当前位置:首页>文档>专题18.8三角形的中位线(分层练习)(基础练)-(人教版)_初中数学_八年级数学下册(人教版)_专题突破练习-V4

专题18.8三角形的中位线(分层练习)(基础练)-(人教版)_初中数学_八年级数学下册(人教版)_专题突破练习-V4

  • 2026-03-27 04:29:08 2026-03-24 02:21:08

文档预览

专题18.8三角形的中位线(分层练习)(基础练)-(人教版)_初中数学_八年级数学下册(人教版)_专题突破练习-V4
专题18.8三角形的中位线(分层练习)(基础练)-(人教版)_初中数学_八年级数学下册(人教版)_专题突破练习-V4
专题18.8三角形的中位线(分层练习)(基础练)-(人教版)_初中数学_八年级数学下册(人教版)_专题突破练习-V4
专题18.8三角形的中位线(分层练习)(基础练)-(人教版)_初中数学_八年级数学下册(人教版)_专题突破练习-V4
专题18.8三角形的中位线(分层练习)(基础练)-(人教版)_初中数学_八年级数学下册(人教版)_专题突破练习-V4
专题18.8三角形的中位线(分层练习)(基础练)-(人教版)_初中数学_八年级数学下册(人教版)_专题突破练习-V4
专题18.8三角形的中位线(分层练习)(基础练)-(人教版)_初中数学_八年级数学下册(人教版)_专题突破练习-V4
专题18.8三角形的中位线(分层练习)(基础练)-(人教版)_初中数学_八年级数学下册(人教版)_专题突破练习-V4
专题18.8三角形的中位线(分层练习)(基础练)-(人教版)_初中数学_八年级数学下册(人教版)_专题突破练习-V4
专题18.8三角形的中位线(分层练习)(基础练)-(人教版)_初中数学_八年级数学下册(人教版)_专题突破练习-V4
专题18.8三角形的中位线(分层练习)(基础练)-(人教版)_初中数学_八年级数学下册(人教版)_专题突破练习-V4
专题18.8三角形的中位线(分层练习)(基础练)-(人教版)_初中数学_八年级数学下册(人教版)_专题突破练习-V4
专题18.8三角形的中位线(分层练习)(基础练)-(人教版)_初中数学_八年级数学下册(人教版)_专题突破练习-V4
专题18.8三角形的中位线(分层练习)(基础练)-(人教版)_初中数学_八年级数学下册(人教版)_专题突破练习-V4
专题18.8三角形的中位线(分层练习)(基础练)-(人教版)_初中数学_八年级数学下册(人教版)_专题突破练习-V4
专题18.8三角形的中位线(分层练习)(基础练)-(人教版)_初中数学_八年级数学下册(人教版)_专题突破练习-V4
专题18.8三角形的中位线(分层练习)(基础练)-(人教版)_初中数学_八年级数学下册(人教版)_专题突破练习-V4
专题18.8三角形的中位线(分层练习)(基础练)-(人教版)_初中数学_八年级数学下册(人教版)_专题突破练习-V4
专题18.8三角形的中位线(分层练习)(基础练)-(人教版)_初中数学_八年级数学下册(人教版)_专题突破练习-V4
专题18.8三角形的中位线(分层练习)(基础练)-(人教版)_初中数学_八年级数学下册(人教版)_专题突破练习-V4
专题18.8三角形的中位线(分层练习)(基础练)-(人教版)_初中数学_八年级数学下册(人教版)_专题突破练习-V4
专题18.8三角形的中位线(分层练习)(基础练)-(人教版)_初中数学_八年级数学下册(人教版)_专题突破练习-V4
专题18.8三角形的中位线(分层练习)(基础练)-(人教版)_初中数学_八年级数学下册(人教版)_专题突破练习-V4
专题18.8三角形的中位线(分层练习)(基础练)-(人教版)_初中数学_八年级数学下册(人教版)_专题突破练习-V4

