当前位置:首页>文档>微专题数列的周期性学案——2023届高考数学一轮《考点·题型·技巧》精讲与精练_2.2025数学总复习_赠品通用版(老高考)复习资料_一轮复习

微专题数列的周期性学案——2023届高考数学一轮《考点·题型·技巧》精讲与精练_2.2025数学总复习_赠品通用版(老高考)复习资料_一轮复习

  • 2026-04-15 03:39:59 2026-03-20 05:02:27

文档预览

微专题数列的周期性学案——2023届高考数学一轮《考点·题型·技巧》精讲与精练_2.2025数学总复习_赠品通用版(老高考)复习资料_一轮复习
微专题数列的周期性学案——2023届高考数学一轮《考点·题型·技巧》精讲与精练_2.2025数学总复习_赠品通用版(老高考)复习资料_一轮复习
微专题数列的周期性学案——2023届高考数学一轮《考点·题型·技巧》精讲与精练_2.2025数学总复习_赠品通用版(老高考)复习资料_一轮复习
微专题数列的周期性学案——2023届高考数学一轮《考点·题型·技巧》精讲与精练_2.2025数学总复习_赠品通用版(老高考)复习资料_一轮复习
微专题数列的周期性学案——2023届高考数学一轮《考点·题型·技巧》精讲与精练_2.2025数学总复习_赠品通用版(老高考)复习资料_一轮复习
微专题数列的周期性学案——2023届高考数学一轮《考点·题型·技巧》精讲与精练_2.2025数学总复习_赠品通用版(老高考)复习资料_一轮复习
微专题数列的周期性学案——2023届高考数学一轮《考点·题型·技巧》精讲与精练_2.2025数学总复习_赠品通用版(老高考)复习资料_一轮复习
微专题数列的周期性学案——2023届高考数学一轮《考点·题型·技巧》精讲与精练_2.2025数学总复习_赠品通用版(老高考)复习资料_一轮复习
微专题数列的周期性学案——2023届高考数学一轮《考点·题型·技巧》精讲与精练_2.2025数学总复习_赠品通用版(老高考)复习资料_一轮复习
微专题数列的周期性学案——2023届高考数学一轮《考点·题型·技巧》精讲与精练_2.2025数学总复习_赠品通用版(老高考)复习资料_一轮复习
微专题数列的周期性学案——2023届高考数学一轮《考点·题型·技巧》精讲与精练_2.2025数学总复习_赠品通用版(老高考)复习资料_一轮复习
微专题数列的周期性学案——2023届高考数学一轮《考点·题型·技巧》精讲与精练_2.2025数学总复习_赠品通用版(老高考)复习资料_一轮复习
微专题数列的周期性学案——2023届高考数学一轮《考点·题型·技巧》精讲与精练_2.2025数学总复习_赠品通用版(老高考)复习资料_一轮复习
微专题数列的周期性学案——2023届高考数学一轮《考点·题型·技巧》精讲与精练_2.2025数学总复习_赠品通用版(老高考)复习资料_一轮复习
微专题数列的周期性学案——2023届高考数学一轮《考点·题型·技巧》精讲与精练_2.2025数学总复习_赠品通用版(老高考)复习资料_一轮复习
微专题数列的周期性学案——2023届高考数学一轮《考点·题型·技巧》精讲与精练_2.2025数学总复习_赠品通用版(老高考)复习资料_一轮复习
微专题数列的周期性学案——2023届高考数学一轮《考点·题型·技巧》精讲与精练_2.2025数学总复习_赠品通用版(老高考)复习资料_一轮复习
微专题数列的周期性学案——2023届高考数学一轮《考点·题型·技巧》精讲与精练_2.2025数学总复习_赠品通用版(老高考)复习资料_一轮复习
微专题数列的周期性学案——2023届高考数学一轮《考点·题型·技巧》精讲与精练_2.2025数学总复习_赠品通用版(老高考)复习资料_一轮复习
