当前位置:首页>文档>第13节任意角、弧度制及任意角的三角函数(解析版)_2.2025数学总复习_赠品通用版(老高考)复习资料_一轮复习_备战2023年高考数学一轮复习考点帮(全国通用)

第13节任意角、弧度制及任意角的三角函数(解析版)_2.2025数学总复习_赠品通用版(老高考)复习资料_一轮复习_备战2023年高考数学一轮复习考点帮(全国通用)

  • 2026-05-01 22:11:32 2026-03-25 05:28:05

文档预览

第13节任意角、弧度制及任意角的三角函数(解析版)_2.2025数学总复习_赠品通用版(老高考)复习资料_一轮复习_备战2023年高考数学一轮复习考点帮(全国通用)
第13节任意角、弧度制及任意角的三角函数(解析版)_2.2025数学总复习_赠品通用版(老高考)复习资料_一轮复习_备战2023年高考数学一轮复习考点帮(全国通用)
第13节任意角、弧度制及任意角的三角函数(解析版)_2.2025数学总复习_赠品通用版(老高考)复习资料_一轮复习_备战2023年高考数学一轮复习考点帮(全国通用)
第13节任意角、弧度制及任意角的三角函数(解析版)_2.2025数学总复习_赠品通用版(老高考)复习资料_一轮复习_备战2023年高考数学一轮复习考点帮(全国通用)
第13节任意角、弧度制及任意角的三角函数(解析版)_2.2025数学总复习_赠品通用版(老高考)复习资料_一轮复习_备战2023年高考数学一轮复习考点帮(全国通用)
第13节任意角、弧度制及任意角的三角函数(解析版)_2.2025数学总复习_赠品通用版(老高考)复习资料_一轮复习_备战2023年高考数学一轮复习考点帮(全国通用)
第13节任意角、弧度制及任意角的三角函数(解析版)_2.2025数学总复习_赠品通用版(老高考)复习资料_一轮复习_备战2023年高考数学一轮复习考点帮(全国通用)
第13节任意角、弧度制及任意角的三角函数(解析版)_2.2025数学总复习_赠品通用版(老高考)复习资料_一轮复习_备战2023年高考数学一轮复习考点帮(全国通用)
第13节任意角、弧度制及任意角的三角函数(解析版)_2.2025数学总复习_赠品通用版(老高考)复习资料_一轮复习_备战2023年高考数学一轮复习考点帮(全国通用)
第13节任意角、弧度制及任意角的三角函数(解析版)_2.2025数学总复习_赠品通用版(老高考)复习资料_一轮复习_备战2023年高考数学一轮复习考点帮(全国通用)
第13节任意角、弧度制及任意角的三角函数(解析版)_2.2025数学总复习_赠品通用版(老高考)复习资料_一轮复习_备战2023年高考数学一轮复习考点帮(全国通用)
第13节任意角、弧度制及任意角的三角函数(解析版)_2.2025数学总复习_赠品通用版(老高考)复习资料_一轮复习_备战2023年高考数学一轮复习考点帮(全国通用)
第13节任意角、弧度制及任意角的三角函数(解析版)_2.2025数学总复习_赠品通用版(老高考)复习资料_一轮复习_备战2023年高考数学一轮复习考点帮(全国通用)
第13节任意角、弧度制及任意角的三角函数(解析版)_2.2025数学总复习_赠品通用版(老高考)复习资料_一轮复习_备战2023年高考数学一轮复习考点帮(全国通用)
第13节任意角、弧度制及任意角的三角函数(解析版)_2.2025数学总复习_赠品通用版(老高考)复习资料_一轮复习_备战2023年高考数学一轮复习考点帮(全国通用)
第13节任意角、弧度制及任意角的三角函数(解析版)_2.2025数学总复习_赠品通用版(老高考)复习资料_一轮复习_备战2023年高考数学一轮复习考点帮(全国通用)
第13节任意角、弧度制及任意角的三角函数(解析版)_2.2025数学总复习_赠品通用版(老高考)复习资料_一轮复习_备战2023年高考数学一轮复习考点帮(全国通用)

