当前位置:首页>文档>微专题双曲线的渐近线学案——2023届高考数学一轮《考点·题型·技巧》精讲与精练_2.2025数学总复习_赠品通用版(老高考)复习资料_一轮复习

微专题双曲线的渐近线学案——2023届高考数学一轮《考点·题型·技巧》精讲与精练_2.2025数学总复习_赠品通用版(老高考)复习资料_一轮复习

  • 2026-05-01 14:49:23 2026-03-20 02:32:09

文档预览

微专题双曲线的渐近线学案——2023届高考数学一轮《考点·题型·技巧》精讲与精练_2.2025数学总复习_赠品通用版(老高考)复习资料_一轮复习
微专题双曲线的渐近线学案——2023届高考数学一轮《考点·题型·技巧》精讲与精练_2.2025数学总复习_赠品通用版(老高考)复习资料_一轮复习
微专题双曲线的渐近线学案——2023届高考数学一轮《考点·题型·技巧》精讲与精练_2.2025数学总复习_赠品通用版(老高考)复习资料_一轮复习
微专题双曲线的渐近线学案——2023届高考数学一轮《考点·题型·技巧》精讲与精练_2.2025数学总复习_赠品通用版(老高考)复习资料_一轮复习
微专题双曲线的渐近线学案——2023届高考数学一轮《考点·题型·技巧》精讲与精练_2.2025数学总复习_赠品通用版(老高考)复习资料_一轮复习
微专题双曲线的渐近线学案——2023届高考数学一轮《考点·题型·技巧》精讲与精练_2.2025数学总复习_赠品通用版(老高考)复习资料_一轮复习
微专题双曲线的渐近线学案——2023届高考数学一轮《考点·题型·技巧》精讲与精练_2.2025数学总复习_赠品通用版(老高考)复习资料_一轮复习
微专题双曲线的渐近线学案——2023届高考数学一轮《考点·题型·技巧》精讲与精练_2.2025数学总复习_赠品通用版(老高考)复习资料_一轮复习
微专题双曲线的渐近线学案——2023届高考数学一轮《考点·题型·技巧》精讲与精练_2.2025数学总复习_赠品通用版(老高考)复习资料_一轮复习
微专题双曲线的渐近线学案——2023届高考数学一轮《考点·题型·技巧》精讲与精练_2.2025数学总复习_赠品通用版(老高考)复习资料_一轮复习
微专题双曲线的渐近线学案——2023届高考数学一轮《考点·题型·技巧》精讲与精练_2.2025数学总复习_赠品通用版(老高考)复习资料_一轮复习
微专题双曲线的渐近线学案——2023届高考数学一轮《考点·题型·技巧》精讲与精练_2.2025数学总复习_赠品通用版(老高考)复习资料_一轮复习
微专题双曲线的渐近线学案——2023届高考数学一轮《考点·题型·技巧》精讲与精练_2.2025数学总复习_赠品通用版(老高考)复习资料_一轮复习
微专题双曲线的渐近线学案——2023届高考数学一轮《考点·题型·技巧》精讲与精练_2.2025数学总复习_赠品通用版(老高考)复习资料_一轮复习
微专题双曲线的渐近线学案——2023届高考数学一轮《考点·题型·技巧》精讲与精练_2.2025数学总复习_赠品通用版(老高考)复习资料_一轮复习
微专题双曲线的渐近线学案——2023届高考数学一轮《考点·题型·技巧》精讲与精练_2.2025数学总复习_赠品通用版(老高考)复习资料_一轮复习
微专题双曲线的渐近线学案——2023届高考数学一轮《考点·题型·技巧》精讲与精练_2.2025数学总复习_赠品通用版(老高考)复习资料_一轮复习
微专题双曲线的渐近线学案——2023届高考数学一轮《考点·题型·技巧》精讲与精练_2.2025数学总复习_赠品通用版(老高考)复习资料_一轮复习
微专题双曲线的渐近线学案——2023届高考数学一轮《考点·题型·技巧》精讲与精练_2.2025数学总复习_赠品通用版(老高考)复习资料_一轮复习
微专题双曲线的渐近线学案——2023届高考数学一轮《考点·题型·技巧》精讲与精练_2.2025数学总复习_赠品通用版(老高考)复习资料_一轮复习
微专题双曲线的渐近线学案——2023届高考数学一轮《考点·题型·技巧》精讲与精练_2.2025数学总复习_赠品通用版(老高考)复习资料_一轮复习
微专题双曲线的渐近线学案——2023届高考数学一轮《考点·题型·技巧》精讲与精练_2.2025数学总复习_赠品通用版(老高考)复习资料_一轮复习
微专题双曲线的渐近线学案——2023届高考数学一轮《考点·题型·技巧》精讲与精练_2.2025数学总复习_赠品通用版(老高考)复习资料_一轮复习
微专题双曲线的渐近线学案——2023届高考数学一轮《考点·题型·技巧》精讲与精练_2.2025数学总复习_赠品通用版(老高考)复习资料_一轮复习
微专题双曲线的渐近线学案——2023届高考数学一轮《考点·题型·技巧》精讲与精练_2.2025数学总复习_赠品通用版(老高考)复习资料_一轮复习
微专题双曲线的渐近线学案——2023届高考数学一轮《考点·题型·技巧》精讲与精练_2.2025数学总复习_赠品通用版(老高考)复习资料_一轮复习
微专题双曲线的渐近线学案——2023届高考数学一轮《考点·题型·技巧》精讲与精练_2.2025数学总复习_赠品通用版(老高考)复习资料_一轮复习