微专题数列的周期性学案——2023届高考数学一轮《考点·题型·技巧》精讲与精练_2.2025数学总复习_赠品通用版(老高考)复习资料_一轮复习
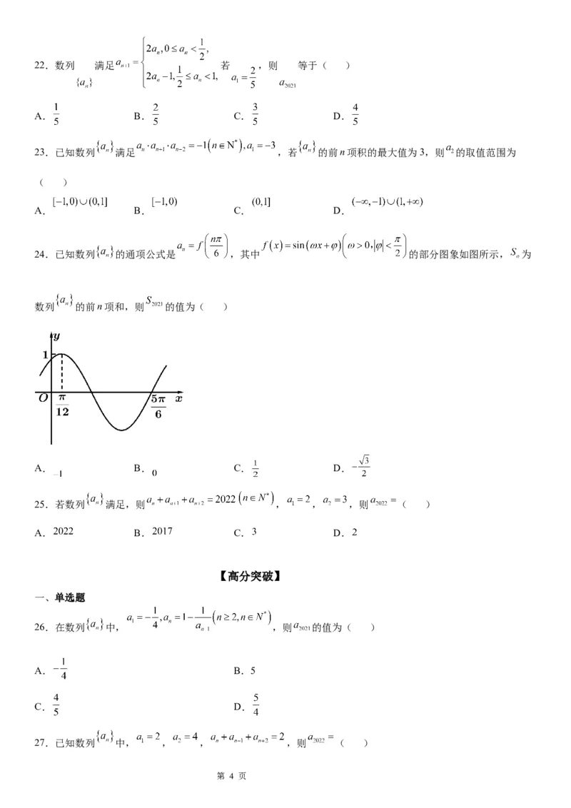
微专题数列的周期性学案——2023届高考数学一轮《考点·题型·技巧》精讲与精练_2.2025数学总复习_赠品通用版(老高考)复习资料_一轮复习
微专题数列的周期性学案——2023届高考数学一轮《考点·题型·技巧》精讲与精练_2.2025数学总复习_赠品通用版(老高考)复习资料_一轮复习
微专题数列的周期性学案——2023届高考数学一轮《考点·题型·技巧》精讲与精练_2.2025数学总复习_赠品通用版(老高考)复习资料_一轮复习
微专题数列的周期性学案——2023届高考数学一轮《考点·题型·技巧》精讲与精练_2.2025数学总复习_赠品通用版(老高考)复习资料_一轮复习
微专题数列的周期性学案——2023届高考数学一轮《考点·题型·技巧》精讲与精练_2.2025数学总复习_赠品通用版(老高考)复习资料_一轮复习
微专题数列的周期性学案——2023届高考数学一轮《考点·题型·技巧》精讲与精练_2.2025数学总复习_赠品通用版(老高考)复习资料_一轮复习
微专题数列的周期性学案——2023届高考数学一轮《考点·题型·技巧》精讲与精练_2.2025数学总复习_赠品通用版(老高考)复习资料_一轮复习
微专题数列的周期性学案——2023届高考数学一轮《考点·题型·技巧》精讲与精练_2.2025数学总复习_赠品通用版(老高考)复习资料_一轮复习

文档信息

文档格式
docx
文档大小
1.605 MB
文档页数
28 页
上传时间
2026-03-20 05:02:27

文档内容

微专题:数列的周期性 【考点梳理】 解决数列周期性问题,一般先写出前几项确定周期,再依据周期求解. 待求式中出现较大下标或已知条件中有 关键恒等式,都是周期数列的“信号”. 如本例中a =,即f(x+1)=,由函数周期性相关结论可知该数列的一个 n+1 周期为4. 【典例剖析】 典例1.已知定义在 上的函数 是奇函数且满足 , ,数列 是等差数列,若 , ,则 ( ) A. B. C.2 D.3 典例2.在数列 中, ,则 的值为( ) A. B.5 C. D. 典例3.若数列 满足 , ,则数列 中的项的值不可能为( ) A. B. C. D. 典例4.设 是数列 的前 项和,若 , ,则 A. B. C. D. 典例5.已知数列 满足 ,则 ( ) A. B.1 C.2 D. 第 1 页 学学科科网网((北北京京))股股份份有有限限公公司司【双基达标】 6.已知数列 ,满足 ,若 ,则 ( ) A. B.2 C.1 D. 7.已知数列 的前 项和为 ,且满足 ,则( ) A. B. C. D. 8.若数列 满足 , , ( 且 ),则 ( ) A. B.2 C. D. 9.若数列 满足 , ,则该数列的前2021项的乘积是( ) A. B. C.2 D.1 10.若数列 满足 , ,则 ( ) A.2 B. C.-1 D.-2 11.已知数列 的前 项积为 , 且 ,则 ( ) A.-1 B.1 C.2 D.-2 12.若数列 满足 , , ( 且 ),则 等于( ) A. B.2 C.3 D. 13.公元1202年列昂那多·斐波那契(意大利著名数学家)以兔子繁殖为例,引入“兔子数列” :1,1,2, 3,5,8,13,21,34,55,……,即 , , ,此数列在现代物理、化学等学 第 2 页 学学科科网网((北北京京))股股份份有有限限公公司司科都有着十分广泛的应用。若将此数列 的各项除以2后的余数构成一个新数列 ,设数列 的前 项的和 为 ;若数列 满足: ,设数列 的前 项的和为 ,则 ( ) A.1348 B.1347 C.674 D.673 14.