文档信息

文档格式
docx
文档大小
0.966 MB
文档页数
17 页
上传时间
2026-03-25 05:28:05

文档内容

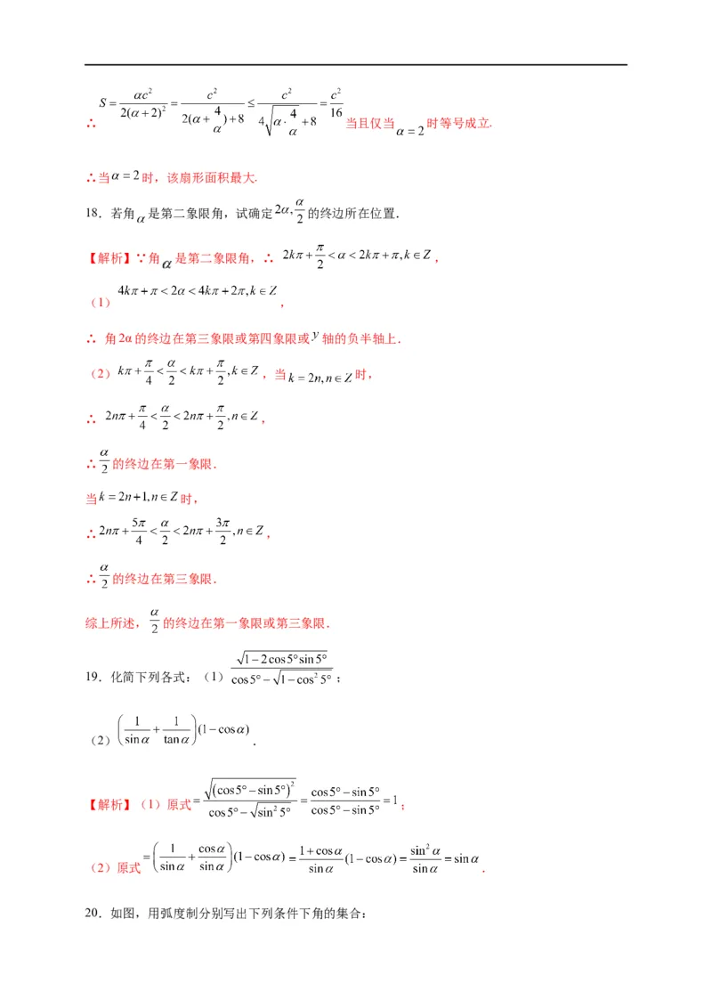
第 13 节 任意角、弧度制及任意角的三角函数 基础知识要夯实 1.角的概念的推广 (1)定义:角可以看成平面内的一条射线绕着端点从一个位置旋转到另一个位置所成的 图形. (2)分类 (3)终边相同的角:所有与角 α终边相同的角,连同角 α在内,可构成一个集合 S={β|β =α+k·360°,k∈Z}. 2.弧度制的定义和公式 (1)定义:把长度等于半径长的弧所对的圆心角叫做1弧度的角,弧度记作rad. (2)公式 角α的弧度数公式 |α|= (弧长用l表示) 角度与弧度的换算 1°= rad;1 rad= ° 弧长公式 弧长l= | α | r 扇形面积公式 S= lr= | α | r 2 3.任意角的三角函数 (1)定义:设α是一个任意角,它的终边与单位圆交于点P(x,y),那么sin α=y,cos α =x,tan α= ( x ≠0) . (2)几何表示:三角函数线可以看作是三角函数的几何表示,正弦线的起点都在 x轴上, 余弦线的起点都是原点,正切线的起点都是(1,0).如图中有向线段MP,OM,AT分别 叫做角α的正弦线,余弦线和正切线. 1.三角函数值在各象限的符号规律:一全正,二正弦,三正切,四余弦.π (0, ) 2.若α∈ 2 ,则tan α>α>sin α. 3.角度制与弧度制可利用180°=π rad进行互化,在同一个式子中,采用的度量制度必 须一致,不可混用. 4.象限角的集合 核心素养要做实 考点一 角的概念及其集合表示 【例1】 (1) 已知 与 角的终边关于 轴对称,则 是( ) A.第二或第四象限角 B.第一或第三象限角 C.第三或第四象限角 D.第一或第四象限角 【答案】A 【解析】由 与 角的终边关于 轴对称,可得 , ∴ , [来源:学科网ZXXK] 取 可确定 终边在第二或第四象限. (2)集合 , ,则有( ) A. B.  C. D. 【答案】C 【解析】 , . ∵ 是偶数, 为整数, ∴ ,故选C.【方法技巧】1.利用终边相同的角的集合求适合某些条件的角:先写出与这个角的终边 相同的所有角的集合,然后通过对集合中的参数k赋值来求得所需的角. 2.若要确定一个绝对值较大的角所在的象限,一般是先将角化为 2kπ+α(0≤α<2π)(k∈Z) 的形式,然后再根据α所在的象限予以判断. 【跟踪训练】 (1) 将 化为 的形式是( ) A. B. C. D. 【答案】B 【解析】 [来源:学*科*网Z*X*X*K] (2) 若角 的终边在函数 的图象上,试写出角 的集合为 . 【答案】 【解析】解法一:函数 的图象是第二、四象限的平分线, 可以先在 ~ 范围内找出满足条件的角, 再进一步写出满足条件的所有角,并注意化简. 解法二:结合图形, 与 相差 的整数倍,由此写出集合. 考点二 弧度制及其应用 【例2】(1) (经典母题) 设扇形的周长为6,面积为2,则扇形的圆心角是(单位:弧度)( ) A.1 B.4 C. D.1或4 【答案】D 【解析】设扇形的半径为 ,所以弧长为 ,扇形的圆心角为 , 因为扇形的面积为2,所以 , 解得 或 , 所以扇形的圆心角为1或4. (2)在半径为10 cm的圆中, 的圆心角所对弧长为( ) A. cm B. cm C. cm D. cm 【答案】A 【解析】根据弧长公式,得 (cm). (3)圆的半径是6 cm,则 的圆心角与圆弧围成的扇形面积是( ) A. cm2 B. cm2 C. cm2 D. cm2 【答案】B 【解析】根据扇形面积公式,得 (cm2). 