当前位置:首页>文档>第14讲圆与圆的位置关系(学生版)_2.2025数学总复习_2023年新高考资料_二轮复习_备战2023年高考数学二轮复习对点题型(新高考专用)_第14讲圆与圆的位置关系

第14讲圆与圆的位置关系(学生版)_2.2025数学总复习_2023年新高考资料_二轮复习_备战2023年高考数学二轮复习对点题型(新高考专用)_第14讲圆与圆的位置关系

  • 2026-04-02 04:09:12 2026-03-25 05:45:13

文档预览

第14讲圆与圆的位置关系(学生版)_2.2025数学总复习_2023年新高考资料_二轮复习_备战2023年高考数学二轮复习对点题型(新高考专用)_第14讲圆与圆的位置关系
第14讲圆与圆的位置关系(学生版)_2.2025数学总复习_2023年新高考资料_二轮复习_备战2023年高考数学二轮复习对点题型(新高考专用)_第14讲圆与圆的位置关系
第14讲圆与圆的位置关系(学生版)_2.2025数学总复习_2023年新高考资料_二轮复习_备战2023年高考数学二轮复习对点题型(新高考专用)_第14讲圆与圆的位置关系
第14讲圆与圆的位置关系(学生版)_2.2025数学总复习_2023年新高考资料_二轮复习_备战2023年高考数学二轮复习对点题型(新高考专用)_第14讲圆与圆的位置关系
第14讲圆与圆的位置关系(学生版)_2.2025数学总复习_2023年新高考资料_二轮复习_备战2023年高考数学二轮复习对点题型(新高考专用)_第14讲圆与圆的位置关系
第14讲圆与圆的位置关系(学生版)_2.2025数学总复习_2023年新高考资料_二轮复习_备战2023年高考数学二轮复习对点题型(新高考专用)_第14讲圆与圆的位置关系
第14讲圆与圆的位置关系(学生版)_2.2025数学总复习_2023年新高考资料_二轮复习_备战2023年高考数学二轮复习对点题型(新高考专用)_第14讲圆与圆的位置关系
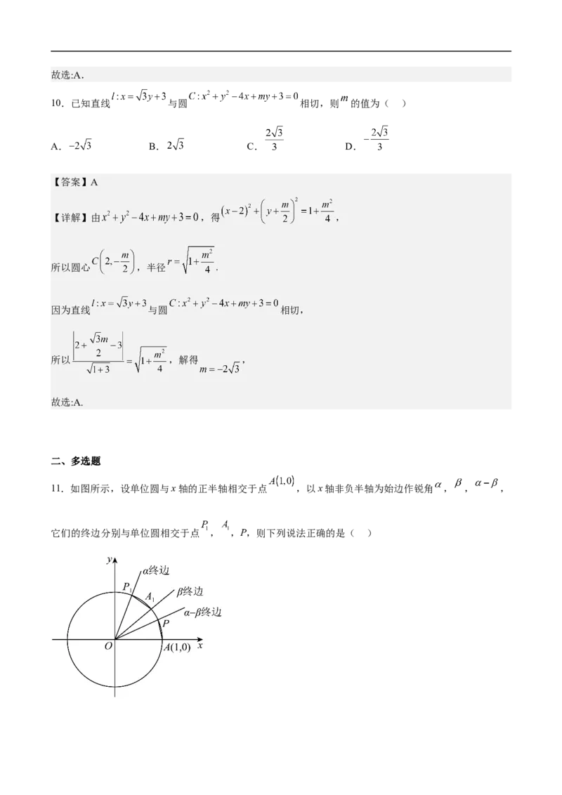
第14讲圆与圆的位置关系(学生版)_2.2025数学总复习_2023年新高考资料_二轮复习_备战2023年高考数学二轮复习对点题型(新高考专用)_第14讲圆与圆的位置关系
第14讲圆与圆的位置关系(学生版)_2.2025数学总复习_2023年新高考资料_二轮复习_备战2023年高考数学二轮复习对点题型(新高考专用)_第14讲圆与圆的位置关系
第14讲圆与圆的位置关系(学生版)_2.2025数学总复习_2023年新高考资料_二轮复习_备战2023年高考数学二轮复习对点题型(新高考专用)_第14讲圆与圆的位置关系
第14讲圆与圆的位置关系(学生版)_2.2025数学总复习_2023年新高考资料_二轮复习_备战2023年高考数学二轮复习对点题型(新高考专用)_第14讲圆与圆的位置关系
第14讲圆与圆的位置关系(学生版)_2.2025数学总复习_2023年新高考资料_二轮复习_备战2023年高考数学二轮复习对点题型(新高考专用)_第14讲圆与圆的位置关系
第14讲圆与圆的位置关系(学生版)_2.2025数学总复习_2023年新高考资料_二轮复习_备战2023年高考数学二轮复习对点题型(新高考专用)_第14讲圆与圆的位置关系
第14讲圆与圆的位置关系(学生版)_2.2025数学总复习_2023年新高考资料_二轮复习_备战2023年高考数学二轮复习对点题型(新高考专用)_第14讲圆与圆的位置关系
第14讲圆与圆的位置关系(学生版)_2.2025数学总复习_2023年新高考资料_二轮复习_备战2023年高考数学二轮复习对点题型(新高考专用)_第14讲圆与圆的位置关系