已知正项数列 的前n项和为 , ,记 ,若数列 的前n 项和为 ,则 ( ) A. B. C.200 D.400 15.已知数列 满足 , ,则数列 的前2022项积为( ) A. B. C. D. 16.已知数列 中, ,当 时, ,则 ( ) A. B. C.5 D. 17.已知数列 满足: , , ,则数列 前100项的和为( ) A. B. C. D. 18.若数列 满足 ,且 ,则 的前100项和为( ) A.67 B.68 C.134 D.167 19.在数列 中, , , , ,则 ( ) A. B. C. D. 20.数列 满足 , ,其前 项积为 ,则 等于( ) A. B. C. D. 21.已知数列 , 且 ,则 ( ) A. B.2 C. D. 第 3 页 学学科科网网((北北京京))股股份份有有限限公公司司22.数列 满足 若 ,则 等于( ) A. B. C. D. 23.已知数列 满足 ,若 的前n项积的最大值为3,则 的取值范围为 ( ) A. B. C. D. 24.已知数列 的通项公式是 ,其中 的部分图象如图所示, 为 数列 的前n项和,则 的值为( ) A. B. C. D. 25.若数列 满足,则 , , ,则 ( ) A. B. C. D. 【高分突破】 一、单选题 26.在数列 中, ,则 的值为( ) A. B.5 C. D. 27.已知数列 中, , , ,则 ( ) 第 4 页 学学科科网网((北北京京))股股份份有有限限公公司司A.4 B.2 C.-2 D.-4 28.已知数列 且满足: ,且 ,则 为数列 的前 项和,则 ( ) A.2019 B.2021 C.2022 D.2023 二、多选题 29.已知数列 中, ,且 ,则能使 的n可以是( ) A.4 B.14 C.21 D.28 30.意大利著名数学家裴波那契在研究兔子的繁殖问题时,发现有这样的一列数:1,1,2,3,5,8,….该数列 的特点是:前两个数均为1,从第三个数起,每一个数都等于它前面两个数的和.人们把这样的一列数组成的数列 称为裴波那契数列,现将 中的各项除以4所得余数按原顺序构成的数列记为 ,则( ) A. B. C. D. 31.若数列 满足 , , ,记数列 的前 项积为 ,则下列说法正确的是 ( ). A. 无最大值 B. 有最大值 C. D. 32.已知 ,记数列{ }的前项和为Sn,则下列说法正确的有( ) A. B. C.对任意 D.对任意m 三、填空题 33.已知数列 中, 为前 项和,且 , ,则 ______ 34.数列 的首项 ,若 ,则 _______. 35.设数列 的前 项和为 ,已知 , ,则 等于______. 第 5 页 学学科科网网((北北京京))股股份份有有限限公公司司36.在数列 中, , ,则 ___. 37.已知函数 ,数列 满足 ,则 ___________. 38.若数列 满足, , ,则数列 前 项的积等于________. 四、解答题 39.已知数列 中, , , . (1)求 , 的值; (2)求 的前2021项和 . 40.已知数列 的通项公式为: ,其中 .记 为数列 的前 项和. (1)求 , ; (2)数列 的通项公式为 ,求 的前 项和 . 41.若实数数列 满足 ,则称数列 为“Q数列”. (1)若数列 是Q数列,且 , ,求 , 的值; (2)若数列 是Q数列: ①试判断: 的项是否可以全是正数,或者全是负数?请说明理由; ②若数列 中不含值为零的项,记 前2016项中值为负数的项的个数为m,求m所有可能的取值. 42.