当前位置:首页>文档>第11讲对数与对数函数(精讲)一轮复习讲义2024年高考数学高频考点题型归纳与方法总结(新高考通用)原卷版_2.2025数学总复习_2024年新高考资料_1.2024一轮复习

第11讲对数与对数函数(精讲)一轮复习讲义2024年高考数学高频考点题型归纳与方法总结(新高考通用)原卷版_2.2025数学总复习_2024年新高考资料_1.2024一轮复习

  • 2026-05-01 09:29:38 2026-03-25 04:58:13

文档预览

第11讲对数与对数函数(精讲)一轮复习讲义2024年高考数学高频考点题型归纳与方法总结(新高考通用)原卷版_2.2025数学总复习_2024年新高考资料_1.2024一轮复习
第11讲对数与对数函数(精讲)一轮复习讲义2024年高考数学高频考点题型归纳与方法总结(新高考通用)原卷版_2.2025数学总复习_2024年新高考资料_1.2024一轮复习
第11讲对数与对数函数(精讲)一轮复习讲义2024年高考数学高频考点题型归纳与方法总结(新高考通用)原卷版_2.2025数学总复习_2024年新高考资料_1.2024一轮复习
第11讲对数与对数函数(精讲)一轮复习讲义2024年高考数学高频考点题型归纳与方法总结(新高考通用)原卷版_2.2025数学总复习_2024年新高考资料_1.2024一轮复习
第11讲对数与对数函数(精讲)一轮复习讲义2024年高考数学高频考点题型归纳与方法总结(新高考通用)原卷版_2.2025数学总复习_2024年新高考资料_1.2024一轮复习
第11讲对数与对数函数(精讲)一轮复习讲义2024年高考数学高频考点题型归纳与方法总结(新高考通用)原卷版_2.2025数学总复习_2024年新高考资料_1.2024一轮复习
第11讲对数与对数函数(精讲)一轮复习讲义2024年高考数学高频考点题型归纳与方法总结(新高考通用)原卷版_2.2025数学总复习_2024年新高考资料_1.2024一轮复习
第11讲对数与对数函数(精讲)一轮复习讲义2024年高考数学高频考点题型归纳与方法总结(新高考通用)原卷版_2.2025数学总复习_2024年新高考资料_1.2024一轮复习
第11讲对数与对数函数(精讲)一轮复习讲义2024年高考数学高频考点题型归纳与方法总结(新高考通用)原卷版_2.2025数学总复习_2024年新高考资料_1.2024一轮复习
第11讲对数与对数函数(精讲)一轮复习讲义2024年高考数学高频考点题型归纳与方法总结(新高考通用)原卷版_2.2025数学总复习_2024年新高考资料_1.2024一轮复习
第11讲对数与对数函数(精讲)一轮复习讲义2024年高考数学高频考点题型归纳与方法总结(新高考通用)原卷版_2.2025数学总复习_2024年新高考资料_1.2024一轮复习
第11讲对数与对数函数(精讲)一轮复习讲义2024年高考数学高频考点题型归纳与方法总结(新高考通用)原卷版_2.2025数学总复习_2024年新高考资料_1.2024一轮复习
第11讲对数与对数函数(精讲)一轮复习讲义2024年高考数学高频考点题型归纳与方法总结(新高考通用)原卷版_2.2025数学总复习_2024年新高考资料_1.2024一轮复习
第11讲对数与对数函数(精讲)一轮复习讲义2024年高考数学高频考点题型归纳与方法总结(新高考通用)原卷版_2.2025数学总复习_2024年新高考资料_1.2024一轮复习
第11讲对数与对数函数(精讲)一轮复习讲义2024年高考数学高频考点题型归纳与方法总结(新高考通用)原卷版_2.2025数学总复习_2024年新高考资料_1.2024一轮复习
第11讲对数与对数函数(精讲)一轮复习讲义2024年高考数学高频考点题型归纳与方法总结(新高考通用)原卷版_2.2025数学总复习_2024年新高考资料_1.2024一轮复习
第11讲对数与对数函数(精讲)一轮复习讲义2024年高考数学高频考点题型归纳与方法总结(新高考通用)原卷版_2.2025数学总复习_2024年新高考资料_1.2024一轮复习

