨迹 是以 , 为焦点,长轴长为4的椭圆. 因此轨迹 方程为 . (2)(i)设 , , . 由题可知 , ,如下图所示: 则 , , 而 ,于是 , 所以 , 又 ,则 , 因此 为定值. (ii)设直线 的方程为 , , . 由 ,得 , 所以 .由(i)可知, ,即 , 化简得 ,解得 或 (舍去), 所以直线 的方程为 , 因此直线 经过定点 . 【点睛】方法点睛:解决定值或定点问题时,经常会用到设而不求的方法,即首先设 出点坐标或直线方程,再根据题目条件寻找等量关系即可实现整体代换求得定值或定 点. 25.(2023春·湖北武汉·高三华中师大一附中校考阶段练习)已知双曲线E: 与直线l: 相交于A、B两点,M为线段AB的中点. (1)当k变化时,求点M的轨迹方程; (2)若l与双曲线E的两条渐近线分别相交于C、D两点,问:是否存在实数k,使得 A、B是线段CD的两个三等分点?若存在,求出k的值;若不存在,说明理由. 【答案】(1) ,其中 或 (2)存在, 【分析】(1)设 , , ,联立直线l与双曲线E的方程, 消去y,得 ,根据已知直线l与双曲线E相交于A、B两点, 得 且 ,即 且 ,由韦达定理,得 , 则 , ,联立消去k,得 ,再根据 的范围得出 的范围,即可得出答案; (2)设 , ,根据双曲线E的渐近线方程与直线l的方程联立即可得出 , ,则 ,即线段AB的中点M也是线段CD 的中点,若A,B为线段CD的两个三等分点,则 ,结合弦长公式列式得 ,即可化简代入得出 ,即可解出答案. 【详解】(1)设 , , , 联立直线l与双曲线E的方程,得 , 消去y,得 . 由 且 ,得 且 . 由韦达定理,得 . 所以 , . 由 消去k,得 . 由 且 ,得 或 . 所以,点M的轨迹方程为 ,其中 或 . (2)双曲线E的渐近线方程为 . 设 , ,联立 得 ,同理可得 , 因为 , 所以,线段AB的中点M也是线段CD的中点. 若A,B为线段CD的两个三等分点,则 .即 , . 而 , . 所以, ,解得 , 所以 ,存在实数,使得A、B是线段CD的两个三等分点. 26.(2023·山东·日照一中校考模拟预测)已知双曲线 的左、右 焦点分别为 ,斜率为 的直线l与双曲线C交于 两点,点 在双 曲线C上,且 . (1)求 的面积; (2)若 (O为坐标原点),点 ,记直线 的斜率分别为 , 问: 是否为定值?若是,求出该定值;若不是,请说明理由. 【答案】(1) (2) 为定值 .· 【分析】(1)设 ,根据两点间长度得出 与 ,即可根据已知 列式解出 ,即可得出答案; (2)根据第一问得出双曲线的方程,设 ,直线l的方程为 ,根据韦达定理得出 ,即可根据直线方程得出 与 ,则根基两点斜率公式得出 ,化简代入即可得出答案. 【详解】(1)依题意可知, , 则 , , 又 ,所以 , 解得 ( 舍去), 又 ,所以 , 则 , 所以 的面积 . (2)由(1)可 ,解得 , 所以双曲线C的方程为 , 设 ,则 ,则 , , 设直线l的方程为 ,与双曲线C的方程联立,消去y得: , 由 ,得 , 由一元二次方程根与系数的关系得 , 所以 , ,则 , 故 为定值 .· 27.(2023秋·山东泰安·高三统考期末)已知椭圆E: 过 , 两点. (1)求椭圆E的方程; (2)已知 ,过 的直线l与E交于M,N两点,求证: . 【答案】(1) (2)证明见解析 【分析】(1)将两点坐标代入,求出椭圆方程; (2)依据斜率是否为零,分类讨论,斜率为零时易得结论,斜率不为零时证明QP平 分 ,可得结论. 【详解】(1)由题知,椭圆E过 , , 所以 ,解得 , , 所以椭圆E的方程为 . (2)证明:当直线l的斜率为0时,直线l的方程为 ,所以 , 或 , .所以 . 当直线l的斜率不为0时,设直线l的方程为 , , , 由 ,得 , 所以 , , , 所以 , ,所以 , 所以QP平分 ,因为 , , 所以 ,即 . 28.(2023·浙江·模拟预测)已知双曲线 的焦距为10,且经 过点 .A,B为双曲线E的左、右顶点,P为直线 上的动点,连接PA, PB交双曲线E于点C,D(不同于A,B). (1)求双曲线E的标准方程. (2)直线CD是否过定点?若过定点,求出定点坐标;若不过定点,请说明理由. 【答案】(1) (2)直线CD过定点,定点坐标为 .【分析】(1)方法一:将 代入方程,结合 求得 得双曲线方程; 方法二:根据双曲线定义求得 得双曲线方程. (2)方法一:设CD的方程为 ,与双曲线联立,由A点与C点写出AC方程, 求出 ,由B点与D点写出BD方程,求出 ,利用两个 相等建立关系式,代入韦 达定理可求得 为定值. 