已知函数 . (1)若 的反函数是 ,解方程: ; (2)当 时,定义 ,设 ,数列 的前n项和为 ,求 、 、 第 6 页 学学科科网网((北北京京))股股份份有有限限公公司司、 和 ; (3)对于任意 、 、 ,且 ,当 、 、 能作为一个三角形的三边长时, 、 、 也总能作为某个三角形的三边长,试探究 的最小值. 43.设数列 和 的项数均为 ,则将数列 和 的距离定义为 . (1)给出数列1,3,5,6和数列2,3,10,7的距离; (2)设 为满足递推关系 的所有数列 的集合, 和 为 中的两个元素,且项数均为 ,若 , , 和 的距离小于4032,求 的最大值; (3)记 是所有7项数列 的集合, .且T中任何两个元素的距离大于或等于3.证明: T中的元素个数小于或等于16. 第 7 页 学学科科网网((北北京京))股股份份有有限限公公司司参考答案 1.B 【解析】 【分析】 根据题意得到函数 的周期为3,且 ,转化为 ,结合 因为 ,即可求解. 【详解】 因为函数 是奇函数且满足 ,可得 , 则 ,即 ,所以 为周期为3的函数, 又因为数列 是等差数列,且 , , 可得 ,解得 , ,所以 , 所以 , 因为 ,所以 , 所以 , 所以 . 故选:B. 2.C 【解析】 【分析】 根据给定的递推公式,探讨数列 的周期性即可计算作答. 【详解】 依题意, ,则 , , 于是得数列 是周期数列,其周期是3,由 得: , 所以 . 故选:C 3.D 【解析】 【分析】 利用数列 满足的递推关系及 ,依次取 代入计算 ,能得到数列 是周期为4的周 期数列,得项的所有可能值,判断选项即得结果. 第 8 页【详解】 数列 满足 , ,依次取 代入计算得, , , , ,因此继续下去会循环,数列 是周期为4的 周期数列,所有可能取值为: . 故选:D. 4.B 【解析】 推导出数列 是以 为周期的周期数列,由 可得出 ,代值计算即可得解. 【详解】 在数列 中, , ,则 , , , 以此类推可知,对任意的 , ,即数列 是以 为周期的周期数列, ,因此, . 故选:B. 【点睛】 思路点睛:根据递推公式证明数列 是周期数列的步骤: (1)先根据已知条件写出数列 的前几项,直至出现数列中的循环项,判断循环的项包含的项数 ; (2)证明 ,则可说明数列 是周期为 的周期数列. 5.A 【解析】 【分析】 根据数列的周期性求解即可. 【详解】 因为 , 所以 , , 所以数列 是以周期为 的数列,即 . 故选:A 6.A 【解析】 第 9 页利用递推公式计算出数列 的前几项,找出数列 的周期,然后利用周期性求出 的值. 【详解】 由 ,且 则 , , 所以 ,即数列 是以3为周期的周期数列 所以 故选:A 7.D 【解析】 首先通过列举数列的项,得到数列 是周期数列,利用周期判断选项. 【详解】 , , , ,…… 所以数列 是以3为周期的周期数列,前三项和 , , ,所以 , , ,所以 . 故选:D 【点睛】 关键点点睛:本题的关键是根据递推公式,列举数列 中的项,判断数列是周期数列. 8.A 【解析】 【分析】 根据递推关系得出数列的周期,然后可求答案. 【详解】 因为 , , ( 且 ), 所以 , , , , 第 10 页, , 所以 的周期 ,所以 . 故选:A. 9.C 【解析】 【分析】 先由数列 满足 , ,计算出前5项,可得 ,且 ,再利用周期性 即可得到答案. 【详解】 因为数列 满足 , , 所以 ,同理可得 ,… 所以数列 每四项重复出现,即 ,且 , 而 , 所以该数列的前2021项的乘积是 . 故选:C. 10.C 【解析】 【分析】 由题意得数列 是周期为3的数列,即可得解. 【详解】 由 ,代入 可得 ,同理可得 . 由 ,得 ,从而有 , 即 ,从而有 , 所以数列 的周期为3, 所以 . 故选:C. 11.A 第 11 页【解析】 【分析】 由递推式可得 是周期为3的数列且 、 ,可得 ,进而求 . 