文档信息

文档格式
docx
文档大小
3.042 MB
文档页数
24 页
上传时间
2026-03-24 02:21:08

文档内容

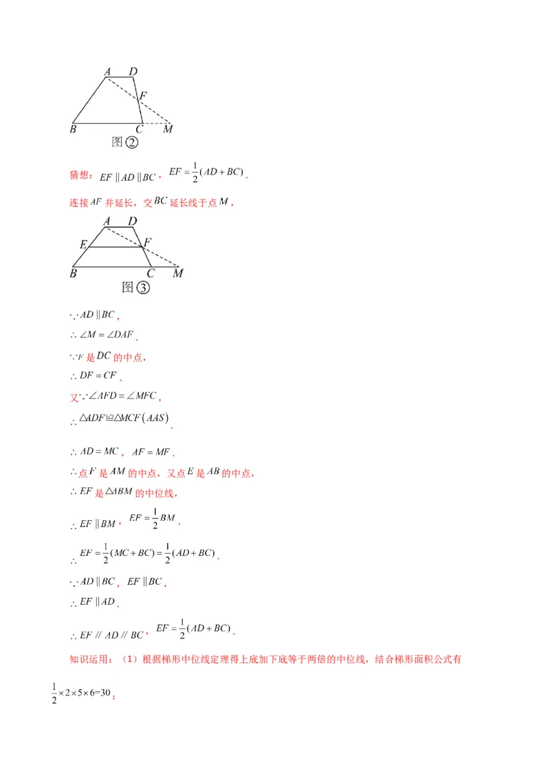
专题18.8 三角形的中位线(分层练习)(基础练) 一、单选题(本大题共10小题,每小题3分,共30分) 1.(2023下·河北保定·八年级统考期末)在一个三角形地块中分出一块(阴影部分)种植花草,尺寸 如图,则 的长度是( ) A. B. C. D. 2.(2022下·福建厦门·八年级校考期末)如图,在 中,若 , ,则下列线段是 的中位线的是( ) A. B. C. D. 3.(2024上·广东茂名·九年级统考期末)如图, 两地被池塘隔开,小明先在 外选一点 ,然 后测出 的中点 .若 的长为18米,则 间的距离是( ) A.9米 B.18米 C.27米 D.36米 4.(2024·全国·八年级假期作业)如图,在 中, 分别是 的中点,则 的面积是( )A. B. C. D. 5.(2024上·山东济宁·八年级济宁学院附属中学校考期末)如图,在四边形 中,点E、F分别 是边 、 的中点, , , , ,则 的度数为( ) A. B. C. D. 6.(2024上·四川遂宁·九年级统考期末)如图, 是 的中线,E,F分别是 的中点, ,则 的长为( ) A.6 B.5 C.4 D.3 7.(2024上·浙江宁波·八年级校联考期末)如图,在 中,点 , , 分别是 , , 的中点,若 的面积为 ,则 的面积为( ) A. B. C. D. 8.(2023下·八年级课时练习)如图,在Rt ABC中,∠ACB=90°,∠BAC=30°,BC=2,线段BC 绕点B旋转到BD,连AD,E为AD的中点,连CE,则CE的长不可能是( )A.1.2 B.2.05 C.2.7 D.3.1 9.(2023下·八年级课时练习)如图,等腰三角形 中, ,按以下要求作图:①以点 A为圆心,任意长为半径作弧,分别交 于D,E两点;②分别以点D、E为圆心,以大于 的长 为半径作弧,两弧交于点F;③作射线 ,交 于点M;④分别以A、B为圆心,以大于 的长为半 径作弧,两弧分别交于G,H两点;⑤作直线 ,交 于点N,连接 .则 的长为( ) A.2 B.3 C.4 D.6 10.(2023下·八年级课时练习)如图,在△ABC中,DE为中位线,连CD,则下列结论不一定成立 的是( ) A.BC=2DE B.∠EDC=∠BCD C.S ADC=S BDC D.C ABC=2C DEC(代表周长) △ △ △ △ 二、填空题(本大题共8小题,每小题4分,共32分) 11.(2024下·全国·八年级假期作业)某地需要开辟一条隧道,隧道 的长度无法直接测量.如图所示,在地面上取一点C,使C到A、B两点均可直接到达,测量找到 和 的中点D、E,测得 的长 为1100m,则隧道 的长度为 m. 12.(2024·全国·八年级竞赛)如图, ,点 , 分别是 , 的中点, ,则 . 13.(2024下·全国·八年级假期作业)如图,在等边三角形 中, 分别是边 的中点, 过点 作 ,交 的延长线于点 ,则 . 14.(2024·全国·八年级假期作业)如图, , 是四边形 的对角线,点 , 分别是 , 的中点,点 , 分别是 , 的中点,顺次连接 , , , ,若 ,则四 边形 的周长是 . 15.(2024·全国·八年级假期作业)如图,在四边形 中, , ,E,F,M分别为边, 和对角线 的中点.连接 , ,则 . 16.(2024·全国·八年级假期作业)如图,四边形 中, ,E,F,G分别是 的中点,若 , ,则 . 17.