微专题双曲线的渐近线学案——2023届高考数学一轮《考点·题型·技巧》精讲与精练_2.2025数学总复习_赠品通用版(老高考)复习资料_一轮复习
微专题双曲线的渐近线学案——2023届高考数学一轮《考点·题型·技巧》精讲与精练_2.2025数学总复习_赠品通用版(老高考)复习资料_一轮复习
微专题双曲线的渐近线学案——2023届高考数学一轮《考点·题型·技巧》精讲与精练_2.2025数学总复习_赠品通用版(老高考)复习资料_一轮复习
微专题双曲线的渐近线学案——2023届高考数学一轮《考点·题型·技巧》精讲与精练_2.2025数学总复习_赠品通用版(老高考)复习资料_一轮复习
微专题双曲线的渐近线学案——2023届高考数学一轮《考点·题型·技巧》精讲与精练_2.2025数学总复习_赠品通用版(老高考)复习资料_一轮复习
微专题双曲线的渐近线学案——2023届高考数学一轮《考点·题型·技巧》精讲与精练_2.2025数学总复习_赠品通用版(老高考)复习资料_一轮复习
微专题双曲线的渐近线学案——2023届高考数学一轮《考点·题型·技巧》精讲与精练_2.2025数学总复习_赠品通用版(老高考)复习资料_一轮复习
微专题双曲线的渐近线学案——2023届高考数学一轮《考点·题型·技巧》精讲与精练_2.2025数学总复习_赠品通用版(老高考)复习资料_一轮复习
微专题双曲线的渐近线学案——2023届高考数学一轮《考点·题型·技巧》精讲与精练_2.2025数学总复习_赠品通用版(老高考)复习资料_一轮复习
微专题双曲线的渐近线学案——2023届高考数学一轮《考点·题型·技巧》精讲与精练_2.2025数学总复习_赠品通用版(老高考)复习资料_一轮复习

文档信息

文档格式
docx
文档大小
4.620 MB
文档页数
37 页
上传时间
2026-03-20 02:32:09

文档内容

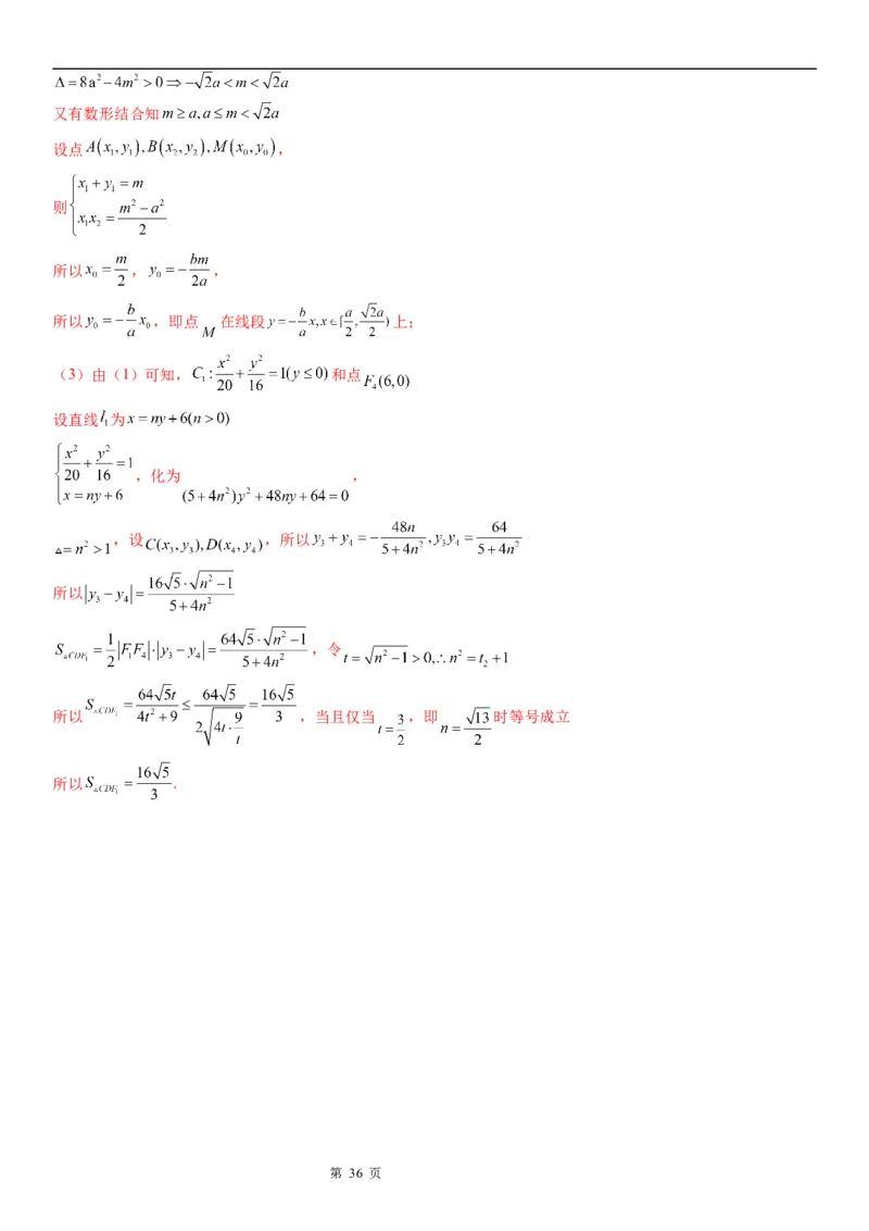
微专题:双曲线的渐近线 【考点梳理】 1、双曲线的标准方程和简单几何性质 焦点在x轴上 焦点在y轴上 -=1 - = 1 标准方程 (a>0,b>0) (a>0,b>0) 图形 焦点 F ( - c , 0) , F ( c , 0) F(0,-c),F(0,c) 1 2 1 2 焦距 |FF|=2c 1 2 a,b,c c 2 = a 2 + b 2 的关系 范围 x≥a或x≤-a y≤-a或y≥a 对称性 对称轴为坐标轴,对称中心为原点 简单几何 顶点 (-a,0),(a,0) (0 ,- a ) , (0 , a ) 性质 轴长 实轴长|AA|=2a,虚轴长|BB|= 2 b 1 2 1 2 渐近线 y= ± x y= ± x 离心率 e=,且 e∈ (1 ,+∞ ) 2、已知双曲线的标准方程,只要令双曲线的标准方程中右边的“1”为“0”就可得到渐近线方程. 3、双曲线焦点到渐近线的距离为b 【题型归纳】 题型一:已知方程求双曲线的渐近线 1.若双曲线 的离心率为 ,则该双曲线的渐近线方程为( ) A. B. C. D. 2.已知双曲线 ,则该双曲线的渐近线方程为( ) A. B. C. D. 3.双曲线 的渐近线方程是( ) A. B. 第 1 页 学学科科网网((北北京京))股股份份有有限限公公司司C. D. 题型二:根据双曲线的渐近线求标准方程 4.已知双曲线C: ( , )的实轴长为8,一条渐近线的方程为 ,则双曲线的标准方程 为( ) A. B. C. D. 5.已知双曲线的一个顶点是 ,其渐近线方程为 ,则双曲线的标准方程是( ) A. B. C. D. 6.由伦敦著名建筑事务所Steyn Studio设计的南非双曲线大教堂惊艳世界,该建筑是数学与建筑完美结合造就的 艺术品.若将如图所示的大教堂外形弧线的一段近似看成双曲线 ( , )下支的一部分,且此 双曲线的一条渐近线为 ,下焦点到下顶点的距离为1,则该双曲线的方程为( ) A. B. C. D. 题型三:求共渐近线的双曲线的标准方程 7.与双曲线 共渐近线且一个焦点为 的双曲线方程为( ) A. B. C. D. 第 2 页 学学科科网网((北北京京))股股份份有有限限公公司司8.过点 且与双曲线 有相同渐近线的双曲线方程为( ) A. B. C. D. 9.与双曲线 渐近线相同且经过点 的双曲线的标准方程为( ) A. B. C. D. 【双基达标】 10.已知双曲线 : ( , )的上、下顶点分别为 , ,点 在双曲线 上(异于顶点), 直线 , 的斜率乘积为 ,则双曲线 的渐近线方程为( ) A. B. C. D. 11.如图,某建筑物是数学与建筑的完美结合.该建筑物外形弧线的一段近似看成双曲线下支的一部分,且此双曲 线 的下焦点到渐近线的距离为3,离心率为2,则该双曲线的标准方程为( ) A. B. C. D. 12.点 到双曲线 的一条渐近线的距离为( ) 第 3 页 学学科科网网((北北京京))股股份份有有限限公公司司A. B. C. D. 13.若点 在双曲线 的一条渐近线上,则它的离心率为( ) A. B. C. D. 14.