当前位置:首页>文档>专题18.14矩形(分层练习)(培优练)-(人教版)_初中数学_八年级数学下册(人教版)_专题突破练习-V4

专题18.14矩形(分层练习)(培优练)-(人教版)_初中数学_八年级数学下册(人教版)_专题突破练习-V4

  • 2026-04-09 23:58:10 2026-03-23 23:45:47

文档预览

专题18.14矩形(分层练习)(培优练)-(人教版)_初中数学_八年级数学下册(人教版)_专题突破练习-V4
专题18.14矩形(分层练习)(培优练)-(人教版)_初中数学_八年级数学下册(人教版)_专题突破练习-V4
专题18.14矩形(分层练习)(培优练)-(人教版)_初中数学_八年级数学下册(人教版)_专题突破练习-V4
专题18.14矩形(分层练习)(培优练)-(人教版)_初中数学_八年级数学下册(人教版)_专题突破练习-V4
专题18.14矩形(分层练习)(培优练)-(人教版)_初中数学_八年级数学下册(人教版)_专题突破练习-V4
专题18.14矩形(分层练习)(培优练)-(人教版)_初中数学_八年级数学下册(人教版)_专题突破练习-V4
专题18.14矩形(分层练习)(培优练)-(人教版)_初中数学_八年级数学下册(人教版)_专题突破练习-V4
专题18.14矩形(分层练习)(培优练)-(人教版)_初中数学_八年级数学下册(人教版)_专题突破练习-V4
专题18.14矩形(分层练习)(培优练)-(人教版)_初中数学_八年级数学下册(人教版)_专题突破练习-V4
专题18.14矩形(分层练习)(培优练)-(人教版)_初中数学_八年级数学下册(人教版)_专题突破练习-V4
专题18.14矩形(分层练习)(培优练)-(人教版)_初中数学_八年级数学下册(人教版)_专题突破练习-V4
专题18.14矩形(分层练习)(培优练)-(人教版)_初中数学_八年级数学下册(人教版)_专题突破练习-V4
专题18.14矩形(分层练习)(培优练)-(人教版)_初中数学_八年级数学下册(人教版)_专题突破练习-V4
专题18.14矩形(分层练习)(培优练)-(人教版)_初中数学_八年级数学下册(人教版)_专题突破练习-V4
专题18.14矩形(分层练习)(培优练)-(人教版)_初中数学_八年级数学下册(人教版)_专题突破练习-V4
专题18.14矩形(分层练习)(培优练)-(人教版)_初中数学_八年级数学下册(人教版)_专题突破练习-V4
专题18.14矩形(分层练习)(培优练)-(人教版)_初中数学_八年级数学下册(人教版)_专题突破练习-V4
专题18.14矩形(分层练习)(培优练)-(人教版)_初中数学_八年级数学下册(人教版)_专题突破练习-V4
专题18.14矩形(分层练习)(培优练)-(人教版)_初中数学_八年级数学下册(人教版)_专题突破练习-V4
专题18.14矩形(分层练习)(培优练)-(人教版)_初中数学_八年级数学下册(人教版)_专题突破练习-V4
专题18.14矩形(分层练习)(培优练)-(人教版)_初中数学_八年级数学下册(人教版)_专题突破练习-V4
专题18.14矩形(分层练习)(培优练)-(人教版)_初中数学_八年级数学下册(人教版)_专题突破练习-V4
专题18.14矩形(分层练习)(培优练)-(人教版)_初中数学_八年级数学下册(人教版)_专题突破练习-V4
专题18.14矩形(分层练习)(培优练)-(人教版)_初中数学_八年级数学下册(人教版)_专题突破练习-V4
专题18.14矩形(分层练习)(培优练)-(人教版)_初中数学_八年级数学下册(人教版)_专题突破练习-V4