(2024下·广东深圳·九年级深圳市南山外国语学校校考开学考试)如图, 中, . 点 为线段 的中点, ,交 于点 ,若 ,则 . 18.(2024·全国·八年级假期作业)如图,已知 的周长是2,以它的三边中点为顶点组成第2个 三角形,再以第2个三角形的三边中点为顶点组成第3个三角形,……,则第 个三角形的周长为 三、解答题(本大题共6小题,共58分) 19.(8分)(2023下·上海·八年级专题练习)已知:如图,在Rt△ABC中,∠ACB=90°,CD平分 ∠ACB,AD⊥CD,垂足为点D,M是边AB的中点,AB=20,AC=10,求线段DM的长.20.(8分)(2024上·山东威海·八年级统考期末)如图,在四边形 中, 是对角线 的中点, 、 分别是 、 的中点, , ,求 的度数. 21.(10分)(2023下·湖南永州·八年级校考阶段练习)如图,在 中,D,E,F分别是 , , 的中点. (1)若 ,求 的长; (2)求证: 与 互相平分.22.(10分)(2023上·山东济南·八年级统考期末)如图,已知 , 、 相交于点O,延 长 到点E,使 ,连接 . (1)求证:四边形 是平行四边形: (2)连接 ,交 于点F,连接 ,判断 与 的数量关系,并说明理由. 23.(10分)(2023下·八年级课时练习)公股定理神奇而美丽,它的证法多种多样,在学习了教材 中介绍的拼图证法以后,小华突发灵感,给出了如图拼图:两个全等的直角三角板 和直角三角板 ,顶点F在 边止,顶点C、D重合,连接 、 .设 、 交于点G. , , ( ), . 请你回答以下问题:(1)请猜想 与 的位置关系,并加以证明. (2)填空: =___________(用含有c的代数式表示) (3)请尝试利用此图形证明勾股定理. 24.(12分)(2023上·河南新乡·九年级统考期中)在探索平面图形的性质时,往往需通过剪拼的方 式帮助我们寻找解题思路. 知识回顾 例如,在证明三角形中位线定理时,可以采用如图(1)的剪拼方式,将三角形转化为平行四边形使 问题得以解决. 实践操作 如图(2),在梯形 中, , 是腰 的中点,请你沿着 将上图的梯形剪开,重新 拼成一个完整的三角形,并画出来.(不用剪开,作图即可) 猜想证明 如图(3),在梯形 中, , 、 分别是两腰 、 的中点,我们把 叫做梯形 的中位线.请类比三角形的中位线的性质,猜想 和 、 有怎样的位置和数量关系?请结合 “实践操作”完成猜想的证明.知识运用 (1)已知梯形的中位线长为 ,高为 ,则梯形面积是______ ; (2)直线 为 外的任意一条直线,过 、 、 、 分别作直线 的垂线段 、 、 、 ,线段 、 、 、 之间的数量关系为______. 参考答案: 1.B 【分析】首先根据题意求出 是 的中位线,然后利用三角形中位线的性质求解即可. 解:如图所示, ∵ , ∴ 是 的中位线 ∴ . 故选:B. 【点拨】此题考查了三角形中位线的性质,解题的关键是熟练掌握三角形中位线的性质. 2.A 【分析】根据三角形中位线的定义分析即可. 解:∵ , , ∴ 为 的中点, 为 的中点,∴ 为 的中位线. 故选:A. 【点拨】本题考查三角形中位线和中点的定义.连接三角形两边中点的线段叫做三角形的中位线.熟 练掌握三角形中位线的相关知识是解题的关键. 3.D 【分析】本题主要考查三角形中位线的运用,理解并掌握中位线的性质是解题的关键,根据点 是 的中点,可得 ,由此即可求解. 解:根据题意, 是 的中位线, ∴ , ∴ (米), 故选: . 4.A 【分析】根据三角形中位线的性质易得所求三角形的三边,判断出形状后可直接求得面积. 