第14讲圆与圆的位置关系(学生版)_2.2025数学总复习_2023年新高考资料_二轮复习_备战2023年高考数学二轮复习对点题型(新高考专用)_第14讲圆与圆的位置关系
第14讲圆与圆的位置关系(学生版)_2.2025数学总复习_2023年新高考资料_二轮复习_备战2023年高考数学二轮复习对点题型(新高考专用)_第14讲圆与圆的位置关系
第14讲圆与圆的位置关系(学生版)_2.2025数学总复习_2023年新高考资料_二轮复习_备战2023年高考数学二轮复习对点题型(新高考专用)_第14讲圆与圆的位置关系
第14讲圆与圆的位置关系(学生版)_2.2025数学总复习_2023年新高考资料_二轮复习_备战2023年高考数学二轮复习对点题型(新高考专用)_第14讲圆与圆的位置关系
第14讲圆与圆的位置关系(学生版)_2.2025数学总复习_2023年新高考资料_二轮复习_备战2023年高考数学二轮复习对点题型(新高考专用)_第14讲圆与圆的位置关系
第14讲圆与圆的位置关系(学生版)_2.2025数学总复习_2023年新高考资料_二轮复习_备战2023年高考数学二轮复习对点题型(新高考专用)_第14讲圆与圆的位置关系
第14讲圆与圆的位置关系(学生版)_2.2025数学总复习_2023年新高考资料_二轮复习_备战2023年高考数学二轮复习对点题型(新高考专用)_第14讲圆与圆的位置关系
第14讲圆与圆的位置关系(学生版)_2.2025数学总复习_2023年新高考资料_二轮复习_备战2023年高考数学二轮复习对点题型(新高考专用)_第14讲圆与圆的位置关系
第14讲圆与圆的位置关系(学生版)_2.2025数学总复习_2023年新高考资料_二轮复习_备战2023年高考数学二轮复习对点题型(新高考专用)_第14讲圆与圆的位置关系
第14讲圆与圆的位置关系(学生版)_2.2025数学总复习_2023年新高考资料_二轮复习_备战2023年高考数学二轮复习对点题型(新高考专用)_第14讲圆与圆的位置关系
第14讲圆与圆的位置关系(学生版)_2.2025数学总复习_2023年新高考资料_二轮复习_备战2023年高考数学二轮复习对点题型(新高考专用)_第14讲圆与圆的位置关系
第14讲圆与圆的位置关系(学生版)_2.2025数学总复习_2023年新高考资料_二轮复习_备战2023年高考数学二轮复习对点题型(新高考专用)_第14讲圆与圆的位置关系
第14讲圆与圆的位置关系(学生版)_2.2025数学总复习_2023年新高考资料_二轮复习_备战2023年高考数学二轮复习对点题型(新高考专用)_第14讲圆与圆的位置关系
第14讲圆与圆的位置关系(学生版)_2.2025数学总复习_2023年新高考资料_二轮复习_备战2023年高考数学二轮复习对点题型(新高考专用)_第14讲圆与圆的位置关系
第14讲圆与圆的位置关系(学生版)_2.2025数学总复习_2023年新高考资料_二轮复习_备战2023年高考数学二轮复习对点题型(新高考专用)_第14讲圆与圆的位置关系
第14讲圆与圆的位置关系(学生版)_2.2025数学总复习_2023年新高考资料_二轮复习_备战2023年高考数学二轮复习对点题型(新高考专用)_第14讲圆与圆的位置关系
第14讲圆与圆的位置关系(学生版)_2.2025数学总复习_2023年新高考资料_二轮复习_备战2023年高考数学二轮复习对点题型(新高考专用)_第14讲圆与圆的位置关系
第14讲圆与圆的位置关系(学生版)_2.2025数学总复习_2023年新高考资料_二轮复习_备战2023年高考数学二轮复习对点题型(新高考专用)_第14讲圆与圆的位置关系