专题18.14矩形(分层练习)(培优练)-(人教版)_初中数学_八年级数学下册(人教版)_专题突破练习-V4
专题18.14矩形(分层练习)(培优练)-(人教版)_初中数学_八年级数学下册(人教版)_专题突破练习-V4
专题18.14矩形(分层练习)(培优练)-(人教版)_初中数学_八年级数学下册(人教版)_专题突破练习-V4
专题18.14矩形(分层练习)(培优练)-(人教版)_初中数学_八年级数学下册(人教版)_专题突破练习-V4
专题18.14矩形(分层练习)(培优练)-(人教版)_初中数学_八年级数学下册(人教版)_专题突破练习-V4
专题18.14矩形(分层练习)(培优练)-(人教版)_初中数学_八年级数学下册(人教版)_专题突破练习-V4
专题18.14矩形(分层练习)(培优练)-(人教版)_初中数学_八年级数学下册(人教版)_专题突破练习-V4
专题18.14矩形(分层练习)(培优练)-(人教版)_初中数学_八年级数学下册(人教版)_专题突破练习-V4
专题18.14矩形(分层练习)(培优练)-(人教版)_初中数学_八年级数学下册(人教版)_专题突破练习-V4
专题18.14矩形(分层练习)(培优练)-(人教版)_初中数学_八年级数学下册(人教版)_专题突破练习-V4
专题18.14矩形(分层练习)(培优练)-(人教版)_初中数学_八年级数学下册(人教版)_专题突破练习-V4
专题18.14矩形(分层练习)(培优练)-(人教版)_初中数学_八年级数学下册(人教版)_专题突破练习-V4
专题18.14矩形(分层练习)(培优练)-(人教版)_初中数学_八年级数学下册(人教版)_专题突破练习-V4
专题18.14矩形(分层练习)(培优练)-(人教版)_初中数学_八年级数学下册(人教版)_专题突破练习-V4

文档信息

文档格式
docx
文档大小
4.417 MB
文档页数
39 页
上传时间
2026-03-23 23:45:47

文档内容

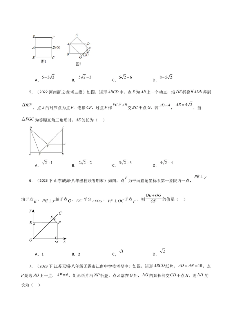
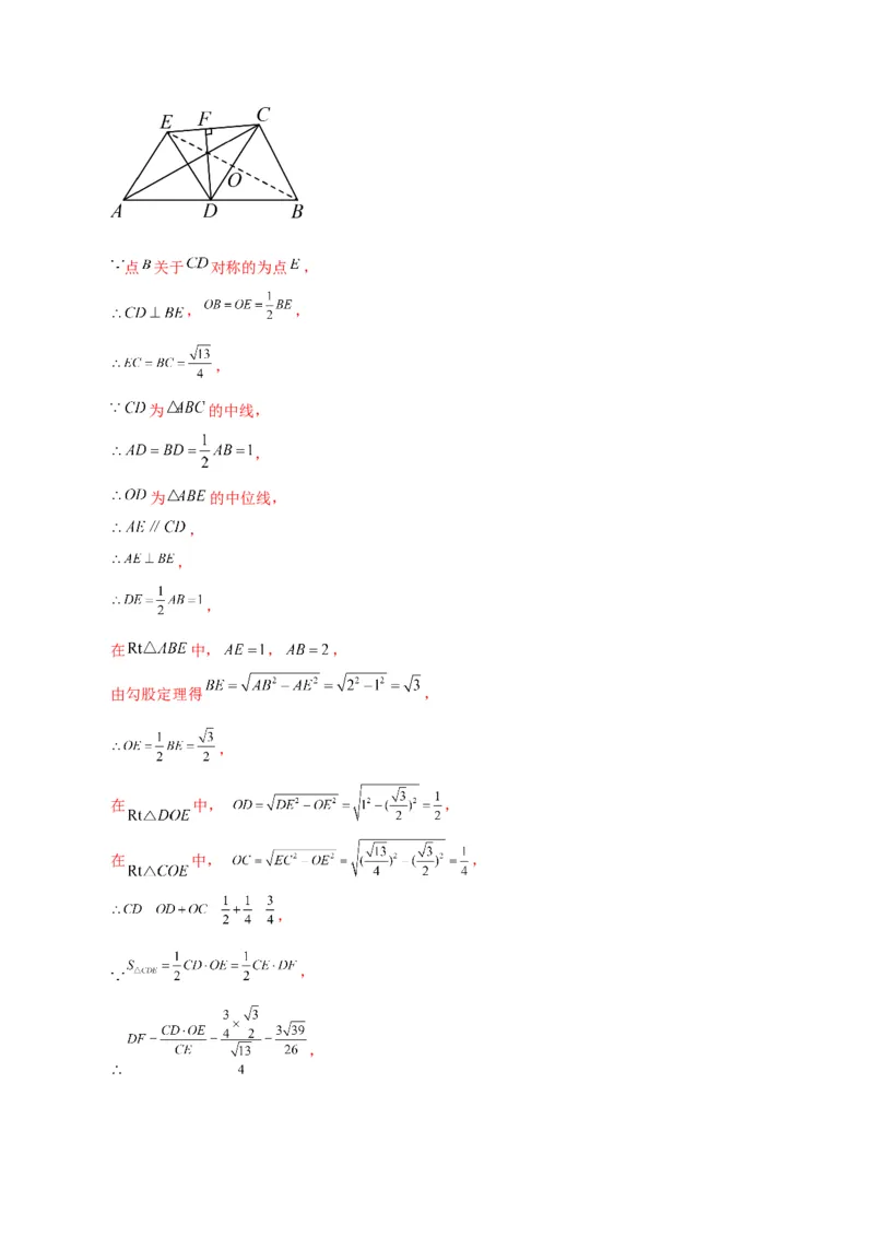
专题18.14 矩形(分层练习)(培优练) 一、单选题(本大题共10小题,每小题3分,共30分) 1.(2023下·山东泰安·八年级校考阶段练习)四边形的两条对角线( )时,连接四条边的中点,得 到的新四边形是矩形. A.垂直 B.相等 C.垂直平分 D.相等平分 2.(2023下·安徽合肥·八年级统考期末)如图,点E、F分别为矩形 边 、 上的两点,连 接 、 相交于点G,且 ,连接 ,则下列结论一定正确的是( ) A. B. C. D. 平分 3.(2023下·浙江台州·八年级统考期末)如图,点P是矩形 的对角线上一动点,过点P作 的垂线,分别交边 于点E,F,连接 .则下列结论不成立的是( ) A.四边形 的面积是定值 B. 的值不变 C. 的值不变 D. 4.(2022上·湖北武汉·九年级校联考期中)已知大小一样的矩形 和矩形 如图1摆放, ,现在把矩形 绕点A旋转,如图2, 交 于点M,交 于点N,若 , 则 的值为( ).A. B. C. D. 5.(2022·河南商丘·统考三模)如图,矩形ABCD中,点E为AB上一个动点,沿DE折叠 得到 ,点A的对应点为点F,连接CF,过点F作 交BC于点G,若 , ,当 为等腰直角三角形时,AE的长为( ) A. B. C. D. 6.(2023下·山东威海·八年级校联考期末)如图,点 为平面直角坐标系第一象限内一点, 轴于点 , 轴于点 , 平分 , 于点 ,则 的值是( ) A.1 B.2 C. D. 7.