【详解】 由题设, , , …, ∴ 是周期为3的数列,又 ,且 , ∴ . 故选:A. 12.C 【解析】 先由题设求得数列 的前几项,然后得到数列 的周期,进而求得结果. 【详解】 因为 , , ( 且 ), 所以 , , , , , , , 所以数列 是周期为 的周期数列, 所以 , 故选:C. 【点睛】 思路点睛:该题考查的是有关数列的问题,解题方法如下: (1)根据题中所给的前两项以及递推公式,逐项写出数列的前几项; (2)根据规律判断出数列的周期; (3)根据所求的数列的周期,求得 ,进而求得结果. 13.B 【解析】 根据题意写出数列 的前若干项,观察发现此数列是以3为周期的周期数列,可得 ,再计算 ,结合等比 数列的通项公式和求和公式,可得 ,进而得到所求和. 【详解】 第 12 页“兔子数列”的各项为:1,1,2,3,5,8,13,21,34,55, , 此数列被2除后的余数依次为:1,1,0,1,1,0,1,1,0, , 即 , , , , , , , 数列 是以3为周期的周期数列, , 由题意知 , 由于 , 所以 , 所以 . 则 . 故选:B 【点睛】 关键点点睛:确定数列数列 是以3为周期的周期数列,利用周期性求出数列的和,摆动数列 可以利用 分组求和,是解决问题的关键,属于中档题. 14.C 【解析】 【分析】 利用 关系及等差数列的定义求 的通项公式,进而可得 ,根据正弦函数的周期性并讨论 ,求得 ,即可求 . 【详解】 由题设 ,则 , 所以 ,又 为正项数列,则 , 由 ,可得 , 所以 是首项为1,公差为2的等差数列,则 ,故 , 当 且 , ; 当 且 , ; 当 且 , ; 当 且 , ; 则 , 由 . 故选:C 第 13 页15.A 【解析】 【分析】 找出数列的规律,是周期为4的数列,然后求和即可. 【详解】 由题意, , , , , , , , ∴ 是周期为4的循环数列,在一个周期内的积为: , ,前2022项之积为505个周期之积 , 即 ; 故选:A. 16.B 【解析】 【分析】 直接由递推关系式得出数列的周期,再利用周期性即可求解. 【详解】 由题意得: ,则数列 的周期为3,则 . 故选:B. 17.C 【解析】 【分析】 先分别求出 的前9项,观察这9项知 是周期为6的周期函数,由此能求出 前100项之和. 【详解】 , , , , , , , , 是周期为6的周期函数, , 第 14 页﹒ 故选:C﹒ 18.B 【解析】 【分析】 由题意得 ,根据 ,列举数列的项,得到数列从第2项起,3项一个循环求解. 【详解】 因为 , 所以 , 因为 , 所以数列的项依次为2,1,1,0,1,1,0,…, 所以从第2项起,3项一个循环, 所以 的前100项的和为 , 故选:B. 19.D 【解析】 【分析】 根据已知条件先分析出 为周期数列,然后根据周期性以及对数运算性质即可求解. 【详解】 因为 ,所以 ,所以 , 所以 是周期为 的周期数列, 所以 , 因为 , , , , 所以 , , 所以 , , 所以原式 , 故选:D. 20.D 【解析】 【分析】 依次代入 可得 是以 为周期的周期数列,由 可推导得到结果. 【详解】 第 15 页当 时, ;当 时, ;当 时, ;当 时, ; …, 数列 是以 为周期的周期数列, , . 故选:D. 21.B 【解析】 【分析】 由递推公式可得,数列 为周期数列且周期为3,从而可得答案。 【详解】 因为 , 故 , , , , 故数列 为周期数列且周期为3, 故 . 故选:B. 22.B 【解析】 【分析】 根据数列定义求出数列的前几项后得出数列是周期数列,从而求值. 【详解】 因为 ,所以 ,所以数列具有周期性,周期为4,所以 . 