第14讲圆与圆的位置关系(学生版)_2.2025数学总复习_2023年新高考资料_二轮复习_备战2023年高考数学二轮复习对点题型(新高考专用)_第14讲圆与圆的位置关系
第14讲圆与圆的位置关系(学生版)_2.2025数学总复习_2023年新高考资料_二轮复习_备战2023年高考数学二轮复习对点题型(新高考专用)_第14讲圆与圆的位置关系
第14讲圆与圆的位置关系(学生版)_2.2025数学总复习_2023年新高考资料_二轮复习_备战2023年高考数学二轮复习对点题型(新高考专用)_第14讲圆与圆的位置关系

文档信息

文档格式
docx
文档大小
4.132 MB
文档页数
36 页
上传时间
2026-03-25 05:45:13

文档内容

第 14 讲 圆与圆的位置关系 真题展示 2022 新高考一卷第 14 题 写出与圆 和 都相切的一条直线的方程 (填 , 都 正 确 ) .考查目标试题以两个已知圆为背景,通过圆的方程可知两个圆的基本信息以及两个圆 的位置关系,由此可以求出所求公共切线的方程. 试题考查了圆与圆、直线和圆 的位置关系等基本概念,重点考查了考生逻辑推理能力、运算求解能力和综合 运用知识解决问题的能力.试题的解法以通性通法为基础,为不同能力水平的考 生提供了展示空间.如果考生能够将数与形相结合,那么运算过程将更为简捷. 试题亮点 试题背景来源于教材,考查了直线和圆的基本性质,对平面几何与解析几何 等知识综合应用的考查作了较好的设计.若考生从问题的简单情景中能应用圆的 定义去分析问题,则解答过程会更加简捷,从而体现出考生思维的灵活性.试 题为考生提供的思考角度是多样的,考生可以根据自己的能力水平想到不同的 解题路径和方法.试题对考生的数学运算、逻辑推理等数学学科素养的考查有 较好的体现. 此外,试题具有很好的开放性.考生可以用通性通法求解,但相对而言有些 方法计算会复杂一些.因此,试题突出考查考生的逻辑推理能力,通过"看一 看""推一推""想一想""算一算",能够对不同思维水平的考生进行区分,全面系 统地考查考生对核心概念、基本原理、基本方法的掌握程度.试题基于数学的 基础知识,但又打破了固有的命题模式. 知识要点整理 知识点一 圆的标准方程 (1)条件:圆心为C(a,b),半径长为r.(2)方程: ( x - a ) 2 + ( y - b ) 2 = r 2 . (3)特例:圆心为坐标原点,半径长为r的圆的方程是 x 2 + y 2 = r 2 . 知识点二 点与圆的位置关系 点M(x ,y )与圆C:(x-a)2+(y-b)2=r2的位置关系及判断方法 0 0 位置关系 利用距离判断 利用方程判断 点M在圆上 |CM|=r (x -a)2+(y -b)2=r2 0 0 点M在圆外 |CM|>r (x -a)2+(y -b)2>r2 0 0 点M在圆内 |CM|0时,二元二次方程 x 2 + y 2 + Dx + Ey + F = 0 称为圆的一般方程. 2.方程x2+y2+Dx+Ey+F=0表示的图形 条件 图形 D2+E2-4F<0 不表示任何图形 D2+E2-4F=0 表示一个点 D2+E2-4F>0 表示以为圆心,以为半径的圆 知识点四 直线Ax+By+C=0与圆(x-a)2+(y-b)2=r2的位置关系及判断 位置关系 相交 相切 相离 公共点个数 2 个 1 个 0 个 几何法: 判 d < r d = r d > r 设圆心到直线的距离为d= 断 代数法: 方 由消元得到一元二次方程,可得方程 Δ >0 Δ = 0 Δ <0 法 的判别式Δ 归纳要点 解决实际问题的一般程序 仔细读题(审题)→建立数学模型→解答数学模型→检验,给出实际问题的答案. 