(2023下·江苏无锡·八年级无锡市江南中学校考期中)如图,矩形 纸片, ,点 P是边 上一点, ,矩形纸片沿 折叠,点A落在G处, 的延长线交 于点H,则 的 长为( )A.8 B. C.10 D. 8.(2022上·湖北武汉·八年级统考期末)如图,在 中, , ,D为边 上 一动点,连接 .以 为底边,在 的左侧作等腰直角三角形 ,点F是边 上的定点,连接 ,当 取最小值时,若 ,则 为( )(用含 的式子表示) A. B. C. D. 9.(2022上·江苏南京·八年级校考阶段练习)如图.每个小正方形的边长为1,格点线段 与 交 于点 , 与 交于点 ,连接 .有下列结论① ;② ;③ ;④ ;⑤ ;⑥ 的面积为0.75.其中正确的结论有( ) A.3个 B.4个 C.5个 D.6个 10.(2021下·浙江·八年级统考期末)如图有两张等宽的矩形纸片,矩形 不动,将矩形 按如下方式缠绕:如图所示,先将点 与点 重合,再先后沿 、 对折,点 、点 所在的相邻两边 不重叠、无空隙,最后点 刚好与点 重合,则图中两张纸片的长度之比 ( )A. B. C. D. 二、填空题(本大题共8小题,每小题4分,共32分) 11.(2024上·江苏苏州·八年级期末)如图,在 中, ,作点 关于直线 的对称点 ,如果 也等于直角,直线 必然经过一个定点,这个定点应该是 . 12.(2023下·辽宁沈阳·八年级统考期中)如图,A点坐标为 , 为 轴负半轴上一个动点,以 为直角顶点, 为腰作等腰 按逆时针排列,若点 在第四象限,过 作 轴于点 ,则 的值为 . 13.(2023下·黑龙江哈尔滨·八年级统考期中)已知:如图,点E在矩形 的边 的垂直平分线 上,连接 、 ,若 , , ,则 .14.(2023上·陕西西安·九年级西安市曲江第一中学校考阶段练习)如图,点 在 的左侧运动,且 , , , ,点 在 上,且 ,点 在 上运动,当 动到 的 中点时,则 最小值为 . 15.(2023·浙江·一模)如图,将一副三角板放置在盒子中,已知 的斜边 恰好与盒子的长度 相等, 可以左右移动, ,则线段 的长度的取值范围是 . 16.(2023上·四川成都·八年级统考期末)如图,在 中, 是中线,作点 关于 对称的点 ,连接 、 、 ,若 , ,则点 到 的距离 . 17.(2023下·黑龙江哈尔滨·九年级哈尔滨德强学校校考开学考试)如图,点D为 的边 上一 点( ),点D关于 的对称点分别为点E、F,连接 ,点A经过 ,连接 , 连接 ,延长 到G,使 ,连接 交 于点M,连接 ,当 , 时,则AD长 . 18.(2023上·河南郑州·九年级统考期末)如图,矩形 的边 长为4,将 沿对角线 翻折得到 , 与 交于点E,再以 为折痕,将 进行翻折,得到 .若两次折叠后, 点 恰好落在 的边上,则 的长为 . 三、解答题(本大题共6小题,共58分) 19.(8分)(2024上·河南郑州·九年级统考期末)如图:直线 , 的顶点E、H分别 在直线 、 上, 交 于F点, , 为 的角平分线. (1)用尺规作图:作 的角平分线(不写过程,需保留作图痕迹); (2) 的角平分线交直线 于M,连接 ,求证:四边形 为矩形. 20.(8分)(2024上·福建泉州·八年级校考期末)如图,矩形 中, , ,点E、 点F分别是对角线 上的点,且 ,过点E作 ,交 于点G,平移 ,使B、F的对 应点分别是G、H,连接 . (1)当 是以 为腰长的等腰三角形时,求 的长; (2)连接 .判断四边形 的形状,并说明理由;21.