已知双曲线 的离心率为 ,则点 到双曲线C的渐近线的距离为( ) A.2 B. C. D. 15.已知双曲线 的左、右焦点分别为 , ,过右焦点作平行于其中一条渐近线的直线交双 曲线于点 ,若 的内切圆半径为 ,则双曲线的离心率为( ) A. B. C. D. 16.已知双曲线 的一条渐近线的倾斜角为 ,则此双曲线的离心率e为( ) A. B. C. D.2 17.已知左、右焦点分别为 , 的双曲线 : 上一点 到左焦点 的距离为6,点 为坐标原点, 点 为 的中点,若 ,则双曲线 的渐近线方程为( ) A. B. C. D. 18.已知双曲线 的左、右焦点分别是 , ,在其渐近线上存在一点 ,满足 ,则该双曲线离心率的取值范围为( ) A. B. C. D. 19.已知 为双曲线 的左、右焦点,过 作 的垂线分别交双曲线的左、右两支于 第 4 页 学学科科网网((北北京京))股股份份有有限限公公司司两点(如图).若 ,则双曲线的渐近线方程为( ) A. B. C. D. 20.已知双曲线 的左、右焦点分别为 ,过 作圆 的切线,交双曲线右支于点 M,若 ,则双曲线的渐近线方程为( ) A. B. C. D. 21.已知双曲线 的右焦点到它的一条渐近线的距离为4,且焦距为10,则C的离心率为 ( ) A. B. C. D. 22.双曲线 的两条渐近线的夹角的大小等于( ) A. B. C. D. 23.双曲线 的渐近线方程是( ). A. B. C. D. 24.渐近线方程为 的双曲线的离心率是 A. B.1 第 5 页 学学科科网网((北北京京))股股份份有有限限公公司司C. D.2 25.双曲线 的顶点到渐近线的距离为( ) A. B. C. D. 【高分突破】 一、单选题 26.已知双曲线 的左、右焦点分别为 ,过 作圆 的切线,交双曲线右支于 点M,若 ,则双曲线的渐近线方程为( ) A. B. C. D. 27.已知双曲线 的右焦点与抛物线 的焦点重合,抛物线的准线交双曲线于A, B两点,交双曲线的渐近线于C、D两点,若 .则双曲线的离心率为( ) A. B. C.2 D.3 28.已知双曲线 的焦点到渐近线的距离为1,且与椭圆 有公共焦点.则双曲线 的渐近线方程为( ) A. B. C. D. 29.设曲线 是双曲线,则“ 的方程为 ”是“ 的渐近线方程为 ”的( ) A.充分必要条件 B.充分而不必要条件 C.必要而不充分条件 D.既不充分也不必要条件 30.已知双曲线 的左焦点为F,点F到双曲线C的一条渐近线的距离为 ,则双曲线C 的渐近线方程为( ) 第 6 页 学学科科网网((北北京京))股股份份有有限限公公司司A. B. C. D. 31.已知双曲线 的一条渐近线与直线 平行,则该双曲线的离心率是( ) A. B. C.2 D. 32.已知 为双曲线 的左、右焦点,过 作双曲线一条渐近线的垂线,垂足为 ,若 ,则双曲线离心率的值为( ) A. B. C.2 D.3 33.已知双曲线 (m≠0)的一个焦点为F(3,0),则其渐近线方程为( ) A. B. C. D. 34.设双曲线 的方程为 ,过抛物线 的焦点和点 的直线为 .若 的一条渐近线 与 平行,另一条渐近线与 垂直,则双曲线 的方程为( ) A. B. C. D. 35.如图,设 , 是双曲线 的左、右焦点,过点 作渐近线的平行线交另外一条渐近线于点 ,若 的面积为 ,离心率满足 ,则双曲线的方程为( ) A. B. 第 7 页 学学科科网网((北北京京))股股份份有有限限公公司司C. D. 36.已知双曲线 : 的左、右焦点为 、 , 为原点,若以 为直径的圆与 的渐近 线的一个交点为 ,且 ,则 的渐近线方程为( ) A. B. C. D. 37.已知 , 分别是双曲线 : 的左、右焦点,点 是其一条渐近线上一点,且以线段 为直径的 圆经过点 ,则点 的横坐标为( ) A. B. C. D. 二、多选题 38.已知双曲线 ,( ) A. B.若 的顶点坐标为 ,则 C. 的焦点坐标为 D.若 ,则 的渐近线方程为 39.已知双曲线 的一条渐近线方程为 ,则( ) A. 为 的一个焦点 B.双曲线 的离心率为 C.过点 作直线与 交于 两点,则满足 的直线有且只有两条 第 8 页 学学科科网网((北北京京))股股份份有有限限公公司司D.设 为 上三点且 关于原点对称,则 斜率存在时其乘积为 40.定义:以双曲线的实轴为虚轴,虚轴为实轴的双曲线与原双曲线互为共轭双曲线.以下关于共轭双曲线的结 论正确的是( ) A.与 共轭的双曲线是 B.互为共轭的双曲线渐近线不相同 C.互为共轭的双曲线的离心率为 、 则 D.互为共轭的双曲线的 个焦点在同一圆上 41.已知双曲线C: 的左、右焦点分别为 , ,则能使双曲线C的方程为 的是( ) A.离心率为 B.双曲线过点 C.渐近线方程为 D.实轴长为4 42.已知双曲线C: ,右顶点为A,以A为圆心,b为半径作圆A,圆A与双曲线C的一条 渐近线交于M,N两点,若 ,则有( ) A.渐近线方程为 B. C. D.渐近线方程为 43.