故选:B. 【点睛】 本题考查数列的周期性,此类问题的解法是由定义求出数列的前几项,然后归纳出周期性. 23.A 【解析】 【分析】 根据给定递推关系,探讨数列 的周期性,再讨论计算作答. 【详解】 数列 中, , ,则有 ,因此, , , 因数列 的前n项积的最大值为3,则当 , 的前n项积 , 当 , 的前n项积 , 第 16 页当 , 的前n项积 ,解得 , 当 , 的前n项积 , 当 , 的前n项积 , 当 , 的前n项积 ,解得 , 显然 ,综上得 或 , 所以 的取值范围为 . 故选:A 24.D 【解析】 【分析】 由函数 的图象求出其解析式,再求出数列 的通项即可得解. 【详解】 观察图象知:函数 周期为T, , , 又 ,而 ,则 , 所以 , , 数列 是周期数列,周期为6,其前6项依次为 ,则 , ,则 . 故选:D. 【点睛】 结论点睛:周期为 的周期性数列前n项和 ,先求从首项开始的长为一个周期的前 几项和 , 再把n化为 ,则有 . 25.B 【解析】 【分析】 根据递推式求出 ,可得数列 是周期数列,根据周期可得答案. 【详解】 解:由已知 , , ,则 , , , 所以数列 是周期为3的周期数列, . 第 17 页故选:B. 26.B 【解析】 【分析】 根据递推关系可判断数列为周期数列,从而可求 . 【详解】 因为在数列 中, , 所以 , 故 是周期数列且周期为3,故 . 故选:B. 27.D 【解析】 【分析】 根据递推关系可得数列 是以3为周期的数列,即可求出. 【详解】 因为 , , ,所以 , 则 , , ,…, 所以数列 是以3为周期的数列, 则 . 故选:D. 28.D 【解析】 【分析】 根据递推关系式可得数列 是以 为周期的数列,由 ,从而可得 ,即可求解. 【详解】 由 , , 所以 , , , 所以数列 是以 为周期的数列, , 所以 . 故选:D 【点睛】 第 18 页本题主要考查了数列的递推关系求数列的性质、数列周期性的应用,属于基础题. 29.AD 【解析】 【分析】 由已知条件计算可得数列 是以3为周期的周期数列,从而可求得答案 【详解】 因为 ,且 , 所以 , , , 所以数列 是以3为周期的周期数列, 所以 , 所以n可以是1,4,7,10,13,16,19,22,25,28,31,…… 故选:AD 30.ACD 【解析】 【分析】 根据裴波那契数列的性质,结合周期性逐一判断即可. 【详解】 因为 , , , , , , , ,…, 所以 是以6为周期的周期数列,所以 ,所以A正确; 因为 ,所以B错误; 因为 ,所以C正确; 因为 所以 , 所以D正确, 故选:ACD 【点睛】 关键点睛:根据裴波那契数列的性质进行求解是解题的关键. 31.BC 第 19 页【解析】 根据数列的递推关系式,分别求得 ,得出数列 是周期为6的数列,且 ,结 合选项,即可求解. 【详解】 由题意,数列 满足 , , , 所以 , 同理可得 , 可得 ,所以数列 是周期为6的数列,且 , 所以 有最大值,最大值为 , 有最大值,最大值为 , 又由 , , 所以选项BC正确. 故选:BC. 【点睛】 方法点睛:对于难以化简的数列的递推关系式,可求出数列的前几项,寻找数列的构成规律,如:周期性,单调 性等,结合数列的性质进行求解. 32.ACD 【解析】 【分析】 首先由递推公式列出数列的前几项即可找到数列的周期性,再一一判断即可; 【详解】 解:因为 且 ,所以 , , , , , , ,所以 ,即 是以 为周期的数列,且 , 因为 ,所以 ,故A正确; ,故B错误; 因为 , , , , , ,, , 所以对任意 , ,故C正确; 因为 , , ,因为 ,所以 ,故D正确; 故选:ACD 33.3025 【解析】 【分析】 根据题意得 , ,进而根据数列的周期性求解即可. 