(10分)(2024上·山东淄博·八年级统考期末)如图,在矩形 中, , ,对角 线 , 交于点 ,点 , 分别是 , 延长线上的点,且 , ,连接 ,点 为 的中点.连接 ,交 于点 ,连接 . (1)猜想: 是 的中点吗?并加以证明; (2)求 的长. 22.(10分)(2024上·甘肃兰州·八年级校考期末)如图是高空秋千的示意图,小明从起始位置点A 处绕着点 经过最低点 ,最终荡到最高点 处,若 ,点A与点 的高度差 米,水平距 离 米,求点 与点 的高度差 的长.23.(10分)(2024上·江西吉安·八年级统考期末)通过对下面数学模型的研究学习,解决下列问 题:. 【模型呈现】 某兴趣小组在从汉代数学家赵爽的弦图(如图1,由外到内含三个正方形)中提炼出两个三角形全等 模型图(如图2),即“一线三等角”模型和“K字”模型. (1)请在上图2中选择其中一个模型进行证明 . 【模型应用】 (2)如图3,正方形 中, , ,求 的面积. (3)如图4,四边形 中, , , , , ,求 的面积.24.(12分)(2021下·湖北武汉·八年级武汉外国语学校(武汉实验外国语学校)校考期中)如图 1,已知四边形 是矩形,点E是 上一点,连接 交 于点G,延长 交 延长线于点F. (1)若 , ,求证: ; (2)如图2.在(1)的条件下,连接 ,求证: ; (3)如图3,四边形 关于直线 的对称图形为四边形 ,延长 交 于P,若 , ,四边形 的面积为 .(直接写出答案,无需证明)参考答案: 1.A 【分析】根据题意画出相应的图形,如图所示,由 为三角形 的中位线,根据中位线定理得到 与 平行,根据两直线平行,同位角相等得到 ,同理根据三角形中位线定理得到 与 平行,再根据两直线平行,同位角相等及等量代换得到 ,得到四边形 是矩形. 解:如图, ,设 相交于点O, , 又 点 、 分别是 、 边的中点, 是三角形 的中位线, , , 又 点 、 分别是 、 各边的中点, 是三角形 的中位线, , , ∴ 即四边形 是矩形. 故选:A. 【点拨】此题考查了矩形的性质,三角形的中位线定理,以及平行线的性质.这类题的一般解法是: 借助图形,充分抓住已知条件,找准问题的突破口,由浅入深多角度,多侧面探寻,联想符合题设的有关 知识,合理组合发现的新结论. 2.D【分析】根据全等三角形的判定和性质分析推理A,B,C,根据面积法和角平分线的判定分析推理 D. 解:在矩形 中, ,但 , ∴即便 也无法证明Rt 与Rt 全等, ∴无法证明 ,故选项A不符合题意; 无法证明 , ∴无法证明 ,故选项B不符合题意; 连接 , 仅有 , ,无法证明 与 全等, ∴无法证明 ,故选项C不符合题意; 过点D作 , ,连接 , 在矩形 中, , ∴ , 又∵ , ∴ ,即 平分 ,故选项D符合题意, 故选:D. 【点拨】本题考查矩形的性质,全等三角形的判定和性质,角平分线的判定,掌握相关性质定理,准 确添加辅助线是解题关键. 3.C【分析】过点C作 ,交 的延长线于点G,可得四边形 是平行四边形, , 推出 ,即可判断结论A;由 ,可判断结论B;利用勾股定理即可判断 结论D;根据选择题有唯一选项即可得出答案. 解:过点C作 ,交 的延长线于点G, ∵四边形 是矩形, ∴ , ∴四边形 是平行四边形, ∴ , ∴ , ∴ ,即 , ∴四边形 的面积是定值,故A正确; ∵ , ∴ 的值不变,故B正确; ∵ , ∴ ,故D正确; ∴ 的值不变不成立, 故选:C. 【点拨】本题考查了矩形的性质,三角形面积,勾股定理,平行四边形的判定和性质等,证明四边形 是平行四边形是解题的关键. 4.D 【分析】设 与 交于点H,由已知可得 、 都是等腰直角三角形,由勾股定理可得 、 的长,从而可求得 的长. 