已知点 ,点 是双曲线 左支上的动点, 是圆 上的动点,则( ) A. 的实轴长为6 B. 的渐近线为 C. 的最小值为 D. 的最小值为 第 9 页 学学科科网网((北北京京))股股份份有有限限公公司司三、填空题 44.已知双曲线 , , 为C的两条渐近线,过C的右焦点F作 的垂线,垂足为A,且该垂线交 于点B,若 ,则曲线C的离心率 ______. 45.已知双曲线 , 的一条渐近线方程为 ,则 ______. 46.在平面直角坐标系 中, 为双曲线 右支上的一个动点.若点 到直线 的距离大于 恒 成立,则实数 的最大值为___________. 47.双曲线 的离心率为 ,则其渐近线的斜率是__________. 48.已知点 在双曲线 的渐近线与直线 所围成的三角形区域(包含边界)内运动, 则 的最小值为_____. 49.在平面直角坐标系 中,双曲线 : 的一条渐近线与圆 相切,则 ______. 四、解答题 50.已知双曲线C的中心是原点,右焦点为 ,一条渐近线方程为 ,直线 与双 曲线交于点A, B两点.记FA, FB的斜率分别为 (1)求双曲线C的方程; (2)求 的值. 51.已知双曲线 的右焦点为 ,渐近线方程为 . 第 10 页 学学科科网网((北北京京))股股份份有有限限公公司司(1)求C的方程; (2)过F的直线与C的两条渐近线分别交于A,B两点,点 在C上,且 .过P且 斜率为 的直线与过Q且斜率为 的直线交于点M.从下面①②③中选取两个作为条件,证明另外一个成立: ①M在 上;② ;③ . 注:若选择不同的组合分别解答,则按第一个解答计分. 52.(1)已知椭圆C的两焦点分别为 ,且经过点 ,求椭圆C的标准方程. (2)求与双曲线 有相同渐近线,且右焦点为 的双曲线方程. 53.已知双曲线 : 的右焦点 与抛物线 的焦点重合,一条渐近线的倾斜角为 . (1)求双曲线 的方程; (2)经过点 的直线与双曲线的右支交与 两点,与 轴交与 点,点 关于原点的对称点为点 ,求证: . 54.根据下列已知条件求曲线方程. (1)求与双曲线 共渐近线且过 , 点的双曲线方程; (2)求与椭圆 有相同离心率且经过点 的椭圆方程. 55.已知 ,如图,曲线 由曲线 和曲线 组成,其中点 为曲 线 所在圆锥曲线的焦点,点 ,为曲线 所在圆锥曲线的焦点 第 11 页 学学科科网网((北北京京))股股份份有有限限公公司司(1)若 ,求曲线 的方程; (2)如图,作斜率为正数的直线 平行于曲线 的渐近线,交曲线 于点 ,求弦 的中点 的轨迹方程; (3)对于(1)中的曲线 ,若直线 过点 交曲线 于点 ,求 面积的最大值 第 12 页 学学科科网网((北北京京))股股份份有有限限公公司司参考答案: 1.D 【分析】根据双曲线的离心率可得 之间的关系,从而可得到渐近线方程. 【详解】双曲线 的离心率为 , 即 ,所以 , 则 ,故C的渐近线方程为 . 故选:D. 2.C 【分析】确定双曲线的 ,确定其焦点位置,即可求得其渐进线方程. 【详解】由 可知, ,且双曲线焦点位于x轴上 故该双曲线的渐近线方程为 , 故选:C 3.C 【分析】将双曲线化为标准方程,再根据渐近线的方程求解即可 【详解】由题意, 的渐近线方程为 故选:C 4.D 【分析】根据实轴长求得 ,再结合渐近线方程求得 ,即可求解 【详解】因为实轴长为8,所以 ,可得渐近线方程为 ,所以 , 所以双曲线的标准方程为 , 故选:D. 5.C 【分析】根据双曲线的一个顶点求出双曲线方程,再根据渐近线的方程求出 的值,综合选项即可得答案. 【详解】解:由题意得: 双曲线的一个顶点是 , 焦点在 轴上,设双曲线方程为 , 渐近线方程为 , , , 第 13 页该双曲线的标准方程为 . 故选:C 6.A 【分析】由双曲线的标准方程写出渐近线方程,由已知渐近线方程得到 , 又下焦点到下顶点的距离为1,得到 关系,结合 解出 即可. 【详解】因为双曲线 的渐近线方程为 , 又双曲线的一条渐近线为 ,所以 即 ,又下焦点到下顶点的距离为1, 所以 ,结合 解得 , , 故选:A. 7.B 【分析】设所求的双曲线方程为 ,由题可知, ,且 ,解之即可. 【详解】解:设所求的双曲线方程为 ,即 , 因为焦点为 在 轴上, 所以 ,所以双曲线方程为 ,且 , 所以 ,双曲线方程为 . 故选:B. 8.C 【分析】设与双曲线 有相同渐近线的双曲线方程为 ,代入点 的坐标,求出 的值, 即可的解. 【详解】设与双曲线 有相同渐近线的双曲线方程为 , 代入点 ,得 ,解得 , 所以所求双曲线方程为 ,即 故选:C. 9.C 【分析】和题干双曲线共渐近线的方程为 ,再代入已知点得到 ,进而得到结果. 第 14 页【详解】与双曲线 渐近线相同的双曲线方程设为 , 将 代入上式有 ,故双曲线的标准方程为 , 故选:C. 10.B 【解析】设点 由直线 , 的斜率乘积为 得到 ,则渐近线可求. 【详解】设点 ,又 , ,则 , 所以 ,又因为点 在双曲线 上得 , 所以 ,故 ,所以 则双曲线 的渐近线方程为 . 