解::∵EF,DE,DF是 ABC的中位线, △ ∴EF= AB,DE= AC,DF= BC, 又∵AB=10cm,BC=8cm,AC=6cm, ∴EF=5cm,DE=3cm,DF=4cm, 而32+42=25=52,即DE2+DF2=EF2. ∴△EDF为直角三角形, ∴S = DE•DF= ×3×4=6(cm2). EDF △ 故选A 【点拨】本题考查三角形中位线等于第三边的一半的性质;要注意,根据三角形中位线定理解得所求 三角形三边的长后要先判断三角形的形状,不要盲目求解. 5.B 【分析】本题考查的是三角形中位线定理、勾股定理的逆定理,三角形的中位线平行于第三边,并且 等于第三边的一半,熟练掌握中位线定理并作出正确的辅助线是解决本题的关键.连接 ,根据三角形 中位线定理得到 , ,根据勾股定理的逆定理得到 ,计算即可. 解:连接 ,∵E、F分别是边 、 的中点, ∴ , , ∴ , ∵ , , ∴ , ∴ , ∴ , 故选B. 6.A 【分析】本题考查中线定义,中位线定理.根据题意利用中位线即可得到 ,再利用中线定义即 可得到本题答案. 解:∵E,F分别是 的中点, ∴ , ∵ , ∴ , ∵ 是 的中线, ∴ , 故选:A. 7.C 【分析】本题考查了三角形的面积的求法,关键是找出三角形面积之间的关系. 根据三角形的面积公式得到,三角形的中线将三角形分为面积相等的两部分,据此解答即可. 解:∵ 是 中点, ∴ , ∵ 是 中点, ∴ , ,∴ , ∴ , 故选:C. 8.D 【分析】取AB的中点F,得到 BCF是等边三角形,利用三角形中位线定理推出EF= BD=1,再分 △ 类讨论求得 ,即可求解. 解:取AB的中点F,连接EF、CF, ∵∠BAC=30°,BC=2, ∴AB=2BC=4,BF=FA=BC=CF=2,∠ABC=60°, ∴ BCF是等边三角形, ∵△E、F分别是AD、AB的中点, ∴EF= BD=1, 如图: 当C、E、F共线时CE有最大值,最大值为CF+EF=3; 如图,当C、E、F共线时CE有最小值,最小值为CF-EF=1; ∴ , 观察各选项,只有选项D符合题意, 故选:D. 【点拨】本题考查了等边三角形的判定和性质,三角形中位线定理,分类讨论求得CE的取值范围是 解题的关键. 9.B 【分析】根据作图过程可得AM平分∠BAC,GH是边AB的垂直平分线,由等腰三角形三线合一,得 AM是边BC上的中线,可得MN是△ABC的中位线,进而可得MN的长. 解:根据作图过程可知:AM平分∠BAC,GH是边AB的垂直平分线, ∵AB=AC=6,AM平分∠BAC, ∴AM是边BC上的中线, ∴BM=CM, ∵GH是边AB的垂直平分线, ∴AN=BN, ∴MN是△ABC的中位线, ∴MN AC=3. 故选:B. 【点拨】此题考查了作图﹣复杂作图,角平分线的性质,线段垂直平分线的性质,等腰三角形的性质, 熟知角平分线的作法是解题的关键. 10.D 【分析】由在△ABC中,DE为中位线,可得DE∥BC,DE= ,即BC=2DE,可判断选项A;由 DE∥BC,内错角相等可得∠EDC=∠BCD,可判断选项B;由DE为△ABC的中位线,可得D为AB中点, 可得AD=BD,过C作CH⊥AB于H,由CH是△BCD的高,也是△ACD的高,根据三角形面积等底同高可 得S ADC= S BDC,可判断选项C;由CD为AB边中线,当∠ACB=90°,或∠ACB≠90°时,分类考虑 △ △ C ABC= 2C DEC,或C ABC≠2C DEC,可判断选项D. △ △ △ △ 解:∵在 ABC中,DE为中位线, △ ∴DE∥BC,DE= , ∴BC=2DE,∴选项A正确,不符合题意; ∵DE∥BC, ∴∠EDC=∠BCD, 故选项B正确,不符合题意; ∵DE为 ABC的中位线, ∴D为A△B中点, ∴AD=BD, 