知识点二 用坐标法解决平面几何问题的“三步曲” 第一步:建立适当的平面直角坐标系,用坐标和方程表示问题中的几何元素,如点、直线, 将平面几何问题转化为代数问题. 第二步:通过代数运算,解决代数问题. 第三步:把代数运算结果“翻译”成几何结论. 知识点五 两圆的位置关系及其判定(1)几何法:若两圆的半径分别为r ,r ,两圆连心线的长为d,则两圆的位置关系如下: 1 2 位置关 外离 外切 相交 内切 内含 系 图示 d与r , 1 |r -r |< dr +r d=r +r d=|r -r | d<|r -r | 2 1 2 1 2 1 2 1 2 +r 2 系 (2)代数法:设两圆的一般方程为 C :x2+y2+D x+E y+F =0(D+E-4F >0), 1 1 1 1 1 C :x2+y2+D x+E y+F =0(D+E-4F >0), 2 2 2 2 2 联立方程得 则方程组解的个数与两圆的位置关系如下: 方程组解的个数 2组 1组 0组 两圆的公共点个 2个 1个 0个 数 两圆的位置关系 相交 外切或内切 外离或内含 三年真题 一、单选题 1.若直线 是圆 的一条对称轴,则 ( ) A. B. C.1 D. 【答案】A 【详解】由题可知圆心为 ,因为直线是圆的对称轴,所以圆心在直线上,即 ,解得 . 故选:A.2.已知直线 ( 为常数)与圆 交于点 ,当 变化时,若 的最小值为2,则 A. B. C. D. 【答案】C 【详解】由题可得圆心为 ,半径为2, 则圆心到直线的距离 , 则弦长为 , 则当 时,弦长 取得最小值为 ,解得 . 故选:C. 3.直线 关于点 对称的直线方程是( ) A. B. C. D. 【答案】D 【详解】设对称的直线方程上的一点的坐标为 , 则其关于点 对称的点的坐标为 , 因为点 在直线 上, 所以 即 . 故选:D. 4.已知圆心为 的圆与 轴相切,则该圆的标准方程是( ) A. B.C. D. 【答案】B 【详解】根据题意知圆心为 ,半径为 ,故圆方程为: . 故选:B. 5.已知半径为1的圆经过点 ,则其圆心到原点的距离的最小值为( ). A.4 B.5 C.6 D.7 【答案】A 【详解】设圆心 ,则 , 化简得 , 所以圆心 的轨迹是以 为圆心,1为半径的圆, 所以 ,所以 , 当且仅当 在线段 上时取得等号, 故选:A. 6.已知点O(0,0),A(–2,0),B(2,0).设点P满足|PA|–|PB|=2,且P为函数y= 图像上 的点,则|OP|=( ) A. B. C. D.【答案】D 【详解】因为 ,所以点 在以 为焦点,实轴长为 ,焦距为 的双曲线的右支上, 由 可得, ,即双曲线的右支方程为 ,而点 还在函数 的图象上,所以, 由 ,解得 ,即 . 故选:D. 7.已知⊙M: ,直线 : , 为 上的动点,过点 作⊙M的切线 ,切点为 ,当 最小时,直线 的方程为( ) A. B. C. D. 【答案】D 【详解】圆的方程可化为 ,点 到直线 的距离为 ,所以直 线 与圆相离. 依圆的知识可知,四点 四点共圆,且 ,所以 ,而 , 当直线 时, , ,此时 最小. ∴ 即 ,由 解得, . 所以以 为直径的圆的方程为 ,即 ,两圆的方程相减可得: ,即为直线 的方程. 故选:D. 8.若过点(2,1)的圆与两坐标轴都相切,则圆心到直线 的距离为( ) A. B. C. D. 【答案】B 【详解】由于圆上的点 在第一象限,若圆心不在第一象限, 则圆与至少与一条坐标轴相交,不合乎题意,所以圆心必在第一象限, 设圆心的坐标为 ,则圆的半径为 , 圆的标准方程为 . 