故选:B 11.D 【分析】根据给定条件,利用点到直线距离公式及离心率公式求出a,b即可作答. 【详解】双曲线 的渐近线方程为: ,设双曲线下焦点为 , 则有 ,依题意, ,离心率 ,解得 , 所以该双曲线的标准方程为 . 故选:D 12.A 【分析】首先确定渐近线方程,然后利用点到直线距离公式求得点到一条渐近线的距离即可. 【详解】由题意可知,双曲线的渐近线方程为: ,即 , 结合对称性,不妨考虑点 到直线 的距离: . 故选:A. 13.C 【分析】将点 的坐标代入双曲线的渐近线方程,求出 的值,可得出 的值,由此可求得双曲线的离心率. 【详解】双曲线 的渐近线方程 , 因为点 在双曲线 的一条渐近线上,所以 ,所以 ,则 , 第 15 页因此,该双曲线的离心率为 . 故选:C. 14.C 【分析】根据离心率结合 得出 关系,求得渐近线方程,利用点到直线距离公式即可求解. 【详解】由题离心率 ,即 , 又 ,则 ,即 , 则渐近线方程为 , 则点 到双曲线C的渐近线的距离为 . 故选:C. 15.B 【分析】设 , , 的方程为: ,与双曲线的方程联立可得点 的坐标,设 , ,直线 的倾斜角为 , 则 ,运用三角形面积相等,双曲线的定义, 可得关于 、 的方程,由 即可得离心率. 【详解】设双曲线 的左焦点 、右焦点 , 设双曲线的一条渐近线方程为: , 可得直线 的方程为: , 由 可得: ,即 , 设 , , 可得 , 即 ,整理可得: , 即 , 由双曲线的定义可得: , 第 16 页所以 , 设直线 的倾斜角为 ,在 中, , , ,所以 , 所以 , 所以 ,整理可得: , 解得: 或 (舍), 所以双曲线的离心率为 , 故选:B. 16.A 【分析】根据题意渐近线的斜率为 ,所以该渐近线的方程为 ,所以 ,求得 , 利用 ,求得 即可得解. 【详解】∵双曲线 的一条渐近线的倾斜角为 , , ∴该渐近线的方程为 ,∴ , 解得 或 (舍去),∴ , ∴双曲线的离心率为 . 故选:A. 17.A 【分析】首先由 ,得到 ,再根据双曲线的定义,得到 的值,即可根据公式,计算双曲线的渐近线方程. 【详解】由 ,得 ,∴点P在双曲线左支上,故 ,∴ ,得双曲线的方 程为 ,∴双曲线C的渐近线方程为 , 故选:A. 18.A 【分析】由题意问题转化为双曲线 的渐近线与双曲线 有公共点即可,据此可得两曲线渐近线 斜率间的关系,进而求出离心率范围. 【详解】双曲线 的渐近线方程为 , 第 17 页, 点P在双曲线 上, 双曲线 的渐近线方程为 , 因为 与双曲线 相交, 所以由双曲线渐近线性质可知只需 ,即 , 则 ,解得 , 故该双曲线离心率的取值范围是 , 故选:A 【点睛】关键点点睛:本题关键在于由题意转化为已知双曲线的渐近线与 有交点,再根据双曲线渐近线 判断直线与双曲线的的位置关系,建立不等式即可求出离心率,要掌握根据直线斜率与渐进线斜率的大小关系判 断直线与双曲线的交点个数问题. 19.C 【分析】根据已知条件和双曲线的定义可求得 , ,再在 中运用余弦定理建立关于a, b,c的方程,可求得双曲线的渐近线方程得选项. 【详解】解:由 ,设 ,由 得, ,所以 , ,又 得 , ,令 ,化简得: ,得 ,所以渐近线方程为 , 故选:C. 20.C 【分析】作 于点 , 于点 ,可得 , , 根据 求出 和 ,结合双曲线定义可得 的关系,从而得到双曲线的渐近线方程. 第 18 页【详解】 如图,作 于点 于点B,因为 与圆 相切, 所以 , 在 中, ,所以 . 又点M在双曲线上,由双曲线的定义可得: 所以 , 整理得: ,所以 , 所以双曲线的渐近线方程为 .故选C. 21.C 【分析】根据焦距可得 的值,根据右焦点到渐近线距离可求得 的值,由 可得 的值,再由 即 可求解. 【详解】因为焦距为 ,所以 ,右焦点 , , 双曲线 渐近线方程为: , 所以右焦点到它的一条渐近线的距离为 , 所以 , , 所以离心率 , 故选:C. 22.B 【分析】求得双曲线的两条渐近线方程,得到斜率和倾斜角,再求出渐近线夹角的大小. 【详解】双曲线 的两条渐近线的方程为 , 第 19 页由直线 的斜率为 ,可得倾斜角为 , 的斜率为 ,可得倾斜角为 , 所以两条渐近线的夹角的大小为 , 故选:B. 23.B 【分析】令 ,即可求出渐近线方程. 【详解】令 ,解得 ,所以双曲线 的渐近线方程是 . 故选:B. 24.C 【解析】本题根据双曲线的渐近线方程可求得 ,进一步可得离心率.容易题,注重了双曲线基础知识、基本计 算能力的考查. 【详解】根据渐近线方程为x±y=0的双曲线,可得 ,所以c 则该双曲线的离心率为 e , 故选C. 【点睛】理解概念,准确计算,是解答此类问题的基本要求.部分考生易出现理解性错误. 25.A 【分析】由题知顶点坐标为 ,渐近线方程为: ,进而利用点到直线的距离公式求解即可. 【详解】解:由题知双曲线中, ,焦点在 轴上, 所以顶点坐标为 ,渐近线方程为: , 由双曲线的对称性,不妨求顶点 到渐近线 的距离 所以双曲线 的顶点到渐近线的距离为 故选:A 26.A 【分析】作 于A, 于B,根据圆的切线的性质可得 , 可以求得 ,又点M在双曲线上,所以 ,整理得 ,从而得出结论. 