过C作CH⊥AB于H, ∴CH是 BCD的高,也是 ACD的高, △ △ ∴S ADC= , △ S BDC= , △ ∴S ADC= S BDC, △ △ 故选项C正确,不符合题意; ∵CD为AB边中线, 当∠ACB=90°时, ∴AB=2CD, ∵BC=2DE,点E为AC中点, ∴AC=2EC, ∵C ABC=AB+BC+CA=2CD+2DE+2CE=2(CD+DE+EC)=2C DEC, △ △ ∴C ABC= 2C DEC, △ △ 当∠ACB≠90°时, AB≠2CD, ∴C ABC=AB+BC+CA≠2CD+2DE+2CE=2(CD+DE+EC)=2C DEC, △ △ ∴C ABC≠2C DEC, △ △∴选项D的结论不一定成立,符合题意. 故选择D. 【点拨】本题考查三角形中位线性质,中线性质,平行线性质,三角形周长关系,掌握三角形中位线 性质,中线性质,平行线性质,三角形周长关系是解题关键. 11.2200 【分析】根据三角形中位线定理解答即可. 解:∵点D、E分别为 和 的中点, ∴ 是 的中位线, ∴ (米), 答:隧道 的长度为2200米, 故答案为:2200. 【点拨】本题考查的是三角形中位线定理,掌握三角形的中位线平行于第三边,且等于第三边的一半 是解题的关键. 12. 【分析】本题考查了中位线的判定及性质,全等三角形的判定及性质以及中点的定义,熟练掌握中位 线的判定及性质是解题的关键,连 并延长交 于点 ,可证 ,则 , 是 的中位线,则 . 解:连 并延长交 于点 , ∵点 , 分别是 , 的中点, ∴ , , ∵ ∴ , , ∴ , ∴ , , ∴ 是 的中位线,∴ , 故答案为:2. 13.30° 【解析】略 14.4 【分析】根据三角形中位线定理即可求出四边形 的边长,进而求出四边形 的周长. 解: 点 , 分别是 , 的中点,点 , 分别是 , 的中点, 、 、 、 分别为 、 、 、 的中位线, ∵AD=CD=2, , , 四边形 的周长 . 故答案为: . 【点拨】本题主要考查三角形的中位线,掌握三角形的中位线是解题的关键. 15.1 【分析】利用三角形中位线定理解答即可. 解:∵F,M分别为边 和对角线 的中点, ∴ , 故答案为:1. 【点拨】此题考查三角形中位线定理,关键是利用三角形的中位线平行于第三边,并且等于第三边的 一半解答. 16. /20度 【分析】本题考查的是三角形中位线定理、等腰三角形的性质.根据三角形中位线定理得到FG∥AD, , , , ,根据等腰三角形的性质、三角形内角和定理计算即可. 解:∵E,F,G分别是 的中点, ∴ 是 的中位线, 是 的中位线, ∴ , , , , 又∵ ,∴ , , , ∴ , ∴ , 故答案为: . 17. 【分析】如图,取 的中点 ,连接 ,由题意可得 ,根据直角三角形中, 的角所对的直角边是斜边的一半可得 ,再由 是 中点得到 是 的中位线, 根据中位线性质得到 ,进而证得 , ,可得出 ,求出 ,即可得到 ,再由 , 即可得出答案. 解:如图,取 的中点 ,连接 , , , , 又 , , 点 为线段 的中点,点 为 的中点, , , , , , ,, , 故答案为: . 【点拨】本题主要考查了三角形中位线的性质,角直角三角形的性质,熟练掌握三角形中位线性质及 直角三角形性质并合理添加辅助线是解题关键. 18. 【分析】根据三角形中位线平行且等于底边一半,直接求解即可得到答案; 解:∵下一个三角形是上一个三角形三边中点为顶点, ∴ , ∴ , ∴ , 故答案为: ; 【点拨】本题考查三角形中位线平行且等于底边一半. 19. . 【分析】延长AD交BC于E,如图,先利用勾股定理计算出AC= ,再证明△CDA≌△CDE得到 AD=ED,CE=CA=10,然后利用三角形中位线定理求解. 