【方法技巧】 1.应用弧度制解决问题的方法: (1)利用扇形的弧长和面积公式解题时,要注意角的单位必须是弧度; (2)求扇形面积最大值的问题时,常转化为二次函数的最值问题,利用配方法使问题得 到解决. 2.求扇形面积的关键是求扇形的圆心角、半径、弧长三个量中的任意两个量. 【跟踪训练】 1.一圆内切于中心角为 、半径为 的扇形,则该圆的面积与该扇形的面积之比为( ) A. B. C. D. 【答案】B 【解析】一圆内切于扇形是指该圆与扇形的两条半径和弧都相切,如图:由圆半径 ,得 , ∴ . 考点三 三角函数的概念 【例3】 (1)(2022·合肥质检) 已知角 的终边与单位圆交于点 ,则 的值为( ) A. B. C. D. 【答案】B 【解析】 . (2) 若三角形的两内角 满足 ,则此三角形必为( ) A.锐角三角形 B.钝角三角形 C.直角三角形 D.以上三种情况都可能 【答案】B 【解析】∵ , , ∴ , , ∴ 为钝角. 规律方法 1.三角函数定义的应用 (1)直接利用三角函数的定义,找到给定角的终边上一个点的坐标,及这点到原点的距离,确定这个角的三角函数值. (2)已知角的某一个三角函数值,可以通过三角函数的定义列出含参数的方程,求参数 的值. 2.三角函数线的应用问题的求解思路 确定单位圆与角的终边的交点,作出所需要的三角函数线,然后求解. 【训练3】 (1)(2022·西安一中月考) 已知角 的终边在直线 上,求 的 值. 【解析】在直线 上任取一点 , 则 . (1)当 时, , 故 , , 所以 ; (2)当 时, , 故 , , 所以 . 故 等于 或 . (2) 的值等于( ) A. B. C. D. 【答案】A 【解析】 .故选A. 达标检测要扎实 一、单选题1.下列转化结果正确的是( ) A. 化成弧度是 B. 化成角度是 C. 化成弧度是 D. 化成角度是 【答案】D 【解析】由 得,对于A选项: 化成弧度是 ,故A不正确; 对于B选项: 化成角度是 ,故B不正确; 对于C选项: 化成弧度是 ,故C错误; 对于D选项: 化成角度是 ,故D正确,故选:D. 2.已知 是第四象限角, 是角 终边上的一个点,若 ,则 ( ) A.4 B.-4 C. D.不确定 【答案】B 【解析】依题意 是第四象限角,所以 , .故选:B 3.若角 的终边在 轴的负半轴上,则角 的终边在( ) A.第一象限 B.第二象限 C. 轴的正半轴上 D. 轴的负半轴上 【答案】B 【解析】 终边在 轴负半轴上 终边位于第二象限本题正确选项: 4.已知 ,则 等于( ) A. B. C. D.【答案】A 【解析】 , , .故选:A. 5.如图所示的复古时钟显示的时刻为 ,将时针与分针视为两条线段,则该时刻的时针与分针 所夹的钝角为( ) A. B. C. D. 【答案】B 【解析】表有 个刻度,相邻两个刻度所对的圆心角为 ; 当时针指向 ,分针指向 时,时针与分针夹角为 ; 但当分针指向 时,时针由 向 移动了 ; 该时刻的时针与分针所夹钝角为 .故选:B. 6.下列说法正确的是( ) A.长度等于半径的弦所对的圆心角为1弧度 B.若 ,则 C.若角 的终边过点 ,则 D.当 时, 【答案】D 【解析】对于A,长度等于半径的弦所对的圆心角为 弧度,A错误;对于B,若 ,则 ,B错误; 对于C,若角 的终边过点 ,则 ,C错误; 对于D,当 时, ,D正确.故选D. 7.已知 是第四象限角,化简 为( ) A. B. C. D. 【答案】B 【解析】∵ 为第四象限角, ∴ .故选:B 8.在平面直角坐标系 中,角 以x轴的非负半轴为始边,且点 在角 的终边上,则 ( ) A. B. C. D. 【答案】A 【解析】因为 ,所以 由角 的余弦值的定义可得 ,故选:A. 9.