【详解】作 于A, 于B, 第 20 页因为 与圆 相切, , 所以 , 因为 , 所以 , 又点M在双曲线上, 所以 , 整理得 , 所以双曲线的渐近线方程为 . 故选:A 27.A 【分析】设公共焦点为 ,进而可得准线为 ,代入双曲线及渐近线方程,结合线段长度比值可得 , 再由双曲线离心率公式即可得解. 【详解】设双曲线 与抛物线 的公共焦点为 , 则抛物线 的准线为 , 令 ,则 ,解得 ,所以 , 又因为双曲线的渐近线方程为 ,所以 , 所以 ,即 ,所以 , 所以双曲线的离心率 . 故选:A. 28.C 【解析】求出椭圆焦点坐标,得双曲线的焦点坐标,再由焦点到渐近线的距离可求得 ,得渐近线方程. 【详解】由题意已知椭圆的焦点坐标为 ,即为双曲线的焦点坐标,双曲线中 , 渐近线方程为 ,其中一条为 , 第 21 页于是有 , ,∴ , ∴渐近线方程为 . 故选:C. 【点睛】关键点点睛:本题考查椭圆与双曲线的焦点坐标,考查双曲线的渐近线方程,关键是求出 .解题时要 注意椭圆中 ,双曲线中 .两者不能混淆. 29.B 【分析】根据 的方程为 ,则渐近线为 ;若渐近线方程为 ,则双曲线方程为 ( )即可得答案. 【详解】解:若 的方程为 ,则 , ,渐近线方程为 , 即为 ,充分性成立; 若渐近线方程为 ,则双曲线方程为 ( ), “ 的方程为 ”是“ 的渐近线方程为 ”的充分而不必要条件. 故选:B. 【点睛】本题通过圆锥曲线的方程主要考查充分条件与必要条件,属于中档题.判断充要条件应注意:首先弄清条 件 和结论 分别是什么,然后直接依据定义、定理、性质尝试 .对于带有否定性的命题或比较难判 断的命题,除借助集合思想化抽象为直观外,还可利用原命题和逆否命题、逆命题和否命题的等价性,转化为判 断它的等价命题;对于范围问题也可以转化为包含关系来处理. 30.A 【分析】首先根据题意得到 ,从而得到 ,即可得到答案. 【详解】由题知:设 ,一条渐近线方程为 ,即 . 因为 ,所以 , 故渐近线方程为 . 故选:A 31.D 【分析】写出渐近线,再利用斜率相等,进而得到离心率 【详解】双曲线的渐近线为 ,易知 与直线 平行, 第 22 页所以 . 故选:D. 32.A 【分析】求出双曲线的一条渐近线,由点到直线的距离公式计算出 的长,运用余弦函数的定义求出 即得 ,在 中由余弦定理计算 的长,结合已知条件以及离心率公式即可求解. 【详解】设双曲线 的一条渐近线方程为 ,即 则 到渐近线 的距离为 , 在 中, ,所以 , , 在 中, , 所以 ,即 , 所以 ,可得 , 故选:A. 33.A 【分析】根据双曲线的焦点求出 的值,进而可以求出结果. 【详解】由双曲线方程 可知 , 且 , ,则 ,得 , 所以双曲线的方程为 , 则渐近线方程为 . 故选:A. 34.D 【分析】由抛物线的焦点 可求得直线 的方程为 ,即得直线的斜率为 ,再根据双曲线的渐近线的 方程为 ,可得 , 即可求出 ,得到双曲线的方程. 【详解】由题可知,抛物线的焦点为 ,所以直线 的方程为 ,即直线的斜率为 , 又双曲线的渐近线的方程为 ,所以 , ,因为 ,解得 . 故选: . 第 23 页【点睛】本题主要考查抛物线的简单几何性质,双曲线的几何性质,以及直线与直线的位置关系的应用,属于基 础题. 35.B 【分析】根据几何关系列出关于渐近线倾斜角与 面积的等量关系式,求出渐近线的倾斜角,从而根据渐近 线方程计算 的值,确定双曲线的方程 【详解】设双曲线的渐近线 的倾斜角为 ,则 ,在等腰三角形 中,根据正弦定理可得: ,得 ,所以 ,解得 或 ,又 , ,所以 ,从而 ,所以双曲的方程为 , 故选:B. 【点睛】本题目比较巧妙的地方在于借助渐近线的倾斜角,得到倾斜角与 的关系,结合解三角形的方法来表示三 角形的面积,求出 的值;题目也可以用渐近线方程直接求解 36.A 【分析】根据题意,画出双曲线及几何关系.由几何关系可得 的三条边,结合余弦定理求得 ,即 可得 .进而求得 ,即可得双曲线 的渐近线方程. 【详解】根据双曲线 : 的左、右焦点为 , , 为原点,以 为直径的圆与 的渐 近线的一个交点为 ,如下图所示: 则 , , 所以在 中,由余弦定理可得 . 所以 ,则 ,所以 ,则渐近线方程为 . 第 24 页故选:A. 【点睛】本题考查了双曲线的几何性质,余弦定理在解三角形中的应用,双曲线中渐近线方程的求法,属于中档 题. 37.C 【分析】由题意可设 ,根据圆的性质有 ,利用向量垂直的坐标表示,列方程求 即可. 【详解】由题设,渐近线为 ,可令 ,而 , , ∴ , ,又 , ∴ . 故选:C 38.BD 【分析】本题首先可根据双曲线的解析式得出 ,通过计算即可判断出A错误,然后根据双曲线的 顶点的相关性质即可判断出B正确,再然后分为 、 两种情况,依次求出 ,即可判断出C错误,最 后根据双曲线的渐近线方程的求法即可得出结果. 