文档信息

文档格式
docx
文档大小
0.953 MB
文档页数
17 页
上传时间
2026-03-25 04:58:13

文档内容

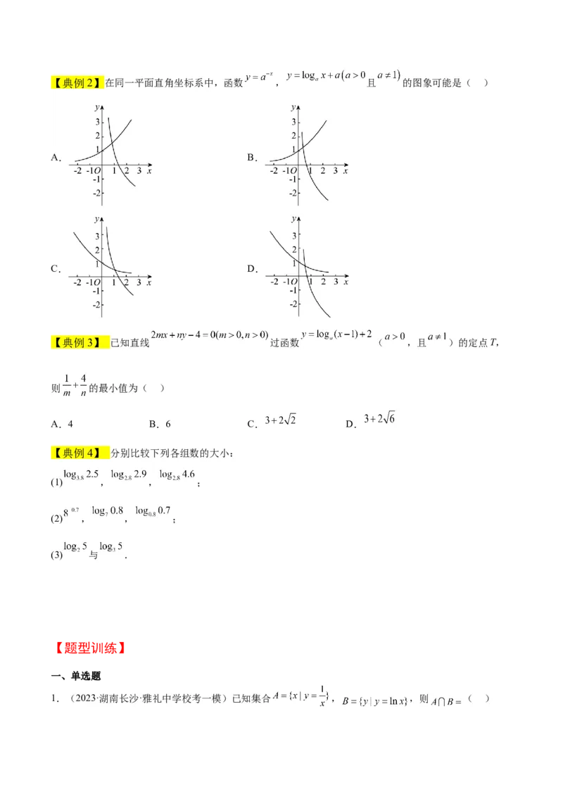
【一轮复习讲义】2024年高考数学高频考点题型归纳与方法总结(新高考通用) 第 11 讲 对数与对数函数(精讲) 题型目录一览 ①对数式的化简与求值 ②对数函数的图像与性质 ③解对数方程与不等式 ④对数函数的综合应用 ★【文末附录-对数运算与对数函数思维导图】 一、知识点梳理 1.对数式的运算 (1)对数的定义:一般地,如果 且 ,那么数 叫做以 为底 的对数,记作 , 读作以 为底 的对数,其中 叫做对数的底数, 叫做真数. (2)常见对数: ①一般对数:以 且 为底,记为 ,读作以 为底 的对数; ②常用对数:以 为底,记为 ; ③自然对数:以 为底,记为 ; (3) 对数的性质和运算法则: ① ; ;其中 且 ; ② (其中 且 , ); ③对数换底公式: ; ④ ; ⑤ ; ⑥ , ; ⑦ 和 ; ⑧ ; 2.对数函数的定义及图像 (1)对数函数的定义:函数 且 叫做对数函数.对数函数的图象 y x=1 y x=1 log x 图象 a (1,0) x O (1,0) x O log x a 定义域: 值域: 过定点 ,即 时, 性质 在 上增函数 在 上是减函数 当 时, ,当 时, 当 时, ,当 时, 【常用结论】 在同一坐标系内,当 时,随 的增大,对数函数的图象愈靠近 轴;当 时,对数函数的图象 随 的增大而远离 轴.(见下图) y log x a 1 a增大 1 loga x 2 x O 1 loga x 3 a增大 logx a 4 二、题型分类精讲 刷真题 明导向 1.(2020·山东·统考高考真题)函数 的定义域是( ) A. B. C. D. 2.(2022·天津·统考高考真题)化简 的值为( )A.1 B.2 C.4 D.6 3.(2021·天津·统考高考真题)若 ,则 ( ) A. B. C.1 D. 4.(2021·全国·高考真题)青少年视力是社会普遍关注的问题,视力情况可借助视力表测量.通常用五分 记录法和小数记录法记录视力数据,五分记录法的数据L和小数记录表的数据V的满足 .已知 某同学视力的五分记录法的数据为4.9,则其视力的小数记录法的数据为( )( ) A.1.5 B.1.2 C.0.8 D.0.6 5.(2020·全国·统考高考真题)Logistic模型是常用数学模型之一,可应用于流行病学领域.有学者根据 公布数据建立了某地区新冠肺炎累计确诊病例数I(t)(t的单位:天)的Logistic模型: ,其中 K为最大确诊病例数.当I( )=0.95K时,标志着已初步遏制疫情,则 约为( )(ln19≈3) A.60 B.63 C.66 D.69 6.(2020·海南·高考真题)已知函数 在 上单调递增,则 的取值范围是( ) A. B. C. D. 7.(2021·天津·统考高考真题)函数 的图像大致为( ) A. B.C. D. 8.(2022·北京·统考高考真题)在北京冬奥会上,国家速滑馆“冰丝带”使用高效环保的二氧化碳跨临界 直冷制冰技术,为实现绿色冬奥作出了贡献.如图描述了一定条件下二氧化碳所处的状态与T和 的关 系,其中T表示温度,单位是K;P表示压强,单位是 .下列结论中正确的是( ) A.当 , 时,二氧化碳处于液态 B.当 , 时,二氧化碳处于气态 C.当 , 时,二氧化碳处于超临界状态 D.当 , 时,二氧化碳处于超临界状态 9.(2021·天津·统考高考真题)设 ,则a,b,c的大小关系为( ) A. B. C. D. 10.(2022·天津·统考高考真题)已知 , , ,则( ) A. B. C. D. 11.(2020·全国·统考高考真题)设 , , ,则( ) A. B. C. D.12.(2021·全国·统考高考真题)设 , , .则( ) A. B. C. D. 二、填空题 13.(2020·北京·统考高考真题)函数 的定义域是____________. 14.(2020·山东·统考高考真题)若 ,则实数 的值是______. 