若角α的终边经过点 ,则 的值为( ) A. B. C. D. 【答案】B 【解析】∵角 的终边经过点 ,∴ .故选:B. 10.已知 为三角形的内角,且 ,则 ( ) A. B. C. D.【答案】A 【解析】 计算得 ,所以 , , 从而可计算的 , , ,选项A正确,选项BCD错误.故选:A. 11.若α为第四象限角,则( ) A.cos2α>0 B.cos2α<0 C.sin2α>0 D.sin2α<0 【答案】D 【解析】方法一:由α为第四象限角,可得 , 所以 此时 的终边落在第三、四象限及 轴的非正半轴上,所以 故选:D. 方法二:当 时, ,选项B错误; 当 时, ,选项A错误; 由 在第四象限可得: ,则 ,选项C错误,选项D正确; 故选:D. 12.已知角 的顶点与原点重合,始边与x轴的非负半轴重合,点 在角 的终边上,则 ( ) A. B. C. D. 【答案】D【解析】由题意得 , ,所以 . 故选:D. 二、填空题 13.若角α的终边落在直线y=-x上,则 的值等于________. 【答案】0 【解析】因为角α的终边落在直线y=-x上,所以α=2kπ+ 或2kπ+ ,k∈Z, 当α=2kπ+ , ,即角α的终边在第二象限时,sinα>0,cosα<0; 所以 当α=2kπ+ , ,即角α的终边在第四象限时,sinα<0,cosα>0. 所以 综合得 的值等于0.故答案为:0 14.若 , 为第二象限的角,则 __________. 【答案】 【解析】 为第二象限的角, , , ,故答案为: .15.已知 , ,则 等于________. 【答案】 【解析】 , ,因此, . 故答案为: . 16.如图所示,终边在阴影区域内(含边界)的角的集合为______. 【答案】 【解析】终边在直线OM上的角的集合为: . 同理可得终边在直线ON上的角的集合为 , 所以终边在阴影区域内(含边界)的角的集合为 .故答案为: 三、解答题 17.《九章算术》是我国古代的数学巨著,其中《方田》章给出了“弧田”,“弦”和“矢”的定 义,“弧田”(如图阴影部分所示)是由圆弧和弦围成,“弦”指圆弧所对的弦长,“矢”等于半径 长与圆心到弦的距离之差. (1)当圆心角 为 ,矢为2的弧田,求:弧田(如图阴影部分所示)的面积; (2)已知如图该扇形圆心角 是 ,半径为 ,若该扇形周长是一定值 当 为多少弧 度时,该扇形面积最大? 【解析】(1)由题意,如下图示 ,令圆弧的半径为 , , ∴ ,即 ,得 , ∴弧田面积 ,而 , ∴ . (2)由题意知:弧长 为 ,即该扇形周长 ,而扇形面积 ,∴ 当且仅当 时等号成立. ∴当 时,该扇形面积最大. 18.若角 是第二象限角,试确定 的终边所在位置. 【解析】∵角 是第二象限角,∴ , (1) , ∴ 角2α的终边在第三象限或第四象限或 轴的负半轴上. (2) ,当 时, ∴ , ∴ 的终边在第一象限. 当 时, ∴ , ∴ 的终边在第三象限. 综上所述, 的终边在第一象限或第三象限. 19.化简下列各式:(1) ; (2) . 【解析】(1)原式 ; (2)原式 . 20.如图,用弧度制分别写出下列条件下角的集合:(1)终边在射线 上; (2)终边在直线 上. 【解析】(1)终边在射线 上的角的集合 . (2)终边在射线 上的角的集合 , 所以终边在直线 上的角的集合 , 即 . 21.已知角 的终边经过点 (1)求 的值; (2)求 的值 【解析】(1)由题意角 的终边经过点 ,可得 , 根据三角函数的定义,可得 . (2)由三角函数的诱导公式,可得. 22.已知角 的终边过点 ,且 ,求 的值. 【解析】根据三角函数的定义,知 ,所以 ,所以 , 所以 , . 从而 .