【详解】 解:因为 ,所以 , 第 20 页所以 , ,即数列 为周期数列,周期为 , 因为 ,所以 , 所以 故答案为: 34.3 【解析】 【分析】 利用数列的单调性进行求解即可. 【详解】 因为 ,所以 , 因此该数列的周期为 ,因此 , 故答案为: 35.1010 【解析】 【分析】 由已知递推公式求得 , , , ,则有 ,所以 计算即可得 出结果. 【详解】 因为 , ,因为 所以 ,由此可得 , , ,所以 ,周期为4, 所以 . 故答案为:1010 【点睛】 本题考查数列的递推公式和数列的周期性,考查求数列前 项的和的问题,考查学生的推理能力和计算能力,属于 中档题. 36. 【解析】 【分析】 由题目条件知,数列 的周期为3,代入即可求出. 【详解】 由 , ,可得 , . 第 21 页∴可得 .所以数列 的周期为3. . 故答案为: . 37.2 【解析】 【分析】 根据递推公式求出数列前几项,可以求出数列的周期,利用周期性进行求解即可. 【详解】 因为 ,所以 , 因为 ,所以 , 因此 , ,所以该数列的周期为3, , 故答案为:2 38. 【解析】 推导出数列 是以 为周期的周期数列,且有 ,再由递推公式求得 ,由此可求得数列 前 项的积. 【详解】 ,则 ,所以, , ,则 , 所以,数列 是以 为周期的周期数列, 且 , 所以, 的前 项的积为 . 故答案为: . 【点睛】 关键点点睛:解本题的关键在利用数列的递推公式推导出数列的周期性,一般涉及到数列项数较大的问题时,常 利用数列的周期性来求解. 39.(1) ; ;(2) . 第 22 页【解析】 【分析】 (1)根据递推公式,利用代入法进行求解即可; (2)根据递推公式可以求出数列的周期,利用数列的周期性进行求解即可. 【详解】 (1)当 时, ,所以 ; 当 时, ,所以 ; (2)当 时, ,所以 ; 由 知: ,所以 ,故数列 是以4为周期的周期数列, 即 , , , , 所以 . 40.(1) ; ; (2) . 【解析】 【分析】 (1)验证可知数列 是以 为周期的周期数列,则 , ; (2)由(1)可求得 ,利用错位相减法可求得结果. (1) 当 时, ;当 时, ;当 时, ; 数列 是以 为周期的周期数列; , ; (2) 由(1)得: , , , , 两式作差得: . 41.(1) (2)①数列 不可能全是正数,也不可能全是负数,理由见解析;② 【解析】 【分析】 第 23 页(1)代入求值即可;(2)①用反证法证明;②结合①中结论得到 中既有正数,又有负数,且最多连续两项 都是负数,最多连续三项都是正数,又得到 的周期为9,且 ,这9项中, 为负数, 这 两项中一个为正,一个为负,其余全是正数,对前5项的正负分情况得到负数的个数,求出最后结果. (1) 因为 是Q数列,且 ,所以 , ,所以 ,解得: , 所以 , ; (2) ①数列 不可能全是正数,也不可能全是负数,理由如下: 假设“Q数列” 的项全是正数,即 ,所以 , ,这 与假设矛盾,故“Q数列” 的项不可能全是正数; 假设“Q数列” 的项全是负数,则 ,而 ,与假设矛盾,故数列 不可能全是正数, 也不可能全是负数, ②由①可知, 中既有正数,又有负数,且最多连续两项都是负数,最多连续三项都是正数,因此存在最小的 正整数k满足 , ,设 , ,则 , , , , , , , , ,……,故 ,所以 的周期为9,所以 ,这9项中, 为负数, 这两项中一个为正,一个为负,其余全是正数, 因为 ,所以当 时,m=3×224=672; 当 时, 这(k-1)项至多一个为负,而且负数项只能是 ,记 这 项中 负数项个数为t, 当 时,若 ,则 ,故 为负数,此时t=671,m=671+1=672; 若 ,则 ,故 是负数,此时t=672,m=672; 当 时, 必须为负数, , 综上:m的取值集合为 . 