三、双空题 15.(2022·全国·统考高考真题)若 是奇函数,则 _____, ______. 题型 一 对数式的化简与求值 策略方法 对数运算的一般思路 【典例1】解答下列问题: (1)用 表示 ;(2)已知 ,且 ,求M的值. 【题型训练】 一、解答题 1.(2023·全国·高三专题练习)计算:(1) ;(2) . 2.(2023·全国·高三专题练习)(1)计算 ; (2)已知 ,求实数x的值; (3)若 , ,用a,b,表示 . 二、单选题 3.(2023秋·河南许昌·高三校考期末)若函数 ,则 ( ) A. B. C. D. 4.(2023·新疆乌鲁木齐·统考二模)已知 ,则 ( ) A. B.9 C. D.16 5.(2023·新疆·统考二模)人们用分贝(dB)来划分声音的等级,声音的等级 (单位:dB)与声音 强度x(单位: )满足 .一般两人正常交谈时,声音的等级约为60dB,燃放烟花爆 竹时声音的等级约为150dB,那么燃放烟花爆竹时声音强度约为两人正常交谈时声音强度的( ) A. 倍 B. 倍 C. 倍 D. 倍 三、多选题 6.(2023·重庆九龙坡·统考二模)若a,b,c都是正数,且 则( ) A. B. C. D. 四、填空题7.(2023·上海黄浦·统考二模)已知函数 是定义在 上的奇函数,且当 时, .若 ,则实数a的值为____________. 8.(2023·全国·东北师大附中校联考模拟预测)大气压强 ,它的单位是“帕斯卡”(Pa, ),已知大气压强 随高度 的变化规律是 ,其中 是海平面大气压强, .当地高山上一处大气压强是海平面处大气压强的 ,则高山上该处的海拔为___________ 米.(答案保留整数,参考数据 ) 题型二 对数函数的图像与性质 策略方法 1.利用对数函数的图象解决的两类问题及技巧 (1)对一些可通过平移、对称变换作出其图象的对数型函数,在求解其单调性(单调区间)、值 域(最值)、零点时,常利用数形结合思想. (2)一些对数型方程、不等式问题常转化为相应的函数图象问题,利用数形结合法求解. 2.比较对数值大小的常见类型及解题方法 常见类型 解题方法 底数为同一常数 可由对数函数的单调性直接进行判断 底数为同一字母 需对底数进行分类讨论 底数不同,真数相同 可以先用换底公式化为同底后,再进行比较 底数与真数都不同 常借助1,0等中间量进行比较 【典例1】若对数 有意义,则 的取值范围是( ) A. B. C. 或 D.【典例2】在同一平面直角坐标系中,函数 , 且 的图象可能是( ) A. B. C. D. 【典例3】 已知直线 过函数 ( ,且 )的定点T, 则 的最小值为( ) A.4 B.6 C. D. 【典例4】 分别比较下列各组数的大小: (1) , , ; (2) , , ; (3) 与 . 【题型训练】 一、单选题 1.(2023·湖南长沙·雅礼中学校考一模)已知集合 , ,则 ( )A. B. C. 且 D. 2.(2023·全国·高三专题练习)已知函数 (a,b为常数,其中 且 )的图象如图所 示,则下列结论正确的是( ) A. , B. , C. , D. , 3.(2023·全国·模拟预测)函数 的部分图象为( ) A. B. C. D. 4.(2023·陕西榆林·统考二模)已知 , , ,则( ) A. B. C. D.5.(2023·北京·高三专题练习)设 , , ,则 , , 的大小关系是( ) A. B. C. D. 6.(2023·福建莆田·统考模拟预测)已知 , , ,则( ) A. B. C. D. 7.(2023·河北承德·统考模拟预测)已知 , , ,则( ) A. B. C. D. 二、多选题 8.(2023·全国·高三专题练习)若 ,则下列关系成立的是( ) A. B. C. D. 三、填空题 9.(2023·全国·高三专题练习) 的定义域为_______________ 10.(2023秋·江西鹰潭·高三贵溪市实验中学校考阶段练习)已知 且 ,若函数 与 的图象经过同一个定点,则 __________. 11.(2023·全国·高三专题练习)函数 的最小值为________. 