由题意可得 , 可得 ,解得 或 , 所以圆心的坐标为 或 , 圆心 到直线 的距离均为 ; 圆心 到直线 的距离均为 圆心到直线 的距离均为 ; 所以,圆心到直线 的距离为 . 故选:B. 【点睛】本题考查圆心到直线距离的计算,求出圆的方程是解题的关键,考查计算能力,属于中等题. 9.若直线l与曲线y= 和x2+y2= 都相切,则l的方程为( ) A.y=2x+1 B.y=2x+ C.y= x+1 D.y= x+【答案】D 【分析】根据导数的几何意义设出直线 的方程,再由直线与圆相切的性质,即可得出答案. 【详解】设直线 在曲线 上的切点为 ,则 , 函数 的导数为 ,则直线 的斜率 , 设直线 的方程为 ,即 , 由于直线 与圆 相切,则 , 两边平方并整理得 ,解得 , (舍), 则直线 的方程为 ,即 . 故选:D. 10.点(0,﹣1)到直线 距离的最大值为( ) A.1 B. C. D.2 【答案】B 【详解】由 可知直线过定点 ,设 , 当直线 与 垂直时,点 到直线 距离最大, 即为 . 故选:B. 11.已知圆 ,过点(1,2)的直线被该圆所截得的弦的长度的最小值为( ) A.1 B.2 C.3 D.4 【答案】B 【详解】圆 化为 ,所以圆心 坐标为 ,半径为 ,设 ,当过点 的直线和直线 垂直时,圆心到过点 的直线的距离最大,所求的弦长最短,此时 根据弦长公式得最小值为 . 故选:B. 二、多选题 12.已知直线 与圆 ,点 ,则下列说法正确的是( ) A.若点A在圆C上,则直线l与圆C相切 B.若点A在圆C内,则直线l与圆C相离 C.若点A在圆C外,则直线l与圆C相离 D.若点A在直线l上,则直线l与圆C相切 【答案】ABD 【详解】圆心 到直线l的距离 , 若点 在圆C上,则 ,所以 , 则直线l与圆C相切,故A正确; 若点 在圆C内,则 ,所以 , 则直线l与圆C相离,故B正确; 若点 在圆C外,则 ,所以 , 则直线l与圆C相交,故C错误; 若点 在直线l上,则 即 , 所以 ,直线l与圆C相切,故D正确. 故选:ABD.13.已知点 在圆 上,点 、 ,则( ) A.点 到直线 的距离小于 B.点 到直线 的距离大于 C.当 最小时, D.当 最大时, 【答案】ACD 【详解】圆 的圆心为 ,半径为 , 直线 的方程为 ,即 , 圆心 到直线 的距离为 , 所以,点 到直线 的距离的最小值为 ,最大值为 ,A选项正确,B选项错误; 如下图所示: 当 最大或最小时, 与圆 相切,连接 、 ,可知 , , ,由勾股定理可得 ,CD选项正确. 故选:ACD. 三、填空题14.若直线 与圆 相交所得的弦长为 ,则 _____. 【答案】 【详解】圆 的圆心坐标为 ,半径为 , 圆心到直线 的距离为 , 由勾股定理可得 ,因为 ,解得 . 故答案为: . 15.设点 ,若直线 关于 对称的直线与圆 有公共点,则a的取 值范围是________. 【答案】 【详解】解: 关于 对称的点的坐标为 , 在直线 上, 所以 所在直线即为直线 ,所以直线 为 ,即 ; 圆 ,圆心 ,半径 , 依题意圆心到直线 的距离 , 即 ,解得 ,即 ; 故答案为: 16.设点M在直线 上,点 和 均在 上,则 的方程为______________. 【答案】【详解】[方法一]:三点共圆 ∵点M在直线 上, ∴设点M为 ,又因为点 和 均在 上, ∴点M到两点的距离相等且为半径R, ∴ , ,解得 , ∴ , , 的方程为 . 故答案为: [方法二]:圆的几何性质 由题可知,M是以(3,0)和(0,1)为端点的线段垂直平分线 y=3x-4与直线 的交点(1,-1). , 的方程为 . 故答案为: 17.