当前位置:首页>文档>专题23.1旋转的几何综合(压轴题专项讲练)(人教版)(学生版)_初中数学_九年级数学上册(人教版)_压轴题专项-V5_2024版

专题23.1旋转的几何综合(压轴题专项讲练)(人教版)(学生版)_初中数学_九年级数学上册(人教版)_压轴题专项-V5_2024版

  • 2026-03-27 07:55:50 2026-03-25 00:09:52

文档预览

专题23.1旋转的几何综合(压轴题专项讲练)(人教版)(学生版)_初中数学_九年级数学上册(人教版)_压轴题专项-V5_2024版
专题23.1旋转的几何综合(压轴题专项讲练)(人教版)(学生版)_初中数学_九年级数学上册(人教版)_压轴题专项-V5_2024版
专题23.1旋转的几何综合(压轴题专项讲练)(人教版)(学生版)_初中数学_九年级数学上册(人教版)_压轴题专项-V5_2024版
专题23.1旋转的几何综合(压轴题专项讲练)(人教版)(学生版)_初中数学_九年级数学上册(人教版)_压轴题专项-V5_2024版
专题23.1旋转的几何综合(压轴题专项讲练)(人教版)(学生版)_初中数学_九年级数学上册(人教版)_压轴题专项-V5_2024版
专题23.1旋转的几何综合(压轴题专项讲练)(人教版)(学生版)_初中数学_九年级数学上册(人教版)_压轴题专项-V5_2024版
专题23.1旋转的几何综合(压轴题专项讲练)(人教版)(学生版)_初中数学_九年级数学上册(人教版)_压轴题专项-V5_2024版
专题23.1旋转的几何综合(压轴题专项讲练)(人教版)(学生版)_初中数学_九年级数学上册(人教版)_压轴题专项-V5_2024版
专题23.1旋转的几何综合(压轴题专项讲练)(人教版)(学生版)_初中数学_九年级数学上册(人教版)_压轴题专项-V5_2024版
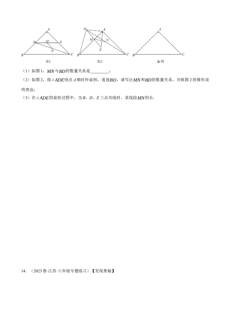
专题23.1旋转的几何综合(压轴题专项讲练)(人教版)(学生版)_初中数学_九年级数学上册(人教版)_压轴题专项-V5_2024版
专题23.1旋转的几何综合(压轴题专项讲练)(人教版)(学生版)_初中数学_九年级数学上册(人教版)_压轴题专项-V5_2024版
专题23.1旋转的几何综合(压轴题专项讲练)(人教版)(学生版)_初中数学_九年级数学上册(人教版)_压轴题专项-V5_2024版
专题23.1旋转的几何综合(压轴题专项讲练)(人教版)(学生版)_初中数学_九年级数学上册(人教版)_压轴题专项-V5_2024版
专题23.1旋转的几何综合(压轴题专项讲练)(人教版)(学生版)_初中数学_九年级数学上册(人教版)_压轴题专项-V5_2024版
专题23.1旋转的几何综合(压轴题专项讲练)(人教版)(学生版)_初中数学_九年级数学上册(人教版)_压轴题专项-V5_2024版
专题23.1旋转的几何综合(压轴题专项讲练)(人教版)(学生版)_初中数学_九年级数学上册(人教版)_压轴题专项-V5_2024版
专题23.1旋转的几何综合(压轴题专项讲练)(人教版)(学生版)_初中数学_九年级数学上册(人教版)_压轴题专项-V5_2024版
专题23.1旋转的几何综合(压轴题专项讲练)(人教版)(学生版)_初中数学_九年级数学上册(人教版)_压轴题专项-V5_2024版
专题23.1旋转的几何综合(压轴题专项讲练)(人教版)(学生版)_初中数学_九年级数学上册(人教版)_压轴题专项-V5_2024版
专题23.1旋转的几何综合(压轴题专项讲练)(人教版)(学生版)_初中数学_九年级数学上册(人教版)_压轴题专项-V5_2024版
专题23.1旋转的几何综合(压轴题专项讲练)(人教版)(学生版)_初中数学_九年级数学上册(人教版)_压轴题专项-V5_2024版
专题23.1旋转的几何综合(压轴题专项讲练)(人教版)(学生版)_初中数学_九年级数学上册(人教版)_压轴题专项-V5_2024版
专题23.1旋转的几何综合(压轴题专项讲练)(人教版)(学生版)_初中数学_九年级数学上册(人教版)_压轴题专项-V5_2024版