解:设 与 交于点H,如图, ∵四边形 、四边形 都是矩形,∴ , , ∵ , ∴ 是等腰直角三角形, ∴ , ∴ , ∵ , ∴ , ∴ , ∴ 是等腰直角三角形, 同理, 是等腰直角三角形, ∴ , 由勾股定理可得 , ∴ , 由勾股定理得: , ∴ . 故选:D. 【点拨】本题考查了矩形的性质,等腰三角形的判定与性质,勾股定理等知识,由题意得到若干个等 腰直角三角形是问题的关键. 5.D 【分析】作 ,由 为等腰直角三角形,设 ,则 ,由此 可得 ,所以E、F、C三点共线,再由 即可求解; 解:如图,作 ,∵ 为等腰直角三角形, ∴ , 设 , ,即 , 解得: , ∴ , ∴ , ∴E、F、C三点共线, ∵ , ∴ ∴ , ∴ ; 故选:D. 【点拨】本题主要考查等腰直角三角形的性质、矩形的性质、勾股定理,掌握相关知识并灵活应用是 解题的关键. 6.D 【分析】延长 交 轴于点 ,证四边形 是矩形,得 ,再证 , , ,从而代入即可得解. 解:延长 交 轴于点 ,如图,∵ 轴, 轴, , ∴四边形 是矩形, ∴ . ∵ 平分 , , ∴ . ∵ , ∴ , ∴ , ∴ . ∵ 轴, ∴ , ∴ , ∴ , 故选:D. 【点拨】本题主要考查了直角三角形的两锐角互余、角平分线的定义、等角对等边、勾股定理以及矩 形的判定及性质,熟练掌握矩形的判定及性质以及等角对等边是解题的关键. 7.D 【分析】如图,连接 ,过 作 于 ,则四边形 为矩形,由折叠的性质可知, ,设 , ,则 , ,在 中,由勾股定理得 ,即 ,则 ①,在 , 中,根据勾股定理可得 ,即 ,整理得 ②,① ②得, ,则 , ,求 的值,进而可得 的值. 解:如图,连接 ,过 作 于 ,则四边形 为矩形, 由折叠的性质可知, , 设 , ,则 , , 在 中,由勾股定理得 ,即 , ∴ ①, 在 中,由勾股定理得 , 在 中,由勾股定理得 , ∴ ,整理得 ②, ① ②得, ,整理得 , ∴ , ∴ , 解得 , ∴ , 故选:D. 【点拨】本题考查了矩形的判定与性质,折叠的性质,勾股定理等知识.解题的关键在于对知识的熟练掌握与灵活运用. 8.D 【分析】如图,取 的中点H,连接 ,交 于 ,作直线 ,交 于 ,设 ,取 的中点 ,连接 , ,证明 ,则 在直线 上运动,且 ,当 , , 三 点共线时, ,此时最短,从而可得结论. 解:如图,取 的中点H,连接 ,交 于 ,作直线 ,交 于 , ∵ , , ∴ , , , ∵等腰直角三角形 , , ∴ , 设 , 取 的中点 ,连接 , , ∴ , , ∴ , , ∴ , ∴ , ∴ , ∴ , ∴ 在直线 上运动,且 , ∵ , ∴ 是 的垂直平分线, ∴ , , 当 , , 三点共线时, ,此时最短, ∵ ,∴ , ∴ , 故选D. 【点拨】本题考查的是等腰直角三角形的性质,直角三角形斜边上的中线的性质,等腰三角形的判定 与性质,三角形的内角和定理的应用,证明 在直线 上运动是解本题的关键. 9.B 【分析】先证明 ,再逐个选项推理即可. 解:如图, 由图可得, , ∴ , ∴ ∵ , ∴ , ∴ , ∴ ,故①正确; ∵ , ∴ ∴ ∴ , ∴ , ∴ ,故②正确; ∵ 中, ∴ ,∴ ,故③错误; ∵ , , ∴ ,故④错误; 连接 , ∵ ∴ , ∵ , ∴ , ∵ , ∴ ∴ ,故⑤正确; ∵矩形 , ∴ , ∵ , ∴ , ∴ 的面积为0.75,故⑥正确; 综上所述,正确的有①②⑤⑥; 故选:B. 【点拨】本题考查了全等三角形的性质与判定,矩形的性质,掌握这些性质是解决问题的关键. 