过四点 中的三点的一个圆的方程为____________. 【答案】 或 或 或 . 【详解】[方法一]:圆的一般方程 依题意设圆的方程为 , (1)若过 , , ,则 ,解得 ,所以圆的方程为 ,即 ; (2)若过 , , ,则 ,解得 , 所以圆的方程为 ,即 ; (3)若过 , , ,则 ,解得 , 所以圆的方程为 ,即 ; (4)若过 , , ,则 ,解得 ,所以圆的方程为 ,即 ; 故答案为: 或 或 或 . [方法二]:【最优解】圆的标准方程(三点中的两条中垂线的交点为圆心) 设 (1)若圆过 三点,圆心在直线 ,设圆心坐标为 ,则 ,所以圆的方程为 ; (2)若圆过 三点, 设圆心坐标为 ,则 ,所以圆 的方程为 ; (3)若圆过 三点,则线段 的中垂线方程为 ,线段 的中垂线方程 为 , 联立得 ,所以圆的方程为 ; (4)若圆过 三点,则线段 的中垂线方程为 , 线段 中垂线方程为 ,联立 得 ,所以圆的方程为 . 故答案为: 或 或 或 . 18.写出与圆 和 都相切的一条直线的方程________________. 【答案】 或 或 【详解】[方法一]: 显然直线的斜率不为0,不妨设直线方程为 , 于是 , 故 ①, 于是 或 , 再结合①解得 或 或 ,所以直线方程有三条,分别为 , , 填一条即可 [方法二]: 设圆 的圆心 ,半径为 , 圆 的圆心 ,半径 , 则 ,因此两圆外切, 由图像可知,共有三条直线符合条件,显然 符合题意; 又由方程 和 相减可得方程 , 即为过两圆公共切点的切线方程, 又易知两圆圆心所在直线OC的方程为 , 直线OC与直线 的交点为 , 设过该点的直线为 ,则 ,解得 , 从而该切线的方程为 填一条即可 [方法三]: 圆 的圆心为 ,半径为 , 圆 的圆心 为 ,半径为 , 两圆圆心距为 ,等于两圆半径之和,故两圆外切,如图, 当切线为l时,因为 ,所以 ,设方程为 O到l的距离 ,解得 ,所以l的方程为 , 当切线为m时,设直线方程为 ,其中 , , 由题意 ,解得 , 当切线为n时,易知切线方程为 , 故答案为: 或 或 . 19.若斜率为 的直线与 轴交于点 ,与圆 相切于点 ,则 ____________. 【答案】 【详解】设直线 的方程为 ,则点 ,由于直线 与圆 相切,且圆心为 ,半径为 , 则 ,解得 或 ,所以 , 因为 ,故 . 故答案为: . 20.已知直线 和圆 相交于 两点.若 ,则 的值为_________. 【答案】5 【详解】因为圆心 到直线 的距离 , 由 可得 ,解得 . 故答案为: . 21.在平面直角坐标系xOy中,已知 ,A,B是圆C: 上的两个动点,满足 , 则△PAB面积的最大值是__________. 【答案】 【详解】 设圆心 到直线 距离为 ,则 , 所以点P到AB的距离为 或 ,且 所以 令 (负值舍去) 当 时, ;当 时, ,因此当 时, 取最大值,即 取最大值为 , 故答案为:22.设直线 与圆 和圆 均相切,则 _______;b=______. 【答案】 【详解】设 , ,由题意, 到直线的距离等于半径,即 , , 所以 ,所以 (舍)或者 , 解得 . 故答案为: 三年模拟 一、单选题 1.已知圆 的方程为 ,若直线 上至少存在一点,使得以该点为圆心, 为半径 的圆与圆 有公共点,则实数 的最小值是( ) A. B. C. D. 【答案】D 【详解】由圆 方程得:圆心 ,半径 ; 直线 上至少存在一点,使得以该点为圆心, 为半径的圆与圆 有公共点, 圆心 到直线 的距离 , 即 ,解得: , 的最小值为 .故选:D. 2.已知圆 的弦AB的中点为 ,直线AB交y轴于点M,则 的值为 ( ) A.4 B.5 C. D. 