专题23.1旋转的几何综合(压轴题专项讲练)(人教版)(学生版)_初中数学_九年级数学上册(人教版)_压轴题专项-V5_2024版

文档信息

文档格式
docx
文档大小
2.994 MB
文档页数
24 页
上传时间
2026-03-25 00:09:52

文档内容

专题 23.1 旋转的几何综合 20 【典例1】已知:如图①,在矩形ABCD中,AB=5,AD= ,AE⊥BD,垂足是E点F是点E关于 30 AB的对称点,连接AF、BF. (1)求AE和BE的长; (2)若将△ABF沿着射线BD方向平移,设平移的距离为m(平移距离指点B沿BD方向所经过的线段长 度)当点F分别平移到线段AB、AD上时,求出相应的m的值; (3)如图②,将△ABF绕点B顺时针旋转一个角α(0°<α<180°),记旋转中的△ABF为△A′BF′,在旋 转过程中,设A′F′所在的直线与边AD交于点P与直线BD交于点Q是否存在这样的P、Q两点,使 △DPQ为等腰三角形?若存在,直接写出此时DQ的长:若不存在,请说明理由. 【思路点拨】 (1)利用矩形性质、勾股定理及三角形面积公式求解; (2)依题意画出图形,如答图2所示.利用平移性质,确定图形中的等腰三角形,分别求出m的值; (3)在旋转过程中,等腰ΔDPQ有4种情形,如答图3所示,对于各种情形分别进行计算. 【解题过程】 20 解:(1)在RtΔABD中,AB=5,AD= , 3 由勾股定理得: √ 20 2 25. BD=❑√AB2+AD2=❑52+( ) = 3 31 1 ∵S = BD·AE= AB·AD, ΔABD 2 2 20 5× AB·AD 3 ∴AE= = =4. BD 25 3 在RtΔABE中,AB=5,AE=4, 由勾股定理得:BE=3. (2)设平移中的三角形为△A′B′F′,如答图2所示: 由对称点性质可知,∠1=∠2. 由平移性质可知,AB//A′B′,∠4=∠1,BF=B′F′=3. ①当点F′落在AB上时, ∵AB//A′B′, ∴∠3=∠4, ∴∠3=∠2, ∴BB′=B′F′=3,即m=3; ②当点F′落在AD上时, ∵AB//A′B′, ∴∠6=∠2, ∵∠1=∠2,∠5=∠1, ∴∠5=∠6, 又易知A′B′⊥AD, ∴△B′F′D为等腰三角形, ∴B′D=B′F′=3, 25 16 16 ∴BB′=BD−B′D= −3= ,即m= . 3 3 3(3)存在.理由如下: 在旋转过程中,等腰ΔDPQ依次有以下4种情形: ①如答图3−1所示,点Q落在BD延长线上,且PD=DQ,易知∠2=2∠Q, ∵∠1=∠3+∠Q,∠1=∠2, ∴∠3=∠Q, ∴A′Q=A′B=5, ∴F′Q=F′ A′+A′Q=4+5=9. 在 △ 中,由勾股定理得: . Rt BF′Q BQ=❑√F′Q2+F′B2=❑√92+32=3❑√10 25 ∴DQ=BQ−BD=3❑√10− ; 3 ②如答图3−2所示,点Q落在BD上,且PQ=DQ,易知∠2=∠P, ∵∠1=∠2, ∴∠1=∠P, ∴BA′//PD,则此时点A′落在BC边上. ∵∠3=∠2, ∴∠3=∠1, ∴BQ=A′Q, ∴F′Q=F′ A′−A′Q=4−BQ. 在RtΔBQF′中,由勾股定理得:BF′2+F′Q2=BQ2, 即: , 32+(4−BQ) 2=BQ225 解得:BQ= , 8 25 25 125 ∴DQ=BD−BQ= − = ; 3 8 24 ③如答图3−3所示,点Q落在BD上,且PD=DQ,易知∠3=∠4. ∵∠2+∠3+∠4=180°,∠3=∠4, 1 ∴∠4=90°− ∠2. 2 ∵∠1=∠2, 1 ∴∠4=90°− ∠1. 2 1 ∴∠A′QB=∠4=90°− ∠1, 2 1 ∴∠A′BQ=180°−∠A′QB−∠1=90°− ∠1, 2 ∴∠A′QB=∠A′BQ, ∴A′Q=A′B=5, ∴F′Q=A′Q−A′F′=5−4=1. 在 △ 中,由勾股定理得: , Rt BF′Q BQ=❑√F′Q2+F′B2=❑√32+12=❑√10 25 ∴DQ=BD−BQ= −❑√10; 3 ④如答图3−4所示,点Q落在BD上,且PQ=PD,易知∠2=∠3.