10.D 【分析】通过证明 ,结合折叠的性质,确定 是等边三角形,然后再证明 ,得到 ,在 中,因为 ,根据 角所对的直角边等于 斜边的一半,可得 ,设 ,则 ,则 ,再求 即可. 解:如图,由题意可知, , , , , , , , 由折叠过程可知, , , 是等边三角形, , , , , , , , , , , 在 中, , , 设 , 则 , , , 故选:D. 【点拨】本题考查的是矩形与折叠问题,三角形全等的判定和性质,含 角的直角三角形等知识点, 理解题中的折叠过程,找到对应边的关系,能确定 是等边三角形是解题的关键.11. 中点 【分析】此题考查了对称,连接 和 ,利用 , ,则利用三角形斜边上的中 线等于斜边的一半即可,解题的关键是熟练掌握知识点的应用. 解:如图,连接 和 , 根据对称性可知, , ∵ , , ∴当点 为 的中点时, , 故答案为: 中点. 12. 【分析】如图:作 于 ,先证 可得 ,再说明 ,然后 证明四边形 是矩形得到 ,最后根据 即可解答. 解:如图:作 于 , 是等腰直角三角形, , , , , ,, , 的坐标是 , , , , 四边形 是矩形, , . 故答案为: . 【点拨】本题主要考查了矩形的判定与性质、全等三角形的判定与性质等知识点,正确作出辅助线、 构造全等三角形和矩形是解答本题的关键. 13.4 解:根据题意,先作出辅助线,然后根据勾股定理可以求得 和 的长,然后即可得到 的长. 【解答】解:作 于点F,作 , ∵点E在矩形 的边 的垂直平分线上, , , , ∴ , , ∵ , , ∴ , , ∴ , ∴ , 故答案为:4.【点拨】本题考查矩形的性质、线段的垂直平分线,解答本题的关键是明确题意,利用数形结合的思 想解答. 14.5 【分析】过点E作 于点G,连接 , ,根据题意得到 ,得到 当点A,F,G三点共线时, 的值最小,即 的长度,然后证明出四边形 是矩形,然后利 用勾股定理求解即可. 解:如图所示,过点E作 于点G,连接 , , ∵ ,点 是 的中点, ∴ , ∴ , ∴当点A,F,G三点共线时, 的值最小,即 的长度 ∵ , , ∴ 又∵ ∴四边形 是矩形 ∴ , ∴ ∵ , ∴ ∴在 中, ∴ 最小值为5. 故答案为:5. 【点拨】此题考查了直角三角形的性质矩形的性质和判定,勾股定理,平行线的性质,两点之间线段 最短等知识,解题的关键是证明出当点A,F,G三点共线时, 的值最小,即 的长度. 15.【分析】依题意可知,当点B与点E重合时,线段 的长度最小;当点A与点F重合时,线段 的长度最大,分别求出两个最值即可得解. 解:将矩形盒子作如下标记∶ ∵四边形 是矩形, ∴ , , , ∵ , ∴ , 又∵ , ∴ , , 在 中, , , , 设 ,则 , ∵ ,即 解得: ∴ , ∴ 依题意得:当点B与点E重合时, 的长度最小,作图如下: ∵ , , ∴ ∴ ,∴ 即 当点A与点F重合时,线段 的长度最大,作图如下: 同理可得: ∴ 即 综上所示:线段 的长度的取值范围是: 【点拨】本题考查矩形的性质,等腰直角三角形的判定与性质,含30度角的直角三角形的性质,勾股 定理等知识,正确找出 取最值得情况是解题的关键. 16. 【分析】连接 ,交 于点 ,过点 作 于点 ,根据轴对称的性质可得 垂直平分 , 以此可得 ,进而得到 为 的中位线,则 ,根据直角三角形斜边上的中线性 质得 ,根据勾股定理先求出 ,再求出 、 ,进而得到 的长,再根据等面积法得 ,最后代入计算即可求解. 