【详解】A项:因为方程 表示双曲线, 所以 ,解得 或 ,A错误; B项:因为 的顶点坐标为 , 所以 ,解得 ,B正确; C项:当 时, , 当 时, ,C错误; D项:当 时,双曲线 的标准方程为 , 则渐近线方程为 ,D正确, 第 25 页故选:BD. 39.BD 【分析】依题意求出双曲线方程,即可判断AB;再由双曲线的对称性判断C;设 , , 利用点差法求出 ; 【详解】解:因为双曲线 的一条渐近线方程为 , 所以 ,解得 ,所以双曲线 ,所以 , , ,所以则其焦点为 、 ,离心率 ,故A错误,B正确;过点 作直线与 交于 两点,因为 为双曲线的 焦点坐标,当直线的斜率不存在时 ,当直线的斜率为 时, ,所以由双曲线的 对称性得,满足 的直线有4条,故C错误; 设 , , ,所以 , ,因为 在双曲线上,所 以 , ,两式相减得 ,所以 , 故D正确; 故选:BD 40.CD 【分析】由共轭双曲线的定义可判断A选项的正误;利用双曲线的渐近线方程可判断B选项的正误;利用双曲线 的离心率公式以及基本不等式可判断C选项的正误;求出两双曲线的焦点坐标以及圆的方程,可判断D选项的正 误. 【详解】对于A选项,由共轭双曲线的定义可知,与 共轭的双曲线是 ,A错; 对于B选项,双曲线 的渐近线方程为 , 双曲线 的渐近线方程为 ,B错; 对于C选项,设 ,双曲线 的离心率为 , 双曲线 的离心率为 , 所以, ,当且仅当 时,等号成立,C对; 第 26 页对于D选项,设 ,双曲线 的焦点坐标为 , 双曲线 的焦点坐标为 ,这四个焦点都在圆 上,D对. 故选:CD. 41.ABC 【分析】根据双曲线C: 的左、右焦点分别为 , ,得到焦点在x轴上,且c=5; 然后逐项验证即可. 【详解】因为双曲线C: 的左、右焦点分别为 , , 所以焦点在x轴上,且c=5; A选项,若离心率为 ,则a=4,所以b=3,此时双曲线的方程为: ,故A正确; B选项,若双曲线过点 ,则 ,解得 ,又 ,解得:b=3;此时双曲线的方 程为: ,故B正确; C选项,若双曲线的渐近线方程为 ,则 ,又 解得 ,所以此时双曲线的 方程为: ,故C正确; D选项,若 ,则 ,所以 故D错误; 故选:ABC. 【点睛】本题主要考查双曲线的几何性质,还考查了运算求解的能力,属于基础题. 42.AC 【分析】利用已知条件,转化求解A到渐近线的距离,推出a,c的关系,然后求解双曲线的离心率和渐近线即可. 【详解】双曲线C: 1(a>0,b>0)的右顶点为A(a,0), 以A为圆心,b为半径做圆A,圆A与双曲线C的一条渐近线交于M、N两点. 若∠MAN=60°,可得A到渐近线bx+ay=0的距离为:bcos30° , 可得: ,即 ,故e . 且 ,故渐近线方程为渐近线方程为 故选:AC. 43.ACD 【分析】根据双曲线方程写出实轴长、渐近线方程判断A、B;由圆和双曲线的位置关系,结合双曲线的性质、数 第 27 页形结合求 的最小值,由 为右焦点,根据双曲线的定义将目标式转化为 即可求最小值. 【详解】A:由双曲线方程知: ,则 的实轴长为6,正确; B:由双曲线方程知: 的渐近线为 ,错误; C:双曲线、圆如下: 为左焦点,当且仅当 为x轴交点, 为x轴右交点时, 最小为 ,正确; D:由 为右焦点, ,则 ,要使 最小只需 共线, 此时 ,正确. 故选:ACD. 44. ## 【分析】不妨设 为 , 为 ,则直线 的方程为 ,联立联立 ,求得 点的坐标,联立 ,求得 点的坐标,再根据 ,得出 的齐次式,从而可得出答案. 【详解】解:不妨设 为 , 为 , 过C的右焦点F作 的垂线,垂足为A,且该垂线交 于点B, ,则直线 的方程为 , 联立 ,解得 , 即 , 联立 ,解得 , 第 28 页即 , 则 , , 因为 , 所以 , 所以 ,即 , 所以 ,所以 , 所以 . 故答案为: . 45. ##0.5 【分析】双曲线 的渐近线方程为 ,由此可得 ,从而得到 的值. 【详解】解:双曲线 的渐近线方程为 . 由双曲线 的一条渐近线方程为 ,即 , 所以 ,即 故答案为: . 46. 【分析】求出直线 与渐近线 的距离,即得解. 【详解】双曲线 的渐近线方程为 , 直线 与渐近线 平行, 故两平行线间的距离 . 由点 到直线 的距离大于 恒成立, 得 , 第 29 页故实数 的最大值为 . 故答案为: 47. 【分析】由 ,结合 ,可得 ,即得解 【详解】∵ ,又 ∴ , ,即 . 故答案为: 48. 【分析】由双曲线方程得到渐近线方程,从而得到三角形区域,将问题转化为 在 轴截距最小的问题, 通过直线平移可确定过 时截距最小,进而代入求得结果. 【详解】由双曲线方程知其渐近线方程为: ,由此可得三角形区域如下图所示: 令 ,则 当 取最小值时, 在 轴截距最小 由 平移可知,当 过 时,截距最小 由 得: 故答案为: 【点睛】本题考查线性规划中的最值问题的求解,关键是能够将问题转化为直线在 轴截距的最值的求解问题, 进而通过直线平移来进行求解. 第 30 页49. ## 【分析】双曲线 的渐近线方程为 ,与已知圆相切的只可能是 ,列出方程,从而可得答案. 