解:延长AD交BC于E,如图,在Rt△ABC中,∵∠ACB=90°, ∴BC= , ∵CD平分∠ACB, ∴∠ACD=∠ECD, ∵CD⊥AD, ∴∠CDA=∠CDE=90°, 在△CDA和△CDE中, , ∴△CDA≌△CDE(ASA), ∴AD=ED,CE=CA=10, ∵点M是AB的中点, ∴DM为△ABE的中位线, ∴ , 【点拨】本题考查了全等三角形的判定与性质:全等三角形的判定是结合全等三角形的性质证明线段 和角相等的重要工具.构建中位线定理的基本图形是解决问题的关键. 20. 【分析】本题考查了中位线定理,根据题意得 , ,结合 推出 即 可求解. 解:∵ 、 、 分别是 、 、 的中点, ∴ 是 的中位线、 是 的中位线, ∴ , , ∵ , ∴ , ∵ , ∴ . 21.(1) ;(2)见分析【分析】(1)根据题意得 是 的中位线,即可得; (2)根据题意得 ,可得四边形 是平行四边形,即可得. (1)解:∵在 中,D,E分别是 , 的中点 ∴ 是 的中位线, ∵ , ∴ , 即 的长为 ; (2)证明:∵在 中,D,E,F分别是 , , 的中点, ∴ , ∴四边形 是平行四边形, ∴ 与 互相平分. 【点拨】本题考查了中位线,平行四边形的判定与性质,解题的关键是掌握这些知识点. 22.(1)证明见分析;(2) ,理由见分析. 【分析】本题考查平行四边形的判定和性质; (1)根据平行四边形的性质得到 ,再根据等量代换得到 ,即可得到结论; (2)根据平行四边形的性质得到 , ,然后根据三角形的中位线的性质解题即可. 解:(1)证明: 四边形 是平行四边形, , 又 , 四边形 是平行四边形; (2) . 四边形 是平行四边形, , 又 中, , 是 的中位线, , .23.(1) ,见分析;(2) ;(3)见分析 【分析】(1)根据全等三角形的性质得到 ,求得 ,得到 ,根据垂直的定义可得 . (2)根据三角形的面积公式即可得到结论. (3)根据三角形面积和梯形面积公式用两种方法求得四边形 的面积,可得到结论. (1)解: 证明: (2)解: = 故答案为: (3)解: =即 【点拨】本题考查了勾股定理的证明,三角形面积的计算,全等三角形的性质,正确识别图形是解题 的关键. 24.实践操作:见分析;猜想证明: , ,见分析;知识运用: (1)30;(2) 【分析】实践操作:梯形 沿着 剪开, 是腰 的中点,将点D和点C重合即可求得; 猜想证明:连接 并延长,交 延长线于点 ,根据题意可证明 ,则有 和 ,结合三角形中位线定理即可证明 和 ; 知识运用:(1)根据梯形面积公式和梯形中位线定理即可求得答案;(2)连接 和 交于点O, 过点O作 交l于点J,四边形 为平行四边形,则有O为 和 的中点,由于四边形 为梯形,得到 为梯形 的中位线,则 ,同理 ,得到成立 . 解:实践操作: 解:如图所示, 即为所作.猜想: , . 连接 并延长,交 延长线于点 , , . 是 的中点, . 又 , . , . 点 是 的中点,又点 是 的中点, 是 的中位线, , . . , , . , . 知识运用:(1)根据梯形中位线定理得上底加下底等于两倍的中位线,结合梯形面积公式有 ;(2) , 连接 和 交于点O,过点O作 交l于点J,如图, ∵四边形 为平行四边形, ∴点O为 和 的中点, ∵ , , ∴四边形 为梯形, ∴ 为梯形 的中位线, 则 , 同理四边形 为梯形,则 , 那么, . 【点拨】本题主要考查三角形中位线定理、平行四边形的性质、梯形中位线定理和梯形的面积公式, 解题的关键是利用已证的结论求解后续问题,并作辅助线构造梯形利用中位线.