∵∠1=∠2,∠3=∠4,∠2=∠3, ∴∠1=∠4, ∴BQ=BA′=5, 25 10 ∴DQ=BD−BQ= −5= . 3 3 综上所述,存在4组符合条件的点P、点Q,使ΔDPQ为等腰三角形; 25 125 25 10 DQ的长度分别为3❑√10− 或 或 −❑√10或 . 3 24 3 3 1.(2023·安徽合肥·统考模拟预测)(1)如图1,过等边△ABC的顶点A作AC的垂线l,点P为l上点 (不与点A重合),连接CP,将线段CP绕点C逆时针方向旋转60°得到线段CQ,连接QB. ①求证:AP=BQ; ②连接PB并延长交直线CQ于点D.若PD⊥CQ,AC=❑√2,求PB的长; (2)如图2,在△ABC中,∠ACB=45°,将边AB绕点A顺时针旋转90°得到线段AD,连接CD,若 AC=1,BC=3,求CD长.2.(2022春·辽宁沈阳·八年级校考阶段练习)如图①,点E为正方形ABCD内一点,∠AEB=90°,将 Rt△ABE绕点B按顺时针方向旋转90°,得到△CBE'(点A的对应点为点C).延长AE交CE'于点F,连 接DE. 猜想证明: (1)四边形BE'FE的形状是______; (2)如图②,若DA=DE,请猜想线段CF与FE的数量关系并加以证明; (3)如图①,若AB=15,CF=3,求DE的长.3.(2022秋·全国·九年级期中)△ABC为等边三角形,AB=8,AD⊥BC于点D,E为线段AD上一点, AE=2❑√3.以AE为边在直线AD右侧构造等边三角形AEF,连接CE,N为CE的中点. (1)如图1,EF与AC交于点G,连接NG,BE,直接写出NG与BE的数量关系; (2)如图2,将△AEF绕点A逆时针旋转,旋转角为α,M为线段EF的中点,连接DN,MN.当 30°<α<120°时,猜想∠DNM的大小是否为定值,如果是定值,请写出∠DNM的度数并证明,如果不 是,请说明理由; (3)连接BN,在△AEF绕点A逆时针旋转过程中,请直接写出线段BN的最大值.4.(2022·河南郑州·校联考一模)(1)如图1,在等腰直角三角形ABC中,∠C=90°,点O为AB的中 点,点M为AC上一点,将射线OM绕点O顺时针旋转90°交BC于点N,则OM与ON的数量关系为 ; (2)如图2,在等腰三角形ABC中,∠C=120°,点O为AB的中点,点M为AC上一点,将射线OM绕 点O顺时针旋转60°交BC于点N,则OM与ON的数量关系是否改变,请说明理由; (3)如图3,点O为正方形ABCD对角线的交点,点P为DO的中点,点M为直线BC上一点,将射线 25 OM绕点O顺时针旋转90°交直线AB于点N,若AB=4,当△PMN的面积为 时,直接写出线段BN的 2 长.5.(2023春·浙江·八年级专题练习)小张同学对图形旋转前后线段之间、角之间的关系进行了拓展探究. 在△ABC中,AB=AC,M是平面内任意一点,将线段AM绕点A按顺时针方向旋转与∠BAC相等的角 度,得到线段AN,连接NB. (1)如图1,若点M是线段BC上的任意一点,判断BN和CM的数量关系,并说明理由; (2)如图2,点E是AB延长线上的点,若点M是∠CBE内部射线BD上任意一点,连接MC,(1)中结 论是否仍然成立?若成立,请给予证明,若不成立,请说明理由. (3)如图3,在△A B C 中,A B =8,∠A B C =60°,∠B A C =75°,点P是B C 上的任意一 1 1 1 1 1 1 1 1 1 1 1 1 1 点,连接A P,将A P绕点A 按顺时针方向旋转75°,得到线段A Q,连接B Q,求线段B Q长度的最 1 1 1 1 1 1 小.6.(2023春·四川成都·八年级统考期末)在等腰直角△ABC中,∠ACB=90°,AC=❑√2,将直角边AC 绕点A顺时针旋转得到AP,旋转角为α(0°<α<180°),连接CP,PB. (1)如图1,当α=45°时,求BP的长; (2)如图2,若∠CPB=135°,且D为AB中点,连接PD,猜想CP和DP的数量关系,并说明理由; (3)在旋转过程中,当CP=BP时,求旋转角α的度数.7.