【点睛】 定义新数列,要结合题目信息,运用所学的不等式,周期等知识进行求解,分类讨论是处理定义新数列最常用的 方法. 42.(1) 或 (2) , , , , (3)M的最小值为2 【解析】 【分析】 (1)由题意,求出 解析式,结合题意,列出方程,求解即可得答案. 第 24 页(2)若 可求得 的值,同理可求得 , , 的值,总结规律,结合等差数列前n项和公式,即 可得答案. (3)根据三角形两边之和大于第三边,分析讨论,推理求值,举反例论证,即可得答案. (1) 因为 ,所以 , 则原方程为 ,整理得 , 所以 ,即 或 , 所以 或 ,则原方程的解为 或 (2) 若 ,则 ,所以 ,所以 , 若 ,则 ,所以 ,所以 , 若 ,则 ,所以 ,所以 , 若 ,则 ,所以 ,所以 , 当 时, ,所以 , 当 时, ,所以 , 当 时, ,所以 , 所以 (3) 由题意得 , 若 、 、 总能作为某个三角形的三边长,则 , 所以 ,且 , , , 所以 ,则 , 当 时,取 ,有 ,即 成立, 所以此时 、 、 可作为一个三角形的三边长, 但 , , 所以 ,此时 、 、 不能作为一个三角形的三边长, 当 时, ,有 ,则 , 所以 、 、 作为一个三角形的三边长, , 所以 、 、 也总能作为某个三角形的三边长, 第 25 页综上:M的最小值为2. 【点睛】 解题的关键是熟练掌握反函数、对数运算、等差数列求和等基础知识,更要掌握分析理解,推理论证,分类讨论 等方法,考查学生灵活应变的能力,属中档题. 43.(1)7;(2) ;(3)证明见解析. 【解析】 【分析】 (1)由数列距离的定义即可求得数列1,3,5,6和数列2,3,10,7的距离; (2)由数列的递推公式,即可求得 , , , ,从而得到集合A中数列的项周期性重复,且间隔4项重复一 次,从而求得数列 和 ,根据数列距离的定义分析求解,即可得到m的最大值; (3)利用反证法,假设T中的元素个数大于等于17个,设出 , , ,最后可得 和 中必有一个成立,与数列的距离大于或等于3矛盾,故可证明T中元素个数小于或等于16. 【详解】 (1)由题意可知,数列1,3,5,6和数列2,3,10,7的距离为1+0+5+1=7; (2)设 ,其中 ,且 ,由 , 所以 , , , , 则 , 因此集合A中数列的项周期性重复,且间隔4项重复一次, 所以数列 中, , , , , , 故 中, , , , , , , 所以项数 越大,数列 和 的距离越大, 由 ,可得 , 所以 时, , 故 的最大值为 ; (3)证明:假设T中的元素个数大于等于17个, 因为数列 中, 或1, 所以仅由数列前三项组成的数组 有且仅有8个, 即(0,0,0),(1,0,0),(0,1,0),(0,0,1),(1,1,0),(1,0,1),(0,1,1),(1, 第 26 页1,1), 那么这17个元素(即数列)之中必有三个具有相同的 , , , 设这个数列分别为 : , , , , , , , : , , , , , , , : , , , , , , , 其中 , , 因为这三个数列中每两个的距离大于等于3, 所以 和 中, 中至少有三个成立, 不妨设 , , 由题意可知, 和 中一个等于0,而另一个等于1,又因为 或1, 所以 和 中必有一个成立, 同理可得, 和 中必有一个成立, 和 中必有一个成立, 所以“ 中至少有两个成立”或“ 中至少有两个成立”中必有一个成立, 所以 和 中必有一个成立,与题意矛盾, 故T中的元素个数小于或等于16. 第 27 页第 28 页