【答案】A 【详解】由题设可得 ,圆心 ,则 . 根据圆的性质可知, , ∴AB所在直线的方程为 ,即 . 联立方程 ,可得: , 设 , ,则 ,故 , 中,令 ,得 , ∴ . 故选:A. 3.直线 分别与 轴, 轴交于 两点,点 在圆 上,则 面积的取值范 围是( ) A. B. C. D. 【答案】A 【详解】因为直线 分别与 轴, 轴交于 两点, 所以令 ,得 ,所以 , 令 ,得 ,所以 ,所以 , 因为圆的方程为 , 所以圆心坐标为 ,半径为 , 所以圆心到直线 的距离为 , 设点 到直线 的距离为 , 所以 ,即 ,于是有 , 所以 , 故 面积的取值范围为 . 故选: A. 4.已知 , ,动点 满足 ,则动点 的轨迹与圆 的位置关系是 ( ) A.相交 B.外切 C.内切 D.相离 【答案】B 【详解】设 ,由题意可知, 整理得,点 的轨迹方程为 , 其图形是以 为圆心,以2为半径的圆, 而圆 的圆心坐标为 ,半径为1, 可得两圆的圆心距为3,等于 ,则动点 的轨迹与圆 的位置关系是外切. 故选:B. 5.已知圆 的半径为3,圆 的半径为7,若两圆相交,则两圆的圆心距可能是( ) A.0 B.4 C.8 D.12 【答案】C 【详解】因为两圆相交,所以两圆的圆心距 即 ,仅有C满足, 故选:C 6.设 ,已知直线 与圆 ,则“ ”是“直线 与圆 相交”的( ) A.充分不必要条件 B.必要不充分条件 C.充要条件 D.既不充分也不必要条件 【答案】A 【详解】因为直线 与圆 , 由点到直线的距离公式可得: ,解得: 且 , 因为 成立,则 且 一定成立, 但 且 成立,则 不一定成立, 所以“ ”是“直线 与圆 相交”的充分不必要条件, 故选:A. 7.直线 : 和圆 : 在同一坐标系的图形只能是( ) A. B.C. D. 【答案】A 【详解】∵圆 的方程可化为: , ∴圆心 ,半径 , 又直线 的方程可化为: . 由4个选项的圆心 都在第三象限, ∴ ,∴ ,∴排除选项C,D. 又圆心 到直线的距离 , ∴直线 与圆 相切,故选项A正确,选项B错误. 故选:A. 8.已知点P是曲线 上的动点,则点P到直线 的距离的最大值为( ) A. B. C. D. 【答案】B 【详解】由 得 ,所以曲线C是以 为圆心, 的圆, 因为点 到直线 的距离为 ,所以点P到直线 的距离的最大值为 . 故选:B. 9.已知斜率存在的直线l与圆C: 相交于P,Q两点,点A为圆C与y轴正半轴的交点, 记直线AP,AQ的斜率分别为 , ,当 时,直线l恒过点( ) A. B. C. D. 【答案】A 【详解】设直线l的方程为 , , 联立直线与圆的方程可得 ,消去 可得 结合韦达定理可得 由题知 ,由 ,得 , 整理得 , 所以 , 化简得 ,所以直线l的方程为 ,即 , 由 ,得 ,故直线l恒过点 ,故选:A. 10.已知直线 与圆 相切,则 的值为( ) A. B. C. D. 【答案】A 【详解】由 ,得 , 所以圆心 ,半径 . 因为直线 与圆 相切, 所以 ,解得 , 故选:A. 二、多选题 11.如图所示,设单位圆与x轴的正半轴相交于点 ,以x轴非负半轴为始边作锐角 , , , 它们的终边分别与单位圆相交于点 , ,P,则下列说法正确的是( )A. B.扇形 的面积为 C. D.当 时,四边形 的面积为 【答案】AD 【详解】由题意圆的半径 选项A:由题意得 所以 所以 ,故A正确; 选项B:因为 , 所以扇形 的面积 , 故B错误; 选项C,故C错误; 选项D: 因为 , 所以 故D正确 故选:AD.12.