(2022秋·北京西城·九年级北师大实验中学校考阶段练习)在等腰Rt△ABC中,AB⊥AC,点D为AC 边上一点,连接DB . (1)如图1,若∠ABD =15°,BD=2,求线段AD的长度; (2)如图2,将线段DB绕点D顺时针旋转90°得到线段DE,连接BE、CE,将线段DC绕点D逆时针旋 转90°得到线段DF,连接BF,线段CE、BF交于点G,连接AG,猜想线段AG、BG、CG的数量关系并证 明你的结论; AE (3)如图3,将线段DB绕点D顺时针旋转60°得到线段DE,连接AE,直接写出 的最小值. AB8.(2022秋·上海·八年级专题练习)已知△ABC和△ADE都是等腰直角三角形,其中 ∠ABC=∠ADE=90°,连接BD、EC,点M为EC的中点,连接BM、DM. (1)如图1,当点D、E分别在AC、AB上时,求证:△BMD为等腰直角三角形; (2)如图2,将图1中的△ADE绕点A逆时针旋转45°,使点D落在AB上,此时(1)中的结论“△BMD 为等腰直角三角形”还成立吗?请对你的结论加以证明; (3)如图3,将图2中的△ADE绕点A逆时针旋转90°时,△BMD为等腰直角三角形的结论是否仍成立? 若成立,请证明;若不成立,请说明理由.9.(2023春·重庆万州·八年级统考期末)如图,在平行四边形ABCD中,AC是对角线,AB=AC,点E 是BC边上一点,连接AE,将AE绕着点A顺时针旋转α得到线段AF. (1)如图1,若α=∠BAC=90°,连接BF,BF=3,BC=8,求△ABE的面积; (2)如图2,若α=2∠BAC=120°,连接CF交AB于H,求证:2AH+CE=AD; (3)若在(2)的条件下,3CE=BC=9,点P为AB边上一动点,连接EP,将线段EP绕着点E顺时针 旋转60°得到线段EQ,连接CQ,当线段CQ取得最小值时,直接写出四边形BHQE的面积.10.(2023春·辽宁本溪·八年级统考期中)【探究】(1)如图1,在四边形中ABCD中,AB=AD, ∠BAD=120°,∠B=∠ADC=90°,E、F分别是BC、CD上的点,且∠EAF=60°,探究图中线段 BE,EF,FD之间的数量关系. 小李同学探究此问题的方法是:FD延长到点G,使DG=BE,连接AG,先证明△ABE≌△ADG,再证 明△AEF≌△AGF,即可得出BE,EF,FD之间的数量关系.他的结论是 . 【拓展】(2)如图2,已知△ABC是等腰直角三角形,∠C=90°.将三角板的45°角的顶点与点C重 合,使这个角落在∠ACB的内部,两边分别与斜边AB交于E、F两点,然后将这个角绕着点C在∠ACB 的内部旋转,在点E、F的位置发生变化时,猜想线段AE、EF、BF之间的数量关系,并说明理由; 【实际应用】(3)如图2,在四边形ABCD中,∠BAD=∠BCD=90°,AB=AD,若AC=5cm,则四 边形ABCD的面积为__________cm2. 11.(2022春·山东烟台·九年级校联考期中)如图,正方形ABCD中∠PAQ分别交BC,CD于点E,F,连接EF. (1)如图①,若∠1=28°,∠2=73°,试求∠3的度数; (2)如图②,以点A为旋转中心,旋转∠PAQ,旋转时保持∠PAQ=45°.当点E,F分别在边BC,CD 上时,AE和AF是角平分线吗?如果是,请说出是哪两个角的平分线并给予证明;如果不是,请说明理 由; (3)如图③,在②的条件下,当点E,F分别在BC,CD的延长线上时,②中的结论是否成立?只需回答 结论,不需说明理由. 12.(2022·重庆巴蜀中学校考一模)在等边△ABC中,点D在AB上,点E在BC上,将线段DE绕点D逆时针旋转60°得到线段DF,连接CF. (1)如图(1),点D是AB的中点,点E与点C重合,连接AF.若AB=6,求AF的长; (2)如图(2),点G在AC上且∠AGD=60°+∠FCB,求证:CF=DG; (3)如图(3),AB=6,BD=2CE,连接AF.过点F作AF的垂线交AC于点P,连接BP、DP.将 △BDP沿着BP翻折得到△BQP,连接QC.当△ADP的周长最小时,直接写出△CPQ的面积. 13.