解:连接 ,交 于点 ,过点 作 于点 ,如图,点 关于 对称的为点 , , , , 为 的中线, , 为 的中位线, , , , 在 中, , , 由勾股定理得 , , 在 中, , 在 中, , , , ,即点 到 的距离为 . 故答案为: . 【点拨】本题主要考查轴对称的性质、三角形中位线的判定与性质、直角三角形斜边上的中线性质、 勾股定理,根据题意正确作出辅助线,灵活运用所学知识解决问题是解题关键. 17. 【分析】如图所示,连接 ,先根据对称性得到 ,进而证明 ,则 ,同理得到 ,进而证明 ,则 ,证明 得到 ,则由直角三角形斜边上的中 线的性质得到 ,再证明 ,进而推出 ,由此可得 . 解:如图所示,连接 , ∵点D关于 的对称点分别为点E、F, ∴ , ∵ , ∴ ,即 , ∴ , 同理可得 , ∴ ,即 , ∴ , ∴ , 又∵ , ∴ ,∴ , ∵ , ∴ , 由对称性可知 , ∴ , ∴ , ∵ , ∴ ,即 , ∵ ,即 , ∴ , ∴ , 故答案为: . 【点拨】本题主要考查了轴对称的性质,直角三角形斜边上的中线的性质,平行线的性质与判断,全 等三角形的性质与判定,等腰三角形的性质与判定等等,证明 是解题的关键. 18. 或 【分析】根据题意分两种情况讨论:①当点 恰好落在 上时,由翻折以及矩形的性质利用 可 证明 ,然后根据等腰三角形的性质求出 的长,再依据勾股定理求解即可;②当点 恰 好落在 上时,同理利用 可证明 ,根据全等三角形的性质可得出 的长,再根据线 段的和差关系即可得出答案. 解:∵四边形 为矩形, ∴ , , ∵ 沿对角线 翻折得到 , ∴ , , ∵以 为折痕,将 进行翻折,得到 , ∴ , , ①当点 恰好落在 上时,如图,在 和 中, ∴ ∴ ,即 为等腰三角形, ∵ ∴点 为 中点, ∴ , 在 中,有 , 即 ,解得 ②当点 恰好落在 上时,如图, ∵ ∴四边形 为矩形, ∴ , ∵ 沿 进行翻折,得到 , ∴ 在 中, ,在 和 中, ∴ ≌ ( ) ∴ ∴ . 故答案为: 或 . 【点拨】本题考查了空间想象能力以及分类讨论的思想,熟练掌握翻折的性质,运用全等三角形的判 定与性质、勾股定理是解答此题的关键. 19.(1)见分析;(2)见分析 【分析】(1)根据角平分线的作图方法作图即可; (2)根据角平分线的定义以及平行线的性质可得 , ,则 , ,进而推得 ,即可得四边形 为矩形. (1)解:射线 即为所求, (2) 为 的平分线, , 为 的平分线, , , , , , , , , ,, , , 四边形 为矩形. 【点拨】本题考查基本作图—作角平分线、矩形的判定、平行线的性质,对角线的定义,等角对等边, 熟练掌握矩形的判定、平行线的性质、角平分线的作图方法是解答本题的关键. 20.(1) 的长为2或5;(2)矩形,详见分析 【分析】(1)利用勾股定理求得 的长,再分 和 情况讨论即可求解; (2)证明 ,推出 , ,再证明四边形 是平行四边形,据此 即可得到四边形 是矩形. (1)解:矩形 中, , , ∴ , ①当 时, ; ②当 时, , 在 中, , , ∴ , ∴ , ∴ . 综上所述,CE的长为2或5; (2)证明:∵四边形 是矩形, ∴ , , ∴ , 在 和 中, ∴ ; ∴ , , ∴ ,即 , ∴ ,∵平移 得 , ∴ , , ∴ , , ∴四边形 是平行四边形, ∵ , ∴ , ∴ , ∴四边形 是矩形. 【点拨】本题考查了矩形的判定和性质,全等三角形的判定和性质,勾股定理,等腰三角形的性质等 知识点.解题的关键是灵活运用所学知识解决问题. 21.