己知直线l: 与圆C: 相交于A,B两点,则( ) A.直线l恒过点 B.当 时,圆C关于直线l对称 C. 的取值范围为 D.若 ,则 【答案】ABD 【详解】选项A:直线l的方程可化为 ,令 ,得 ,故直线l恒过点 , A正确; 选项B:当 时,直线l的方程可化为 ,圆C的标准方程为 ,圆心 在直线l上,故圆C关于直线l对称,B正确. 选项C:当直线l经过圆心时, 最大,为直径 ;易知点 是圆C内的一点,所以当直线l与 直线CM垂直时, 最小,为 ,所以 的取值范围为 ,C错误. 选项D:若 ,则 ,又当 时,圆心C到直线l的距离为3,所以 ,解得 ,D正确, 故选:ABD 三、填空题 13.已知正实数 满足 ,则 的取最小值___________. 【答案】 【详解】设直线 ,点 在直线 上,且在第一象限,设点 , 所以 , 如图所示, 点A关于直线 对称的点设为 , 则有 解得 , 所以 ,由图可知,当 在直线 时, 最小,最小值为 , 即 的最小值为 , 故答案为: . 14.在平面直角坐标系中, , 两点绕定点 按顺时针方向旋转 角后,分别到 , 两点位置,则 的值为______. 【答案】 ## 【详解】依题意,点P在线段 的中垂线 上,点P也在线段 的中垂线 上,连 ,而 , , , ,因此 , 而 ,即 ,有 ,于是得 , 直线 过 中点 ,而直线 斜率为1,则直线 的斜率为-1,方程为 ,直线 的方程为 , 于是得点 ,令直线 交 于点 , , , , 所以 . 故答案为: 15.设 .若直线 与曲线 仅有一个公共点,则 ______. 【答案】 【详解】圆 的圆心坐标为 ,半径为 ,由题意可得 ,解得 . 故答案为: . 16.直线 与直线 的夹角大小为________. 【答案】 ## 【详解】因为直线 的斜率不存在,倾斜角为 , 直线 的斜率为 ,倾斜角为 , 故直线 与直线 的夹角为 ,故答案为: . 17.已知方程组 无解,则实数 的值等于______. 【答案】 【详解】由题知,方程组 无解, 所以直线 与直线 平行, 所以 ,解得 , 当 时,两直线重合,方程组有无数解,不满足题意, 当 时,两直线平行,方程组有无解,满足题意, 故答案为: 18.已知圆 的方程为 , 是圆 上一动点,点 , 为线段 的中点,则 的 最小值为__________. 【答案】 ## 【详解】设 , ,点 为线段 的中点,有 ,得 , 在圆 上,满足圆的方程,则有 ,化简得 点轨迹方程为 , 点轨迹为以 为圆心,1为半径的圆,如图所示,,所以 的最小值为 . 故答案为: 19.若直线 过 ,且被圆 截得的弦长为 ,则直线 方程为______ 【答案】 或 【详解】由 ,得 , 所以圆 的标准方程为 ,即圆 的圆心坐标为 ,半径为 , 因为直线 被圆 截得的弦长为 , 所以圆心到直线 的距离为 , 当斜率不存在时,直线 的方程为 ,也符合题意; 当斜率存在时,设直线 的方程为 ,即 , 因为圆心 到直线 : 的距离为 , 所以 ,解得 , 所以直线方程为 . 即所求直线 的方程为 或 . 故答案为: 或 .20.由直线 上的点 向圆 : 引两条切线 和 ( 为切点),设 ,则 的最小值为___________,此时点 的坐标为___________. 【答案】 ## 【详解】圆 : 的圆心为 ,半径 , 则点 到直线 的距离 . 连接 ,设 ,则 , ∵ , ,则 , ∴ ,当且仅当 时等号成立, 故 最小值为 ; 当 与直线 垂直时, 取到最小值时, 设直线 的方程为 , 代入 得 ,解得 , 即直线 的方程为 , 联立方程 ,解得 , 故点 的坐标为 . 故答案为: , .