(2023春·山东济南·八年级统考期末)在△ABC中,∠BAC=90°,AB=AC=4❑√2,点D,E是边 AB,AC的中点,连接DE,DC,点M,N分别是DE和DC的中点,连接MN.(1)如图1,MN与BD的数量关系是_________; (2)如图2,将△ADE绕点A顺时针旋转,连接BD,请写出MN和BD的数量关系,并就图2的情形说 明理由; (3)在△ADE的旋转过程中,当B,D,E三点共线时,求线段MN的长. 14.(2023春·江苏·八年级专题练习)【发现奥秘】(1)如图1,在等边三角形ABC中,AB=2,点E是△ABC内一点,连接AE,EC,BE,分别将AC,EC 绕点C顺时针旋转60°得到DC,FC,连接AD,DF,EF.当B,E,F,D四个点满足______时, BE+AE+CE的值最小,最小值为_______. 【解法探索】 (2)如图2,在△ABC中,∠ACB=90°,AC=BC,点P是△ABC内一点,连接PA,PB,PC,请求出 当PA+PB+PC的值最小时∠BCP的度数,并直接写出此时PA:PB:PC的值.(提示:分别将PC,AC 绕点C顺时针旋转60°得到DC,EC,连接PD,DE,AE) 【拓展应用】 (3)在△ABC中,∠ACB=90°,∠BAC=30°,BC=2,点P是△ABC内一点,连接PA,PB,PC,直 接写出当PA+PB+PC的值最小时,PA:PB:PC的值. 15.(2022秋·九年级单元测试)如图,正方形ABCD和正方形CEFG(其中BD>2CE),直线BG与DE 交于点H.(1)如图1,当点G在CD上时,请直接写出线段BG与DE的数量关系和位置关系; (2)将正方形CEFG绕点C旋转一周. ①如图2,当点E在直线CD右侧时,求证:BH−DH=❑√2CH; ②当∠DEC=45°时,若AB=3,CE=1,请直接写出线段DH的长. 16.(2022·重庆铜梁·统考一模)菱形ABCD的对角线AC,BD交于点O.(1)如图1,过菱形ABCD的顶点A作AE⊥BC于点E,交OB于点H,若AB=AC=6,求OH的长; (2)如图2,过菱形ABCD的顶点A作AF⊥AD,且AF=AD,线段AF交OB于点H,交BC于点E. ❑√2 当D,C,F三点在同一直线上时,求证:OH+OA= BH; 2 (3)如图3,菱形ABCD中,∠ABC=45°,点P为直线AD上的动点,连接BP,将线段BP绕点B逆时 针旋转60°得到线段BQ,连接AQ,当线段AQ的长度最小时,直接写出∠BAQ的度数. 17.(2022春·重庆·八年级重庆一中校考阶段练习)在△ABC中,90°<∠BAC<120°,将线段AB绕点A 逆时针旋转120°得到线段AD,连接CD.(1)如图1,若AB=8,∠ABC=45°,BA⊥CD,延长BA,CD交于点K,求四边形ABCD的面积; (2)如图2,点E是CA延长线上一点,点G是AE的中点,连接BE,BG,点F在线段AC上,点H在线 段BG上,连接HF,若BG=GF,HF=BE,GA=GH,2∠ACB=∠EBG+∠ABC,求证:BC+CD=❑√3 AC; (3)如图3,在(1)的条件下,点P是线段BC上的一个动点,连接DP,将线段DP绕点D逆时针旋转 45°得到线段DP',连接AP',BP',点M是△ABP'内任意一点,点P在运动过程中,AM+BM+P'M是否存在 最小值;若存在,请直接写出:AM+BM+P'M的最小值;若不存在,请说明理由. 18.(2023春·全国·八年级专题练习)已知△ABC是正三角形,D为BC边上一点,连接AD.(1)如图1,在AC上截取点E,使得CE=BD,连接BE交AD于点F,若FD=2,BE=8,求点A到BE 的距离; (2)如图2,在(1)的条件下,连接CF,取AB的中点G,连接FG,证明CF=2FG; (3)如图3,点P为△ABC内部一点,连接AP,将线段AC绕点A逆时针旋转得到线段AQ. ∠CAQ=∠BAP.将△ABP沿AP翻折到同一平面内的△ATP,在线段AQ上截取AM=AP,连接MT. 已知MT=6,PT=8,AM=10.直接写出△APT的面积. 19.(2023春·四川成都·八年级校联考期中)如图,在等腰△ADC和等腰△BEC中, ∠ADC=∠BEC=90°,BC