【详解】解:由已知圆的方程可知圆心坐标为 ,半径为1. 双曲线 的渐近线方程为 ,与已知圆相切的只可能是 , 所以 ,得 ,故 . 故答案为: . 50.(1) ;(2) . 【解析】(1)设双曲线方程,由焦点及渐近线方程运算即可得解; (2)设 ,联立方程组,结合韦达定理可得 , ,再由斜率公式即可得解. 【详解】(1)设双曲线的方程为 , 由题意, ,该双曲线的渐近线方程 , 又双曲线的一条渐近线方程为 ,所以 , 所以 , 所以双曲线C的方程为 ; (2)设 , 由 ,消去x化简可得 , , 所以 , , 所以 . 【点睛】关键点点睛:解决本题的关键是联立方程组,结合韦达定理对 变形. 51.(1) (2)见解析 第 31 页【分析】(1)利用焦点坐标求得 的值,利用渐近线方程求得 的关系,进而利用 的平方关系求得 的 值,得到双曲线的方程; (2)先分析得到直线 的斜率存在且不为零,设直线AB的斜率为k, M(x,y),由③|AM|=|BM|等价分析得到 0 0 ;由直线 和 的斜率得到直线方程,结合双曲线的方程,两点间距离公式得到直线PQ的斜 率 ,由② 等价转化为 ,由① 在直线 上等价于 ,然后选择两个作为 已知条件一个作为结论,进行证明即可. (1)右焦点为 ,∴ ,∵渐近线方程为 ,∴ ,∴ ,∴ ,∴ ,∴ .∴C的方程为: ; (2)由已知得直线 的斜率存在且不为零,直线 的斜率不为零,若选由①②推③或选由②③推①:由②成立 可知直线 的斜率存在且不为零;若选①③推②,则 为线段 的中点,假若直线 的斜率不存在,则由双 曲线的对称性可知 在 轴上,即为焦点 ,此时由对称性可知 、 关于 轴对称,与从而 ,已知不符; 总之,直线 的斜率存在且不为零.设直线 的斜率为 ,直线 方程为 ,则条件① 在 上,等价 于 ;两渐近线的方程合并为 ,联立消去y并化简整理得: 设 ,线段中点为 ,则 ,设 ,则条件③ 等价于 ,移项并利用平方差公式整理得: , ,即 ,即 ;由题意知直线 的斜率为 , 直线 的斜率为 ,∴由 ,∴ ,所以直线 的斜率 ,直线 ,即 ,代入双曲线的方程 ,即 中,得: ,解得 的横坐标: ,同理: ,∴ ∴ ,∴条件② 等价于 ,综 上所述:条件① 在 上,等价于 ;条件② 等价于 ;条件③ 等价 第 32 页于 ;选①②推③:由①②解得: ,∴③成立;选①③推②:由①③ 解得: , ,∴ ,∴②成立;选②③推①:由②③解得: , , ∴ ,∴ ,∴①成立. 52.(1) ;(2) . 【分析】(1)设椭圆C的标准方程为 ,由椭圆定义求得 ,再由 求得 ,得椭圆 方程; (2)设双曲线的方程为 ( 且 ),由焦点坐标求得 ,得双曲线方程. 【详解】解:(1)设椭圆C的标准方程为 则 又 椭圆C的标准方程为 (2)设双曲线的方程为 ( 且 ), 因为焦点为 ,因此 , 则 所求双曲线的方程为 53.(1) ;(2)证明见解析. 【分析】(1)由题意可得 , ,再结合 可求出 ,从而可求出双曲线 的方程; (2)由题意知直线的斜率存在,设直线方程为: ,可得 , ,将直线方程与双曲线 方程联立方程组,消去 ,利用根与系数的关系,从而可表示出 ,再由直线与双曲线的右支 交与 两点,可得 ,则 ,代入上式化简可求得结果 【详解】解:(1)由题意得 , , 第 33 页解得 所以双曲线 的方程为: (2)由题意知直线的斜率存在,设直线方程为: ,得 , , 设 , , 联立 ,整理可得 , 所以 所以 直线与双曲线右支有两个交点,所以 所以 ,设 , 所以 【点睛】关键点点睛:此题考查双曲线方程的求法,考查直线与双曲线的位置关系,解题的关键是将直线方程与 双曲线方程联立后,利用根与系数的有关系,从而可表示出 ,再结合 ,换元后求其最 小值即可,考查计算能力,属于中档题 54.(1) (2) 或 【分析】(1)设所求双曲线方程为 ,根据 点坐标求得 ,从而求得所求的双曲线方程. 第 34 页(2)根据椭圆焦点所在坐标轴进行分类讨论,结合 求得椭圆方程. (1) 设与双曲线 共渐近线的双曲线方程为: 点 , 在双曲线上, 所求双曲线方程为: ,即 . (2) 若焦点在 轴上,设所求椭圆方程为 ,将点 代入,得 , 故所求方程为 . 若焦点在 轴上,设方程为 代入点 ,得 , . 55.(1) 和 ;(2) ;(3) . 【分析】(1)由题意可得 ,解方程组求出 的值,从而可求出曲线 的方程; (2)设直线 ,与曲线 的方程联立成方程组,消去 ,利用根与系的关系结合中点坐标公式可得 答案; (3)由题意设直线 为 ,与 的方程联立方程组,消去 ,利用根与系的关系,设 ,从而可求出 ,然后表示出 面积,利用基本不等式可求得结果 【详解】解:(1)因为 ,所以 ,解得 所以曲线 的方程为 和 ; (2)曲线 的渐近线为 ,如图,设直线 则 第 35 页又有数形结合知 设点 , 则 所以 , , 所以 ,即点 在线段 上; (3)由(1)可知, 和点 设直线 为 ,化为 , ,设 ,所以 所以 ,令 所以 ,当且仅当 ,即 时等号成立 所以 . 第 36 页第 37 页