方法二:设CD的方程为 ,与双曲线联立,由P点与A点写出AC方 程,由P点与B点写出BD方程,将 代入以上两方程,两式相比消 去 建立关系式,代入韦达定理可求得 为定值. 【详解】(1)法一.由 解得 ,∴双曲线E的标准方程为 . 法二.左右焦点为 , , , ∴双曲线E的标准方程为 . (2)直线CD不可能水平,故设CD的方程为 , 联立 消去x得 , , , , AC的方程为 ,令 ,得 ,BD的方程为 ,令 ,得 , , 解得 或 ,即 或 (舍去)或 (舍去), ∴CD的方程为 ,∴直线CD过定点,定点坐标为 . 方法二.直线CD不可能水平,设CD的方程为 , 联立 ,消去x得 , , AC的方程为 ,BD的方程为 , 分别在AC和BD上, , 两式相除消去n得 , 又 , . 将 代入上式,得 . 整理得 ,解得 或 (舍去). ∴CD的方程为 ,∴直线CD过定点,定点坐标为 . 【点睛】圆锥曲线中直线过定点问题通法,先设出直线方程 ,通过韦达定理 和已知条件若能求出 为定值可得直线恒过定点,若得到 和 的一次函数关系式, 代入直线方程即可得到直线恒过定点. 29.(2023·湖南·模拟预测)已知椭圆C: 的上顶点为B,O为坐 标原点, 为椭圆C的长轴上的一点,若 ,且 OPB的面积为 . △ (1)求椭圆C的标准方程; (2)椭圆C与x轴负半轴交于点A,过点A的直线AM,AN分别与椭圆C交于M,N两 点,直线AM,AN的斜率分别为 , ,且 ,求证:直线MN过定 点,并求出该定点坐标,求出 AMN面积的最大值. △ 【答案】(1) (2)证明见解析,定点为 , AMN面积的最大值为 △ 【分析】(1)根据题意得到 与 ,从而求得 ,由此得解; (2)结合题意设直线MN的方程为 ,联立椭圆C的方程得到 ,进而得到 ,结合 即可得到关于 的方程,从而证得直线MN过 定点 ,再利用 ,结合对勾函数的单调性即可得解. 【详解】(1)由已知 ,得 ,即 , 又因为 ,所以 ,即 , 解方程组 ,得 , 所以椭圆 的方程为 . (2)由题意可知,直线MN的斜率不为0,设 ,直线MN的方程为 , 联立 ,消去 ,得 , 所以 , , 则 , 因为 ,所以 ,即 , 所以 , 即 ,解得 或 , 因为当 时,直线 的方程为 ,则直线 经过 ,不符合题 意, 所以 ,满足 ,此时直线 的方程为 ,所以直线 过定点 , 记直线 与 轴的交点为 ,则 点坐标为 ,当 时, , , 令 , 令 ,则 ,故 在 上单调递增, 所以 , 当且仅当 ,即 时, AMN面积取得最大值 . △ 【点睛】方法点睛:直线与圆锥曲线位置关系的题目,往往需要联立两者方程,利用 韦达定理解决相应关系,其中的计算量往往较大,需要反复练习,做到胸有成竹. 30.(2023春·湖北·高三统考阶段练习)已知椭圆 的离心率为 .且经过点 是椭圆 上的两点. (1)求椭圆 的方程; (2)若直线 与 的斜率之积为 ( 为坐标原点),点 为射线 上一点,且 ,若线段 与椭圆 交于点 ,设 . (i)求 值; (ii)求四边形 的面积. 【答案】(1) ; (2)(i) ;(ii) .【分析】(1)由离心率为 及过点 可得椭圆方程; (2)(i)设 ,由题目条件可得 , ,后利用点E在椭圆上,可得答案; (ii)由(i)可得四边形 面积为 .当直线PQ斜率为0时,易得 ; 当直线斜率不为0时,将直线PQ方程与椭圆方程联立后,利用韦达定理,结合 ,可得 ,后可得 . 【详解】(1)依题意有 ,解得 , 故椭圆C方程为 . (2)(i)设 ,因 ,则 . 因P,Q均在椭圆上,则 . 又 ,则 . 因 ,则 ,可得 . 又 在椭圆上,则 . ; (ii)由(i),可知 ,则四边形 面积为 . 当直线PQ斜率为0时,易知 ,又 ,则 . 根据对称性不妨取 , ,由 得 ,则 ,得此时 ; 当直线斜率不为0时,设 的方程为 ,将直线方程与椭圆方程联立有: ,消去x得: . 由题,其判别式大于0,则由韦达定理,有 . . . 又原点到直线PQ距离为 ,则此时 . 综上可得四边形 面积为 .【点睛】关键点点睛:本题涉及椭圆中的向量比例问题及椭圆中的面积问题,难度较 大. 对于向量比例问题,本题利用点E在椭圆上,构建了关于 的方程; 对于面积问题,本题由题目条件,将求四边形面积转化为了求相关三角形的面积,但 需注意所涉直线的特殊性.