四、解答题 12.(2023秋·山东潍坊·高三统考期中)定义在 上的函数 和 ,满足 ,且 ,其中 .(1)若 ,求 的解析式; (2)若不等式 的解集为 ,求 的值. 题型三 解对数方程与不等式 策略方法 求解对数不等式的两种类型及方法 类型 方法 借助y=log x的单调性求解,如果a的取值不确定,需分a>1与0<a a log x>log b a a <1两种情况讨论 需先将b化为以a为底的对数式的形式,再借助y=log x的单调性求 a log x>b a 解 【典例1】(1)当 时,求实数x的取值范围; (2)当 时,求实数x的取值范围; (3)当 恒取正值时,求实数x的取值范围. 【题型训练】 一、单选题 1.(2023·全国·高三专题练习)方程 的解是( ) A.1 B.2 C.e D.3 2.(2023·天津河西·天津市新华中学校考模拟预测)已知全集 ,集合 , ,则 ( )A. B. C. D. 3.(2023·安徽淮北·统考二模)已知集合 ,则下列命题错误的是 ( ) A. B. C. D. 4.(2023·全国·模拟预测)已知正数 , 满足 ,则 的最小值为( ) A. B.1 C.2 D.4 二、填空题 5.(2023·陕西咸阳·校考一模)已知函数 ,则不等式 的解集为______. 6.(2023·全国·高三专题练习)设命题 ,命题 .若q是p的 必要不充分条件,则实数m的取值范围是______. 7.(2023·上海·统考模拟预测)已知函数 ,则不等式 的解集是__________. 题型四 对数函数的综合应用 策略方法 求解与对数函数有关的复合函数单调性的步骤 一求 求出函数的定义域,所有问题都必须在定义域内讨论 判断对数函数的底数与1的关系,分a>1与0<a<1两种情况 二判 判断内层函数和外层函数的单调性,运用复合函数“同增异减”原 则判断函数的单调性 【典例1】已知函数 在 上单调递减,则a的取值范围为( ) A. B. C. D.【典例2】若不等式 ( ,且 )在 内恒成立,则实数a的取值范围为 ( ) A. B. C. D. 【题型训练】 一、单选题 1.(2023·江西上饶·高三校联考阶段练习)已知 的单调减区间为( ) A. B. C. D. 2.(2023·全国·高三专题练习)已知函数 ,若 在 上为减函数,则a的取值范围 为( ) A. B. C. D. 3.(2023·陕西宝鸡·统考二模)已知函数 ,则( ) A. 在 单调递减,在 单调递增B. 在 单调递减 C. 的图像关于直线 对称 D. 有最小值,但无最大值 4.(2023·全国·高三专题练习)若不等式 在 内恒成立,则a的取值范围是( ) A. B. C. D. 5.(2023·全国·高三专题练习)已知函数 的值域为 ,若不等式 在 上恒成立,则 的取值范围是( )A. B. C. D. 6.(2023·全国·高三专题练习)若函数 有最大值,则a的取值范围为( ) A. B. C. D. 二、多选题 7.(2023·全国·高三专题练习)已知函数 ,则使 的 可以是( ) A. B. C. D. 8.(2023·全国·高三专题练习)已知函数 (a>0,且 )的定义域为 , 值域为 .若 的最小值为 ,则实数a的值可以是( ) A. B. C. D. 三、填空题 9.(2023·全国·高三专题练习)已知函数 ,下列说法正确的是________.(填序号) ① 为奇函数; ② 为偶函数; ③ 在 上单调递减; ④ 在 上单调递增. 10.(2023·全国·高三专题练习)若 ,不等式 恒成立,则实数 的取值范 围为___________. 11.(2023·全国·高三专题练习)已知函数 ,若对任意 ,存在 使得 恒成立,则实数a的取值范围为____________. 四、解答题 12.(2023·上海·高三专题练习)已知 . (1)解不等式: ; (2)若 在区间 上的最小值为 ,求实数a的值. 13.(2023·全国·高三专题练习)已知函数 是偶函数. (1)当 ,函数 存在零点,求实数 的取值范围; (2)设函数 ,若函数 与 的图象只有一个公共点,求实数 的取值范围.【附录-对数运算与对数函数思维导图】