(1)H是 的中点,证明详见分析;(2) 【分析】(1)如图,取 中点 ,连接 ,根据矩形性质,可证得 是 的中位线,再 由中位线性质,可得 , , 由平行线性质可得, , , 已知 的值,可求出 与 长度相等,根据全等三角形判定 ,证得 ,可得 ,即可证得结论; (2)如图,连接 ,由矩形性质可得 ,由已知条件,求出 的值,即可利用勾股定 理求出 的值,由 是 中点, 是 中点,根据中位线定义得 是 的中位线,根据中位线 性质,可得 ,即可求出 的值. (1)解: 是 的中点, 证明:如图,取 中点 ,连接 , 四边形 是矩形,对角线 , 相交于点 , 是 中点, , ,是 中点, 是 的中位线, , , , , , , , , 在 和 中, , , , 是 的中点. (2)解:如图,连接 , 四边形 是矩形, . , , , 是 中点, , ,, 在 中, , , , 是 中点, 是 中点, 是 的中位线, . 【点拨】本题考查了矩形的性质,中位线的性质,平行线的性质,全等三角形的判定与性质,勾股定 理解三角形,掌握相关性质,合理添加辅助线,证得 及构造直角三角形求出 的值是解 题关键. 22.4.5米 【分析】作 于F, 于G,根据 可证 ,根据全等三角形的性质可 得 米,在 中,根据勾股定理可求 ,即得 ,再根据勾股定理和线段的和差关系可求 点C与点B的高度差 . 本题主要考查了全等三角形,勾股定理,矩形等.熟练掌握全等三角形的判定与性质,勾股定理解直 角三角形,矩形的判定与性质,添加辅助线构造两个全等的三角形,是解决问题的关键. 解:过点A作 于F,过点C作 于G, ∵ , , , ∴ , , ∴四边形 和四边形 都是矩形, ∴ , , , ∵ , , ∴ , 在 与 中, , ∴ , ∴ , 设 ,则 , ,在 中, , 即 , 解得 . 则 . 故点 与点 的高度差 的长为4.5米. 23.(1)详见分析;(2) ;(3) 【分析】本题考查了全等三角形的性质和判定,解答关键是在题目应用全等模型进行证明. (1)应用 证明三角形全等即可; (2)过C作 延长线的垂线 ,垂足为F,证明 ,得到 ,求 的 面积即可; (3)分别过C和E作 延长线的垂线 、 ,垂足分别为G、H,证明 ,得到 边 上的高为1,求 的面积即可; 解:证:(1)例如选第一个图形可证(同理可证第二个) ∵ , ∴ 又∵ , , ∴ (2)过C作 延长线的垂线 ,垂足为F,则由(1)易得 , ∴ , 即 边 上的高为4, ∴ . (3)分别过C和E作 延长线的垂线 、 ,垂足分别为为G、H, 则由(1)易得 , 又∵四边形 是矩形, ∴ , ∴ , ∴ ,即 边 上的高为1, ∴ . 24.(1)见分析;(2)见分析;(3) 【分析】(1)证明 ,即可解答; (2)过点 作 交 于 ,证明 ,得到 ,再证明 ,得到 ,即可解答; (3)由勾股定理可得 的值,可得 ,证明 ,再证明 为等边三角形,可 得 ,最后根据梯形面积公式即可解答.解:(1)证明:∵四边形 为矩形, , , , , , , , 在 和 中, , , ; (2)证明:过点 作 交 于 ,如图2所示: 则 , , , , 在 和 中, ,, , , 为等腰直角三角形, , , , , , , , , , , , , 在 和 中, , , , , , ; (3)解:∵四边形 是矩形, , 在 中,由勾股定理得: ,, , , ∵四边形 与四边形 关于直线 对称, , , , , , , 为等边三角形, , ∴梯形 的面积为: , 故答案为: . 【点拨】本题为四边形综合题,考查了矩形的性质,平行线的性质,等腰三角形的判定和性质,等边 三角形的判定和性质,全等三角形的判定和性质,轴对称的性质,勾股定理,熟练掌握上述性质,作出正 确的辅助线是解题的关键.